Risk Factors Analysis of Bone Mineral Density Based on Lasso and Quantile Regression in America during 2015–2018
Abstract
1. Introduction
2. Materials and Methods
2.1. Data Source
2.2. Variables
2.3. Statistical Analysis
3. Results
3.1. Candidate Characteristics
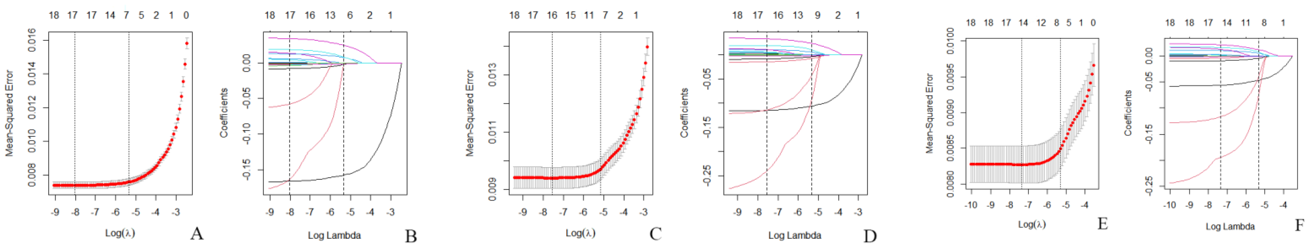
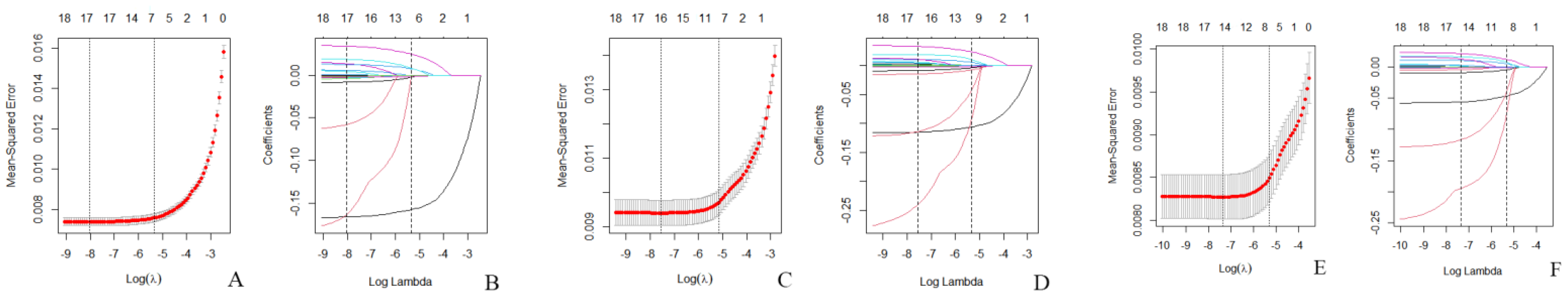
3.2. Lasso Regression
3.3. Quantile Regression
4. Discussion
4.1. Demographics’ Effects on BMD
4.2. Lipid and Trace Elements Effects on BMD
4.3. Smoking and Alcohol Effects on BMD
4.4. Strengths and Limitations
5. Conclusions
Author Contributions
Funding
Institutional Review Board Statement
Informed Consent Statement
Data Availability Statement
Acknowledgments
Conflicts of Interest
References
- Curneen, J.M.G.; Casey, M.; Laird, E. The relationship between protein quantity, BMD and fractures in older adults. Ir. J. Med. Sci. 2017, 187, 111–121. [Google Scholar] [CrossRef]
- Riera, L.S.; Carnahan, E.; Vos, T.; Veerman, L.; Norman, R.; Lim, S.S.; Hoy, D.; Smith, E.; Wilson, N.S.; Nolla, J.; et al. The global burden attributable to low bone mineral density. Ann. Rheum. Dis. 2014, 73, 1635–1645. [Google Scholar] [CrossRef]
- Campos-Obando, N.; Castano-Betancourt, M.C.; Oei, L.; Franco, O.; Stricker, B.H.C.; Brusselle, G.; Lahousse, L.; Hofman, A.; Tiemeier, H.; Rivadeneira, F.; et al. Bone Mineral Density and Chronic Lung Disease Mortality: The Rotterdam Study. J. Clin. Endocrinol. Metab. 2014, 99, 1834–1842. [Google Scholar] [CrossRef] [PubMed]
- He, J.; Xu, S.; Zhang, B.; Xiao, C.; Chen, Z.; Si, F.; Fu, J.; Lin, X.; Zheng, G.; Yu, G.; et al. Gut microbiota and metabolite alterations associated with reduced bone mineral density or bone metabolic indexes in postmenopausal osteoporosis. Aging 2020, 12, 8583–8604. [Google Scholar] [CrossRef]
- Barzilay, J.I.; Buzkova, P.; Cauley, J.A.; Robbins, J.A.; Fink, H.A.; Mukamal, K.J. The associations of subclinical atherosclerotic cardiovascular disease with hip fracture risk and bone mineral density in elderly adults. Osteoporos. Int. 2018, 29, 2219–2230. [Google Scholar] [CrossRef]
- Dimai, H.P. Use of dual-energy X-ray absorptiometry (DXA) for diagnosis and fracture risk assessment; WHO-criteria, T- and Z-score, and reference databases. Bone 2017, 104, 39–43. [Google Scholar] [CrossRef]
- Xue, S.; Kemal, O.; Lu, M.; Lix, L.M.; Leslie, W.D.; Yang, S. Age at attainment of peak bone mineral density and its associated factors: The National Health and Nutrition Examination Survey 2005–2014. Bone 2019, 131, 115163. [Google Scholar] [CrossRef]
- Looker, A.C. Femur neck bone mineral density and fracture risk by age, sex, and race or Hispanic origin in older US adults from NHANES III. Arch. Osteoporos. 2013, 8, 1–11. [Google Scholar] [CrossRef]
- Yuan, S.; Michaëlsson, K.; Wan, Z.; Larsson, S.C. Associations of Smoking and Alcohol and Coffee Intake with Fracture and Bone Mineral Density: A Mendelian Randomization Study. Calcif. Tissue Int. 2019, 105, 582–588. [Google Scholar] [CrossRef]
- Wei, M.-H.; Cui, Y.; Zhou, H.-L.; Song, W.-J.; Di, D.-S.; Zhang, R.-Y.; Huang, Q.; Liu, J.-A.; Wang, Q. Associations of multiple metals with bone mineral density: A population-based study in US adults. Chemosphere 2021, 282, 131150. [Google Scholar] [CrossRef]
- Nguyen, T.V. Air pollution: A largely neglected risk factor for osteoporosis. Lancet Planet. Health 2017, 1, e311–e312. [Google Scholar] [CrossRef]
- Du, Y.; Zhao, L.-J.; Xu, Q.; Wu, K.-H.; Deng, H.-W. Socioeconomic status and bone mineral density in adults by race/ethnicity and gender: The Louisiana osteoporosis study. Osteoporos. Int. 2017, 28, 1699–1709. [Google Scholar] [CrossRef]
- Saoji, R.; Das, R.S.; Desai, M.; Pasi, A.; Sachdeva, G.; Das, T.K.; Khatkhatay, M.I. Association of high-density lipoprotein, triglycerides, and homocysteine with bone mineral density in young Indian tribal women. Arch. Osteoporos. 2018, 13, 108. [Google Scholar] [CrossRef]
- Bjørklund, G.; Pivina, L.; Dadar, M.; Semenova, Y.; Chirumbolo, S.; Aaseth, J. Long-Term Accumulation of Metals in the Skeleton as Related to Osteoporotic Derangements. Curr. Med. Chem. 2020, 27, 6837–6848. [Google Scholar] [CrossRef]
- Farsinejad-Marj, M.; Saneei, P.; Esmaillzadeh, A. Dietary magnesium intake, bone mineral density and risk of fracture: A systematic review and meta-analysis. Osteoporos. Int. 2015, 27, 1389–1399. [Google Scholar] [CrossRef] [PubMed]
- Galvez-Fernandez, M.; Grau-Perez, M.; Garcia-Barrera, T.; Ramirez-Acosta, S.; Gomez-Ariza, J.L.; Perez-Gomez, B.; Galan-Labaca, I.; Navas-Acien, A.; Redon, J.; Briongos-Figuero, L.S.; et al. Arsenic, cadmium, and selenium exposures and bone mineral density-related endpoints: The HORTEGA study. Free Radic. Biol. Med. 2020, 162, 392–400. [Google Scholar] [CrossRef]
- Pinheiro, M.B.; Oliveira, J.; Bauman, A.; Fairhall, N.; Kwok, W.; Sherrington, C. Evidence on physical activity and osteoporosis prevention for people aged 65+ years: A systematic review to inform the WHO guidelines on physical activity and sedentary behaviour. Int. J. Behav. Nutr. Phys. Act. 2020, 17, 1–53. [Google Scholar] [CrossRef]
- National Center for Health Statistics. About the National Health and Nutrition Examination Survey. Available online: https://www.cdc.gov/nchs/nhanes/about_nhanes.htm (accessed on 2 October 2021).
- Rajaratnam, B.; Roberts, S.; Sparks, D.; Dalal, O. Lasso regression: Estimation and shrinkage via the limit of Gibbs sampling. J. R. Stat. Soc. Ser. B (Stat. Methodol.) 2015, 78, 153–174. [Google Scholar] [CrossRef]
- Firpo, S.; Fortin, N.M.; Lemieux, T. Unconditional Quantile Regressions. Econometrica 2009, 77, 953–973. [Google Scholar] [CrossRef]
- Johnell, O.; Kanis, J.A.; Oden, A.; Johansson, H.; De Laet, C.; Delmas, P.; Eisman, J.A.; Fujiwara, S.; Kroger, H.; Mellstrom, D.; et al. Predictive value of BMD for hip and other fractures. J. Bone Miner. Res. 2005, 20, 1185–1194. [Google Scholar] [CrossRef] [PubMed]
- Papaioannou, A.; Kennedy, C.C.; Cranney, A.; Hawker, G.; Brown, J.P.; Kaiser, S.M.; Leslie, W.; O’Brien, C.J.M.; Sawka, A.M.; Khan, A.; et al. Risk factors for low BMD in healthy men age 50 years or older: A systematic review. Osteoporos. Int. 2008, 20, 507–518. [Google Scholar] [CrossRef]
- Waugh, E.J.; Lam, M.-A.; Hawker, G.A.; McGowan, J.; Papaioannou, A.; Cheung, A.M.; Hodsman, A.B.; Leslie, W.D.; Siminoski, K.; Jamal, S.A. Risk factors for low bone mass in healthy 40–60 year old women: A systematic review of the literature. Osteoporos. Int. 2008, 20, 1–21. [Google Scholar] [CrossRef]
- Cawthon, P.M.; Ewing, S.K.; McCulloch, C.E.; Ensrud, K.; Cauley, J.A.; Cummings, S.R.; Orwoll, E.S. Loss of Hip BMD in Older Men: The Osteoporotic Fractures in Men (MrOS) Study. J. Bone Miner. Res. 2009, 24, 1728–1735. [Google Scholar] [CrossRef]
- Dev, R.D.O.; Henry, E. Effects of body mass index (BMI), eating attitude and physical activity on bone health among undergraduate students in Malaysia. IJASOS Int. E-J. Adv. Soc. Sci. 2016, 2, 591. [Google Scholar] [CrossRef][Green Version]
- Doğan, A.; Nakipoğlu-Yüzer, G.F.; Yıldızgören, M.T.; Özgirgin, N. Is age or the body mass index (BMI) more determinant of the bone mineral density (BMD) in geriatric women and men? Arch. Gerontol. Geriatr. 2010, 51, 338–341. [Google Scholar] [CrossRef] [PubMed]
- Nam, H.-S.; Osteoporotic Fractures in Men (MrOS) Research Group; Shin, M.-H.; Zmuda, J.M.; Leung, P.C.; Barrett-Connor, E.; Orwoll, E.S.; Cauley, J.A. Race/ethnic differences in bone mineral densities in older men. Osteoporos. Int. 2010, 21, 2115–2123. [Google Scholar] [CrossRef] [PubMed]
- Mackey, D.C.; Eby, J.G.; Harris, F.; Taaffe, D.R.; Cauley, J.A.; Tylavsky, F.A.; Harris, T.B.; Lang, T.F.; Cummings, S.R. Prediction of Clinical Non-Spine Fractures in Older Black and White Men and Women with Volumetric BMD of the Spine and Areal BMD of the Hip: The Health, Aging, and Body Composition Study. J. Bone Miner. Res. 2007, 22, 1862–1868. [Google Scholar] [CrossRef] [PubMed]
- Hidarnia, A.; Jeihooni, A.K.; Kaveh, M.H.; Hajizadeh, E.; Askari, A. The effect of an educational program based on health belief model on preventing osteoporosis in women. Int. J. Prev. Med. 2015, 6, 115. [Google Scholar] [CrossRef]
- Brennan, S.L.; Pasco, J.A.; Urquhart, D.M.; Oldenburg, B.; Wang, Y.; Wluka, A.E. Association between socioeconomic status and bone mineral density in adults: A systematic review. Osteoporos. Int. 2010, 22, 517–527. [Google Scholar] [CrossRef]
- Maghbooli, Z.; Khorrami-Nezhad, L.; Adabi, E.; Ramezani, M.; Asadollahpour, E.; Razi, F.; Rezanezhad, M. Negative correlation of high-density lipoprotein-cholesterol and bone mineral density in postmenopausal Iranian women with vitamin D deficiency. Menopause 2018, 25, 458–464. [Google Scholar] [CrossRef]
- Jeong, I.-K.; Cho, S.W.; Kim, S.W.; Choi, H.J.; Park, K.S.; Kim, S.Y.; Lee, H.K.; Cho, S.-H.; Oh, B.-H.; Shin, C.S. Lipid Profiles and Bone Mineral Density in Pre- and Postmenopausal Women in Korea. Calcif. Tissue Int. 2010, 87, 507–512. [Google Scholar] [CrossRef]
- Gu, L.-J.; Lai, X.-Y.; Wang, Y.-P.; Zhang, J.-M.; Liu, J.-P. A community-based study of the relationship between calcaneal bone mineral density and systemic parameters of blood glucose and lipids. Medicine 2019, 98, e16096. [Google Scholar] [CrossRef]
- D’Amelio, P.; Di Bella, S.; Tamone, C.; Ravazzoli, M.G.A.; Cristofaro, M.A.; Di Stefano, M.; Isaia, G. HDL cholesterol and bone mineral density in normal-weight postmenopausal women: Is there any possible association? Panminerva Med. 2008, 50, 89–96. [Google Scholar]
- Scimeca, M.; Feola, M.; Romano, L.; Rao, C.; Gasbarra, E.; Bonanno, E.; Brandi, M.L.; Tarantino, U. Heavy metals accumulation affects bone microarchitecture in osteoporotic patients. Environ. Toxicol. 2016, 32, 1333–1342. [Google Scholar] [CrossRef] [PubMed]
- Zhang, S.; Sun, L.; Zhang, J.; Liu, S.; Han, J.; Liu, Y. Adverse Impact of Heavy Metals on Bone Cells and Bone Metabolism Dependently and Independently through Anemia. Adv. Sci. 2020, 7, 2000383. [Google Scholar] [CrossRef] [PubMed]
- Bae, Y.-J.; Kim, M.-H. Manganese Supplementation Improves Mineral Density of the Spine and Femur and Serum Osteocalcin in Rats. Biol. Trace Elem. Res. 2008, 124, 28–34. [Google Scholar] [CrossRef] [PubMed]
- Wu, C.; Wang, J.; Li, P.; Liu, G.; Li, X.; Ma, H.; Wang, W.; Wang, Z.; Ge, C.; Gao, S. Bone Mineral Density and Elemental Composition of Bone Tissues in “Red-Boned” Guishan Goats. Biol. Trace Elem. Res. 2012, 149, 340–344. [Google Scholar] [CrossRef] [PubMed]
- Eleftheriou, K.I.; Rawal, J.S.; James, L.E.; Payne, J.R.; Loosemore, M.; Pennell, D.J.; World, M.; Drenos, F.; Haddad, F.S.; Humphries, S.E.; et al. Bone structure and geometry in young men: The influence of smoking, alcohol intake and physical activity. Bone 2013, 52, 17–26. [Google Scholar] [CrossRef]
- Yoon, V.; Maalouf, N.M.; Sakhaee, K. The effects of smoking on bone metabolism. Osteoporos. Int. 2012, 23, 2081–2092. [Google Scholar] [CrossRef] [PubMed]
- Akhlaq, U.; Bin Ayaz, S.; Ahmad, K.; Akhtar, N. Assessment of association of smoking with bone mineral density (BMD) and fragility fractures in a cohort of Pakistani males aged ≤ 50 years and postmenopausal females. Rawal Med. J. 2015, 40, 255–258. [Google Scholar]
- Guo, R.; Wu, L.; Fu, Q. Is There Causal Relationship of Smoking and Alcohol Consumption with Bone Mineral Density? A Mendelian Randomization Study. Calcif. Tissue Int. 2018, 103, 546–553. [Google Scholar] [CrossRef]
- Hu, Z.; Zhang, L.; Lin, Z.; Zhao, C.; Xu, S.; Lin, H.; Zhang, J.; Li, W.; Chu, Y. Prevalence and risk factors for bone loss in rheumatoid arthritis patients from South China: Modeled by three methods. BMC Musculoskelet. Disord. 2021, 22, 534. [Google Scholar] [CrossRef] [PubMed]



| Variables | Candidates (n = 2937) |
|---|---|
| Demographics | |
| Gender (n, %) | |
| Male | 1435 (48.86) |
| Female | 1502 (51.14) |
| Age (n, %) | |
| ≤20 | 251 (8.55) |
| 20–40 | 1380 (46.99) |
| >40 | 1306 (44.47) |
| Education status (n, %) | |
| Less than high school | 491 (16.72) |
| High school | 719 (24.48) |
| Above | 1727 (58.80) |
| Race (n, %) | |
| Mexican American/Other Hispanic | 824 (28.06) |
| Non-Hispanic White | 982 (33.44) |
| Non-Hispanic Black | 562 (19.14) |
| Other | 569 (19.37) |
| Ratio of family income to poverty (n, %) | |
| ≤1 | 607 (20.67) |
| 1–3 | 1293 (44.02) |
| >3 | 1037 (35.31) |
| Examination | |
| BMI, kg/m2 (n, %) | |
| ≤25 | 908 (30.92) |
| 25–30 | 900 (30.64) |
| ≥30 | 1129 (38.44) |
| Left arm BMD, g/cm2, mean (SD) | 0.77 (0.10) |
| Left leg BMD, g/cm2, mean (SD) | 1.16 (0.14) |
| Total BMD, g/cm2, mean(SD) | 1.11 (0.11) |
| Laboratory | |
| HDL, mmol/L, mean (SD) | 1.36 (0.40) |
| TC, mmol/L, mean (SD) | 4.85 (1.02) |
| Lead, μmol/L, mean (SD) | 0.05 (0.05) |
| Cadmium, μmol/L, mean (SD) | 1.59 (3.80) |
| Total mercury, μmol/L, mean (SD) | 2.92 (8.33) |
| Selenium, μmol/L, mean (SD) | 2.44 (0.31) |
| Manganese, μg/L, mean (SD) | 10.36 (3.89) |
| Inorganic mercury, μmol/L, mean (SD) | 0.50 (0.96) |
| Ethyl mercury, μg/L, mean (SD) | 0.08 (0.03) |
| Methyl mercury, μg/L, mean (SD) | 1.17 (2.00) |
| Questionnaire | |
| Smoking/cigarette use (n, %) | |
| Never | 1800 (61.29) |
| Former | 513 (17.47) |
| Current | 624 (21.25) |
| Alcohol use (n, %) | |
| Yes | 1143 (38.92) |
| No | 1794 (61.08) |
| Quantiles | |||||||||
|---|---|---|---|---|---|---|---|---|---|
| 0.1 | 0.2 | 0.3 | 0.4 | 0.5 | 0.6 | 0.7 | 0.8 | 0.9 | |
| Y1 | |||||||||
| ×1 | −0.112 * | −0.118 * | −0.119 * | −0.123 * | −0.125 * | −0.129 * | −0.137 * | −0.142 * | −0.149 * |
| ×3 | −0.005 | −0.003 | −0.007 | −0.008 * | −0.010 * | −0.010 * | −0.008 | −0.006 | −0.007 |
| ×4 | 0.000 | 0.001 | 0.002 | 0.002 * | 0.002 | 0.003 * | 0.003 * | 0.003 | 0.007 * |
| ×6 | 0.084 | 0.047 | 0.092 * | 0.105 * | 0.097 * | 0.133 * | 0.158 * | 0.172 * | 0.169 * |
| ×7 | −0.034 | −0.032 | −0.046 * | −0.056 * | −0.067 * | −0.072 * | −0.103 * | −0.100 * | −0.079 * |
| ×8 | −1.315 | −1.247 | −1.316 | −1.671 * | −1.516 | −1.157 | −1.288 | −1.392 | −0.419 |
| ×12 | −0.035 * | −0.048 * | −0.043 * | −0.042 * | −0.044 * | −0.046 * | −0.042 * | −0.047 * | −0.045 * |
| ×14 | −3.947 * | −4.208 * | −3.376 | −4.491 * | −4.34 * | −2.713 | −3.569 * | −3.572 * | −1.666 |
| ×15 | −0.018 | −0.014 | −0.029 | −0.047 | −0.054 * | −0.039 | −0.058 * | −0.052 | −0.067 * |
| ×16 | 0.019 * | 0.020 * | 0.017 * | 0.018 * | 0.020 * | 0.020 * | 0.024 * | 0.025 * | 0.020 * |
| ×17 | 0.024 * | 0.028 * | 0.026 * | 0.027 * | 0.028 * | 0.025 * | 0.026 * | 0.032 * | 0.023 * |
| ×18 | 0.032 * | 0.040 * | 0.046 * | 0.043 * | 0.045 * | 0.051 * | 0.059 * | 0.066 * | 0.076 * |
| Intercept | 0.755 * | 0.785 * | 0.806 * | 0.821 * | 0.842 * | 0.858 * | 0.879 * | 0.913 * | 0.910 * |
| Y2 | |||||||||
| ×1 | −0.109 * | −0.116 * | −0.125 * | −0.128 * | −0.140 * | −0.144 * | −0.147 * | −0.148 * | −0.161 * |
| ×2 | −0.042 * | −0.046 * | −0.041 * | −0.042 * | −0.033 * | −0.030 * | −0.030 * | −0.027 * | −0.029 * |
| ×4 | 0.005 * | 0.005 * | 0.006 * | 0.008 * | 0.009 * | 0.009 * | 0.010 * | 0.011 * | 0.015 * |
| ×6 | 0.082 | 0.138 | 0.157 * | 0.128 * | 0.178 * | 0.138 * | 0.156 * | 0.205 * | 0.235 * |
| ×7 | −0.089 * | −0.080 * | −0.091 * | −0.094 * | −0.093 * | −0.113 * | −0.120 * | −0.157 * | −0.181 * |
| ×8 | −2.857 | −1.814 | −2.373 | −3.275 * | −5.288 * | −3.739 | −1.514 | −1.965 | −3.338 * |
| ×12 | −0.049 * | −0.061 * | −0.057 * | −0.065 * | −0.05 * | −0.055 * | −0.064 | −0.070 * | −0.094 * |
| ×14 | −13.582 * | −7.815 * | −5.273 * | −3.625 | −3.054 | −1.901 | −2.814 | −3.692 | −3.459 |
| ×16 | 0.006 | 0.016 | 0.017 * | 0.015 | 0.017 * | 0.018 * | 0.019 * | 0.014 * | 0.013 |
| ×17 | 0.037 * | 0.029 * | 0.032 * | 0.046 * | 0.046 * | 0.035 * | 0.036 * | 0.043 * | 0.048 * |
| ×18 | 0.080 * | 0.085 * | 0.075 * | 0.080 * | 0.083 * | 0.074 * | 0.083 * | 0.081 * | 0.088 * |
| Intercept | 1.074 * | 1.135 * | 1.175 * | 1.192 * | 1.227 * | 1.256 * | 1.305 * | 1.335 * | 1.444 * |
| Y3 | |||||||||
| ×1 | −0.055 * | −0.059 * | −0.063 * | −0.063 * | −0.065 * | −0.067 * | −0.07 * | −0.068 * | −0.082 * |
| ×2 | −0.038 * | −0.030 * | −0.022 * | −0.016 | −0.006 | 0.000 | 0.001 | 0.011 | 0.019 |
| ×4 | 0.006 * | 0.007 * | 0.007 * | 0.008 * | 0.007 * | 0.008 * | 0.011 * | 0.012 * | 0.014 * |
| ×6 | 0.139 | 0.108 | 0.225 * | 0.184 * | 0.203 * | 0.185 * | 0.210 * | 0.156 * | 0.203 * |
| ×7 | −0.072 * | −0.077 * | −0.106 * | −0.105 * | −0.125 * | −0.133 * | −0.143 * | −0.136 * | −0.151 * |
| ×8 | −4.439 * | −3.800 | −2.233 | −2.183 | −2.896 * | −3.263 * | −3.686 * | −2.951 | −3.721 * |
| ×12 | −0.054 * | −0.045 * | −0.045 * | −0.028 | −0.034 * | −0.046 * | −0.058 * | −0.058 * | −0.061 * |
| ×14 | −11.694 * | −6.434 * | −7.453 * | −2.730 | −2.879 | −2.664 | −6.229 * | −3.576 | −1.562 |
| ×16 | 0.005 | 0.009 | 0.004 | 0.005 | 0.010 | 0.014 * | 0.013 | 0.008 | −0.001 |
| ×17 | 0.034 * | 0.039 * | 0.034 * | 0.042 * | 0.028 * | 0.016 | 0.030 * | 0.042 * | 0.042 * |
| ×18 | 0.051 * | 0.056 * | 0.061 * | 0.047 * | 0.044 * | 0.047 * | 0.046 * | 0.048 * | 0.056 * |
| Intercept | 1.054 * | 1.088 * | 1.123 * | 1.136 * | 1.147 * | 1.171 * | 1.192 * | 1.233 * | 1.282 * |
Publisher’s Note: MDPI stays neutral with regard to jurisdictional claims in published maps and institutional affiliations. |
© 2021 by the authors. Licensee MDPI, Basel, Switzerland. This article is an open access article distributed under the terms and conditions of the Creative Commons Attribution (CC BY) license (https://creativecommons.org/licenses/by/4.0/).
Share and Cite
Sun, C.; Zhu, B.; Zhu, S.; Zhang, L.; Du, X.; Tan, X. Risk Factors Analysis of Bone Mineral Density Based on Lasso and Quantile Regression in America during 2015–2018. Int. J. Environ. Res. Public Health 2022, 19, 355. https://doi.org/10.3390/ijerph19010355
Sun C, Zhu B, Zhu S, Zhang L, Du X, Tan X. Risk Factors Analysis of Bone Mineral Density Based on Lasso and Quantile Regression in America during 2015–2018. International Journal of Environmental Research and Public Health. 2022; 19(1):355. https://doi.org/10.3390/ijerph19010355
Chicago/Turabian StyleSun, Chao, Boya Zhu, Sirong Zhu, Longjiang Zhang, Xiaoan Du, and Xiaodong Tan. 2022. "Risk Factors Analysis of Bone Mineral Density Based on Lasso and Quantile Regression in America during 2015–2018" International Journal of Environmental Research and Public Health 19, no. 1: 355. https://doi.org/10.3390/ijerph19010355
APA StyleSun, C., Zhu, B., Zhu, S., Zhang, L., Du, X., & Tan, X. (2022). Risk Factors Analysis of Bone Mineral Density Based on Lasso and Quantile Regression in America during 2015–2018. International Journal of Environmental Research and Public Health, 19(1), 355. https://doi.org/10.3390/ijerph19010355

