Postural Responses to Sudden Horizontal Perturbations in Tai Chi Practitioners
Abstract
1. Introduction
2. Materials and Methods
2.1. Participants
2.2. Tasks and Equipment
2.3. Data Acquisition and Analysis
2.4. Statistical Analyses
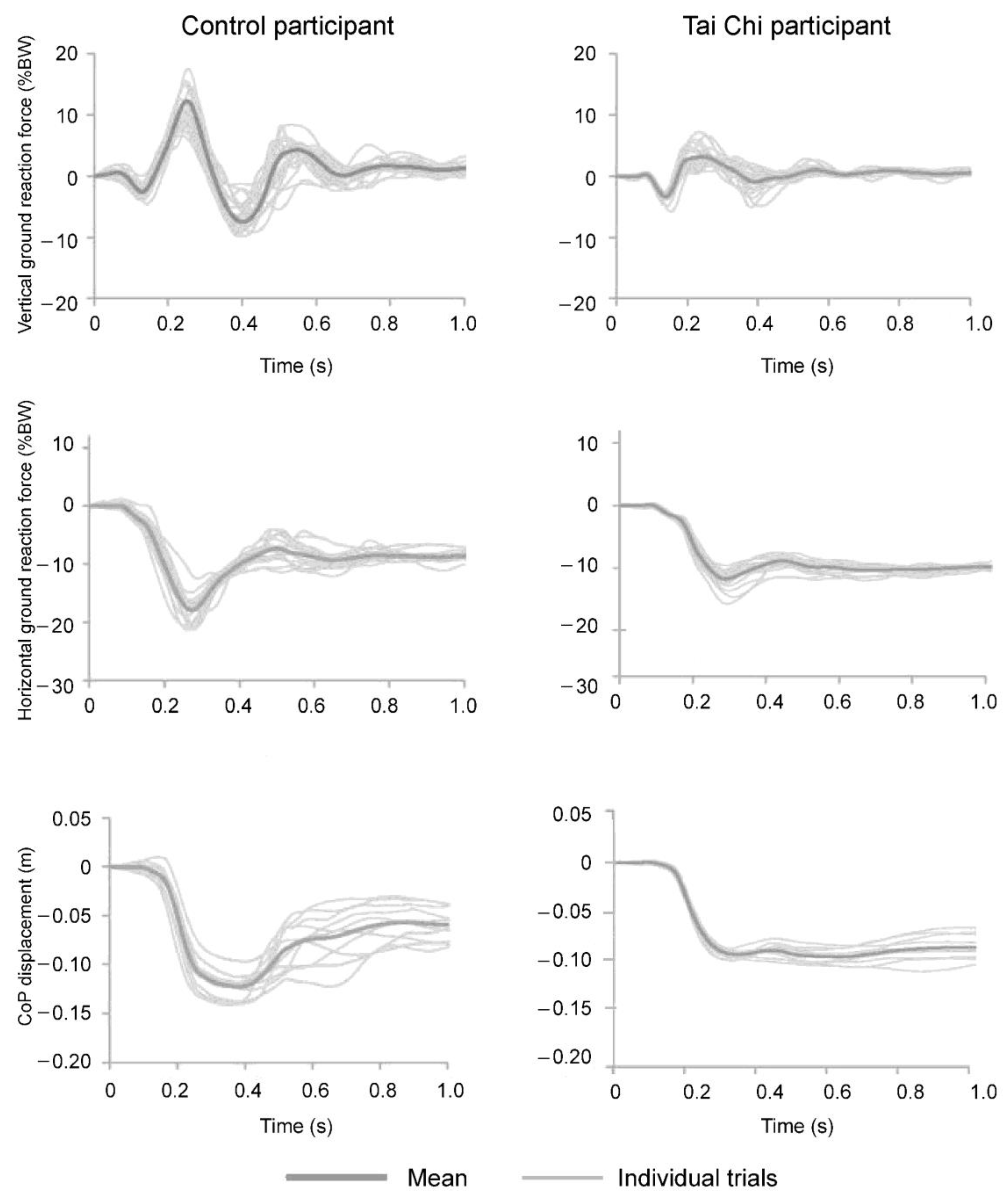
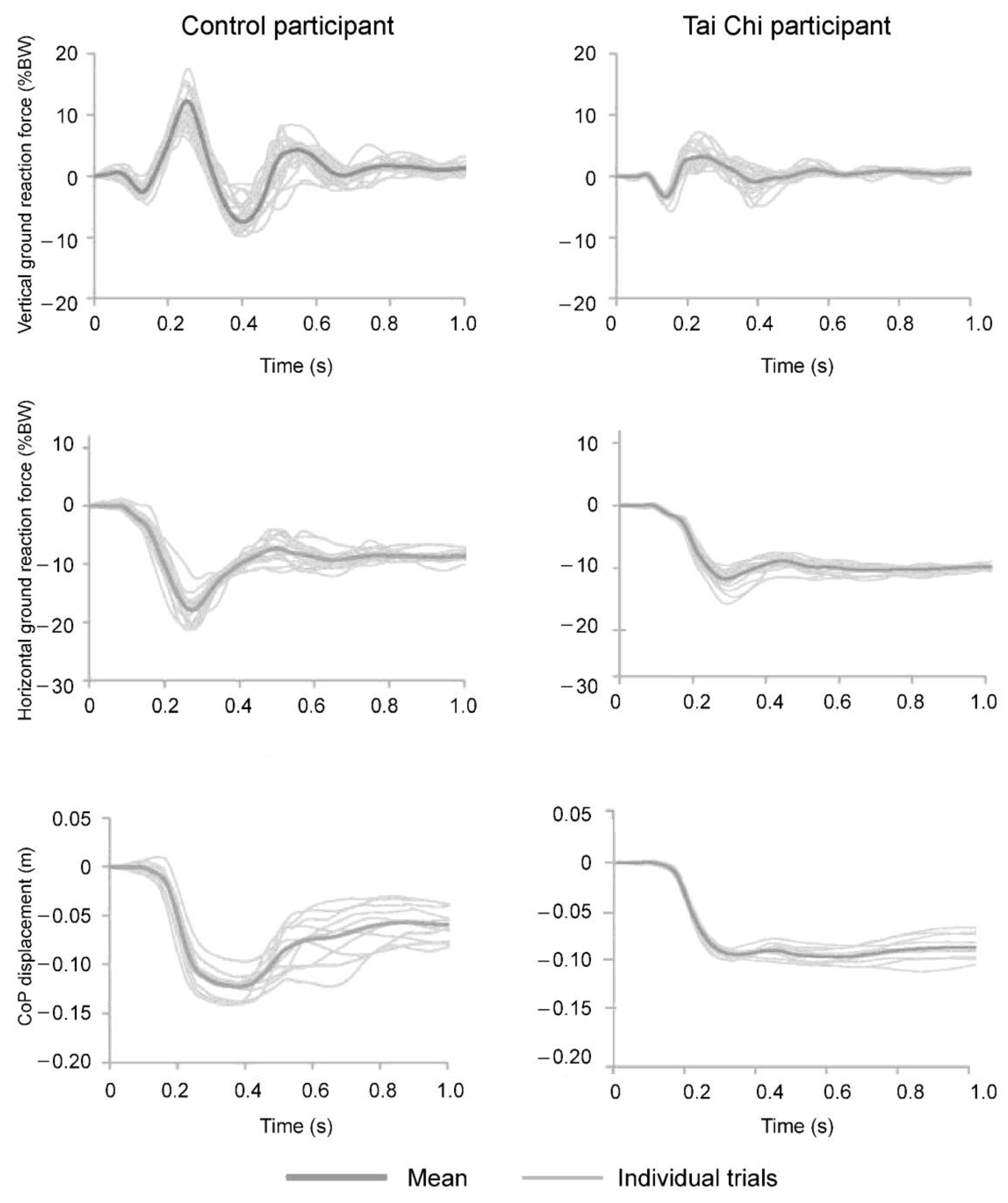
3. Results
4. Discussion
5. Conclusions
Author Contributions
Funding
Institutional Review Board Statement
Informed Consent Statement
Data Availability Statement
Acknowledgments
Conflicts of Interest
References
- Yu, D.H.; Yang, H.X. The effect of Tai Chi intervention on balance in older males. J. Sport Health Sci. 2012, 1, 57–60. [Google Scholar] [CrossRef]
- Wayne, P.M.; Gow, B.J.; Costa, M.D.; Peng, C.K.; Lipsitz, L.A.; Hausdorff, J.M.; Davis, R.B.; Walsh, J.N.; Lough, M.; Novak, V.; et al. Complexity-based measures inform effects of tai chi training on standing postural control: Cross-sectional and randomized trial studies. PLoS ONE 2014, 9, e114731. [Google Scholar] [CrossRef]
- Gatts, S.K.; Woollacott, M.H. How Tai Chi improves balance: Biomechanics of recovery to a walking slip in impaired seniors. Gait Posture 2007, 25, 205–214. [Google Scholar] [CrossRef]
- Yan, J.H.; Gu, W.J.; Sun, J.; Zhang, W.X.; Li, B.W.; Pan, L. Efficacy of Tai Chi on Pain, Stiffness and Function in Patients with Osteoarthritis: A Meta-Analysis. PLoS ONE 2013, 8, e61672. [Google Scholar] [CrossRef]
- Yang, Y.; Li, X.Y.; Gong, L.; Zhu, Y.L.; Hao, Y.L. Tai chi for improvement of motor function, balance and gait in Parkinson’s disease: A systematic review and meta-analysis. PLoS ONE 2014, 9, e102942. [Google Scholar] [CrossRef] [PubMed]
- Ni, X.; Liu, S.; Lu, F.; Shi, X.; Guo, X. Efficacy and safety of Tai Chi for Parkinson’s disease: A systematic review and meta-analysis of randomized controlled trials. PLoS ONE 2014, 9, e99377. [Google Scholar] [CrossRef]
- Yan, J.H.; Guo, Y.Z.; Yao, H.M.; Pan, L. Effects of Tai Chi in Patients with Chronic Obstructive Pulmonary Disease: Preliminary Evidence. PLoS ONE 2013, 8. [Google Scholar] [CrossRef] [PubMed]
- Bu, B.; Haijun, H.; Yong, L.; Chaohui, Z.; Xiaoyuan, Y.; Singh, M.F. Effects of martial arts on health status: A systematic review. J. Evid. Based. Med. 2010, 3, 205–219. [Google Scholar] [CrossRef] [PubMed]
- Wu, G.; Liu, W.; Hitt, J.; Millon, D. Spatial, temporal and muscle action patterns of Tai Chi gait. J. Electromyogr. Kinesiol. 2004, 14, 343–354. [Google Scholar] [CrossRef] [PubMed]
- Wolf, S.L.; Barnhart, H.X.; Ellison, G.L.; Coogler, C.E. The effect of Tai Chi Quan and computerized balance training on postural stability in older subjects. Phys. Ther. 1997, 77, 371–384. [Google Scholar] [CrossRef] [PubMed]
- Mao, D.W.; Li, J.X.; Hong, Y. The duration and plantar pressure distribution during one-leg stance in Tai Chi exercise. Clin. Biomech. 2006, 21, 640–645. [Google Scholar] [CrossRef]
- Wu, G. Biomechanical characteristics of stepping in older Tai Chi practitioners. Gait Posture 2012, 36, 361–366. [Google Scholar] [CrossRef]
- Chen, H.C.; Cheng, K.Y.B.; Liu, Y.J.; Chiu, H.T.; Cheng, K.Y. The defence technique in Tai Chi Push Hands: A case study. J. Sports Sci. 2010, 28, 1595–1604. [Google Scholar] [CrossRef] [PubMed]
- Aviles, J.; Allin, L.J.; Alexander, N.B.; Van Mullekom, J.; Nussbaum, M.A.; Madigan, M.L.; Newman, A. Comparison of Treadmill Trip-Like Training Versus Tai Chi to Improve Reactive Balance among Independent Older Adult Residents of Senior Housing: A Pilot Controlled Trial. J. Gerontol. Ser. A Biol. Sci. Med. Sci. 2019, 74, 1497–1503. [Google Scholar] [CrossRef]
- Runge, C.F.; Shupert, C.L.; Horak, F.B.; Zajac, F.E. Ankle and hip postural strategies defined by joint torques. Gait Posture 1999, 10, 161–170. [Google Scholar] [CrossRef]
- Welch, T.D.J.; Ting, L.H. Mechanisms of Motor Adaptation in Reactive Balance Control. PLoS ONE 2014, 9, e96440. [Google Scholar] [CrossRef] [PubMed]
- Kümmel, J.; Kramer, A.; Giboin, L.S.; Gruber, M. Specificity of Balance Training in Healthy Individuals: A Systematic Review and Meta-Analysis. Sport. Med. 2016, 46, 1261–1271. [Google Scholar] [CrossRef] [PubMed]
- Xie, L.; Wang, J. Anticipatory and compensatory postural adjustments in response to loading perturbation of unknown magnitude. Exp. Brain Res. 2019, 237, 173–180. [Google Scholar] [CrossRef] [PubMed]
- Kanekar, N.; Aruin, A.S. Aging and balance control in response to external perturbations: Role of anticipatory and compensatory postural mechanisms. Age (Omaha) 2014, 36, 1067–1077. [Google Scholar] [CrossRef] [PubMed]
- De Azevedo, A.K.E.C.; Claudino, R.; Conceição, J.S.; Swarowsky, A.; Dos Santos, M.J. Anticipatory and compensatory postural adjustments in response to external lateral shoulder perturbations in subjects with Parkinson’s disease. PLoS ONE 2016, 11, e0155012. [Google Scholar] [CrossRef] [PubMed]
- Knox, M.F.; Chipchase, L.S.; Schabrun, S.M.; Romero, R.J.; Marshall, P.W.M. Anticipatory and compensatory postural adjustments in people with low back pain: A systematic review and meta-analysis. Spine J. 2018, 18, 1934–1949. [Google Scholar] [CrossRef] [PubMed]
- Lee, Y.J.; Hoozemans, M.J.M.; van Dieën, J.H. Handle height and expectation of cart movement affect the control of trunk motion at movement onset in cart pushing. Ergonomics 2011, 54, 971–982. [Google Scholar] [CrossRef] [PubMed]
- Lee, Y.J.; Hoozemans, M.J.M.; Van Dieën, J.H. Effects of pushing height on trunk posture and trunk muscle activity when a cart suddenly starts or stops moving. Work 2012, 41, 3189–3195. [Google Scholar] [CrossRef]
- Lakens, D. Calculating and reporting effect sizes to facilitate cumulative science: A practical primer for t-tests and ANOVAs. Front. Psychol. 2013, 4, 863. [Google Scholar] [CrossRef] [PubMed]
- Claudino, R.; dos Santos, E.C.C.; Santos, M.J. Compensatory but not anticipatory adjustments are altered in older adults during lateral postural perturbations. Clin. Neurophysiol. 2013, 124, 1628–1637. [Google Scholar] [CrossRef] [PubMed]
- Tajali, S.; Rouhani, M.; Mehravar, M.; Negahban, H.; Sadati, E.; Oskouei, A.E. Effects of external perturbations on anticipatory and compensatory postural adjustments in patients with multiple sclerosis and a fall history. Int. J. MS Care 2018, 20, 164–172. [Google Scholar] [CrossRef]
- Aruin, A.S.; Kanekar, N.; Lee, Y.J. Anticipatory and compensatory postural adjustments in individuals with multiple sclerosis in response to external perturbations. Neurosci. Lett. 2015, 591, 182–186. [Google Scholar] [CrossRef]
- Zou, L.; Wang, H.; Xiao, Z.; Fang, Q.; Zhang, M.; Li, T.; Du, G.; Liu, Y. Tai chi for health benefits in patients with multiple sclerosis: A systematic review. PLoS ONE 2017, 12, e0170212. [Google Scholar] [CrossRef]
- Aruin, A.S.; Ganesan, M.; Lee, Y. Improvement of postural control in individuals with multiple sclerosis after a single-session of ball throwing exercise. Mult. Scler. Relat. Disord. 2017, 17, 224–229. [Google Scholar] [CrossRef] [PubMed]
- Lee, Y.; Goyal, N.; Luna, G.; Aruin, A.S. Role of a single session of ball throwing exercise on postural control in older adults with mild cognitive impairment. Eur. J. Appl. Physiol. 2020, 120, 443–451. [Google Scholar] [CrossRef] [PubMed]
- Jagdhane, S.; Kanekar, N.; Aruin, A.S. The Effect of a Four-Week Balance Training Program on Anticipatory Postural Adjustments in Older Adults: A Pilot Feasibility Study. Curr. Aging Sci. 2016, 9, 295–300. [Google Scholar] [CrossRef]
- Latash, M.L. The bliss (not the problem) of motor abundance (not redundancy). Exp. Brain Res. 2012, 217, 1–5. [Google Scholar] [CrossRef]
- Peterka, R.J. Sensorimotor integration in human postural control. J. Neurophysiol. 2002, 88, 1097–1118. [Google Scholar] [CrossRef] [PubMed]
- Peterka, R.J. Sensory integration for human balance control. In Handbook of Clinical Neurology; Elsevier B.V.: Amsterdam, The Netherlands, 2018; Volume 159, pp. 27–42. [Google Scholar]
- Lee, B.C.Y.; McGill, S.M. Effect of long-term isometric training on core/torso stiffness. J. Strength Cond. Res. 2015, 29, 1515–1526. [Google Scholar] [CrossRef]
- Kay, A.D.; Husbands-Beasley, J.; Blazevich, A.J. Effects of Contract-Relax, Static Stretching, and Isometric Contractions on Muscle-Tendon Mechanics. Med. Sci. Sports Exerc. 2015, 47, 2181–2190. [Google Scholar] [CrossRef]
- Nojiri, S.; Ikezoe, T.; Nakao, S.; Umehara, J.; Motomura, Y.; Yagi, M.; Hirono, T.; Ichihashi, N. Effect of static stretching with different rest intervals on muscle stiffness. J. Biomech. 2019, 90, 128–132. [Google Scholar] [CrossRef]
- Goodworth, A.D.; Peterka, R.J. Contribution of sensorimotor integration to spinal stabilization in humans. J. Neurophysiol. 2009, 102, 496–512. [Google Scholar] [CrossRef][Green Version]
- Taube, W.; Kullmann, N.; Leukel, C.; Kurz, O.; Amtage, F.; Gollhofer, A. Differential reflex adaptations following sensorimotor and strength training in young elite athletes. Int. J. Sports Med. 2007, 28, 999–1005. [Google Scholar] [CrossRef] [PubMed]
- McKinlay, B.J.; Wallace, P.; Dotan, R.; Long, D.; Tokuno, C.; Gabriel, D.A.; Falk, B. Effects of plyometric and resistance training on muscle strength, explosiveness, and neuromuscular function in young adolescent soccer players. J. Strength Cond. Res. 2018, 32, 3039–3050. [Google Scholar] [CrossRef]
- Han, K.M.; Ricard, M.D. Effects of 4 weeks of elastic-resistance training on ankle-evertor strength and latency. J. Sport Rehabil. 2011, 20, 157–173. [Google Scholar] [CrossRef] [PubMed]
- Llewellyn, M.; Yang, J.F.; Prochazka, A. Human H-reflexes are smaller in difficult beam walking than in normal treadmill walking. Exp. Brain Res. 1990, 83, 22–28. [Google Scholar] [CrossRef] [PubMed]
- Wei, G.-X.; Xu, T.; Fan, F.-M.; Dong, H.-M.; Jiang, L.-L.; Li, H.-J.; Yang, Z.; Luo, J.; Zuo, X.-N. Can Taichi Reshape the Brain? A Brain Morphometry Study. PLoS ONE 2013, 8, e61038. [Google Scholar] [CrossRef] [PubMed]
- Ashton-Miller, J.A.; Wojtys, E.M.; Huston, L.J.; Fry-Welch, D. Can proprioception really be improved by exercises? Knee Surg. Sport. Traumatol. Arthrosc. 2001, 9, 128–136. [Google Scholar] [CrossRef] [PubMed]
- Patarapak, S.; Jarusripan, P.; Isipradit, P. Chulalongkorn vestibular balance exercise for rehabilitation in persons with various types of vestibular disorders. J. Med. Assoc. Thail. 2015, 98, S77–S84. [Google Scholar]
- Tang, P.F.; Woollacott, M.H. Inefficient postural responses to unexpected slips during walking in older adults. J. Gerontol. Ser. A Biol. Sci. Med. Sci. 1998, 53, M471–M480. [Google Scholar] [CrossRef]





| Tai Chi Group (n = 10) | Control Group (n = 10) | |
|---|---|---|
| Male/Female | 6/4 | 7/3 |
| Age (years) | 37.4 ± 7.8 | 28.8 ± 5.0 |
| Height (cm) | 176.2 ± 8.4 | 174.9 ± 7.2 |
| Body mass (kg) | 68.7 ± 10.9 | 72.0 ± 8.3 |
| Body mass index (kg/m2) | 22.1 ± 2.9 | 23.5 ± 1.5 |
| Tai Chi experience (years) | 7.0 ± 5.5 | 0 |
Publisher’s Note: MDPI stays neutral with regard to jurisdictional claims in published maps and institutional affiliations. |
© 2021 by the authors. Licensee MDPI, Basel, Switzerland. This article is an open access article distributed under the terms and conditions of the Creative Commons Attribution (CC BY) license (http://creativecommons.org/licenses/by/4.0/).
Share and Cite
Sever, J.; Babič, J.; Kozinc, Ž.; Šarabon, N. Postural Responses to Sudden Horizontal Perturbations in Tai Chi Practitioners. Int. J. Environ. Res. Public Health 2021, 18, 2692. https://doi.org/10.3390/ijerph18052692
Sever J, Babič J, Kozinc Ž, Šarabon N. Postural Responses to Sudden Horizontal Perturbations in Tai Chi Practitioners. International Journal of Environmental Research and Public Health. 2021; 18(5):2692. https://doi.org/10.3390/ijerph18052692
Chicago/Turabian StyleSever, Jernej, Jan Babič, Žiga Kozinc, and Nejc Šarabon. 2021. "Postural Responses to Sudden Horizontal Perturbations in Tai Chi Practitioners" International Journal of Environmental Research and Public Health 18, no. 5: 2692. https://doi.org/10.3390/ijerph18052692
APA StyleSever, J., Babič, J., Kozinc, Ž., & Šarabon, N. (2021). Postural Responses to Sudden Horizontal Perturbations in Tai Chi Practitioners. International Journal of Environmental Research and Public Health, 18(5), 2692. https://doi.org/10.3390/ijerph18052692

