Identification of Policies Based on Assessment-Optimization Model to Confront Vulnerable Resources System with Large Population Scale in a Big City
Abstract
1. Introduction
2. Materials and Methods
2.1. Problem Statement
2.2. The Framework of APRF under Combined Policies
2.3. Methodology and Modeling
2.3.1. Method Development
Vulnerability Assessment Based on Driver–Pressure–State–Response (DPSR) Model
Optimization Based on a Scenario-Based Dynamic Fuzzy Model with Hurwicz Criterion (SDFH) Method
2.3.2. Modeling Formulation for Practical Application
- (1)
- Income from current population situation and corresponding loss from WFE shortage ():
- (2)
- Benefit and loss from WFE supply capacity based on population adjustment ():
- (3)
- Benefit and cost from technique improvement ():
- (1)
- Constraints of available water resources and corresponding resource regulation:
- (2)
- Constraints of available coal resources and corresponding resource regulation:
- (3)
- Constraints of available food resources and corresponding resource regulation:
- (4)
- Constraints of living population scale for agricultural sector:
- (5)
- Constraints of employed population scale for industrial sector:
- (6)
- Constraints of employed population scale for service sector:
- (7)
- Constraints of capacity of water-saving and energy efficiency techniques:
- (8)
- Constraints of Hurwicz criterion:
- (9)
- Constraints of economic benefit and loss:
- (10)
- Non-negative constraints:
2.4. Data Acquisition
3. Results and Discussion
3.1. WFE Vulnerability under Basic Policy Scenario (S0)
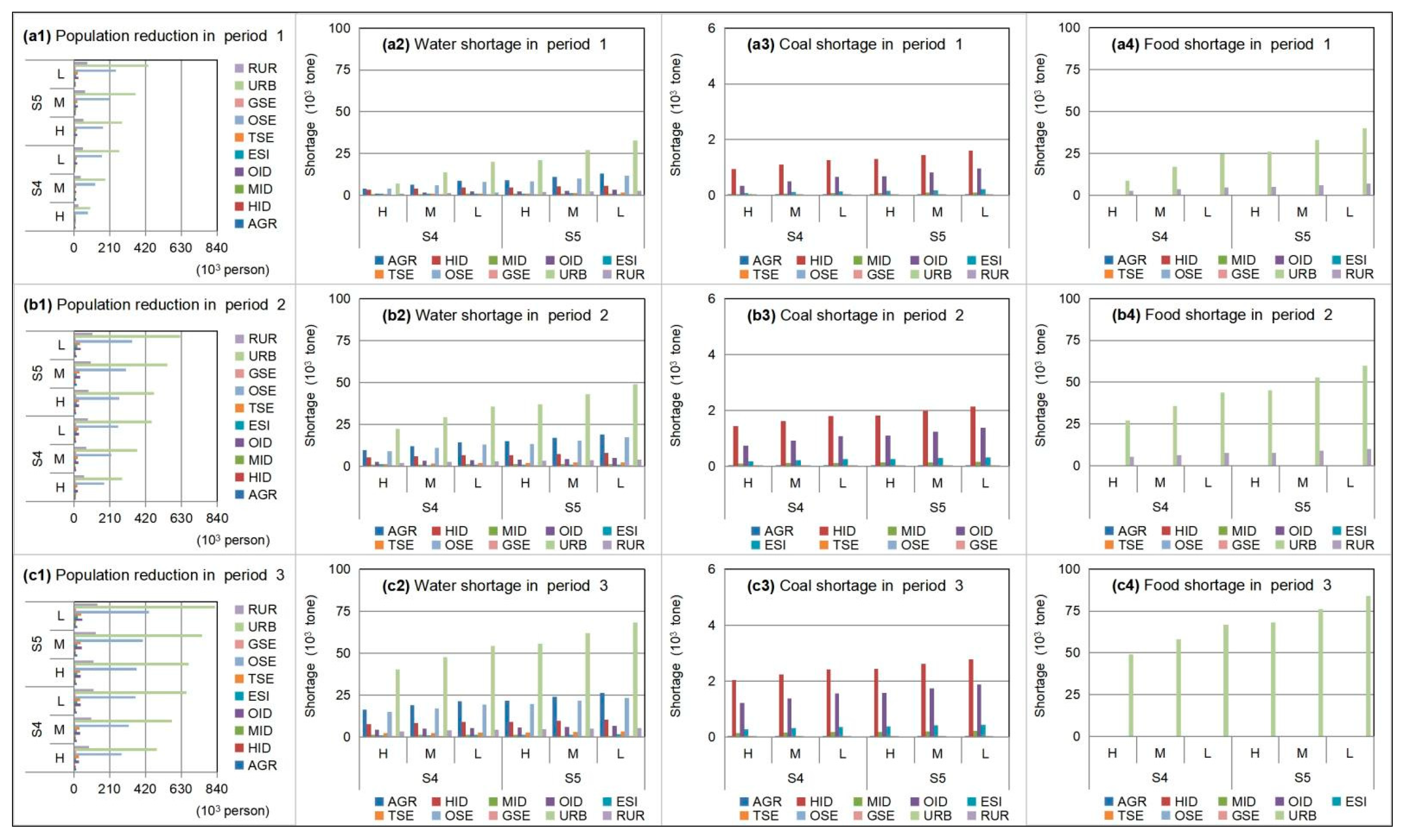
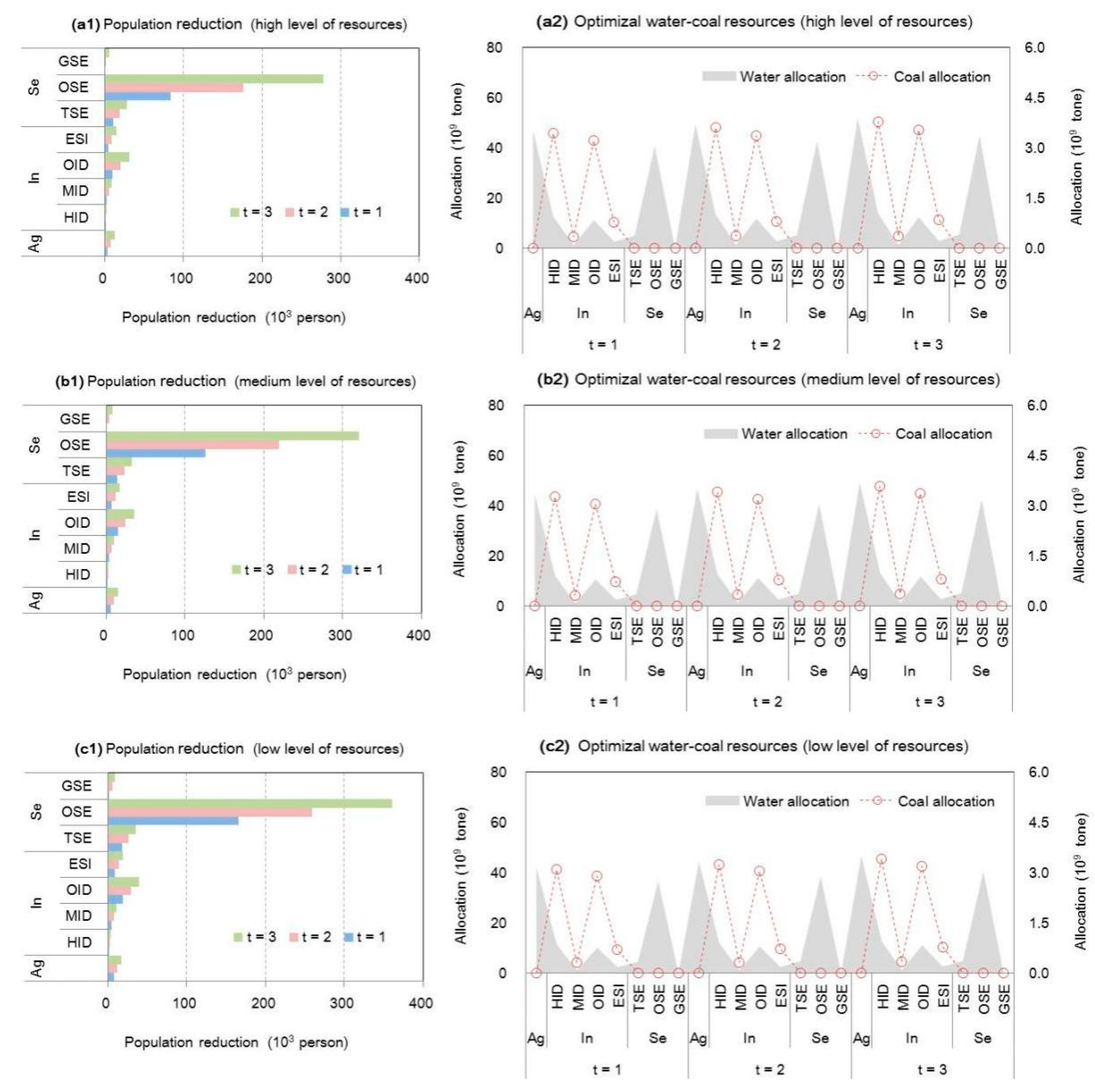
3.2. WFE Shortage and Population Adjustment under Various Policy Scenarios (S1 to S7)
3.3. System Benefit and Vulnerability Analysis under Various Policy Scenarios (S0 to S7)
3.4. Discussion
4. Conclusions
Author Contributions
Funding
Institutional Review Board Statement
Informed Consent Statement
Data Availability Statement
Acknowledgments
Conflicts of Interest
Abbreviations
| Objective fuction | |
| Total system benefit (RMB) | |
| Decision variable | |
| , , , | Expected population for municipal, agricultural, industrial, and service sectors in period t (person) |
| , , , | The population with resource shortages for municipal, agricultural, industrial, and service sectors in period t (person) |
| , , , | The population adjustment for municipal, agricultural, industrial, and service sectors in period t (person) |
| Random variable | |
| , , | Available water resources, coal resources, and food in period t (ton) |
| Water flow from river of in period t under probability in period t (m3) | |
| Parameter | |
| Net benefit of population per volume of resource being satisfied in period t (RMB/person) | |
| , , | Net benefit of population per volume of resource being satisfied for agricultural, industrial, and service sectors in period t (RMB/person) |
| , , | The resource consumption per population for municipal, agricultural, industrial, and service sectors in period t (ton/person) |
| , | The improvement ratio of resource-saving technique (%) |
| , , , | Loss of population with resource shortages for municipal, agricultural, industrial, and service sectors per volume of resources not being satisfied in period t (RMB/person) |
| , , , | Loss of population adjustment for municipal, agricultural, industrial, and service sectors per volume of resources not being satisfied in period t (RMB/person) |
| , | The resource consumption per population for municipal, agricultural, industrial, and service sectors with consideration of technique improvement in period t (ton/person) |
| , | The improvement ratio of retreatment technique (%) |
| , , , | The cost of technique improvement for population in municipal, agricultural, industrial, and service sectors in period t (RMB/person) |
| Normal water requirement of watercourse in period t (m3) | |
| Evaporation and infiltration loss of water from river in period t (m3) | |
| , , | The reduced ratio of resource limit for resource-saving target (%) |
| , | The maximal capacity of retreatment technology |
| , | Minimum and maximum population scale for agricultural sector (person) |
| , | Minimum and maximum population scale for industrial sector (person) |
| , | Minimum and maximum population scale for service sector (person) |
References
- Zeng, X.; Zhao, J.; Wang, D.; Kong, X.; Huang, G. Scenario analysis of a sustainable water-food nexus optimization with consideration of population-economy regulation in Beijing-Tianjin-Hebei region. J. Clean. Prod. 2019, 228, 927–940. [Google Scholar] [CrossRef]
- Fang, G.; Wang, Q.; Tian, L. Green development of Yangtze River Delta in China under Population-Resources-Environment-Development-Satisfaction perspective. Sci. Total Environ. 2020, 727, 138710. [Google Scholar] [CrossRef] [PubMed]
- Zeng, X.T.; Xiang, H.; Xue, Y.; Su, Y.; Tong, Y.F.; Mao, Z.Y.; Chen, C.; Kong, X.M. A scenario-based optimization frame to adjust current strategy for population-economy-resource-environment harmony in an urban agglomeration, China. Sustain. Cities Soc. 2021, 67, 102710. [Google Scholar] [CrossRef]
- Sun, L.; Pan, B.; Gu, A.; Lu, H.; Wang, W. Energy-water nexus analysis in the Beijing-Tianjin-Hebei region: Case of electricity sector. Renew. Sustain. Energy Rev. 2018, 93, 27–34. [Google Scholar] [CrossRef]
- Chen, C.; Zeng, X.T.; Yu, L.; Huang, G.H.; Li, Y.P. Planning energy-water nexus systems based on a dual risk aversion optimization method under multiple uncertainties. J. Clean. Prod. 2020, 255, 120100. [Google Scholar] [CrossRef]
- Hardin, G. The Tragedy of the Commons; H Press: New York, NY, USA, 1968. [Google Scholar]
- Horta, I.M.; Camanho, A.S.; Dias, T.G. Residential building resource consumption: A comparison of Portuguese municipalities’ performance. Cities 2016, 50, 54–61. [Google Scholar] [CrossRef]
- Tipple, G. Employment from housing: A resource for rapidly growing urban populations. Cities 1994, 6, 372–376. [Google Scholar] [CrossRef]
- Sakanoue, S. A resource-based approach to modelling the dynamics of interacting populations. Ecol. Model. 2009, 220, 1383–1394. [Google Scholar] [CrossRef]
- Bianchi, T.; Jones, C.G.; Shachak, M. Positive feedback of consumer population density on resource supply. Trends Ecol. Evol. 1989, 4, 234–238. [Google Scholar] [CrossRef]
- Gilland, B. World Population and Food Supply: Can Food Production Keep Pace with Population Growth in the Next Half-century? Food Policy 2002, 27, 47–63. [Google Scholar] [CrossRef]
- Al-Shutayri, A.S.; Al-Juaidi, A.E.M. Assessment of future urban water resources supply and demand for Jeddah City based on the WEAP model. Arab. J. Geosci. 2019, 12, 431. [Google Scholar] [CrossRef]
- Vorosmarty, C.; Green, P.; Salisbury, J.; Lammers, R.B. Global water resources: Vulnerability from climate change and population growth. Science 2000, 289, 284–288. [Google Scholar] [CrossRef]
- Nadine, A.; Marshall, R.; Tobin, C.; Paul, A.; Marshall, M.G.; Hobday, A.J. Social vulnerability of marine resource users to extreme weather events. Ecosystems 2013, 16, 797–809. [Google Scholar]
- Yang, X.; Sun, B.Y.; Zhang, J.; Li, Y.Q. Hierarchy evaluation of water resources vulnerability under climate change in Beijing, China. Nat. Hazards 2016, 84, 63–76. [Google Scholar] [CrossRef]
- Chen, J.; Yu, X.; Qiu, L.; Dong, R. Study on vulnerability and coordination of water-energy-food system in Northwest China. Sustainability 2018, 10, 3712. [Google Scholar] [CrossRef]
- Young, O.R. Institutional dynamics: Resilience, vulnerability and adaptation in environmental and resource regimes. Glob. Environ. Chang. 2010, 20, 21–35. [Google Scholar] [CrossRef]
- Li, R.; Fang, S.; Li, J. Regional water use structure optimization under multiple uncertainties based on water resources vulnerability analysis. Water Resour. Manag. 2018, 32, 1827–1847. [Google Scholar] [CrossRef]
- Xiang, X.; Li, Q. Water resources vulnerability assessment and adaptive management based on projection Pursuit model. J. Coast. Res. 2020, 103, 431. [Google Scholar] [CrossRef]
- Huang, G.H.; Loucks, D.P. An inexact two-stage stochastic programming model for water resources management under uncertainty. Civ. Eng. Environ. Syst. 2000, 17, 95–118. [Google Scholar] [CrossRef]
- Guo, P.; Huang, G.H. Two-stage fuzzy chance-constrained programming: Application to water resources management under dual uncertainties. Stoch. Environ. Res. Risk Assess. 2009, 23, 349–359. [Google Scholar] [CrossRef]
- Doolse, G.; Kingwell, R. Robust mathematical programming for natural resource modeling under parametric uncertainty. Nat. Resour. Model. 2010, 23, 283–302. [Google Scholar]
- Inuiguchi, M. Robust optimization by fuzzy linear programming. Lect. Note Econ. Math. Syst. 2012, 658, 219–239. [Google Scholar]
- Ji, X.; Chen, B. Assessing the energy-saving effect of urbanization in China based on stochastic impacts by regression on population, affluence and technology (STIRPAT) model. J. Clean. Prod. 2017, 163, s306–s314. [Google Scholar] [CrossRef]
- Zeng, X.T.; Tong, Y.F.; Cui, L.; Kong, X.M.; Sheng, Y.N.; Chen, L.; Li, Y.P. Population-production-pollution nexus based air pollution management model for alleviating the atmospheric crisis in Beijing, China. J. Environ. Manag. 2017, 197, 507–521. [Google Scholar] [CrossRef] [PubMed]
- Peterson, G.D.; Graeme, S.C.; Stephen, R.C. Scenario Planning: A Tool for Conservation in an Uncertain World. Conserv. Biol. 2003, 17, 358–366. [Google Scholar] [CrossRef]
- Rogers, C.D.F. Engineering future liveable, resilient, sustainable cities using foresight. Proc. Inst. Civ. Eng. 2018, 171, 3–9. [Google Scholar] [CrossRef]
- Salas, J.; Yepes, V. Enhancing sustainability and resilience through multi-level infrastructure planning. Int. J. Environ. Res. Public Health 2020, 17, 962. [Google Scholar] [CrossRef]
- Chen, Z.; Qiu, B. Resilient planning frame for building resilient cities. In Proceedings of the 7th International Association for China Planning Conference, Shanghai, China, 1–29 June 2013. [Google Scholar]
- Beijing Water Bureau. The Water Resources Report of Beijing City (WRB) 2006–2018; Beijing Water Bureau: Beijing, China, 2019.
- Beijing Municipal Bureau of Statistics. The Statistical Yearbook of Beijing City (SYB) 2006–2018; China Statistics Press: Beijing, China, 2019.
- Kong, X.M.; Huang, G.H.; Fan, Y.; Li, Y.P.; Zeng, X.; Zhu, Y. Risk analysis for water resources management under dual uncertainties through factorial analysis and fuzzy random value-at-risk. Stochastic. Environ. Re. Risk. Assess. 2019, 31, 1–16. [Google Scholar] [CrossRef]
- Berardy, A.; Chester, M.V. Climate change vulnerability in the food, energy, and water nexus: Concerns for agricultural production in Arizona and its urban export supply. Environ. Res. Lett. 2017, 12, 035004. [Google Scholar] [CrossRef]
- Li, P.Y.; Qian, H.; Wu, J.H. Application of Set Pair Analysis Method Based on Entropy Weight in Groundwater Quality Assessment—A Case Study in Dongsheng City, Northwest China. J. Chem. 2011, 8, 851–858. [Google Scholar]
- Liu, X.; Wang, Y.; Peng, J. Assessing vulnerability to drought based on exposure, sensitivity and adaptive capacity: A case study in middle Inner Mongolia of China. Chin. Geogr. Sci. 2013, 23, 13–25. [Google Scholar] [CrossRef]
- Hem, N.; Peggy, T.B.; Marcia, M.B. Social indicators of vulnerability for fishing communities in the Northern Gulf of California, Mexico: Implications for climate change. Mar. Policy 2014, 45, 182–193. [Google Scholar]
- Ji, Y.; Huang, G.H.; Sun, W. Risk assessment of hydropower stations through an integrated fuzzy entropy-weight multiple criteria decision making method: A case study of the Xiangxi River. Expert Syst. 2015, 42, 79–86. [Google Scholar] [CrossRef]
- He, Y.; Guo, H.; Jin, M.; Ren, P. A linguistic entropy weight method and its application in linguistic multi-attribute group decision making. Nonlinear Dyn. 2016, 84, 399–404. [Google Scholar] [CrossRef]
- Li, L.; Liu, F.; Li, C. Customer satisfaction evaluation method for customized product development using Entropy weight and Analytic Hierarchy Process. Comput. Ind. Eng. 2014, 77, 80–87. [Google Scholar] [CrossRef]
- Halkos, G.E.; Stern, D.I.; Tzeremes, N.G. Economic growth and environmental efficiency: Evidence from US regions. Econ. Lett. 2013, 120, 48–52. [Google Scholar] [CrossRef][Green Version]
- Coban, V.; Guler, E.; Kılıç, T.; Kandemir, S.Y. Precipitation forecasting in Marmara region of Turkey. Arab. J. Geosci. 2021, 14, 86. [Google Scholar] [CrossRef]
- Krueger, E.; Rao, P.S.C.; Borchardt, D. Quantifying urban water supply security under global change. Glob. Environ. Chang. 2019, 56, 66–74. [Google Scholar] [CrossRef]
- Li, X.; Zhang, Y.; Abbassi, R.; Yang, M.; Zhang, R.; Chen, G. Dynamic probability assessment of urban natural gas pipeline accidents considering integrated external activities. J. Loss Prev. Process. Ind. 2021, 69, 104388. [Google Scholar] [CrossRef]
- Salas, J.; Yepes, V. A discursive, many-objective approach for selecting more-evolved urban vulnerability assessment models. J. Clean. Prod. 2018, 176, 1231–1244. [Google Scholar] [CrossRef]
- Tanaka, H.; Guo, P.; Zimmermann, H.J. Possibility distributions of fuzzy decision variables obtained from possibilistic linear programming problems. Fuzzy Sets Syst. 2000, 13, 323–332. [Google Scholar] [CrossRef]
- Swarta, R.J.; Raskinb, P.; Robinsonc, J. The problem of the future: Sustainability science and scenario analysis. Glob. Environ. Chang. 2004, 14, 137–146. [Google Scholar] [CrossRef]
- Zeng, X.T.; Li, Y.P.; Huang, G.H.; Liu, L. A two-stage interval-stochastic water trading model for allocating water resources of Kaidu-Kongque River in northwestern China. J. Hydroinform. 2015, 17, 551. [Google Scholar] [CrossRef]
- Dong, Y.R.; Li, Y.; Kong, F.L.; Zhang, J.L.; Xi, M. Source structural characteristics and ecological indication of dissolved organic matter extracted from sediments in the primary tributaries of the Dagu River. Ecol. Indic. 2020, 109, 105576. [Google Scholar] [CrossRef]
- Zeng, X.T.; Zhang, S.J.; Feng, J.; Huang, G.H.; Li, Y.P.; Zhang, P.; Chen, J.P.; Li, K.L. A multi-reservoir based water-hydroenergy management model for identifying the risk horizon of regional resources-energy policy under uncertainties. Energy Convers. Manag. 2017, 143, 66–84. [Google Scholar] [CrossRef]
- Kong, X.M.; Huang, G.H.; Li, Y.P.; Fan, Y.R.; Zeng, X.T.; Zhu, Y. Inexact Copula-Based Stochastic Programming Method for Water Resources Management under Multiple Uncertainties. J. Water Resour. Plan. Manag. 2018, 144, 98. [Google Scholar] [CrossRef]










| DPSR Framework | Index | Equation | Vulnerability |
|---|---|---|---|
| Driver | Population scale | Direct data index | Exposure (EI) |
| Employment rate | Employment/total labor force | ||
| The proportion of population for agriculture in industries | Agricultural population/population | ||
| The proportion of population for industry in industries | Industrial population/population | ||
| The proportion of population for service industry in industries | Service population/population | ||
| R&D people | Direct data index | ||
| Pressure | The proportion of agriculture in industries | R&D people in agriculture industry/R&D people | |
| The proportion of industry in industries | R&D people in industry/R&D people | ||
| The proportion of service industry in industries | R&D people in service industry/R&D people | ||
| Land utilization rate | The area of land developed/total land area | ||
| Energy yield-to-consumption ratio | Energy output/energy consumption | ||
| The efficiency of energy utilization | Industrial GDP/energy consumption | ||
| Total water availability | Direct data index | ||
| Forest coverage rate | Forest area/total land area | ||
| State | Water resources per capita | Total water resources/population | Sensitivity (SI) |
| Forest area per capita | Total forest area/population | ||
| Energy self-sufficiency gap | Energy consumption − energy output | ||
| Water shortage rate | (Water consumption − water resource)/water resource | ||
| Per capital greening gap | (Per capital green area − standard green value)/standard green value | ||
| The rate of food self-sufficiency | Grain consumption/grain output | ||
| Response | Ecological environment investment index | The government energy conservation/general budget | Adaptability (AI) |
| The government energy conservation | Direct data index | ||
| Sewage treatment rate | Amount of sewage purification/total sewage | ||
| Water-saving percentage | Circulating water consumption/water consumption | ||
| Intensity of soil erosion control | Water and soil loss after treatment/water and soil loss before treatment × 100% |
| Variable | Test Type (C, T, P) | ADF Statistic | 1% Threshold | 5% Threshold | 10% Threshold | Conclusion |
|---|---|---|---|---|---|---|
| Population scale | (0, 1, 1) | −3.645 | −3.75 | −3 | −2.63 | Stable performance |
| Employment structure | (0, 0, 1) | −3.019 | −3.75 | −3 | −2.63 | Stable performance |
| The proportion of population for agriculture in industries | (0, 1, 2) | −3.104 | −3.75 | −3 | −2.63 | Stable performance |
| The proportion of population for industry in industries | (0, 1, 1) | −3.933 | −3.75 | −3 | −2.63 | Stable performance |
| The proportion of population for service industry in industries | (0, 1, 1) | −3.306 | −3.75 | −3 | −2.63 | Stable performance |
| R&D people | (0, 1, 1) | −4.355 | −3.75 | −3 | −2.63 | Stable performance |
| The proportion of agriculture in industries | (0, 1, 1) | −3.572 | −3.75 | −3 | −2.63 | Stable performance |
| The proportion of industry in industries | (0, 1, 2) | −3.962 | −3.75 | −3 | −2.63 | Stable performance |
| The proportion of service industry in industries | (0, 1, 2) | −3.451 | −3.75 | −3 | −2.63 | Stable performance |
| Land utilization rate | (0, 0, 1) | −3.971 | −3.75 | −3 | −2.63 | Stable performance |
| Energy yield-to-consumption ratio | (0, 0, 1) | −4.946 | −3.75 | −3 | −2.63 | Stable performance |
| The efficiency of energy utilization | (0, 1, 2) | −3.199 | −3.75 | −3 | −2.63 | Stable performance |
| Total water availability | (0, 0, 1) | −4.895 | −3.75 | −3 | −2.63 | Stable performance |
| Forest coverage rate | (0, 1, 0) | −4.619 | −3.75 | −3 | −2.63 | Stable performance |
| Water resources per capita | (0, 0, 2) | −5.544 | −3.75 | −3 | −2.63 | Stable performance |
| Forest area per capita | (0, 1, 0) | −5.388 | −3.75 | −3 | −2.63 | Stable performance |
| Water shortage rate | (0, 0, 2) | −4.514 | −3.75 | −3 | −2.63 | Stable performance |
| Per capita greening gap | (0, 1, 2) | −6.062 | −3.75 | −3 | −2.63 | Stable performance |
| Ecological environment investment index | (0, 1, 1) | −4.927 | −3.75 | −3 | −2.63 | Stable performance |
| The government energy conservation | (0, 0, 1) | −4.273 | −3.75 | −3 | −2.63 | Stable performance |
| Sewage treatment rate | (0, 1, 1) | −3.852 | −3.75 | −3 | −2.63 | Stable performance |
| Intensity of soil erosion control | (0, 0, 2) | −5.984 | −3.75 | −3 | −2.63 | Stable performance |
| Scenario | Assumption | ||||
|---|---|---|---|---|---|
| Improvement of Technique Efficiency | Lessen the Limit of Resource Based on Resource Saving | ||||
| Resource Use Efficiency | Retreatment Ratio | Water Resources | Coal Resources | Food Supply | |
| S0 | 0% | 0% | 0% | 0% | 0% |
| S1 | 5% | 5% | 0% | 0% | 0% |
| S2 | 15% | 15% | 0% | 0% | 0% |
| S3 | 25% | 25% | 0% | 0% | 0% |
| S4 | 0% | 0% | 5% | 5% | 5% |
| S5 | 0% | 0% | 15% | 15% | 15% |
| S6 | 5% | 5% | 5% | 5% | 5% |
| S7 | 15% | 15% | 15% | 15% | 15% |
| Period 1 | Period 2 | Period 3 | ||
|---|---|---|---|---|
| Net System Benefit for Population in Various Sectors (103 RMB/Person) | ||||
| Municipal sectors | Urban human living | (0.96, 1.02, 1.06) | (0.99, 1.04, 1.08) | (1.02, 1.06, 1.12) |
| Rural human living | (0.42, 0.47, 0.50) | (0.45, 0.49, 0.51) | (0.47, 0.51, 0.55) | |
| Agricultural sector | Food resource supply | (2.20, 2.63, 2.88) | (2.32, 2.68, 2.96) | (1.93, 2.36, 2.68) |
| Industrial sector | Heavy resource-consumption plants | (192.46, 202.32, 206.32) | (178.23, 183.76, 194.13) | (152.36, 148.32, 132.23) |
| Medium resource-consumption plants | (12.58, 13.36, 14.58) | (10.82, 11.08, 12.98) | (9.98, 8.25, 7.26) | |
| Other industrial plants | (29.82, 31.15, 32.87) | (27.32, 29.55, 31.64) | (26.01, 28.25, 29.08) | |
| Energy-supply plants | (6.21, 7.05, 8.02) | (6.87, 7.21, 8.98) | (7.17, 8.83, 9.76) | |
| Service sector | Traditional service plants | (18.13, 21.43, 25.98) | (20.23, 28.32, 40.12) | (34.32, 45.49, 66.32) |
| Other service plants | (21.32, 28.60, 32.32) | (27.32, 32.29, 40.87) | (30.82, 38.41, 47.32) | |
| Environmentally friendly service plants | (22.32, 26.63, 28.89) | (29.86, 34.81, 38.86) | (36.87, 42.00, 48.82) | |
| Net loss for various sectors (103 RMB/person) | ||||
| Municipal sectors | Urban human living | (1.90, 1.96, 2.02) | (1.93, 1.99, 2.06) | (1.97, 2.01, 2.08) |
| Rural human living | (0.80, 0.85, 0.90) | (0.85, 0.89, 0.93) | (0.89, 0.93, 0.96) | |
| Agricultural sector | Food resource supply | (2.86, 3.18, 3.98) | (2.92, 3.23, 4.02) | (2.76, 2.95, 3.12) |
| Industrial sector | Heavy resource-consumption plants | (192.46, 202.32, 206.32) | (178.23, 183.76, 194.13) | (152.36, 148.32, 132.23) |
| Medium resource-consumption plants | (12.58, 13.36, 14.58) | (10.82, 11.08, 12.98) | (9.98, 8.25, 7.26) | |
| Other industrial plants | (29.82, 31.15, 32.87) | (27.32, 29.55, 31.64) | (26.01, 28.25, 29.08) | |
| Energy-supply plants | (7.42, 8.46, 9.02) | (7.82, 8.97, 9.92) | (14.76, 15.40, 16.89) | |
| Service sector | Traditional service plant | (22.32, 23.32, 24.56) | (32.32, 39.24, 42.12) | (40.32, 46.56, 49.12) |
| Other service plants | (26.12, 27.12, 28.89) | (30.21, 36.94, 43.01) | (36.01, 41.60, 46.12) | |
| Environmentally friendly service plants | (27.32, 28.92, 31.21) | (32.72, 38.99, 41.34) | (39.32, 41.60, 44.34) | |
Publisher’s Note: MDPI stays neutral with regard to jurisdictional claims in published maps and institutional affiliations. |
© 2021 by the authors. Licensee MDPI, Basel, Switzerland. This article is an open access article distributed under the terms and conditions of the Creative Commons Attribution (CC BY) license (https://creativecommons.org/licenses/by/4.0/).
Share and Cite
Zeng, X.; Xiang, H.; Liu, J.; Xue, Y.; Zhu, J.; Xu, Y. Identification of Policies Based on Assessment-Optimization Model to Confront Vulnerable Resources System with Large Population Scale in a Big City. Int. J. Environ. Res. Public Health 2021, 18, 13097. https://doi.org/10.3390/ijerph182413097
Zeng X, Xiang H, Liu J, Xue Y, Zhu J, Xu Y. Identification of Policies Based on Assessment-Optimization Model to Confront Vulnerable Resources System with Large Population Scale in a Big City. International Journal of Environmental Research and Public Health. 2021; 18(24):13097. https://doi.org/10.3390/ijerph182413097
Chicago/Turabian StyleZeng, Xueting, Hua Xiang, Jia Liu, Yong Xue, Jinxin Zhu, and Yuqian Xu. 2021. "Identification of Policies Based on Assessment-Optimization Model to Confront Vulnerable Resources System with Large Population Scale in a Big City" International Journal of Environmental Research and Public Health 18, no. 24: 13097. https://doi.org/10.3390/ijerph182413097
APA StyleZeng, X., Xiang, H., Liu, J., Xue, Y., Zhu, J., & Xu, Y. (2021). Identification of Policies Based on Assessment-Optimization Model to Confront Vulnerable Resources System with Large Population Scale in a Big City. International Journal of Environmental Research and Public Health, 18(24), 13097. https://doi.org/10.3390/ijerph182413097

