Frailty Status and Polypharmacy Predict All-Cause Mortality in Community Dwelling Older Adults in Europe
Abstract
1. Introduction
2. Materials and Methods
2.1. Study Participants
2.2. Frailty
- -
- One point was assigned for those with a positive answer to “In the last month, have you had too little energy to do the things you wanted to do?” fulfilling the exhaustion criterion.
- -
- Those that reported “diminution in desire for food” to “What has your appetite been like in the last month?” or, in the case of an encodable answer to this question, those that reported “less” to “So, have you been eating more or less than usual?”, had one point in the shrinking criterion.
- -
- Weakness criteria, derived from the highest of 4 handgrip strength measurements, adjusted by gender and body mass index (BMI), and was fulfilled by men with handgrip strength ≤ 29, ≤30 or ≤32, if BMI ≤ 24, 24 < BMI ≤28 or ≤ 32, respectively; and by women with handgrip strength ≤ 17, ≤ 17.3, ≤ 18 or ≤ 21 if BMI ≤ 23, 23 < BMI ≤26, 26 < BMI ≤ 29 or > 29, respectively.
- -
- One point was assigned for those that selected “Climbing one flight of stairs without resting” and/or “Walking 100 m” to the question: “Please tell me whether you have any difficulty doing each of the everyday activities on this card” fulfilling slowness criterion.
- -
- Participants that answered, “One to three times a month” or “hardly ever or never” to the question “How often do you engage in activities that require a low or moderate level of energy such as gardening, cleaning the car, or going for a walk?”, fulfilled the low activity criterion.
2.3. Polypharmacy
2.4. Exposure and Outcomes (All-Cause Mortality)
2.5. Covariates
2.6. Analysis
2.7. Ethics Approval
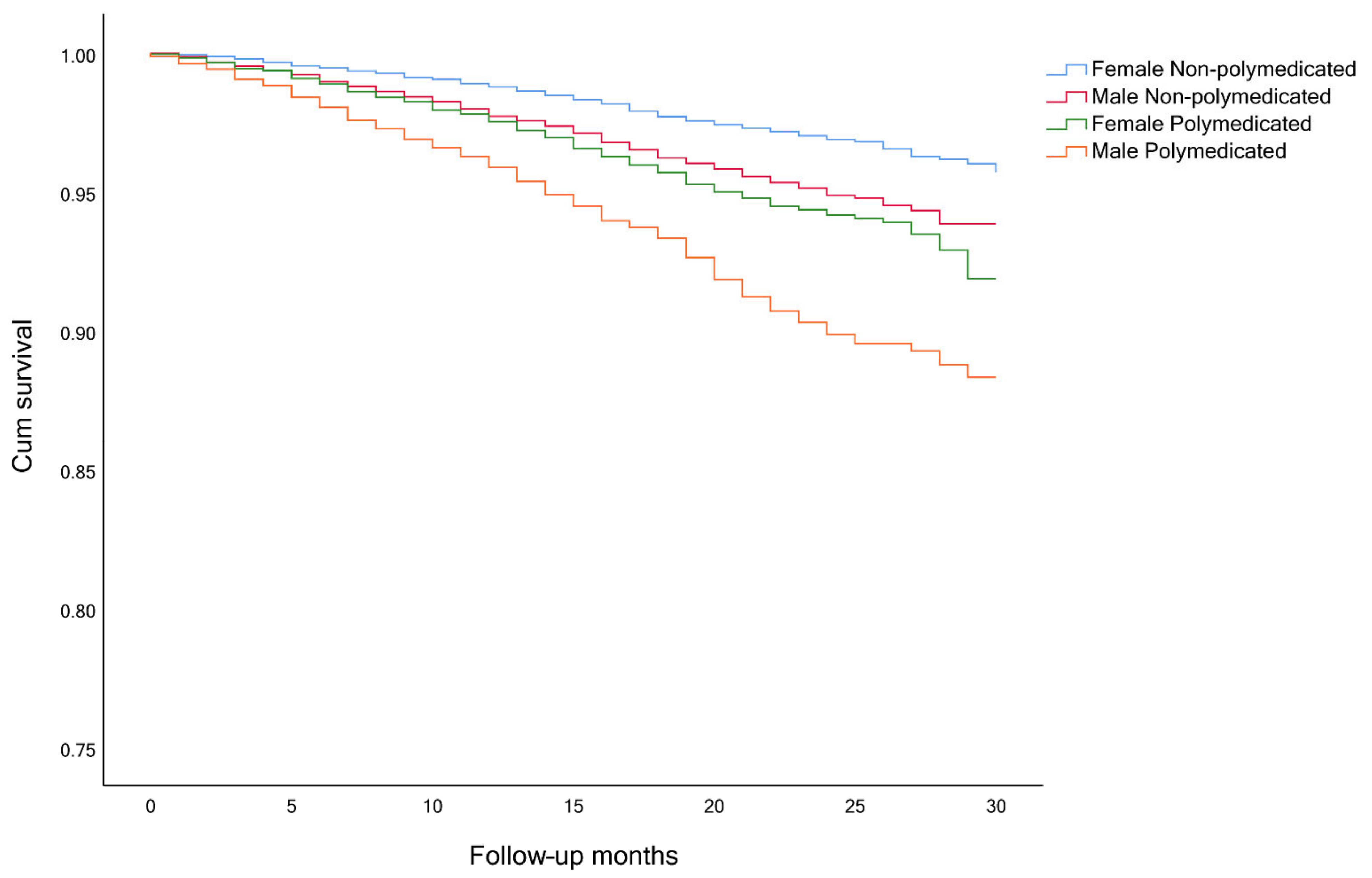
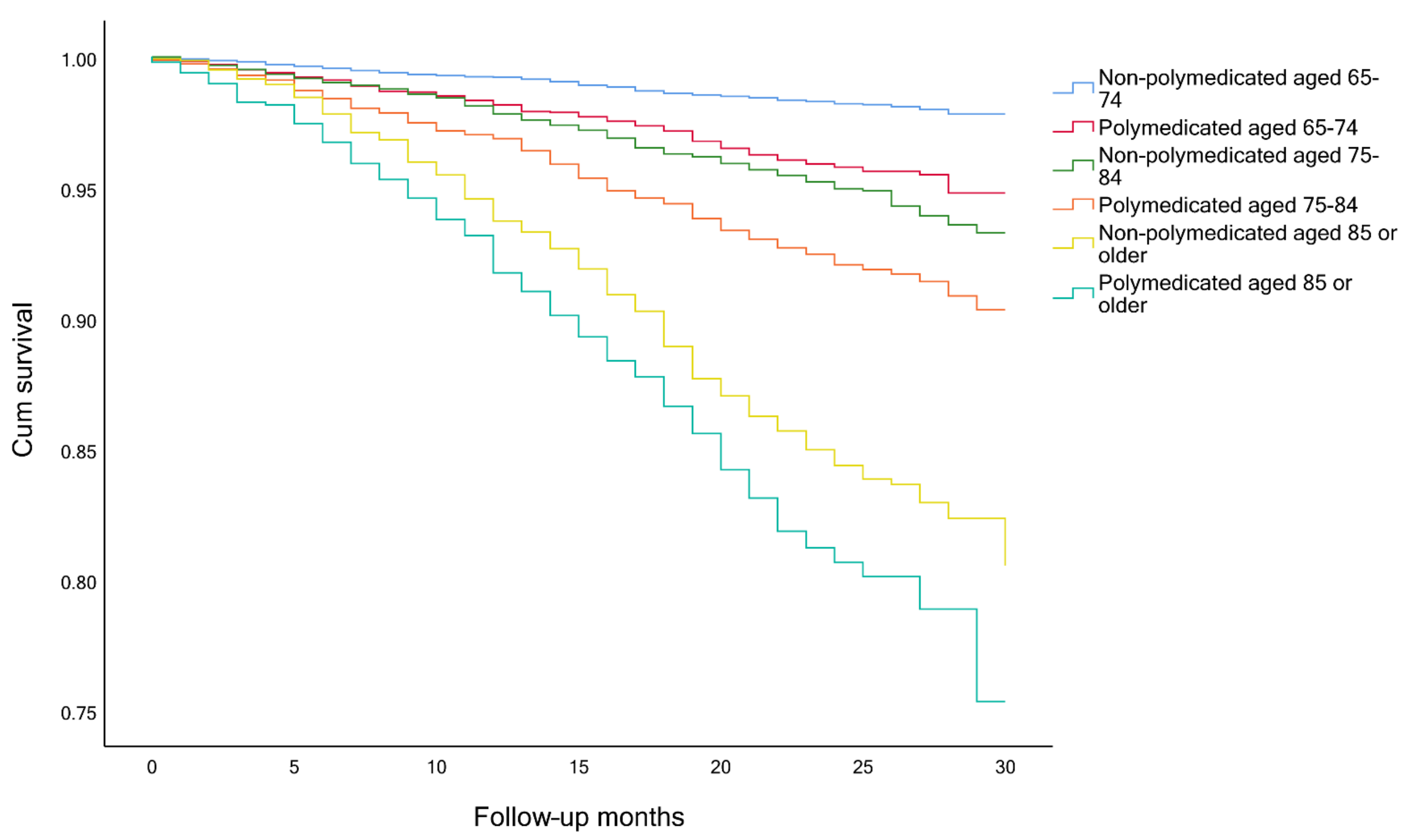
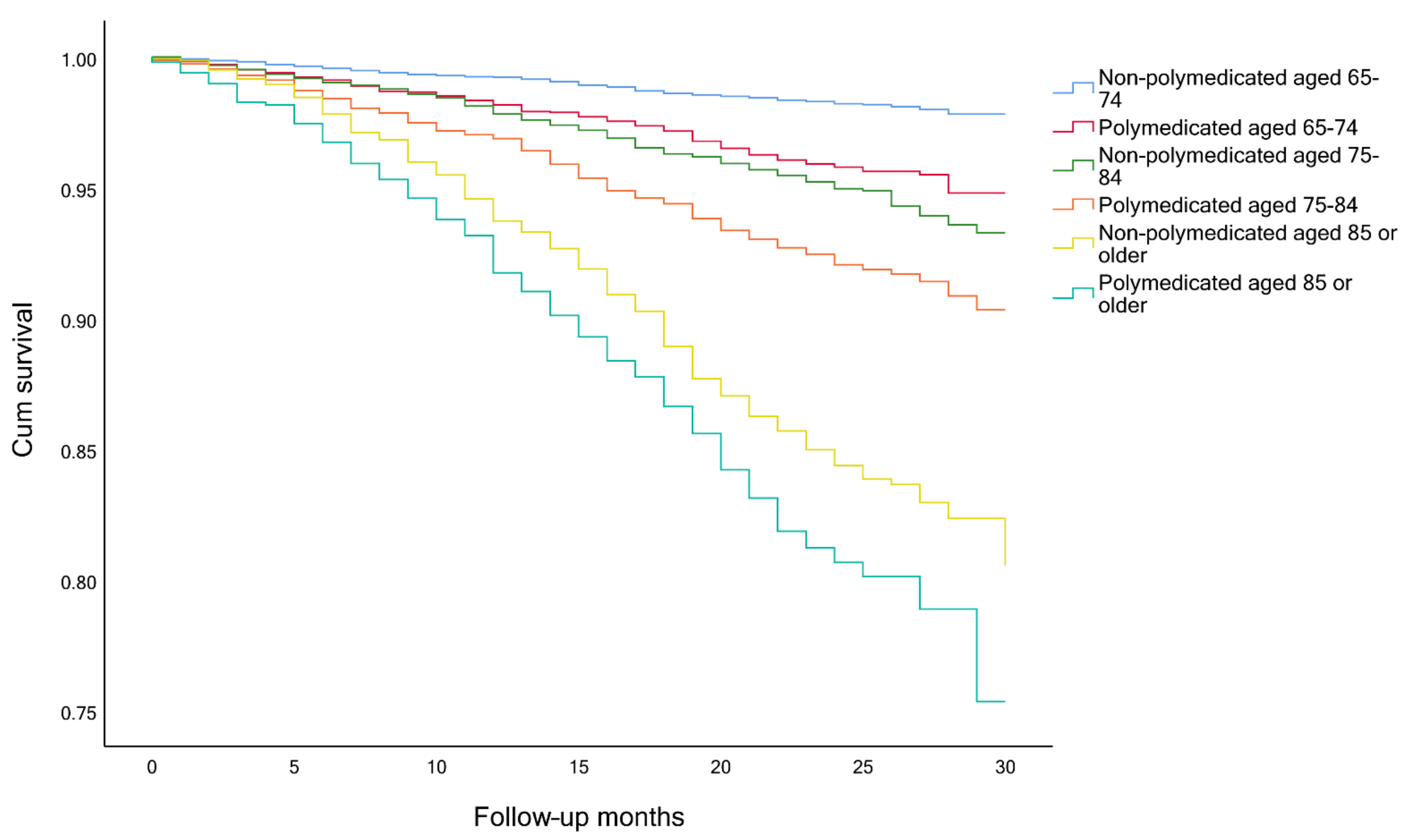
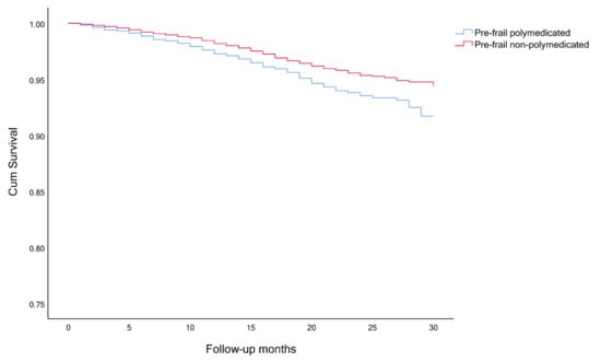
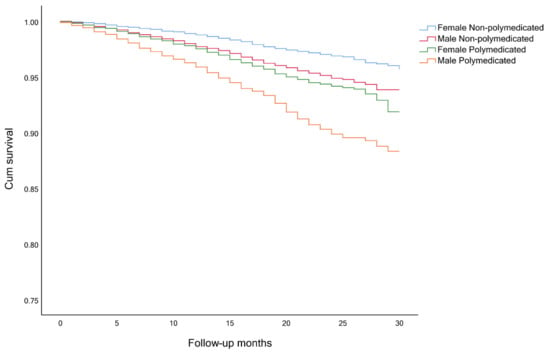
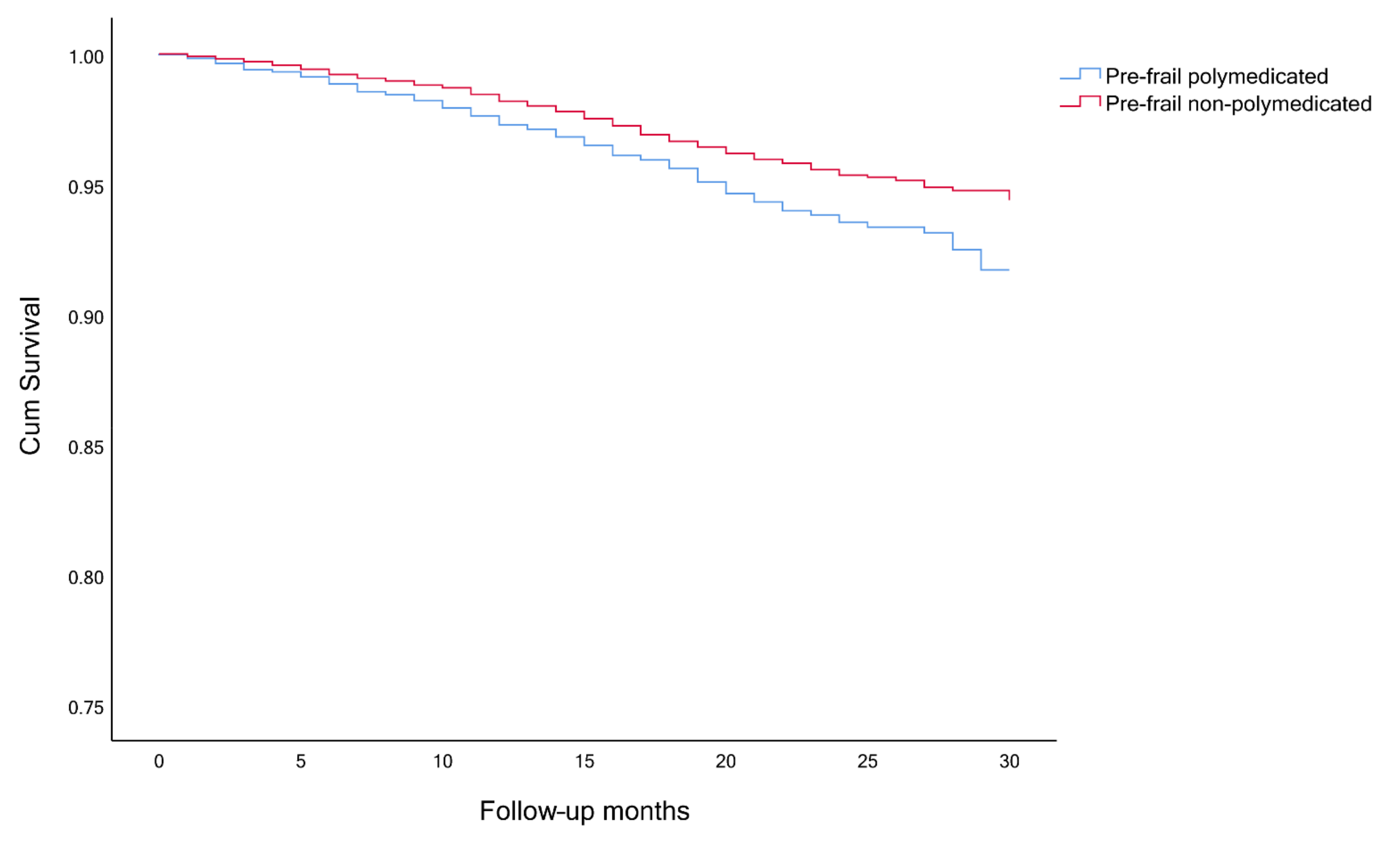
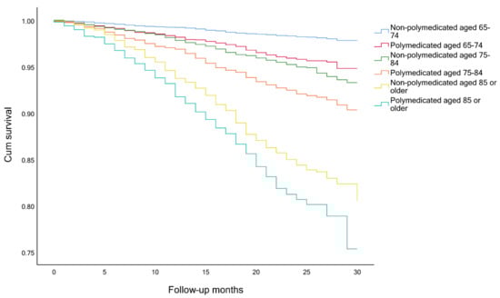
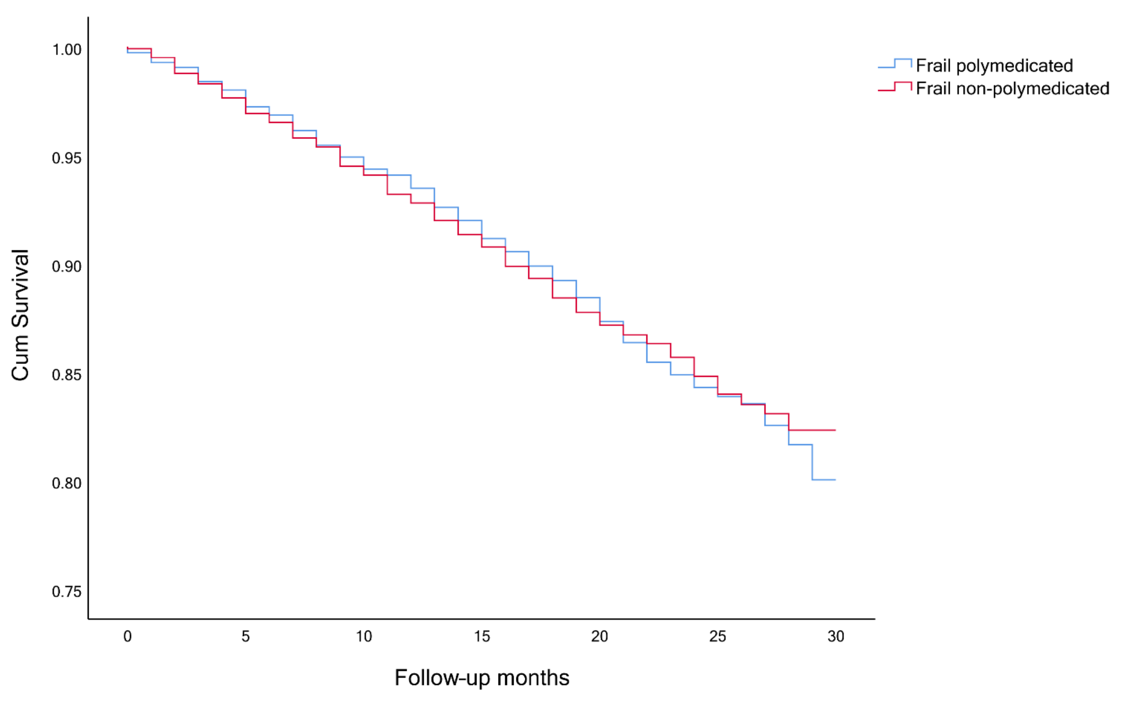
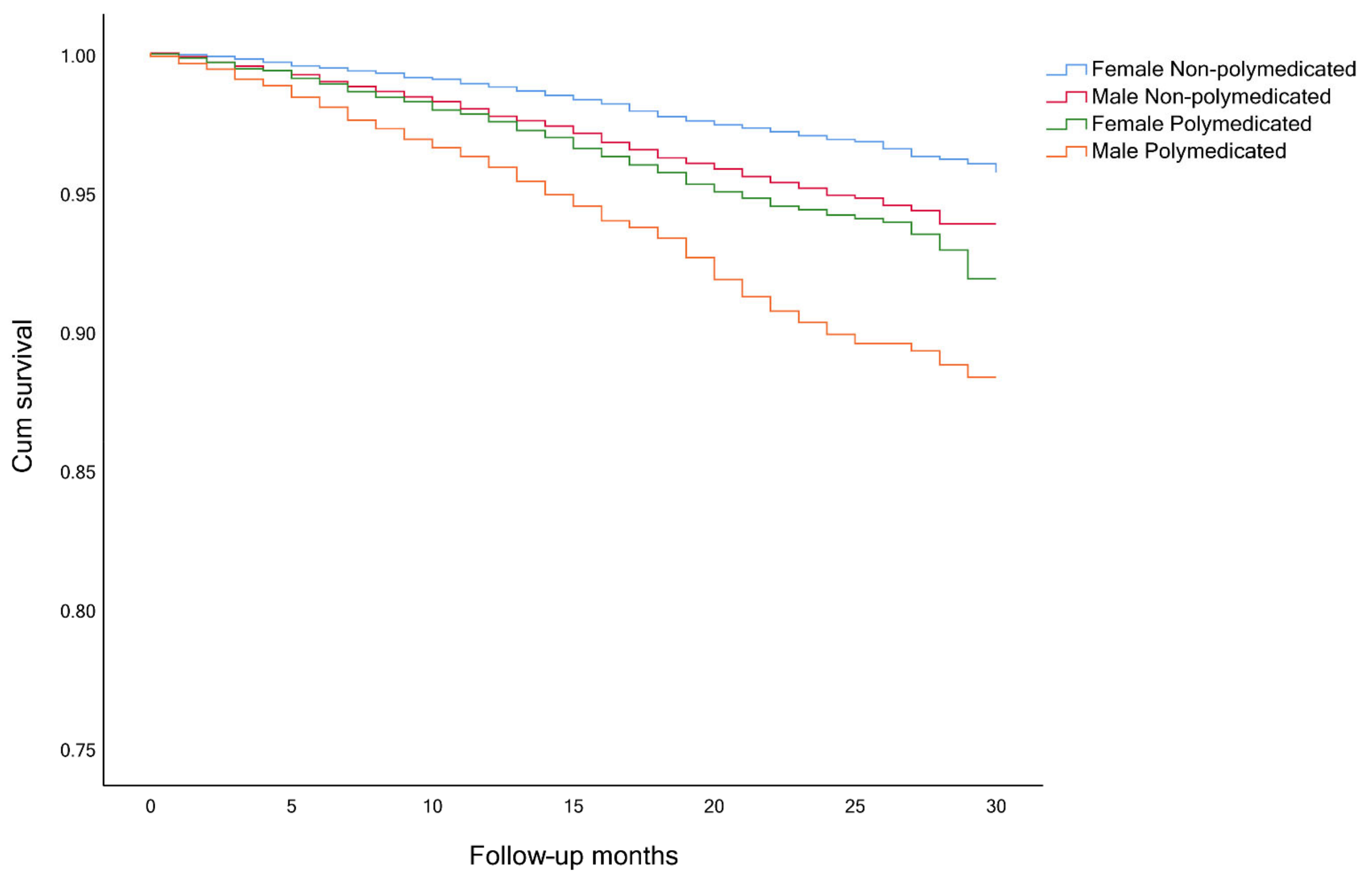
3. Results
4. Discussion
5. Conclusions
Author Contributions
Funding
Institutional Review Board Statement
Informed Consent Statement
Data Availability Statement
Conflicts of Interest
References
- Brown, G.C. Living too long: The current focus of medical research on increasing the quantity, rather than the quality, of life is damaging our health and harming the economy. EMBO Rep. 2015, 16, 137–141. [Google Scholar] [CrossRef]
- Eurostat. Ageing Europe—Looking at the Lives of Older People in EU; European Commision: Luxembourg, 2019. [Google Scholar]
- Lunenfeld, B.; Stratton, P. The clinical consequences of an ageing world and preventive strategies. Best Pract. Res. Clin. Obstet. Gynaecol. 2013, 27, 643–659. [Google Scholar] [CrossRef]
- Divo, M.J.; Martinez, C.H.; Mannino, D.M. Ageing and the epidemiology of multimorbidity. Eur. Respir. J. 2014, 44, 1055–1068. [Google Scholar] [CrossRef] [PubMed]
- Clegg, A.; Young, J.; Iliffe, S.; Rikkert, M.O.; Rockwood, K. Frailty in elderly people. Lancet 2013, 381, 752–762. [Google Scholar] [CrossRef]
- Schulz, R.; Eden, J. National Academies of Sciences, Engineering, and Medicine. Family Caregiving Roles and Impacts. In Families Caring for an Aging America; National Academies Press (US): Washington, DC, USA, 2016. Available online: https://www.ncbi.nlm.nih.gov/books/NBK396398/ (accessed on 27 October 2020).
- Kojima, G.; Liljas, A.E.M.; Iliffe, S. Frailty syndrome: Implications and challenges for health care policy. Risk Manag. Healthc. Policy 2019, 12, 23–30. [Google Scholar] [CrossRef] [PubMed]
- Fried, L.P.; Tangen, C.M.; Walston, J.; Newman, A.B.; Hirsch, C.; Gottdiener, J.; Seeman, T.; Tracy, R.; Kop, W.J.; Burke, G.; et al. Frailty in older adults: Evidence for a phenotype. J. Gerontol. A Biol. Sci. Med. Sci. 2001, 56, M146–M156. [Google Scholar] [CrossRef] [PubMed]
- Kojima, G.; Iliffe, S.; Walters, K. Frailty index as a predictor of mortality: A systematic review and meta-analysis. Age Ageing 2018, 47, 193–200. [Google Scholar] [CrossRef]
- Kane, R.L.; Shamliyan, T.; Talley, K.; Pacala, J. The association between geriatric syndromes and survival. J. Am. Geriatr. Soc. 2012, 60, 896–904. [Google Scholar] [CrossRef]
- Grabovac, I.; Haider, S.; Mogg, C.; Majewska, B.; Drgac, D.; Oberndorfer, M.; Dorner, T.E. Frailty Status Predicts All-Cause and Cause-Specific Mortality in Community Dwelling Older Adults. J. Am. Med. Dir. Assoc. 2019, 20, 1230–1235. [Google Scholar] [CrossRef]
- Shamliyan, T.; Talley, K.M.; Ramakrishnan, R.; Kane, R.L. Association of frailty with survival: A systematic literature review. Ageing Res. Rev. 2013, 12, 719–736. [Google Scholar] [CrossRef] [PubMed]
- Chang, S.F.; Lin, P.L. Frail phenotype and mortality prediction: A systematic review and meta-analysis of prospective cohort studies. Int. J. Nurs. Stud. 2015, 52, 1362–1374. [Google Scholar] [CrossRef] [PubMed]
- Midao, L.; Giardini, A.; Menditto, E.; Kardas, P.; Costa, E. Polypharmacy prevalence among older adults based on the survey of health, ageing and retirement in Europe. Arch. Gerontol. Geriatr. 2018, 78, 213–220. [Google Scholar] [CrossRef]
- Rambhade, S.; Chakarborty, A.; Shrivastava, A.; Patil, U.K.; Rambhade, A. A Survey on Polypharmacy and Use of Inappropriate Medications. Toxicol Int. 2012, 19, 68–73. [Google Scholar] [CrossRef] [PubMed]
- Masnoon, N.; Shakib, S.; Kalisch-Ellett, L.; Caughey, G.E. What is polypharmacy? A systematic review of definitions. BMC Geriatr. 2017, 17, 1–10. [Google Scholar] [CrossRef] [PubMed]
- Leelakanok, N.; Holcombe, A.L.; Lund, B.C.; Gu, X.; Schweizer, M.L. Association between polypharmacy and death: A systematic review and meta-analysis. J. Am. Pharm. Assoc. (2003) 2017, 57, 729–738. [Google Scholar] [CrossRef] [PubMed]
- Schottker, B.; Saum, K.U.; Muhlack, D.C.; Hoppe, L.K.; Holleczek, B.; Brenner, H. Polypharmacy and mortality: New insights from a large cohort of older adults by detection of effect modification by multi-morbidity and comprehensive correction of confounding by indication. Eur. J. Clin. Pharmacol. 2017, 73, 1041–1048. [Google Scholar] [CrossRef] [PubMed]
- Veronese, N.; Stubbs, B.; Noale, M.; Solmi, M.; Pilotto, A.; Vaona, A.; Demurtas, J.; Mueller, C.; Huntley, J.; Crepaldi, G.; et al. Polypharmacy Is Associated With Higher Frailty Risk in Older People: An 8-Year Longitudinal Cohort Study. J. Am. Med. Dir. Assoc. 2017, 18, 624–628. [Google Scholar] [CrossRef] [PubMed]
- Merchant, R.A.; Chen, M.Z.; Tan, L.W.L.; Lim, M.Y.; Ho, H.K.; van Dam, R.M. Singapore Healthy Older People Everyday (HOPE) Study: Prevalence of Frailty and Associated Factors in Older Adults. J. Am. Med. Dir. Assoc. 2017, 18, 734.e9–734.e14. [Google Scholar] [CrossRef] [PubMed]
- Saum, K.U.; Schottker, B.; Meid, A.D.; Holleczek, B.; Haefeli, W.E.; Hauer, K.; Brenner, H. Is Polypharmacy Associated with Frailty in Older People? Results From the ESTHER Cohort Study. J. Am. Geriatr. Soc. 2017, 65, e27–e32. [Google Scholar] [CrossRef]
- Yuki, A.; Otsuka, R.; Tange, C.; Nishita, Y.; Tomida, M.; Ando, F.; Shimokata, H. Polypharmacy is associated with frailty in Japanese community-dwelling older adults. Geriatr. Gerontol. Int. 2018, 18, 1497–1500. [Google Scholar] [CrossRef]
- Gutiérrez-Valencia, M.; Izquierdo, M.; Cesari, M.; Casas-Herrero, Á.; Inzitari, M.; Martínez-Velilla, N. The relationship between frailty and polypharmacy in older people: A systematic review. Br. J. Clin. Pharmacol. 2018, 84, 1432–1444. [Google Scholar] [CrossRef] [PubMed]
- Bonaga, B.; Sanchez-Jurado, P.M.; Martinez-Reig, M.; Ariza, G.; Rodriguez-Manas, L.; Gnjidic, D.; Salvador, T.; Abizanda, P. Frailty, Polypharmacy, and Health Outcomes in Older Adults: The Frailty and Dependence in Albacete Study. J. Am. Med. Dir. Assoc. 2018, 19, 46–52. [Google Scholar] [CrossRef]
- Porter, B.; Arthur, A.; Savva, G.M. How do potentially inappropriate medications and polypharmacy affect mortality in frail and non-frail cognitively impaired older adults? A cohort study. BMJ Open 2019, 9, e026171. [Google Scholar] [CrossRef]
- Herr, M.; Robine, J.M.; Pinot, J.; Arvieu, J.J.; Ankri, J. Polypharmacy and frailty: Prevalence, relationship, and impact on mortality in a French sample of 2350 old people. Pharmacoepidemiol. Drug Saf. 2015, 24, 637–646. [Google Scholar] [CrossRef] [PubMed]
- Manfredi, G.; Midao, L.; Paul, C.; Cena, C.; Duarte, M.; Costa, E. Prevalence of frailty status among the European elderly population: Findings from the Survey of Health, Aging and Retirement in Europe. Geriatr. Gerontol. Int. 2019, 19, 723–729. [Google Scholar] [CrossRef] [PubMed]
- Abrams, W.B.; Beers, M.H. Clinical pharmacology in an aging population. Clin. Pharmacol. Ther. 1998, 63, 281–284. [Google Scholar] [CrossRef]
- Andres, T.M.; McGrane, T.; McEvoy, M.D.; Allen, B.F.S. Geriatric Pharmacology: An Update. Anesthesiol. Clin. 2019, 37, 475–492. [Google Scholar] [CrossRef] [PubMed]
- Kim, J.; Parish, A.L. Polypharmacy and Medication Management in Older Adults. Nurs. Clin. N. Am. 2017, 52, 457–468. [Google Scholar] [CrossRef]
- Fick, D.M.; Cooper, J.W.; Wade, W.E.; Waller, J.L.; Maclean, J.R.; Beers, M.H. Updating the Beers criteria for potentially inappropriate medication use in older adults: Results of a US consensus panel of experts. Arch. Intern. Med. 2003, 163, 2716–2724. [Google Scholar] [CrossRef]
- Gomez, C.; Vega-Quiroga, S.; Bermejo-Pareja, F.; Medrano, M.J.; Louis, E.D.; Benito-Leon, J. Polypharmacy in the Elderly: A Marker of Increased Risk of Mortality in a Population-Based Prospective Study (NEDICES). Gerontology 2015, 61, 301–309. [Google Scholar] [CrossRef]
- Vrettos, I.; Voukelatou, P.; Katsoras, A.; Theotoka, D.; Kalliakmanis, A. Diseases Linked to Polypharmacy in Elderly Patients. Curr. Gerontol. Geriatr. Res. 2017, 2017, 4276047. [Google Scholar] [CrossRef] [PubMed]
- Perez-Jover, V.; Mira, J.J.; Carratala-Munuera, C.; Gil-Guillen, V.F.; Basora, J.; Lopez-Pineda, A.; Orozco-Beltran, D. Inappropriate Use of Medication by Elderly, Polymedicated, or Multipathological Patients with Chronic Diseases. Int. J. Environ. Res. Public Health 2018, 15, 310. [Google Scholar] [CrossRef]
- Hanlon, P.; Nicholl, B.I.; Jani, B.D.; McQueenie, R.; Lee, D.; Gallacher, K.I.; Mair, F.S. Examining patterns of multimorbidity, polypharmacy and risk of adverse drug reactions in chronic obstructive pulmonary disease: A cross-sectional UK Biobank study. BMJ Open 2018, 8, e018404. [Google Scholar] [CrossRef]
- Rieckert, A.; Trampisch, U.S.; Klaassen-Mielke, R.; Drewelow, E.; Esmail, A.; Johansson, T.; Keller, S.; Kunnamo, I.; Loffler, C.; Makinen, J.; et al. Polypharmacy in older patients with chronic diseases: A cross-sectional analysis of factors associated with excessive polypharmacy. BMC Fam. Pract. 2018, 19, 113. [Google Scholar] [CrossRef]
- Hoogendijk, E.O.; Afilalo, J.; Ensrud, K.E.; Kowal, P.; Onder, G.; Fried, L.P. Frailty: Implications for clinical practice and public health. Lancet 2019, 394, 1365–1375. [Google Scholar] [CrossRef]
- Ofori-Asenso, R.; Chin, K.L.; Sahle, B.W.; Mazidi, M.; Zullo, A.R.; Liew, D. Frailty Confers High Mortality Risk across Different Populations: Evidence from an Overview of Systematic Reviews and Meta-Analyses. Geriatrics 2020, 5, 17. [Google Scholar] [CrossRef] [PubMed]
- Ferri-Guerra, J.; Aparicio-Ugarriza, R.; Salguero, D.; Baskaran, D.; Mohammed, Y.N.; Florez, H.; Ruiz, J.G. The Association of Frailty with Hospitalizations and Mortality among Community Dwelling Older Adults with Diabetes. J. Frailty Aging 2020, 9, 94–100. [Google Scholar] [CrossRef] [PubMed]
- Jorissen, R.N.; Lang, C.; Visvanathan, R.; Crotty, M.; Inacio, M.C. The effect of frailty on outcomes of surgically treated hip fractures in older people. Bone 2020, 115327. [Google Scholar] [CrossRef] [PubMed]
- McChesney, S.L.; Canter, D.J.; Monlezun, D.J.; Green, H.; Margolin, D.A. Modified Frailty Index Predicts Postoperative Outcomes in Patients Undergoing Radical Pelvic Surgery. Am. Surg. 2020, 86, 95–103. [Google Scholar] [CrossRef] [PubMed]
- Iyengar, A.; Goel, N.; Kelly, J.J.; Han, J.; Brown, C.R.; Khurshan, F.; Chen, Z.; Desai, N. Effects of Frailty on Outcomes and 30-day Readmissions After Surgical Mitral Valve Replacement. Ann. Thorac. Surg. 2020, 109, 1120–1126. [Google Scholar] [CrossRef]
- Tse, W.; Newton, D.; Amendola, M.; George, M.; Pfeifer, J. Frailty index predicts long-term mortality and postoperative complications in patients undergoing endovascular aortic aneurysm repair. J. Vasc. Surg. 2020. [Google Scholar] [CrossRef]
- Vetrano, D.L.; Palmer, K.; Marengoni, A.; Marzetti, E.; Lattanzio, F.; Roller-Wirnsberger, R.; Lopez Samaniego, L.; Rodriguez-Manas, L.; Bernabei, R.; Onder, G.; et al. Frailty and Multimorbidity: A Systematic Review and Meta-analysis. J. Gerontol. A Biol. Sci. Med. Sci. 2019, 74, 659–666. [Google Scholar] [CrossRef]
- Bennett, A.; Gnjidic, D.; Gillett, M.; Carroll, P.; Matthews, S.; Johnell, K.; Fastbom, J.; Hilmer, S. Prevalence and impact of fall-risk-increasing drugs, polypharmacy, and drug-drug interactions in robust versus frail hospitalised falls patients: A prospective cohort study. Drugs Aging 2014, 31, 225–232. [Google Scholar] [CrossRef] [PubMed]
- Drey, M.; Wehr, H.; Wehr, G.; Uter, W.; Lang, F.; Rupprecht, R.; Sieber, C.C.; Bauer, J.M. The frailty syndrome in general practitioner care: A pilot study. Z. Gerontol. Geriatr. 2011, 44, 48–54. [Google Scholar] [CrossRef]
- Ernsth Bravell, M.; Westerlind, B.; Midlov, P.; Ostgren, C.J.; Borgquist, L.; Lannering, C.; Molstad, S. How to assess frailty and the need for care? Report from the Study of Health and Drugs in the Elderly (SHADES) in community dwellings in Sweden. Arch. Gerontol. Geriatr. 2011, 53, 40–45. [Google Scholar] [CrossRef] [PubMed]
- Ferrer, A.; Badia, T.; Formiga, F.; Sanz, H.; Megido, M.J.; Pujol, R.; Octabaiz Study, G. Frailty in the oldest old: Prevalence and associated factors. J. Am. Geriatr. Soc. 2013, 61, 294–296. [Google Scholar] [CrossRef] [PubMed]
- Jyrkka, J.; Enlund, H.; JKorhonen, M.; Sulkava, R.; Hartikainen, S. Polypharmacy Status as an Indicator of Mortality in an Elderly Population. Drugs Aging 2009, 26, 1048. [Google Scholar] [CrossRef]





| Country | Population N | Age Mean ± sd | Female % | Polypharmacy % | Frailty Status | |||||
|---|---|---|---|---|---|---|---|---|---|---|
| Non-Frail | Pre-Frail | Frail | ||||||||
| % Overall | % Polymedicated | % Overall | % Polymedicated | % Overall | % Polymedicated | |||||
| Austria | 1384 | 74.6 ± 6.7 | 58.7 | 30.0 | 50.1 | 16.0 | 38.7 | 39.8 | 11.3 | 58.3 |
| Belgium | 2065 | 74.6 ± 7.2 | 55.3 | 34.5 | 41.0 | 21.0 | 45.6 | 38.9 | 13.4 | 61.0 |
| Croatia | 770 | 73.1 ± 6.2 | 55.8 | 28.7 | 35.5 | 18.7 | 49.4 | 27.1 | 15.2 | 57.3 |
| Czech Republic | 2209 | 73.5 ± 6.2 | 58.0 | 40.2 | 46.9 | 27.1 | 44.2 | 47.7 | 8.9 | 71.9 |
| Denmark | 1207 | 74.3 ± 7.3 | 53.8 | 35.6 | 52.7 | 24.7 | 38.7 | 43.3 | 8.6 | 68.3 |
| Estonia | 2251 | 75.3 ± 6.7 | 65.3 | 28.2 | 28.5 | 16.7 | 57.7 | 29.2 | 13.9 | 47.4 |
| France | 1412 | 75.6 ± 7.6 | 58.4 | 33.5 | 34.6 | 15.6 | 50.1 | 36.7 | 15.3 | 63.4 |
| Germany | 1549 | 73.8 ± 6.4 | 48.8 | 28.6 | 49.9 | 17.5 | 43.0 | 36.3 | 7.1 | 60.0 |
| Greece | 1422 | 74.4 ± 6.6 | 52.6 | 23.5 | 38.0 | 12.4 | 49.4 | 24.5 | 12.6 | 53.1 |
| Israel | 742 | 74.9 ± 7.1 | 54.3 | 44.9 | 30.2 | 27.2 | 49.1 | 45.3 | 20.8 | 69.5 |
| Italy | 1817 | 73.9 ± 6.3 | 52.1 | 27.4 | 33.2 | 13.2 | 50.5 | 28.2 | 16.2 | 53.6 |
| Luxembourg | 404 | 72.9 ± 6.4 | 48.8 | 32.2 | 49.3 | 21.6 | 43.6 | 38.1 | 7.2 | 69.0 |
| Poland | 654 | 73.8 ± 6.9 | 57.0 | 45.6 | 26.6 | 29.3 | 54.1 | 46.3 | 19.3 | 65.9 |
| Portugal | 203 | 74.2 ± 6.6 | 56.2 | 44.3 | 33.0 | 25.4 | 46.3 | 41.5 | 20.7 | 81.0 |
| Slovenia | 1630 | 74.3 ± 6.7 | 57.2 | 22.9 | 47.1 | 11.3 | 41.8 | 29.2 | 11.1 | 48.6 |
| Spain | 2160 | 75.8 ± 7.2 | 53.9 | 29.1 | 29.1 | 12.9 | 52.1 | 27.6 | 18.8 | 58.5 |
| Sweden | 1715 | 75.1 ± 7.0 | 52.4 | 32.9 | 48.3 | 21.0 | 45.9 | 40.7 | 5.8 | 71.0 |
| Switzerland | 1099 | 74.9 ± 6.9 | 51.5 | 23.5 | 50.6 | 14.9 | 45.2 | 29.8 | 4.2 | 58.7 |
| Total | 24,693 | 74.5 ± 6.9 | 55.5 | 31.3 | 40.4 | 18.4 | 47.3 | 34.9 | 12.3 | 59.4 |
| Country | NIA | NID | Age IA Mean ± sd | Age ID Mean ± sd | % Female IA | % FemaleID | % IA Polypharmacy | % ID Polypharmacy | Frailty Status | |||||
|---|---|---|---|---|---|---|---|---|---|---|---|---|---|---|
| Non-Frail | Pre-Frail | Frail | ||||||||||||
| % IA | % ID | % IA | % ID | % IA | % ID | |||||||||
| Austria | 1327 | 57 | 74.3 ± 6.5 | 80.1 ± 8.3 | 59.0 | 50.9 | 28.9 | 56.1 | 51.8 | 10.5 | 38.7 | 36.8 | 9.5 | 52.6 |
| Belgium | 1978 | 87 | 74.3 ± 7.1 | 81.3 ± 7.9 | 55.6 | 47.1 | 33.7 | 52.9 | 42.2 | 12.6 | 45.9 | 39.1 | 11.9 | 48.3 |
| Croatia | 714 | 56 | 72.7 ± 5.9 | 78.2 ± 8.0 | 57.6 | 33.9 | 28.4 | 32.1 | 37.1 | 14.3 | 49.3 | 50.0 | 13.6 | 35.7 |
| Czech Republic | 2098 | 111 | 73.3 ± 6.1 | 76.9 ± 7.3 | 58.8 | 43.2 | 39.2 | 58.6 | 48.1 | 23.4 | 43.9 | 50.5 | 8.0 | 26.1 |
| Denmark | 1127 | 80 | 73.8 ± 6.9 | 81.9 ± 9.1 | 53.8 | 53.8 | 34.3 | 53.8 | 55.1 | 18.8 | 38.6 | 40.0 | 6.3 | 41.3 |
| Estonia | 2118 | 133 | 75.0 ± 6.6 | 79.2 ± 7.5 | 66.4 | 47.4 | 27.9 | 32.3 | 29.4 | 14.3 | 58.3 | 48.1 | 12.4 | 37.6 |
| France | 1334 | 78 | 75.2 ± 7.4 | 82.4 ± 7.7 | 59.0 | 48.7 | 31.9 | 61.5 | 36.0 | 10.3 | 50.6 | 42.3 | 13.4 | 47.4 |
| Germany | 1499 | 50 | 73.6 ± 6.3 | 79.7 ± 7.5 | 49.2 | 36.0 | 28.1 | 44.0 | 50.9 | 20.0 | 42.8 | 48.0 | 6.3 | 32.0 |
| Greece | 1317 | 105 | 73.8 ± 6.4 | 81.4 ± 5.9 | 53.5 | 41.9 | 22.6 | 34.3 | 39.7 | 16.2 | 48.8 | 57.1 | 11.5 | 26.7 |
| Israel | 711 | 31 | 74.5 ± 6.8 | 83.7 ± 7.1 | 54.6 | 48.4 | 44.2 | 61.3 | 31.4 | 3.2 | 49.2 | 45.2 | 19.4 | 51.6 |
| Italy | 1727 | 90 | 73.6 ± 6.1 | 78.4 ± 7.0 | 53.0 | 35.6 | 26.6 | 42.2 | 34.2 | 14.4 | 50.4 | 52.2 | 15.3 | 33.3 |
| Luxembourg | 392 | 12 | 72.8 ± 6.3 | 75.3 ± 7.3 | 49.2 | 33.3 | 31.1 | 66.7 | 50.3 | 16.7 | 43.9 | 33.3 | 5.9 | 50.0 |
| Poland | 614 | 40 | 73.6 ± 6.9 | 76.8 ± 6.9 | 57.3 | 52.5 | 44.8 | 57.5 | 27.9 | 7.5 | 54.6 | 47.5 | 17.6 | 45.0 |
| Portugal | 192 | 11 | 73.8 ± 6.3 | 82.5 ± 7.4 | 57.8 | 27.3 | 43.2 | 63.6 | 34.9 | 0.0 | 46.4 | 45.5 | 18.8 | 54.5 |
| Slovenia | 1550 | 80 | 74.0 ± 6.6 | 79.9 ± 7.0 | 58.0 | 42.5 | 22.3 | 35.0 | 48.2 | 26.3 | 41.5 | 47.5 | 10.3 | 26.3 |
| Spain | 1998 | 162 | 75.4 ± 7.0 | 80.4 ± 7.8 | 55.1 | 40.1 | 28.1 | 42.0 | 30.3 | 14.2 | 52.7 | 44.4 | 17.0 | 41.4 |
| Sweden | 1643 | 72 | 74.8 ± 6.7 | 82.5 ± 8.8 | 52.9 | 41.7 | 32.2 | 50.0 | 49.5 | 20.8 | 45.4 | 56.9 | 5.1 | 22.2 |
| Switzerland | 1060 | 39 | 74.7 ± 6.8 | 80.6 ± 7.2 | 52.0 | 38.5 | 22.4 | 53.8 | 52.0 | 12.8 | 44.7 | 59.0 | 3.3 | 28.2 |
| Total | 23,399 | 1294 | 74.2 ± 6.7 | 80.1 ± 7.8 | 56.2 | 43.4 | 30.4 | 46.4 | 41.8 | 15.7 | 47.3 | 47.5 | 11.0 | 36.8 |
| Country | Overall % | Gender | Age | Polypharmacy % | Frailty Status | ||||||||
|---|---|---|---|---|---|---|---|---|---|---|---|---|---|
| Male % | Female % | 65–74 % | 75–84 % | 85+ % | Non-Frail | Pre-Frail | Frail | ||||||
| Overall % | Polymedicated % | Overall % | Polymedicated % | Overall % | Polymedicated % | ||||||||
| Austria | 4.1 | 4.9 | 3.6 | 2.0 | 5.0 | 12.7 | 7.7 | 0.9 | 1.8 | 3.9 | 5.6 | 19.2 | 19.8 |
| Belgium | 4.2 | 5.0 | 3.6 | 1.9 | 4.5 | 14.8 | 6.5 | 1.3 | 0.0 | 3.6 | 5.8 | 15.2 | 12.1 |
| Croatia | 7.3 | 10.9 | 4.4 | 4.6 | 8.6 | 30.2 | 8.1 | 2.9 | 1.7 | 7.4 | 6.9 | 17.1 | 15.5 |
| Czech Republic | 5.0 | 6.8 | 3.7 | 3.3 | 6.4 | 16.0 | 7.3 | 2.5 | 7.4 | 5.7 | 6.8 | 14.8 | 17.2 |
| Denmark | 6.6 | 6.6 | 6.6 | 2.8 | 7.6 | 24.4 | 10.0 | 2.4 | 5.0 | 6.9 | 6.6 | 31.7 | 10.8 |
| Estonia | 5.9 | 9.0 | 4.3 | 3.5 | 6.0 | 16.5 | 6.8 | 3.0 | 3.9 | 4.9 | 6.9 | 16.0 | 19.7 |
| France | 5.5 | 6.8 | 4.6 | 1.8 | 5.9 | 17.2 | 10.1 | 1.6 | 2.5 | 4.7 | 6.9 | 17.1 | 35.2 |
| Germany | 3.2 | 4.0 | 2.4 | 1.3 | 4.2 | 13.5 | 5.0 | 1.3 | 4.5 | 3.6 | 9.3 | 14.5 | 17.9 |
| Greece | 7.4 | 9.1 | 5.9 | 1.8 | 9.7 | 32.5 | 10.8 | 3.1 | 0.0 | 8.5 | 10.8 | 15.6 | 18.5 |
| Israel | 4.2 | 4.7 | 3.7 | 0.5 | 4.5 | 19.8 | 5.7 | 0.4 | 1.1 | 3.8 | 4.9 | 10.4 | 15.4 |
| Italy | 5.0 | 6.7 | 3.4 | 2.6 | 6.7 | 15.4 | 7.6 | 2.2 | 0.0 | 5.1 | 4.2 | 10.2 | 11.2 |
| Luxembourg | 3.0 | 3.9 | 2.0 | 2.2 | 4.0 | 7.4 | 6.2 | 1.0 | 3.9 | 2.3 | 6.4 | 20.7 | 17.0 |
| Poland | 6.1 | 6.8 | 5.6 | 3.7 | 8.8 | 12.3 | 7.7 | 1.7 | 5.9 | 5.4 | 5.5 | 14.3 | 13.3 |
| Portugal | 5.4 | 9.0 | 2.6 | 0.8 | 9.5 | 18.2 | 7.8 | 0.0 | 2.3 | 5.3 | 4.5 | 14.3 | 20.0 |
| Slovenia | 4.9 | 6.6 | 3.6 | 2.2 | 6.6 | 15.9 | 7.5 | 2.7 | 0.0 | 5.6 | 7.7 | 11.6 | 11.8 |
| Spain | 7.5 | 9.7 | 5.6 | 3.8 | 8.0 | 18.9 | 10.8 | 3.7 | 2.3 | 6.4 | 8.5 | 16.5 | 10.2 |
| Sweden | 4.2 | 5.1 | 3.3 | 1.7 | 3.7 | 17.5 | 6.4 | 1.8 | 3.7 | 5.2 | 5.5 | 16.0 | 12.2 |
| Switzerland | 3.5 | 4.5 | 2.7 | 1.2 | 5.1 | 9.9 | 8.1 | 0.9 | 2.0 | 4.6 | 6.8 | 23.9 | 14.9 |
| Total | 5.2 | 6.7 | 4.1 | 2.5 | 6.2 | 17.4 | 7.8 | 2.0 | 2.7 | 5.3 | 6.5 | 15.6 | 15.8 |
| Unadjusted Model | Adjusted Model | |||||||
|---|---|---|---|---|---|---|---|---|
| N | N Deceased (%) | OR | CI 95 | p | OR | CI 95 | p | |
| Age | ||||||||
| 65–74 years | 13,451 | 330 (2.4) | 1 | - | - | 1 | - | - |
| 75–84 years | 8845 | 548 (6.2) | 2.630 | 2.287–3.025 | <0.001 | 2.051 | 1.776–2.367 | <0.001 |
| ≥85 years | 2397 | 416 (17.3) | 8.487 | 7.279–9.896 | <0.001 | 5.272 | 4.477–6.207 | <0.001 |
| Gender | ||||||||
| Female | 13,709 | 564 (4.1) | 1 | - | - | 1 | - | - |
| Male | 10,984 | 732 (6.7) | 1.692 | 1.511–1.895 | <0.001 | 2.134 | 1.894–2.405 | <0.001 |
| Frailty Status vs. Polypharmacy | ||||||||
| Non-frail non-polymedicated | 8134 | 154 (1.9) | 1 | - | - | 1 | - | - |
| Non-frail polymedicated | 1840 | 49 (2.7) | 1.423 | 1.027–1.971 | 0.034 | 1.289 | 0.928–1.791 | 0.130 |
| Pre-frail non-polymedicated | 7598 | 350 (4.6) | 2.472 | 2.038–2.999 | <0.001 | 2.091 | 1.718–2.546 | <0.001 |
| Pre-frail polymedicated | 4074 | 265 (6.5) | 3.633 | 2.966–4.451 | <0.001 | 2.874 | 2.335–3.539 | <0.001 |
| Frail non-polymedicated | 1236 | 189 (15.3) | 9.252 | 7.392–11.582 | <0.001 | 5.973 | 4.711–7.573 | <0.001 |
| Frail polymedicated | 1811 | 287 (15.8) | 9.754 | 7.944–11.975 | <0.001 | 6.981 | 5.624–8.664 | <0.001 |
Publisher’s Note: MDPI stays neutral with regard to jurisdictional claims in published maps and institutional affiliations. |
© 2021 by the authors. Licensee MDPI, Basel, Switzerland. This article is an open access article distributed under the terms and conditions of the Creative Commons Attribution (CC BY) license (https://creativecommons.org/licenses/by/4.0/).
Share and Cite
Midão, L.; Brochado, P.; Almada, M.; Duarte, M.; Paúl, C.; Costa, E. Frailty Status and Polypharmacy Predict All-Cause Mortality in Community Dwelling Older Adults in Europe. Int. J. Environ. Res. Public Health 2021, 18, 3580. https://doi.org/10.3390/ijerph18073580
Midão L, Brochado P, Almada M, Duarte M, Paúl C, Costa E. Frailty Status and Polypharmacy Predict All-Cause Mortality in Community Dwelling Older Adults in Europe. International Journal of Environmental Research and Public Health. 2021; 18(7):3580. https://doi.org/10.3390/ijerph18073580
Chicago/Turabian StyleMidão, Luís, Pedro Brochado, Marta Almada, Mafalda Duarte, Constança Paúl, and Elísio Costa. 2021. "Frailty Status and Polypharmacy Predict All-Cause Mortality in Community Dwelling Older Adults in Europe" International Journal of Environmental Research and Public Health 18, no. 7: 3580. https://doi.org/10.3390/ijerph18073580
APA StyleMidão, L., Brochado, P., Almada, M., Duarte, M., Paúl, C., & Costa, E. (2021). Frailty Status and Polypharmacy Predict All-Cause Mortality in Community Dwelling Older Adults in Europe. International Journal of Environmental Research and Public Health, 18(7), 3580. https://doi.org/10.3390/ijerph18073580

