A Short Form of the Chinese Version of the Weinstein Noise Sensitivity Scale through Optimal Test Assembly
Abstract
1. Introduction
2. Materials and Methods
2.1. Participants
2.2. Measurements
2.2.1. The Weinstein Noise Sensitivity Scale (WNSS)
2.2.2. The Chinese NEO-Five Factor Inventory (NEO-FFI)
2.3. Statistical Analysis
3. Results
3.1. Participant Demographic Characteristics
3.2. Checking Unidimensionality of the 21-Item WNSS
3.3. WNSS Item Properties and Selection
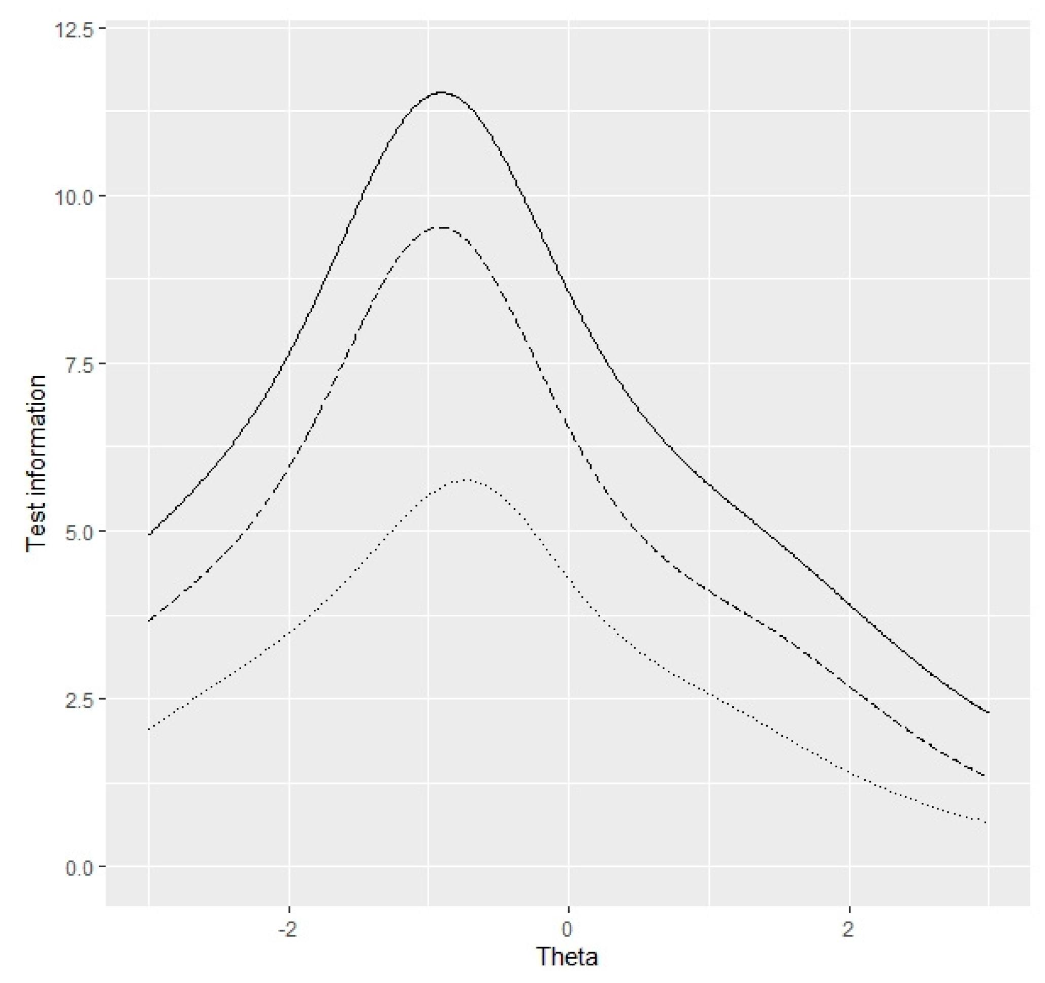
3.4. Testing the Short-Form Traditional Chinese WNSS
3.5. Testing the Short-Form Traditional Chinese WNSS with the Test Sample
4. Discussion
5. Conclusions
Author Contributions
Funding
Institutional Review Board Statement
Informed Consent Statement
Data Availability Statement
Conflicts of Interest
Appendix A
| The Traditional Chinese Version of the WNSS-8 | ||||||
|---|---|---|---|---|---|---|
| 非常同意 | 非常 不同意 | |||||
| 1. 如我研習的地方嘈吵,我會嘗試關門、關窗或移至別的地方。 | ☐6 | ☐5 | ☐4 | ☐3 | ☐2 | ☐1 |
| 2. 當我的鄰居嘈吵時,我會覺得煩擾。 | ☐6 | ☐5 | ☐4 | ☐3 | ☐2 | ☐1 |
| 3. 有時候,噪音會令我心煩及生氣。 | ☐6 | ☐5 | ☐4 | ☐3 | ☐2 | ☐1 |
| 4. 當我專心時,即使平常我喜歡的音樂也會覺得煩擾。 | ☐6 | ☐5 | ☐4 | ☐3 | ☐2 | ☐1 |
| 5. 當我想獨處時,外來的聲音會打擾我。 | ☐6 | ☐5 | ☐4 | ☐3 | ☐2 | ☐1 |
| 6. 我很難在一個嘈雜的地方放鬆。 | ☐6 | ☐5 | ☐4 | ☐3 | ☐2 | ☐1 |
| 7. 我惱怒那些製做噪音,令我不能入睡或完成工作的人。 | ☐6 | ☐5 | ☐4 | ☐3 | ☐2 | ☐1 |
| 8. 我對噪音很敏感。 | ☐6 | ☐5 | ☐4 | ☐3 | ☐2 | ☐1 |
References
- Basner, M.; Babisch, W.; Davis, A.; Brink, M.; Clark, C.; Janssen, S.; Stansfeld, S. Auditory and non-auditory effects of noise on health. Lancet 2014, 383, 1325–1332. [Google Scholar] [CrossRef]
- Basner, M.; McGuire, S. WHO environmental noise guidelines for the European region: A systematic review on environmental noise and effects on sleep. Int. J. Environ. Res. Public Health 2018, 15, 519. [Google Scholar] [CrossRef] [PubMed]
- Clark, C.; Paunovic, K. WHO environmental noise guidelines for the European region: A systematic review on environmental noise and cognition. Int. J. Environ. Res. Public Health 2018, 15, 285. [Google Scholar] [CrossRef] [PubMed]
- Kempen, E.V.; Casas, M.; Pershagen, G.; Foraster, M. WHO environmental noise guidelines for the European region: A systematic review on environmental noise and cardiovascular and metabolic effects: A summary. Int. J. Environ. Res. Public Health 2018, 15, 379. [Google Scholar] [CrossRef]
- Weinstein, N.D. Individual differences in reactions to noise: A longitudinal study in a college dormitory. J. Appl. Psychol. 1978, 63, 458–466. [Google Scholar] [CrossRef]
- Park, J.; Chung, S.; Lee, J.; Sung, J.H.; Cho, S.W.; Sim, C.S. Noise sensitivity, rather than noise level, predicts the non-auditory effects of noise in community samples: A population-based survey. BMC Public Health 2017, 17, 315. [Google Scholar] [CrossRef]
- Nordin, S.; Ljungberg, J.K.; Claeson, A.S.; Neely, G. Stress and odor sensitivity in persons with noise sensitivity. Noise Health 2013, 15, 173–177. [Google Scholar] [CrossRef]
- Heinonen-Guzejev, M.; Koskenvuo, M.; Mussalo-Rauhamaa, H.; Vuorinen, H.S.; Heikkila, K.; Kaprio, J. Noise sensitivity and multiple chemical sensitivity scales: Properties in a population based epidemiological study. Noise Health 2012, 14, 215–223. [Google Scholar] [CrossRef]
- Aletta, F.; Oberman, T.; Axelsson, Ö.; Xie, H.; Zhang, Y.; Lau, S.K.; Tang, S.K.; Jambrošić, K.; De Coensel, B.; van den Bosch, K.; et al. Soundscape assessment: Towards a validated translation of perceptual attributes in different languages. In Proceedings of the Internoise 2020 Conference, Seoul, Korea, 23–26 August 2020. [Google Scholar]
- Ekehammar, B.; Dornic, S. Weinstein’s noise sensitivity scale: Reliability and construct validity. Percept. Mot. Ski. 1990, 70, 129–130. [Google Scholar] [CrossRef]
- Zimmer, K.; Ellermeier, W. Psychometric properties of four measures of noise sensitivity: A comparison. J. Environ. Psychol. 1999, 19, 295–302. [Google Scholar] [CrossRef]
- Alimohammadi, I.; Nassiri, P.; Azkhosh, M.; Sabet, M.; Hosseini, M. Reliability and validity of the Persian translation of the Weinstein Noise Sensitivity Scale. Psychol. Res. 2006, 9, 74–87. [Google Scholar]
- Kishikawa, H.; Matsui, T.; Uchiyama, I.; Miyakawa, M.; Hiramatsu, K.; Stansfeld, S.A. Noise sensitivity and subjective health: Questionnaire study conducted along trunk roads in Kusatsu, Japan. Noise Health 2009, 11, 111–117. [Google Scholar] [CrossRef] [PubMed]
- Senese, V.P.; Ruotolo, F.; Ruggiero, G.; Iachini, T. The Italian version of the Weinstein Noise Sensitivity Scale: Measurement invariance across age, sex, and context. Eur. J. Psychol. Assess. 2012, 28, 118–124. [Google Scholar] [CrossRef]
- Han, T.; Wu, J. Revise of the noise sensitive scale and its reliability and validity. China J. Health Psychol. 2015, 23, 196–200. [Google Scholar] [CrossRef]
- Fong, D.Y.T.; Takemura, N.; Chau, P.H.; Wan, S.L.Y.; Wong, J.Y.H. Measurement properties of the Chinese Weinstein Noise Sensitivity Scale. Noise Health 2017, 19, 193–199. [Google Scholar] [CrossRef]
- Benfield, J.A.; Nurse, G.A.; Jakubowski, R.; Gibson, A.W.; Taff, B.D.; Newman, P.; Bell, P.A. Testing noise in the field: A brief measure of individual noise sensitivity. Environ. Behav. 2014, 46, 353–372. [Google Scholar] [CrossRef]
- Dzhambov, A.M.; Dimitrova, D.D. Psychometric properties of the Bulgarian translation of noise sensitivity scale short form (NSS-SF): Implementation in the field of noise control. Noise Health 2014, 16, 361–367. [Google Scholar] [CrossRef]
- Zhong, T.; Chung, P.K.; Liu, J.D. Short Form of Weinstein Noise Sensitivity Scale (NSS-SF): Reliability, validity and gender invariance among Chinese individuals. Biomed. Environ. Sci. BES 2018, 31, 97–105. [Google Scholar] [CrossRef]
- Magno, C. Demonstrating the difference between classical test theory and item response theory using derived test data. Int. J. Educ. Psychol. Assess. 2009, 1, 1–11. [Google Scholar]
- Li, S.; Fong, D.Y.T.; Wong, J.Y.H.; Wilkinson, K.; Shapiro, C.; Choi, E.P.H.; McPherson, B.; Lau, E.Y.Y.; Lam, C.L.K.; Huang, L.X.; et al. Nonrestorative Sleep Scale: A reliable and valid short form of the traditional Chinese version. Qual. Life Res. Int. J. Qual. Life Asp. Treat. Care Rehabil. 2020, 29, 2585–2592. [Google Scholar] [CrossRef]
- Harel, D.; Mills, S.D.; Kwakkenbos, L.; Carrier, M.E.; Nielsen, K.; Portales, A.; Bartlett, S.J.; Malcarne, V.L.; Thombs, B.D.; Investigators, S. Shortening patient-reported outcome measures through optimal test assembly: Application to the Social Appearance Anxiety Scale in the Scleroderma Patient-centered Intervention Network Cohort. BMJ Open 2019, 9, e024010. [Google Scholar] [CrossRef] [PubMed]
- van der Linden, W.J. Optimal assembly of psychological and educational tests. Appl. Psychol. Meas. 1998, 22, 195–211. [Google Scholar] [CrossRef]
- Harel, D.; Baron, M. Methods for shortening patient-reported outcome measures. Stat. Methods Med. Res. 2019, 28, 2992–3011. [Google Scholar] [CrossRef]
- Cappelleri, J.C.; Lundy, J.J.; Hays, R.D. Overview of classical test theory and item response theory for the quantitative assessment of items in developing patient-reported outcomes measures. Clin. Ther. 2014, 36, 648–662. [Google Scholar] [CrossRef] [PubMed]
- Cheung, F.M.; Leung, K.; Zhang, J.-X.; Sun, H.-F.; Gan, Y.-Q.; Song, W.-Z.; Xie, D. Indigenous Chinese personality constructs: Is the five-factor model complete. J. Cross Cult. Psychol. 2001, 32, 407–433. [Google Scholar] [CrossRef]
- Campbell, J.B. Extraversion and noise sensitivity: A replication of Dornic and Ekehammar’s study. Pers. Indiv. Differ. 1992, 13, 953–955. [Google Scholar] [CrossRef]
- Izquierdo, I.; Olea, J.; Abad, F.J. Exploratory factor analysis in validation studies: Uses and recommendations. Psicothema 2014, 26, 395–400. [Google Scholar] [CrossRef] [PubMed]
- Cao, M.; Tay, L.; Liu, Y. A monte carlo study of an iterative Wald test procedure for DIF analysis. Educ. Psychol. Meas. 2017, 77, 104–118. [Google Scholar] [CrossRef]
- Meade, A.W.; Wright, N.A. Solving the measurement invariance anchor item problem in item response theory. J. Appl. Psychol. 2012, 97, 1016–1031. [Google Scholar] [CrossRef]
- Linden, W. Linear Models for Optimal Test Design; Springer: New York, NY, USA, 2006; pp. 81–82. [Google Scholar]
- Chiesi, F.; Morsanyi, K.; Donati, M.A.; Primi, C. Applying item response theory to develop a shortened version of the Need for Cognition Scale. Adv. Cogn. Psychol. 2018, 14, 75–86. [Google Scholar] [CrossRef]
- van der Ark, L.A. Stochastic ordering of the latent trait by the sum score under various polytomous IRT models. Psychometrika 2005, 70, 283–304. [Google Scholar] [CrossRef]
- Hooper, D.; Coughlan, J.; Mullen, M.R. Structural equation modelling: Guidelines for determining model fit. Electron. J. Bus. Res. Methods 2007, 6, 53–60. [Google Scholar] [CrossRef]
- Revelle, W. Psych: Procedures for Psychological, Psychometric, and Personality Research. Available online: https://cran.r-project.org/web/packages/psych/index.html (accessed on 23 February 2020).
- Chalmers, P. Mirt: Multidimensional Item Response Theory. Available online: https://cran.r-project.org/web/packages/mirt/index.html (accessed on 26 April 2019).
- Rizopoulos, D. Ltm: Latent Trait Models Under IRT. Available online: https://cran.r-project.org/web/packages/ltm/index.html (accessed on 26 April 2019).
- Berkelaar, M.; Konis, K.; Schwendinger, F. LpSolveAPI: R Interface to ‘lp_solve’ Version 5.5.2.0. Available online: https://cran.r-project.org/web/packages/lpSolveAPI/index.html (accessed on 23 February 2020).
- Rosseel, Y. Lavaan: Latent Variable Analysis. Available online: https://cran.r-project.org/web/packages/lavaan/index.html (accessed on 26 April 2019).
- Baker, F.B. The Basics of Item Response Theory, 2nd ed.; ERIC Clearinghouse on Assessment and Evaluation: College Park, MD, USA, 2001; pp. 108–109. [Google Scholar]
- Wong, C.L.; Chau, W.; Wong, L.W. Environmental noise and community in Hong Kong. Noise Health 2002, 4, 65–69. [Google Scholar] [PubMed]
- Nguyen, T.H.; Han, H.R.; Kim, M.T.; Chan, K.S. An introduction to item response theory for patient-reported outcome measurement. Patient 2014, 7, 23–35. [Google Scholar] [CrossRef]
- Reyner, L.A.; Horne, J.A.; Reyner, A. Gender- and age-related differences in sleep determined by home-recorded sleep logs and actimetry from 400 adults. Sleep 1995, 18, 127–134. [Google Scholar] [CrossRef]
- Hinton, P.R.; McMurray, I.; Brownlow, C. SPSS Explained; Routledge/Taylor & Francis Group: London, UK; New York, NY, USA, 2014; p. 352. [Google Scholar]
- Mislevy, J.L.; Rupp, A.A. Concurrent validity. In Encyclopedia of Research Design; Salkind, N.J., Ed.; SAGE Publications, Inc.: Thousand Oaks, CA, USA, 2012; pp. 210–211. [Google Scholar]
- Mukaka, M.M. Statistics corner: A guide to appropriate use of correlation coefficient in medical research. Malawi Med. J. 2012, 24, 69–71. [Google Scholar]
- Peterson, E.R.; Mohal, J.; Waldie, K.E.; Reese, E.; Carr, P.E.A.; Grant, C.C.; Morton, S.M.B. A cross-cultural analysis of the Infant Behavior Questionnaire very short form: An item response theory analysis of infant temperament in New Zealand. J. Pers. Assess. 2017, 99, 574–584. [Google Scholar] [CrossRef]
- Sekely, A.; Taylor, G.J.; Bagby, R.M. Developing a short version of the Toronto Structured Interview for alexithymia using item response theory. Psychiatry Res. 2018, 266, 218–227. [Google Scholar] [CrossRef]

| WNSS Items | Discrimination | Information |
|---|---|---|
| 1. I wouldn’t mind living on a noisy street if the apartment I had was nice. | 0.235 | 1.06 |
| 2. I am more aware of noise than I used to be. | 0.329 | 1.55 |
| 3. No one should mind much if someone turns up his or her stereo full blast once in a while. | 0.227 | 0.97 |
| 4. At movies, whispering and crinkling candy wrappers disturb me. | 0.348 | 1.63 |
| 5. I am easily awakened by noise. | 0.655 | 3.26 |
| 6 a. If it’s noisy where I’m studying, I try to close the door or window or move someplace else. | 0.832 | 4.15 |
| 7 a,b. I get annoyed when my neighbors are noisy. | 1.090 | 5.45 |
| 8 b. I get used to most noises without much difficulty. | 0.214 | 0.84 |
| 9. It would matter to me if an apartment I was interested in renting were located across from a fire station. | 0.458 | 2.23 |
| 10 a. Sometimes noises get on my nerves and get me irritated. | 1.688 | 8.44 |
| 11 a. Even music I normally like will bother me if I’m trying to concentrate. | 0.605 | 3.00 |
| 12. It wouldn’t bother me to hear the sounds of everyday living from neighbors (footsteps, running water, etc.). | 0.123 | 0.38 |
| 13 a. When I want to be alone, it disturbs me to hear outside noises. | 0.671 | 3.33 |
| 14. I’m good at concentrating no matter what is going on around me. | 0.298 | 1.33 |
| 15. In a library, I don’t mind if people carry on a conversation if they do it quietly. | 0.148 | 0.54 |
| 16. There are often times when I want complete silence. | 0.345 | 1.62 |
| 17. Motorcycles ought to be required to have bigger mufflers. | 0.539 | 2.64 |
| 18 a,b. I find it hard to relax in a place that’s noisy. | 1.206 | 6.03 |
| 19 a,b. I get mad at people who make noise that keeps me from falling asleep or getting work done. | 1.214 | 6.07 |
| 20. I wouldn’t mind living in an apartment with thin walls. | 0.229 | 0.96 |
| 21 a,b. I am sensitive to noise. | 0.775 | 3.86 |
| Short-Form Length | Cronbach’s Alpha (95% CI) | Correlation of Summed Scores (95% CI) | Correlation of Factor Scores (95% CI) |
|---|---|---|---|
| WNSS-19 | 0.81 (0.79, 0.83) | 1.000 (1.000, 1.000) | 1.000 (1.000, 1.000) |
| WNSS-8 | 0.83 (0.81, 0.85) | 0.901 (0.884, 0.915) | 0.982 (0.979, 0.985) |
| NSS-SF | 0.67 (0.62, 0.71) | 0.867 (0.826, 0.909) | 0.904 (0.869, 0.940) |
| Measures | WNSS-21 (95% CI) | WNSS-8 (95% CI) | NSS-SF (95% CI) |
|---|---|---|---|
| NEO-N | 0.294 (0.215, 0.374) | 0.272 (0.192, 0.352) | 0.269 (0.189, 0.349) |
| NEO-E | −0.112 (−0.200, −0.035) | −0.115 (−0.197, −0.032) | −0.118 (−0.200, −0.035) |
| Short Versions | χ2 | RMSEA (90% CI) | SRMR | CFI |
|---|---|---|---|---|
| WNSS-8 | 61.477 | 0.069 (0.050, 0.090) | 0.038 | 0.957 |
| NSS-SF | 8.852 | 0.040 (0.000, 0.083) | 0.024 | 0.990 |
| Index | WNSS-21 | WNSS-8 | NSS-SF |
|---|---|---|---|
| Test information | 59.36 | 39.89 (67.2%) | 22.93 (38.6%) |
| Test information (−3, 3) | 43.42 | 31.72 (73.1%) | 18.75 (43.2%) |
| Short Versions | Cronbach’s Alpha | Test Information | Factorial Validity | |||
|---|---|---|---|---|---|---|
| χ2 | RMSEA (90% CI) | SRMR | CFI | |||
| WNSS-8 | 0.80 (0.78, 0.83) | 40.01 (63.3%) | 73.229 | 0.073 (0.058, 0.089) | 0.049 | 0.923 |
| NSS-SF | 0.72 (0.68, 0.76) | 27.62 (43.7%) | 8.340 | 0.037 (0.000, 0.076) | 0.022 | 0.991 |
Publisher’s Note: MDPI stays neutral with regard to jurisdictional claims in published maps and institutional affiliations. |
© 2021 by the authors. Licensee MDPI, Basel, Switzerland. This article is an open access article distributed under the terms and conditions of the Creative Commons Attribution (CC BY) license (http://creativecommons.org/licenses/by/4.0/).
Share and Cite
Li, S.; Fong, D.Y.T.; Wan, S.L.Y.; McPherson, B.; Lau, E.Y.Y.; Huang, L.; Ip, M.S.M.; Wong, J.Y.H. A Short Form of the Chinese Version of the Weinstein Noise Sensitivity Scale through Optimal Test Assembly. Int. J. Environ. Res. Public Health 2021, 18, 879. https://doi.org/10.3390/ijerph18030879
Li S, Fong DYT, Wan SLY, McPherson B, Lau EYY, Huang L, Ip MSM, Wong JYH. A Short Form of the Chinese Version of the Weinstein Noise Sensitivity Scale through Optimal Test Assembly. International Journal of Environmental Research and Public Health. 2021; 18(3):879. https://doi.org/10.3390/ijerph18030879
Chicago/Turabian StyleLi, Sha, Daniel Yee Tak Fong, Sarah Lai Yin Wan, Bradley McPherson, Esther Yuet Ying Lau, Lixi Huang, Mary Sau Man Ip, and Janet Yuen Ha Wong. 2021. "A Short Form of the Chinese Version of the Weinstein Noise Sensitivity Scale through Optimal Test Assembly" International Journal of Environmental Research and Public Health 18, no. 3: 879. https://doi.org/10.3390/ijerph18030879
APA StyleLi, S., Fong, D. Y. T., Wan, S. L. Y., McPherson, B., Lau, E. Y. Y., Huang, L., Ip, M. S. M., & Wong, J. Y. H. (2021). A Short Form of the Chinese Version of the Weinstein Noise Sensitivity Scale through Optimal Test Assembly. International Journal of Environmental Research and Public Health, 18(3), 879. https://doi.org/10.3390/ijerph18030879

