Assessment of Home-Based and Mobility-Based Exposure to Black Carbon in an Urban Environment: A Pilot Study
Abstract
1. Introduction
2. Materials and Methods
2.1. Site Description and Experimental Design
2.2. Black Carbon Measurements
2.3. Fixed Site PM Measurements and Meteorological Parameters
2.4. Personal Exposure Assessment
2.5. Inhaled Dose Calculation
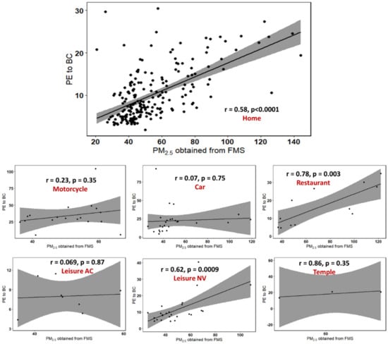
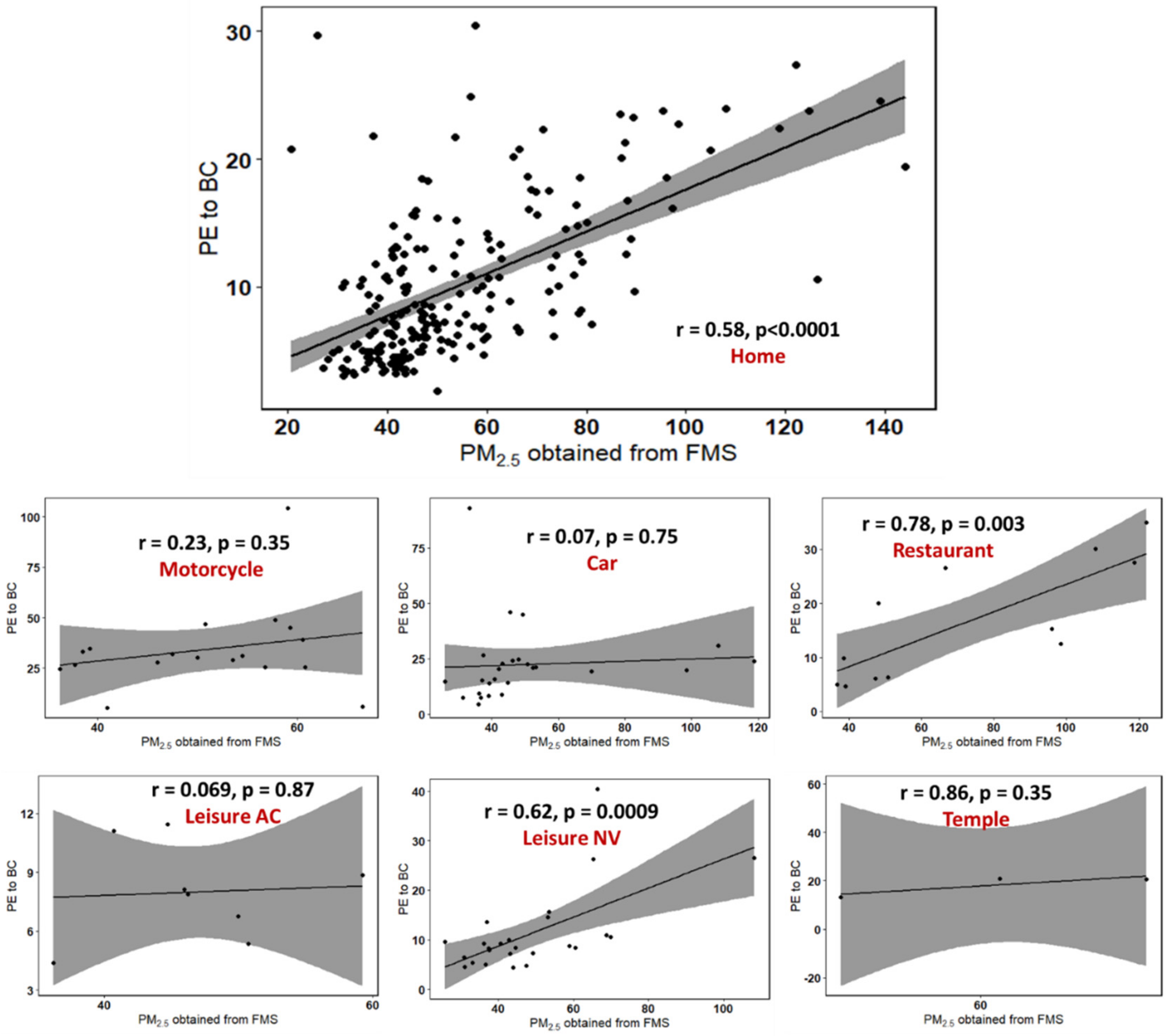
3. Results
3.1. BC PE Concentrations at the Home Microenvironment and During Urban Mobility
3.2. Daily Integrated BC Dose on Five Different Days
3.3. Indoor to Outdoor Ratios of BC PE
4. Discussion
5. Limitations of the Study
6. Practical Implications
7. Conclusions
Author Contributions
Funding
Institutional Review Board Statement
Informed Consent Statement
Data Availability Statement
Conflicts of Interest
Appendix A
Quality Control, Data Processing and Analysis
| Participant | Measured Day | Average BC (µg/m3) |
|---|---|---|
| Home-based exposure | Day 1 | 9.11 |
| Day 2 | 10.68 | |
| Day 3 | 10.49 | |
| Day 4 | 10.16 | |
| Day 5 | 10.57 | |
| Average | 10.20 | |
| Mobility exposure | Day 1 | 11.72 |
| Day 2 | 11.50 | |
| Day 3 | 12.27 | |
| Day 4 | 11.84 | |
| Day 5 | 12.64 | |
| Average | 11.99 |
| Metric | Morning | Noon | Afternoon | Evening | Night | Total | |
|---|---|---|---|---|---|---|---|
| BC, µg/m3 | AM | 9.86 | 6.53 | 5.99 | 12.03 | 11.93 | 10.05 |
| AM SD | 3.59 | 11.21 | 9.11 | 6.25 | 6.76 | 7.58 | |
| GM | 9.21 | 5.33 | 4.76 | 10.42 | 10.15 | 8.30 | |
| GM SD | 1.46 | 1.77 | 1.74 | 1.75 | 1.77 | 1.86 | |
| max | 23.79 | 240.17 | 154.10 | 33.47 | 45.36 | 240.17 | |
| min | 3.15 | 0.11 | 0.00 | 0.30 | 3.07 | 0.00 | |
| N | 2081 | 913 | 1898 | 1892 | 4015 | 10,799 | |
| CI | 0.15 | 0.73 | 0.41 | 0.28 | 0.21 | 0.14 | |
| Metric | BC Dose in Different MEs (µg/day) | Sum (µg/day) | ||||||
|---|---|---|---|---|---|---|---|---|
| Home | Transport | Leisure-NV | Leisure-AC | Restaurant | Difference (%) | |||
| Home-based exposure | Day 1 | 118.10 | -- | -- | -- | -- | 118.10 | -- |
| Day 2 | 138.39 | -- | -- | -- | -- | 138.39 | -- | |
| Day 3 | 136.01 | -- | -- | -- | -- | 136.01 | -- | |
| Day 4 | 131.64 | -- | -- | -- | -- | 131.64 | -- | |
| Day 5 | 137.03 | -- | -- | -- | -- | 137.03 | -- | |
| Mobility-based exposure | Day 1 | 84.93 | 49.43 | 6.40 | 11.17 | -- | 151.92 | 28.63 |
| Day 2 | 102.45 | 24.89 | 21.65 | -- | -- | 148.98 | 7.65 | |
| Day 3 | 110.41 | 13.19 | -- | 22.33 | 35.46 | 159.07 | 16.96 | |
| Day 4 | 90.32 | 51.06 | 6.90 | -- | 5.15 | 153.43 | 16.55 | |
| Day 5 | 109.72 | 23.91 | 22.15 | 8.10 | -- | 163.87 | 19.59 | |



References
- WHO. World Health Organization: Health Effects of Black Carbon; WHO Regional Office for Europe: Copenhagen, Denmark, 2012. [Google Scholar]
- Brauer, M.; Freedman, G.; Frostad, J.; Van Donkelaar, A.; Martin, R.V.; Dentener, F.; Van Dingenen, R.; Estep, K.; Amini, H.; Apte, J.S.; et al. Ambient Air Pollution Exposure Estimation for the Global Burden of Disease. Environ. Sci. Technol. 2016, 50, 79–88. [Google Scholar] [CrossRef]
- Lim, S.S.; Vos, T.; Flaxman, A.D.; Danaei, G.; Shibuya, K.; Adair-Rohani, H.; AlMazroa, A.M.; Amann, M.; Anderson, H.R.; Andrews, K.G.; et al. A comparative risk assessment of burden of disease and injury attributable to 67 risk factors and risk factor clusters in 21 regions, 1990–2010: A systematic analysis for the Global Burden of Disease Study. Lancet 2012, 380, 2224–2260. [Google Scholar] [CrossRef]
- McCracken, J.; Baccarelli, A.; Hoxha, M.; Dioni, L.; Melly, S.; Coull, B.; Suh, H.; Vokonas, P.; Schwartz, J. Annual Ambient Black Carbon Associated with Shorter Telomeres in Elderly Men: Veterans Affairs Normative Aging Study. Environ. Health Perspect. 2010, 118, 1564–1570. [Google Scholar] [CrossRef]
- Wellenius, G.A.; Burger, M.R.; Coull, B.A.; Schwartz, J.; Suh, H.H.; Koutrakis, P.; Schlaug, G.; Gold, D.R.; Mittleman, M.A. Ambient Air Pollution and the Risk of Acute Ischemic Stroke. Arch. Intern. Med. 2012, 172, 229–234. [Google Scholar] [CrossRef]
- Lin, W.; Huang, W.; Zhu, T.; Hu, M.; Brunekreef, B.; Zhang, Y.; Liu, X.; Cheng, H.; Gehring, U.; Li, C.; et al. Acute Respiratory Inflammation in Children and Black Carbon in Ambient Air before and during the 2008 Beijing Olympics. Environ. Health Perspect. 2011, 119, 1507–1512. [Google Scholar] [CrossRef]
- Patel, M.M.; Chillrud, S.N.; Correa, J.C.; Hazi, Y.; Feinberg, M.; Kc, D.; Prakash, S.; Ross, J.M.; Levy, D.; Kinney, P.L. Traffic-Related Particulate Matter and Acute Respiratory Symptoms among New York City Area Adolescents. Environ. Health Perspect. 2010, 118, 1338–1343. [Google Scholar] [CrossRef]
- Luben, T.J.; Nichols, J.L.; Dutton, S.J.; Kirrane, E.; Owens, E.O.; Datko-Williams, L.; Madden, M.; Sacks, J.D. A systematic review of cardiovascular emergency department visits, hospital admissions and mortality associated with ambient black carbon. Environ. Int. 2017, 107, 154–162. [Google Scholar] [CrossRef]
- Gan, W.Q.; Koehoorn, M.; Davies, H.W.; Demers, P.A.; Tamburic, L.; Brauer, M. Long-Term Exposure to Traffic-Related Air Pollution and the Risk of Coronary Heart Disease Hospitalization and Mortality. Environ. Health Perspect. 2011, 119, 501–507. [Google Scholar] [CrossRef]
- Violante, F.S.; Barbieri, A.; Curti, S.; Sanguinetti, G.; Graziosi, F.; Mattioli, S. Urban atmospheric pollution: Personal exposure versus fixed monitoring station measurements. Chemosphere 2006, 64, 1722–1729. [Google Scholar] [CrossRef] [PubMed]
- Steinle, S.; Reis, S.; Sabel, C.E.; Semple, S.; Twigg, M.M.; Braban, C.F.; Leeson, S.R.; Heal, M.R.; Harrison, D.; Lin, C.; et al. Personal exposure monitoring of PM 2.5 in indoor and outdoor microenvironments. Sci. Total Environ. 2015, 508, 383–394. [Google Scholar] [CrossRef]
- Dons, E.; Panis, L.I.; Van Poppel, M.; Theunis, J.; Willems, H.; Torfs, R.; Wets, G. Impact of time–activity patterns on personal exposure to black carbon. Atmos. Environ. 2011, 45, 3594–3602. [Google Scholar] [CrossRef]
- Van Tran, V.; Park, D.; Lee, Y.-C. Indoor Air Pollution, Related Human Diseases, and Recent Trends in the Control and Improvement of Indoor Air Quality. Int. J. Environ. Res. Public Health 2020, 17, 2927. [Google Scholar] [CrossRef] [PubMed]
- Kerckhoffs, J.; Hoek, G.; Vlaanderen, J.; van Nunen, E.; Messier, K.; Brunekreef, B.; Gulliver, J.; Vermeulen, R. Robustness of intra urban land-use regression models for ultrafine particles and black carbon based on mobile monitoring. Environ. Res. 2017, 159, 500–508. [Google Scholar] [CrossRef]
- Krauskopf, J.; van Veldhoven, K.; Chadeau-Hyam, M.; Vermeulen, R.; Carrasco-Turigas, G.; Nieuwenhuijsen, M.; Vineis, P.; de Kok, T.M.; Kleinjans, J.C. Short-term exposure to traffic-related air pollution reveals a compound-specific circulating miRNA profile indicating multiple disease risks. Environ. Int. 2019, 128, 193–200. [Google Scholar] [CrossRef] [PubMed]
- Guttikunda, S.K.; Nishadh, K.; Jawahar, P. Air pollution knowledge assessments (APnA) for 20 Indian cities. Urban. Clim. 2019, 27, 124–141. [Google Scholar] [CrossRef]
- Janssen, N.A.; Hoek, G.; Simic-Lawson, M.; Fischer, P.; Van Bree, L.; ten Brink, H.; Keuken, M.; Atkinson, R.W.; Anderson, H.R.; Brunekreef, B.; et al. Black Carbon as an Additional Indicator of the Adverse Health Effects of Airborne Particles Compared with PM10and PM2. Environ. Health Perspect. 2011, 119, 1691–1699. [Google Scholar] [CrossRef] [PubMed]
- Bond, T.C.; Doherty, S.J.; Fahey, D.W.; Forster, P.M.; Berntsen, T.; DeAngelo, B.J.; Flanner, M.G.; Ghan, S.; Kaercher, B.; Koch, D.; et al. Bounding the role of black carbon in the climate system: A scientific assessment. J. Geophys. Res. Atmos. 2013, 118, 5380–5552. [Google Scholar]
- Dey, S.; Di Girolamo, L.; van Donkelaar, A.; Tripathi, S.; Gupta, T.; Mohan, M. Variability of outdoor fine particulate (PM2.5) concentration in the Indian Subcontinent: A remote sensing approach. Remote. Sens. Environ. 2012, 127, 153–161. [Google Scholar] [CrossRef]
- Rana, A.; Jia, S.; Sarkar, S. Black carbon aerosol in India: A comprehensive review of current status and future prospects. Atmos. Res. 2019, 218, 207–230. [Google Scholar] [CrossRef]
- Dons, E.; Panis, L.I.; Van Poppel, M.; Theunis, J.; Wets, G. Personal exposure to Black Carbon in transport microenvironments. Atmos. Environ. 2012, 55, 392–398. [Google Scholar] [CrossRef]
- Jeong, H.; Park, D. Characteristics of elementary school children’s daily exposure to black carbon (BC) in Korea. Atmos. Environ. 2017, 154, 179–188. [Google Scholar] [CrossRef]
- Guang-Li, X.; Lei, X.-N.; Xiu, G.-L.; Gao, C.-Y.; Gao, S.; Qian, N.-S. Personal exposure to black carbon during commuting in peak and off-peak hours in Shanghai. Sci. Total Environ. 2015, 524–525, 237–245. [Google Scholar]
- Williams, R.D.; Knibbs, L.D. Daily personal exposure to black carbon: A pilot study. Atmos. Environ. 2016, 132, 296–299. [Google Scholar] [CrossRef]
- Choi, S.; Park, J.-H.; Kim, S.-Y.; Kwak, H.; Kim, D.; Lee, K.-H.; Park, D.-U. Characteristics of PM2.5 and Black Carbon Exposure Among Subway Workers. Int. J. Environ. Res. Public Health 2019, 16, 2901. [Google Scholar] [CrossRef]
- Qiu, Z.; Lv, H.; Zhang, F.; Wang, W.; Hao, Y. Pedestrian exposure to PM2.5, BC and UFP of adults and teens: A case study in Xi’an, China. Sustain. Cities Soc. 2019, 51, 101774. [Google Scholar] [CrossRef]
- Brand, V.S.; Kumar, P.; Damascena, A.S.; Pritchard, J.P.; Geurs, K.T.; de Fatima Andrade, M. Impact of route choice and period of the day on cyclists’ exposure to black carbon in London, Rotterdam and São Paulo. J. Transp. Geogr. 2019, 76, 153–165. [Google Scholar] [CrossRef]
- Krecl, P.; Cipoli, Y.A.; Targino, A.C.; de Oliveira Toloto, M.; Segersson, D.; Parra, Á.; Polezer, G.; Godoi, R.H.M.; Gidhagen, L. Modelling urban cyclists’ exposure to black carbon particles using high spatiotemporal data: A statistical approach. Sci. Total Environ. 2019, 679, 115–125. [Google Scholar] [CrossRef]
- Hofman, J.; Samson, R.; Joosen, S.; Blust, R.; Lenaerts, S. Cyclist exposure to black carbon, ultrafine particles and heavy metals: An experimental study along two commuting routes near Antwerp, Belgium. Environ. Res. 2018, 164, 530–538. [Google Scholar] [CrossRef]
- Targino, A.C.; Rodrigues, M.V.C.; Krecl, P.; Cipoli, Y.A.; Ribeiro, J.P.M. Commuter exposure to black carbon particles on diesel buses, on bicycles and on foot: A case study in a Brazilian city. Environ. Sci. Pollut. Res. 2018, 25, 1132–1146. [Google Scholar] [CrossRef]
- Ham, W.; Vijayan, A.; Schulte, N.; Herner, J.D. Commuter exposure to PM2.5, BC, and UFP in six common transport microenvironments in Sacramento, California. Atmos. Environ. 2017, 167, 335–345. [Google Scholar] [CrossRef]
- Merritt, A.-S.; Georgellis, A.; Andersson, N.; Bedada, G.B.; Bellander, T.; Johansson, C. Personal exposure to black carbon in Stockholm, using different intra-urban transport modes. Sci. Total Environ. 2019, 674, 279–287. [Google Scholar] [CrossRef] [PubMed]
- Onat, B.; Şahin, Ü.A.; Uzun, B.; Akın, Ö.; Özkaya, F.; Ayvaz, C. Determinants of exposure to ultrafine particulate matter, black carbon, and PM2.5 in common travel modes in Istanbul. Atmos. Environ. 2019, 206, 258–270. [Google Scholar] [CrossRef]
- Moreno, T.; Reche, C.; Rivas, I.; Minguillón, M.C.; Martins, V.; Vargas, C.; Buonanno, G.; Parga, J.; Pandolfi, M.; Brines, M.; et al. Urban air quality comparison for bus, tram, subway and pedestrian commutes in Barcelona. Environ. Res. 2015, 142, 495–510. [Google Scholar] [CrossRef]
- Quang, T.N.; Hue, N.T.; Van Dat, M.; Tran, L.K.; Phi, T.H.; Morawska, L.; Thai, P.K. Motorcyclists have much higher exposure to black carbon compared to other commuters in traffic of Hanoi, Vietnam. Atmos. Environ. 2021, 245, 118029. [Google Scholar] [CrossRef]
- Le, H.A. Real-time black carbon personal exposure levels in microenvironments: Home to home on a round-trip, Hanoi–Singapore. J. Air Waste Manag. Assoc. 2018, 69, 259–265. [Google Scholar]
- Targino, A.C.; Machado, B.L.F.; Krecl, P. Concentrations and personal exposure to black carbon particles at airports and on commercial flights. Transp. Res. Part. D: Transp. Environ. 2017, 52, 128–138. [Google Scholar] [CrossRef]
- Jeong, H.; Park, D. Contribution of time-activity pattern and microenvironment to black carbon (BC) inhalation exposure and potential internal dose among elementary school children. Atmos. Environ. 2017, 164, 270–279. [Google Scholar] [CrossRef]
- Dons, E.; Laeremans, M.; Orjuela, J.P.; Avila-Palencia, I.; De Nazelle, A.; Nieuwenhuijsen, M.; Van Poppel, M.; Carrasco-Turigas, G.; Standaert, A.; De Boever, P.; et al. Transport most likely to cause air pollution peak exposures in everyday life: Evidence from over 2000 days of personal monitoring. Atmos. Environ. 2019, 213, 424–432. [Google Scholar] [CrossRef]
- Ravindra, K. Emission of black carbon from rural households kitchens and assessment of lifetime excess cancer risk in villages of North India. Environ. Int. 2019, 122, 201–212. [Google Scholar] [CrossRef]
- Abdullahi, K.L.; Delgado-Saborit, J.M.; Harrison, R.M. Emissions and indoor concentrations of particulate matter and its specific chemical components from cooking: A review. Atmos. Environ. 2013, 71, 260–294. [Google Scholar] [CrossRef]
- Rupakheti, D.; Oanh, N.T.K.; Rupakheti, M.; Sharma, R.K.; Panday, A.K.; Puppala, S.P.; Lawrence, M.G. Indoor levels of black carbon and particulate matters in relation to cooking activities using different cook stove-fuels in rural Nepal. Energy Sustain. Dev. 2019, 48, 25–33. [Google Scholar] [CrossRef]
- Buonanno, G.; Stabile, L.; Morawska, L.; Russi, A. Children exposure assessment to ultrafine particles and black carbon: The role of transport and cooking activities. Atmos. Environ. 2013, 79, 53–58. [Google Scholar] [CrossRef]
- Zhang, Q.; Gangupomu, R.H.; Ramirez, D.; Zhu, Y. Measurement of Ultrafine Particles and Other Air Pollutants Emitted by Cooking Activities. Int. J. Environ. Res. Public Health 2010, 7, 1744–1759. [Google Scholar] [CrossRef]
- Babu, S.S.; Moorthy, K.K. Anthropogenic impact on aerosol black carbon mass concentration at a tropical coastal station: A case study. Curr. Sci. 2001, 81, 1208–1214. [Google Scholar]
- Kompalli, S.K.; Moorthy, K.K.; Babu, S.S. Rapid response of atmospheric BC to anthropogenic sources: Observational evidence. Atmos. Sci. Lett. 2013, 15, 166–171. [Google Scholar] [CrossRef]
- Babu, S.S.; Moorthy, K.K. Aerosol black carbon over a tropical coastal station in India. Geophys. Res. Lett. 2002, 29, 13–21. [Google Scholar] [CrossRef]
- Rajeevan, K.; Sumesh, R.; Resmi, E.; Unnikrishnan, C. An observational study on the variation of black carbon aerosol and source identification over a tropical station in south India. Atmos. Pollut. Res. 2019, 10, 30–44. [Google Scholar] [CrossRef]
- Apte, J.S.; Kirchstetter, T.W.; Reich, A.H.; Deshpande, S.J.; Kaushik, G.; Chel, A.; Marshall, J.D.; Nazaroff, W.W. Concentrations of fine, ultrafine, and black carbon particles in auto-rickshaws in New Delhi, India. Atmos. Environ. 2011, 45, 4470–4480. [Google Scholar] [CrossRef]
- Pant, P.; Habib, G.; Marshall, J.D.; Peltier, R.E. PM2.5 exposure in highly polluted cities: A case study from New Delhi, India. Environ. Res. 2017, 156, 167–174. [Google Scholar] [CrossRef] [PubMed]
- Sharma, D.; Jain, S. Reduction in black carbon concentration and its exposure in rural settings of Northern India: An intervention analysis. Chemosphere 2020, 247, 125838. [Google Scholar] [CrossRef]
- Sanchez, M.; Milà, C.; Sreekanth, V.; Balakrishnan, K.; Sambandam, S.; Nieuwenhuijsen, M.; Kinra, S.; Marshall, J.D.; Tonne, C. Personal exposure to particulate matter in peri-urban India: Predictors and association with ambient concentration at residence. J. Exp. Sci. Environ. Epidemiol. 2020, 30, 596–605. [Google Scholar] [CrossRef]
- Che, W.; Frey, H.C.; Fung, J.C.; Ning, Z.; Qu, H.; Lo, H.K.; Chen, L.; Wong, T.-W.; Wong, M.K.; Lee, O.C.; et al. PRAISE-HK: A personalized real-time air quality informatics system for citizen participation in exposure and health risk management. Sustain. Cities Soc. 2020, 54, 101986. [Google Scholar] [CrossRef]
- Shekarrizfard, M.; Faghih-Imani, A.; Hatzopoulou, M. An examination of population exposure to traffic related air pollution: Comparing spatially and temporally resolved estimates against long-term average exposures at the home location. Environ. Res. 2016, 147, 435–444. [Google Scholar] [CrossRef]
- Good, N.; Mölter, A.; Peel, J.L.; Volckens, J. An accurate filter loading correction is essential for assessing personal exposure to black carbon using an Aethalometer. J. Expo. Sci. Environ. Epidemiol. 2017, 27, 409–416. [Google Scholar] [CrossRef]
- Kirchstetter, T.W.; Novakov, T. Controlled generation of black carbon particles from a diffusion flame and applications in evaluating black carbon measurement methods. Atmos. Environ. 2007, 41, 1874–1888. [Google Scholar] [CrossRef]
- Hertel, O.; De Leeuw, F.A.A.M.; Jensen, S.S.; Gee, D.; Herbarth, O.; Pryor, S.; Palmgren, F.; Olsen, E.; Nielsen, O. Human exposure to outdoor air pollution (IUPAC Technical Report). Pure Appl. Chem. 2001, 73, 933–958. [Google Scholar] [CrossRef]
- Hinds, W.C. Aerosol Technology: Properties, Behavior, and Measurement of Airborne Particles; John Wiley & Sons: Hoboken, NJ, USA, 2012. [Google Scholar]
- Matz, C.J.; Stieb, D.M.; Brion, O. Urban-rural differences in daily time-activity patterns, occupational activity and housing characteristics. Environ. Health 2015, 14, 1–11. [Google Scholar] [CrossRef]
- Taneja, A.; Saini, R.; Masih, A. Indoor Air Quality of Houses Located in the Urban Environment of Agra, India. Ann. N. Y. Acad. Sci. 2008, 1140, 228–245. [Google Scholar] [CrossRef] [PubMed]
- Jeong, C.-H.; Salehi, S.; Wu, J.; North, M.L.; Kim, J.S.; Chow, C.-W.; Evans, G.J. Indoor measurements of air pollutants in residential houses in urban and suburban areas: Indoor versus ambient concentrations. Sci. Total Environ. 2019, 693, 133446. [Google Scholar] [CrossRef]
- Zuraimi, M.S.; Tham, K.-W.; Chew, F.-T.; Ooi, P.-L.; Koh, D. Home air-conditioning, traffic exposure, and asthma and allergic symptoms among preschool children. Pediatr. Allergy Immunol. 2011, 22, e112–e118. [Google Scholar] [CrossRef] [PubMed]
- Zuraimi, M.; Tham, K. Reducing particle exposures in a tropical office building using electrostatic precipitators. Build. Environ. 2009, 44, 2475–2485. [Google Scholar] [CrossRef]
- O’Connell, G.; Colard, S.; Cahours, X.; Pritchard, J.D. An Assessment of Indoor Air Quality before, during and after Unrestricted Use of E-Cigarettes in a Small Room. Int. J. Environ. Res. Public Health 2015, 12, 4889–4907. [Google Scholar] [CrossRef]
- Tong, Z.; Chen, Y.; Malkawi, A.; Adamkiewicz, G.; Spengler, J.D. Quantifying the impact of traffic-related air pollution on the indoor air quality of a naturally ventilated building. Environ. Int. 2016, 89–90, 138–146. [Google Scholar] [CrossRef] [PubMed]
- Tran, L.K.; Quang, T.N.; Hue, N.T.; Van Dat, M.; Morawska, L.; Nieuwenhuijsen, M.; Thai, P.K. Exploratory assessment of outdoor and indoor airborne black carbon in different locations of Hanoi, Vietnam. Sci. Total Environ. 2018, 642, 1233–1241. [Google Scholar] [CrossRef] [PubMed]
- Adam, M.G.; Tran, P.T.; Bolan, N.; Balasubramanian, R. Biomass burning-derived airborne particulate matter in Southeast Asia: A critical review. J. Hazard. Mater. 2021, 407, 124760. [Google Scholar] [CrossRef]
- Kar, A.; Rehman, I.H.; Burney, J.; Puppala, S.P.; Suresh, R.; Singh, L.; Singh, V.K.; Ahmed, T.; Ramanathan, N.; Ramanathan, V. Real-Time Assessment of Black Carbon Pollution in Indian Households Due to Traditional and Improved Biomass Cookstoves. Environ. Sci. Technol. 2012, 46, 2993–3000. [Google Scholar] [CrossRef] [PubMed]
- Pope, D.; Bruce, N.; Higgerson, J.; Hyseni, L.; Stanistreet, D.; Mbatchou, B.; Puzzolo, E. Household Determinants of Liquified Petroleum Gas (LPG) as a Cooking Fuel in SW Cameroon. EcoHealth 2018, 15, 729–743. [Google Scholar] [CrossRef] [PubMed]
- Karagulian, F.; Belis, C.A.; Dora, C.F.C.; Prüss-Ustün, A.M.; Bonjour, S.; Adair-Rohani, H.; Amann, M. Contributions to cities’ ambient particulate matter (PM): A systematic review of local source contributions at global level. Atmos. Environ. 2015, 120, 475–483. [Google Scholar] [CrossRef]
- Sharma, R.; Balasubramanian, R. Assessment and mitigation of indoor human exposure to fine particulate matter (PM2.5) of outdoor origin in naturally ventilated residential apartments: A case study. Atmos. Environ. 2019, 212, 163–171. [Google Scholar] [CrossRef]
- Martins, N.R.; da Graça, G.C. Impact of PM2.5 in indoor urban environments: A review. Sustain. Cities Soc. 2018, 42, 259–275. [Google Scholar] [CrossRef]
- Tran, P.T.; Nguyen, T.; Balasubramanian, R. Personal exposure to airborne particles in transport micro-environments and potential health impacts: A tale of two cities. Sustain. Cities Soc. 2020, 63, 102470. [Google Scholar] [CrossRef]
- Tran, P.T.M.; Ngoh, J.R.; Balasubramanian, R. Assessment of the Integrated Personal Exposure to Particulate Emissions in Urban Micro-environments: A Pilot Study. Aerosol Air Qual. Res. 2020, 20, 341–357. [Google Scholar] [CrossRef]
- Leavey, A.; Reed, N.; Patel, S.; Bradley, K.; Kulkarni, P.; Biswas, P. Comparing on-road real-time simultaneous in-cabin and outdoor particulate and gaseous concentrations for a range of ventilation scenarios. Atmos. Environ. 2017, 166, 130–141. [Google Scholar] [CrossRef]
- Hudda, N.; Eckel, S.P.; Knibbs, L.D.; Sioutas, C.; Delfino, R.J.; Fruin, S.A. Linking in-vehicle ultrafine particle exposures to on-road concentrations. Atmos. Environ. 2012, 59, 578–586. [Google Scholar] [CrossRef]
- Kumar, P.; Patton, A.P.; Durant, J.L.; Frey, H.C. A review of factors impacting exposure to PM2.5, ultrafine particles and black carbon in Asian transport microenvironments. Atmos. Environ. 2018, 187, 301–316. [Google Scholar] [CrossRef]
- Clausen, G. Ventilation filters and indoor air quality: A review of research from the International Centre for Indoor Environment and Energy. Indoor Air 2004, 14, 202–207. [Google Scholar] [CrossRef]
- Adam, M.G.; Chiang, A.W.J.; Balasubramanian, R. Insights into characteristics of light absorbing carbonaceous aerosols over an urban location in Southeast Asia. Environ. Pollut. 2020, 257, 113425. [Google Scholar] [CrossRef]
- See, S.; Balasubramanian, R. Characterization of fine particle emissions from incense burning. Build. Environ. 2011, 46, 1074–1080. [Google Scholar] [CrossRef]
- Loupa, G.; Karageorgos, E.; Rapsomanikis, S. Potential effects of particulate matter from combustion during services on human health and on works of art in medieval churches in Cyprus. Environ. Pollut. 2010, 158, 2946–2953. [Google Scholar] [CrossRef] [PubMed]
- Velasco, E.; Tan, S.H. Particles exposure while sitting at bus stops of hot and humid Singapore. Atmos. Environ. 2016, 142, 251–263. [Google Scholar] [CrossRef]
- See, S.W.; Balasubramanian, R. Chemical characteristics of fine particles emitted from different gas cooking methods. Atmos. Environ. 2008, 42, 8852–8862. [Google Scholar] [CrossRef]
- Lunden, M.M.; Kirchstetter, T.W.; Thatcher, T.L.; Hering, S.V.; Brown, N.J. Factors affecting the indoor concentrations of carbonaceous aerosols of outdoor origin. Atmos. Environ. 2008, 42, 5660–5671. [Google Scholar] [CrossRef]
- APnA. Air Pollution Knowledge Assessments for Indian Cities: Summary Report. Available online: http://www.urbanemissions.info/india-apna (accessed on 18 June 2020).
- Kilian, J.; Kitazawa, M. The emerging risk of exposure to air pollution on cognitive decline and Alzheimer’s disease–evidence from epidemiological and animal studies. Biomed. J. 2018, 41, 141–162. [Google Scholar] [CrossRef]
- Suglia, S.F.; Gryparis, A.; Wright, R.O.; Schwartz, J. Association of Black Carbon with Cognition among Children in a Prospective Birth Cohort Study. Am. J. Epidemiol. 2007, 167, 280–286. [Google Scholar] [CrossRef] [PubMed]
- Chiu, Y.-H.M.; Bellinger, D.C.; Coull, B.A.; Anderson, S.; Barber, R.; Wright, R.O.; Wright, R.J. Associations between Traffic-Related Black Carbon Exposure and Attention in a Prospective Birth Cohort of Urban Children. Environ. Health Perspect. 2013, 121, 859–864. [Google Scholar] [CrossRef] [PubMed]
- Tham, K.; Parshetti, G.; Balasubramanian, R.; Sekhar, C.; Cheong, D. Mitigating particulate matter exposure in naturally ventilated buildings during haze episodes. Build. Environ. 2018, 128, 96–106. [Google Scholar] [CrossRef]
- Tran, P.T.; Adam, M.G.; Balasubramanian, R. Mitigation of indoor human exposure to airborne particles of outdoor origin in an urban environment during haze and non-haze periods. J. Hazard. Mater. 2021, 403, 123555. [Google Scholar] [CrossRef]
- Sharma, R.; Balasubramanian, R. Indoor human exposure to size-fractionated aerosols during the 2015 Southeast Asian smoke haze and assessment of exposure mitigation strategies. Environ. Res. Lett. 2017, 12, 114026. [Google Scholar] [CrossRef]
- R Core Team. R: A Language and Environment for Statistical Computing; R Foundation for Statistical Computing: Vienna, Austria, 2020. [Google Scholar]




| Metric | Home | Transport | Restaurant (NV) | Leisure | Temple | Bus stop | |||||||||
|---|---|---|---|---|---|---|---|---|---|---|---|---|---|---|---|
| Motorcycle | Car | AC | NV | ||||||||||||
| Conc. | HB/MB ratio | Conc. | HB/MB ratio | Conc. | HB/MB ratio | Conc. | HB/MB ratio | Conc. | HB/MB ratio | Conc. | HB/MB ratio | Conc. | HB/MB ratio | ||
| AM | 10.13 | 37.91 | 0.58 | 25.75 | 0.69 | 17.53 | 0.93 | 8.93 | 0.96 | 11.83 | 1.11 | 17.45 | 0.74 | 12.11 | 1.45 |
| AM SD | 8.82 | 41.11 | 2.34 | 30.72 | 0.85 | 11.60 | 0.27 | 5.98 | 2.77 | 12.49 | 0.60 | 5.83 | 0.54 | 5.08 | 0.34 |
| GM | 8.27 | 26.23 | 0.29 | 17.49 | 0.46 | 13.78 | 0.89 | 7.92 | 0.68 | 9.04 | 0.95 | 16.58 | 0.55 | 11.44 | 1.40 |
| GM SD | 1.88 | 2.33 | 2.60 | 2.37 | 2.71 | 2.07 | 1.33 | 1.55 | 1.79 | 1.92 | 1.86 | 1.38 | 2.19 | 1.37 | 1.36 |
| Max | 381.62 | 381.62 | 35.44 | 288.18 | 10.96 | 101.37 | 2.14 | 49.52 | 33.16 | 179.16 | 4.91 | 35.77 | 1.73 | 27.90 | 1.78 |
| Min | 0.00 | 3.08 | 0.02 | 0.52 | 0.01 | 3.63 | 0.31 | 1.16 | 0.12 | 2.61 | 0.07 | 9.55 | 0.20 | 7.55 | 0.60 |
| CI | 0.14 | 3.66 | 0.29 | 2.29 | 0.09 | 0.71 | 0.02 | 0.70 | 0.46 | 0.61 | 0.04 | 1.74 | 0.23 | 2.17 | 0.20 |
Publisher’s Note: MDPI stays neutral with regard to jurisdictional claims in published maps and institutional affiliations. |
© 2021 by the authors. Licensee MDPI, Basel, Switzerland. This article is an open access article distributed under the terms and conditions of the Creative Commons Attribution (CC BY) license (https://creativecommons.org/licenses/by/4.0/).
Share and Cite
Adam, M.G.; Tran, P.T.M.; Cheong, D.K.W.; Chandra Sekhar, S.; Tham, K.W.; Balasubramanian, R. Assessment of Home-Based and Mobility-Based Exposure to Black Carbon in an Urban Environment: A Pilot Study. Int. J. Environ. Res. Public Health 2021, 18, 5028. https://doi.org/10.3390/ijerph18095028
Adam MG, Tran PTM, Cheong DKW, Chandra Sekhar S, Tham KW, Balasubramanian R. Assessment of Home-Based and Mobility-Based Exposure to Black Carbon in an Urban Environment: A Pilot Study. International Journal of Environmental Research and Public Health. 2021; 18(9):5028. https://doi.org/10.3390/ijerph18095028
Chicago/Turabian StyleAdam, Max Gerrit, Phuong Thi Minh Tran, David Kok Wai Cheong, Sitaraman Chandra Sekhar, Kwok Wai Tham, and Rajasekhar Balasubramanian. 2021. "Assessment of Home-Based and Mobility-Based Exposure to Black Carbon in an Urban Environment: A Pilot Study" International Journal of Environmental Research and Public Health 18, no. 9: 5028. https://doi.org/10.3390/ijerph18095028
APA StyleAdam, M. G., Tran, P. T. M., Cheong, D. K. W., Chandra Sekhar, S., Tham, K. W., & Balasubramanian, R. (2021). Assessment of Home-Based and Mobility-Based Exposure to Black Carbon in an Urban Environment: A Pilot Study. International Journal of Environmental Research and Public Health, 18(9), 5028. https://doi.org/10.3390/ijerph18095028

