Features Importance Analysis of Diesel Vehicles’ NOx and CO2 Emission Predictions in Real Road Driving Based on Gradient Boosting Regression Model
Abstract
:1. Introduction
2. Literature Review of AI Research
3. Materials and Methods
3.1. Experimental Setup
3.2. Data
3.3. Gradient Boosting
3.4. Features Importance
3.5. Gradient Boosting Regression Model
4. Results
4.1. Features Importance Analysis
4.2. Model Performance
5. Discussion
6. Conclusions
Author Contributions
Funding
Institutional Review Board Statement
Informed Consent Statement
Data Availability Statement
Conflicts of Interest
References
- WHO Global Urban Ambient Air Pollution Database 2016; World Health Organization: Geneva, Switzerland, 2017.
- Kuo, C.-Y.; Chan, C.-K.; Wu, C.-Y.; Phan, D.-V.; Chan, C.-L. The short-term effects of ambient air pollutants on childhood asthma hospitalization in Taiwan: A national study. Int. J. Environ. Res. Public Health 2019, 16, 203. [Google Scholar] [CrossRef] [PubMed] [Green Version]
- Zhong, S.; Yu, Z.; Zhu, W. Study of the effects of air pollutants on human health based on Baidu indices of disease symptoms and air quality monitoring data in Beijing, China. Int. J. Environ. Res. Public Health 2019, 16, 1014. [Google Scholar] [CrossRef] [Green Version]
- Wang, S.-Y.; Cheng, Y.-Y.; Guo, H.-R.; Tseng, Y.-C. Air Pollution during Pregnancy and Childhood Autism Spectrum Disorder in Taiwan. Int. J. Environ. Res. Public Health 2021, 18, 9784. [Google Scholar] [CrossRef]
- Breuer, J.L.; Samsun, R.C.; Peters, R.; Stolten, D. The impact of diesel vehicles on NOx and PM10 emissions from road transport in urban morphological zones: A case study in North Rhine-Westphalia, Germany. Sci. Total Environ. 2020, 727, 138583. [Google Scholar] [CrossRef]
- Emissions Standards. Available online: https://www.dieselnet.com/standards/eu/ld.php (accessed on 15 June 2021).
- International Transport Forum. 2006. Available online: https://www.itf-oecd.org/sites/default/files/docs/06NOx.pdf (accessed on 15 June 2021).
- Franco, V.; Sanchez, F.P.; German, J.; Mock, P. Real-world exhaust emissions from modern diesel cars. Commun. Int. Counc. Clean Transp. 2014, 49, 847129-102. [Google Scholar]
- Myers, J.; Kelly, T.; Dindal, A.; Willenberg, Z.; Riggs, K. Environmental Technology Verification Report: Clean Air Technologies International, Inc. REMOTE On-Board Emissions Monitor; Battelle: Columbus, OH, USA, 2003. [Google Scholar]
- Jhang, D.-S. Real Road Emission Measurement and Analysis with PEMS for Light Diesel Vehicles; National Chung Hsing University: Taichung, Taiwan, 2018. [Google Scholar]
- Frey, H.C.; Unal, A.; Rouphail, N.M.; Colyar, J.D. On-road measurement of vehicle tailpipe emissions using a portable instrument. J. Air Waste Manag. Assoc. 2003, 53, 992–1002. [Google Scholar] [CrossRef] [PubMed] [Green Version]
- Frey, H.; Zhang, K.; Rouphail, N. Fuel use and emissions comparisons for alternative routes, vehicles, road grade and time of day using in-use measurements. Environ. Sci. Technol. 2008, 42, 2483–8249. [Google Scholar] [CrossRef] [PubMed]
- McCaffery, C.; Zhu, H.; Tang, T.; Li, C.; Karavalakis, G.; Cao, S.; Oshinuga, A.; Burnette, A.; Johnson, K.C.; Durbin, T.D. Real-world NOx emissions from heavy-duty diesel, natural gas, and diesel hybrid electric vehicles of different vocations on California roadways. Sci. Total Environ. 2021, 784, 147224. [Google Scholar] [CrossRef]
- Jaworski, A.; Mądziel, M.; Lejda, K. Creating an emission model based on portable emission measurement system for the purpose of a roundabout. Environ. Sci. Pollut. Res. 2019, 26, 21641–21654. [Google Scholar] [CrossRef] [PubMed] [Green Version]
- Donateo, T.; Filomena, R. Real Time Estimation of Emissions in a Diesel Vehicle with Neural Networks. In Proceedings of the E3S Web of Conferences, EDP Sciences, Ulis, France, September 2020; Volume 197, p. 06020. [Google Scholar]
- Zeng, W.; Miwa, T.; Morikawa, T. Exploring trip fuel consumption by machine learning from GPS and CAN bus data. J. East. Asia Soc. Transp. Stud. 2015, 11, 906–921. [Google Scholar]
- Almér, H. Machine learning and statistical analysis in fuel consumption prediction for heavy vehicles. Engineering 2015. [Google Scholar]
- Thibault, L.; Degeilh, P.; Lepreux, O.; Voise, L.; Alix, G.; Corde, G. A new GPS-based method to estimate real driving emissions. In Proceedings of the 2016 IEEE 19th International Conference on Intelligent Transportation Systems (ITSC), Rio de Janeiro, Brazil, 1–4 November 2016; pp. 1628–1633. [Google Scholar]
- Thibault, L.; Pognant-Gros, P.; Degeilh, P.; Thanabalasingam, K.; Sabiron, G.; Voise, L. Real-time air pollution exposure and vehicle emissions estimation using IoT, GNSS measurements and web-based simulation models. In Proceedings of the 2018 IEEE 88th Vehicular Technology Conference (VTC-Fall), Chicago, IL, USA, 27–30 August 2018; pp. 1–5. [Google Scholar]
- Alimissis, A.; Philippopoulos, K.; Tzanis, C.; Deligiorgi, D. Spatial estimation of urban air pollution with the use of artificial neural network models. Atmos. Environ. 2018, 191, 205–213. [Google Scholar] [CrossRef]
- Bandyopadhyay, G.; Chattopadhyay, S. Single hidden layer artificial neural network models versus multiple linear regression model in forecasting the time series of total ozone. Int. J. Environ. Sci. Technol. 2007, 4, 141–149. [Google Scholar] [CrossRef] [Green Version]
- Gardner, M.; Dorling, S. Neural network modelling and prediction of hourly NOx and NO2 concentrations in urban air in London. Atmos. Environ. 1999, 33, 709–719. [Google Scholar] [CrossRef]
- Perrotta, F.; Parry, T.; Neves, L.C. Application of machine learning for fuel consumption modelling of trucks. In Proceedings of the 2017 IEEE International Conference on Big Data (Big Data), Boston, MA, USA, 11–14 December 2017; pp. 3810–3815. [Google Scholar]
- Zhang, Y.; Haghani, A. A gradient boosting method to improve travel time prediction. Transp. Res. Part C Emerg. Technol. 2015, 58, 308–324. [Google Scholar] [CrossRef]
- Cai, J.; Xu, K.; Zhu, Y.; Hu, F.; Li, L. Prediction and analysis of net ecosystem carbon exchange based on gradient boosting regression and random forest. Appl. Energy 2020, 262, 114566. [Google Scholar] [CrossRef]
- Yang, F.; Wang, D.; Xu, F.; Huang, Z.; Tsui, K.-L. Lifespan prediction of lithium-ion batteries based on various extracted features and gradient boosting regression tree model. J. Power Sources 2020, 476, 228654. [Google Scholar] [CrossRef]
- Wang, T.; Hu, S.; Jiang, Y. Predicting shared-car use and examining nonlinear effects using gradient boosting regression trees. Int. J. Sustain. Transp. 2021, 15, 893–907. [Google Scholar] [CrossRef]
- Wen, H.-T.; Lu, J.-H.; Phuc, M.-X. Applying Artificial Intelligence to Predict the Composition of Syngas Using Rice Husks: A Comparison of Artificial Neural Networks and Gradient Boosting Regression. Energies 2021, 14, 2932. [Google Scholar] [CrossRef]
- Bai, L.; Wang, J.; Ma, X.; Lu, H. Air pollution forecasts: An overview. Int. J. Environ. Res. Public Health 2018, 15, 780. [Google Scholar] [CrossRef] [Green Version]
- Wen, H.-T.; Li, M.-A.; Lu, J.-H. The regression model of NOx emission in a real driving automobile. In Proceedings of the 2019 International Symposium on Intelligent Signal Processing and Communication Systems (ISPACS), Taipei, Taiwan, 3–6 December 2019; pp. 1–2. [Google Scholar]
- Seo, J.; Yun, B.; Park, J.; Park, J.; Shin, M.; Park, S. Prediction of instantaneous real-world emissions from diesel light-duty vehicles based on an integrated artificial neural network and vehicle dynamics model. Sci. Total Environ. 2021, 786, 147359. [Google Scholar] [CrossRef]
- HORIBA. On Board Emission Measurement System OBS-2200-Instruction Manual; HORIBA Ltd.: Kyoto, Japan, 2009. [Google Scholar]
- Zbarcea, O.; Scarpete, D.; Vrabie, V. Environmental Pollution by Diesel Engines. Part II: A Literature Review Regarding Hc, Co, Co2 and Soot Emissions. Termotehnica 2016, 65–69. [Google Scholar]
- Li, C. A Gentle Introduction to Gradient Boosting. 2016. Available online: https://www.ccs.neu.edu/home/vip/teach/MLcourse/4_boosting/slides/gradient_boosting.pdf (accessed on 15 June 2021).
- Friedman, J.H. Greedy function approximation: A gradient boosting machine. Ann. Stat. 2001, 29, 1189–1232. [Google Scholar] [CrossRef]
- John, G.H.; Kohavi, R.; Pfleger, K. Irrelevant features and the subset selection problem. In Machine Learning Proceedings 1994; Elsevier: Amsterdam, The Netherlands, 1994; pp. 121–129. [Google Scholar]
- Casimir, R.; Boutleux, E.; Clerc, G.; Yahoui, A. The use of features selection and nearest neighbors rule for faults diagnostic in induction motors. Eng. Appl. Artif. Intell. 2006, 19, 169–177. [Google Scholar] [CrossRef]
- Dewi, C.; Chen, R.-C. Random forest and support vector machine on features selection for regression analysis. Int. J. Innov. Comput. Inf. Control 2019, 15, 2027–2037. [Google Scholar]























| No. | Authors | Reference | Key Point |
|---|---|---|---|
| 1 | Donateo et al. | [15] | Proposed a neural network model based on the interpolation of the time-histories of driving conditions. |
| 2 | Zeng et al. | [16] | Used support vector machine (SVM), multiple linear regression, and artificial neural network (ANN) models. |
| 3 | Henrik Almer | [17] | Proposed machine learning models (linear regression, random forest, SVR, and ANN) and found that the performance of random forest model was the best. |
| 4 | Alimissis et al. | [20] | Found artificial neural networks had better performance than multiple linear regression in most cases. |
| 5 | Bandyopadhyay et al. | [21] | Used artificial neural network (ANN) models as an interpolation solution to nonlinear problems. |
| 6 | Gardner et al. | [22] | Indicated that MLP neural networks were capable of coping with complex patterns of source emissions. |
| 7 | Perrotta et al. | [23] | Performed a large amount of data processing using three techniques (SVM, RF, ANN) in the machine learning model. |
| 8 | Wen et al. | [30] | Proposed ANN nonlinear autoregressive exogenous model (NARX) model to predict NOx emissions. |
| 9 | Yun et al. | [31] | Proposed a real-time model that integrates an artificial neural network (ANN) model with a vehicle dynamics model. |
| Species | Measurement Range | Measurement Principle |
|---|---|---|
| CO2 | 0–5~20 vol% | HNDIR |
| NOx | 0–100~3000 ppm | HCLD |
| Rpm capture: OBD/ECU; Exh. volume: pitot tube meter; weight: 32 kg Dimension: 350(W) × 25(H) × 470(D) (mm); Vehicle type: Gasoline/diesel vehicles Power: 24DC/110AC; Regulations: CFR Part 1065 subpart J/EC NO 582/2011/UN ECE R83 | ||
| Driving Pattern | Driving Distance | Acceleration | Average Speed | |||
|---|---|---|---|---|---|---|
| Route 1 | Route 2 | Route 1 | Route 2 | Route 1 | Route 2 | |
| Urban | 26.64 km | 26.53 km | −6.7~5.3 m/s2 | −7.0~7.4 m/s2 | 26.59 km/h | 25.17 km/h |
| Suburbs | 11.08 km | 11.04 km | −3.9~5.5 m/s2 | −4.8~3.6 m/s2 | 69.02 km/h | 67.36 km/h |
| Highways | 26.53 km | 26.79 km | −7.3~7.7 m/s2 | −7.5~6.5 m/s2 | 101.43 km/h | 100.97 km/h |
| Emissions | Urban | Suburbs | Highway | Average |
|---|---|---|---|---|
| NOx | 0.78 g/km | 0.62 g/km | 0.95 g/km | 0.78 g/km |
| CO2 | 154.12 g/km | 105.54 g/km | 142.68 g/km | 134.11 g/km |
| Driving Pattern | NOx | CO2 | ||
|---|---|---|---|---|
| % | Instances | % | Instances | |
| urban Training Test | 75 25 | 27,052 9018 | 75 25 | 27,052 9018 |
| suburbs Training Test | 75 25 | 4337 1446 | 75 25 | 4337 1446 |
| highways Training Test | 75 25 | 7059 2353 | 75 25 | 7059 2353 |
| N_Estimators: 500 |
|---|
| Max_depth: 12 |
| Min_samples_split: 10 |
| Max_features: sqrt |
| Subsample: 0.8 |
| Learning_rate: 0.1 Loss: ls |
| Feature | Rank | ||
|---|---|---|---|
| Urban | Suburbs | Highway | |
| Mass Air Flow Rate | 1 | 1 | 2 |
| Exhaust Flow Rate | 2 | 2 | 1 |
| CO2 | 3 | 3 | 3 |
| Engine Speed | 4 | 4 | 6 |
| Acceleration | 5 | 9 | 4 |
| Tailpipe Exhaust Temp | 6 | 5 | 7 |
| GPS Speed | 7 | 6 | 5 |
| Ambient Humidity | 8 | 8 | 9 |
| Ambient Temp | 9 | 10 | 10 |
| GPS Altitude | 10 | 7 | 8 |
| Feature | Rank | ||
|---|---|---|---|
| Urban | Suburbs | Highway | |
| Exh. Flow Rate | 1 | 1 | 2 |
| Mass Air Flow Rate | 2 | 2 | 1 |
| Engine Speed | 3 | 3 | 6 |
| Acceleration | 4 | 8 | 3 |
| GPS Speed | 5 | 7 | 4 |
| Tailpipe Exh. Temp | 6 | 5 | 5 |
| Ambient Humidity | 7 | 6 | 7 |
| GPS Altitude | 8 | 4 | 8 |
| Ambient Temp | 9 | 9 | 9 |
| Selected Features | Urban | Suburbs | Highway | ||||||
|---|---|---|---|---|---|---|---|---|---|
| R2 | R2 | R2 | |||||||
| Train | Test | All | Train | Test | All | Train | Test | All | |
| Top 3 features | 0.99 | 0.78 | 0.94 | 0.99 | 0.93 | 0.98 | 0.99 | 0.98 | 0.99 |
| Top 4 features | 0.99 | 0.93 | 0.98 | 0.99 | 0.98 | 0.99 | 0.99 | 0.99 | 0.99 |
| Top 5 features | 0.99 | 0.93 | 0.98 | 0.99 | 0.98 | 0.99 | 0.99 | 0.99 | 0.99 |
| Top 6 features | 0.99 | 0.96 | 0.98 | 0.99 | 0.99 | 0.99 | 0.99 | 0.99 | 0.99 |
| Top 7 features | 0.99 | 0.97 | 0.99 | 0.99 | 0.99 | 0.99 | 0.99 | 0.99 | 0.99 |
| Top 8 features | 0.99 | 0.97 | 0.99 | 0.99 | 0.99 | 0.99 | 0.99 | 0.99 | 0.99 |
| Top 9 features | 0.99 | 0.98 | 0.99 | 0.99 | 0.99 | 0.99 | 0.99 | 0.99 | 0.99 |
| Selected Features | Urban | Suburbs | Highway | ||||||
|---|---|---|---|---|---|---|---|---|---|
| R2 | R2 | R2 | |||||||
| Train | Test | All | Train | Test | All | Train | Test | All | |
| Top 3 features | 0.99 | 0.80 | 0.94 | 0.99 | 0.92 | 0.98 | 0.99 | 0.93 | 0.98 |
| Top 4 features | 0.99 | 0.83 | 0.95 | 0.99 | 0.91 | 0.98 | 0.99 | 0.92 | 0.98 |
| Top 5 features | 0.99 | 0.86 | 0.96 | 0.99 | 0.93 | 0.98 | 0.99 | 0.94 | 0.98 |
| Top 6 features | 0.99 | 0.91 | 0.98 | 0.99 | 0.95 | 0.99 | 0.99 | 0.96 | 0.99 |
| Top 7 features | 0.99 | 0.94 | 0.98 | 0.99 | 0.97 | 0.99 | 0.99 | 0.97 | 0.99 |
| Top 8 features | 0.99 | 0.95 | 0.98 | 0.99 | 0.97 | 0.99 | 0.99 | 0.98 | 0.99 |
| Top 9 features | 0.99 | 0.95 | 0.98 | 0.99 | 0.97 | 0.99 | 0.99 | 0.98 | 0.99 |
| Selected Features | R2 | R2 | R2 |
|---|---|---|---|
| Urban Model | Suburbs Model | Highway Model | |
| Top 3 features | 0.69 | 0.88 | 0.94 |
| Top 4 features | 0.87 | 0.88 | 0.96 |
| Top 5 features | 0.87 | 0.89 | 0.96 |
| Top 6 features | 0.88 | 0.80 | 0.94 |
| Top 7 features | 0.88 | 0.79 | 0.94 |
| Top 8 features | 0.83 | 0.80 | 0.93 |
| Top 9 features | 0.86 | 0.80 | 0.93 |
| Selected Features | R2 | R2 | R2 |
|---|---|---|---|
| Urban Model | Suburbs Model | Highway Model | |
| Top 3 features | 0.69 | 0.81 | 0.80 |
| Top 4 features | 0.75 | 0.82 | 0.82 |
| Top 5 features | 0.79 | 0.81 | 0.83 |
| Top 6 features | 0.74 | 0.76 | 0.78 |
| Top 7 features | 0.67 | 0.79 | 0.75 |
| Top 8 features | 0.63 | 0.76 | 0.73 |
| Top 9 features | 0.61 | 0.78 | 0.74 |
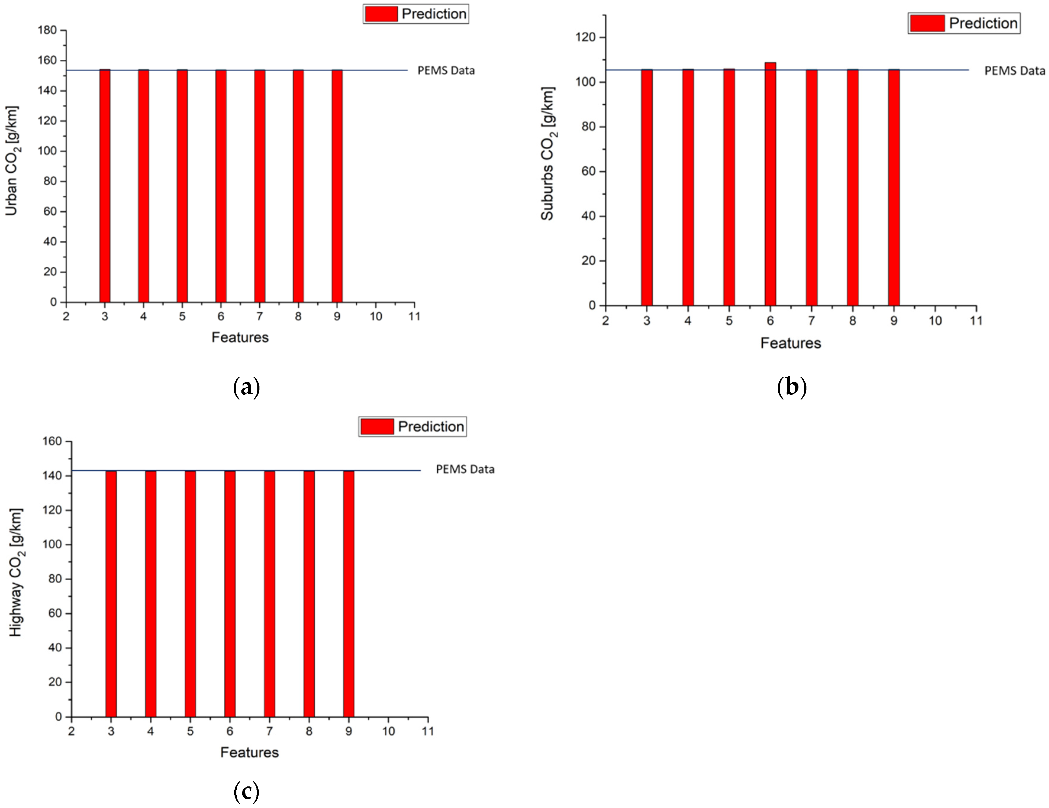
| NOx | CO2 | |||||
|---|---|---|---|---|---|---|
| Urban | Suburbs | Highways | Urban | Suburbs | Highways | |
| Best model | 7 | 5 | 4 | 8 | 7 | 9 |
| Best prediction | 6 | 5 | 4 | 5 | 4 | 5 |
| Selected Features | Urban | Suburbs | Highway | |||
|---|---|---|---|---|---|---|
| NOx Prediction | CO2 Prediction | NOx Prediction | CO2 Prediction | NOx Prediction | CO2 Prediction | |
| Top 3 features | 0.78 | 154.24 | 0.62 | 105.77 | 0.95 | 142.76 |
| Top 4 features | 0.78 | 154.05 | 0.62 | 105.83 | 0.95 | 142.72 |
| Top 5 features | 0.78 | 154.01 | 0.62 | 105.94 | 0.95 | 142.63 |
| Top 6 features | 0.78 | 153.91 | 0.62 | 108.79 | 0.95 | 142.76 |
| Top 7 features | 0.78 | 153.95 | 0.62 | 105.70 | 0.95 | 142.77 |
| Top 8 features | 0.78 | 153.97 | 0.62 | 105.72 | 0.95 | 142.70 |
| Top 9 features | 0.78 | 153.97 | 0.62 | 105.72 | 0.95 | 142.60 |
| PEMS data | 0.78 | 154.12 | 0.62 | 105.54 | 0.95 | 142.60 |
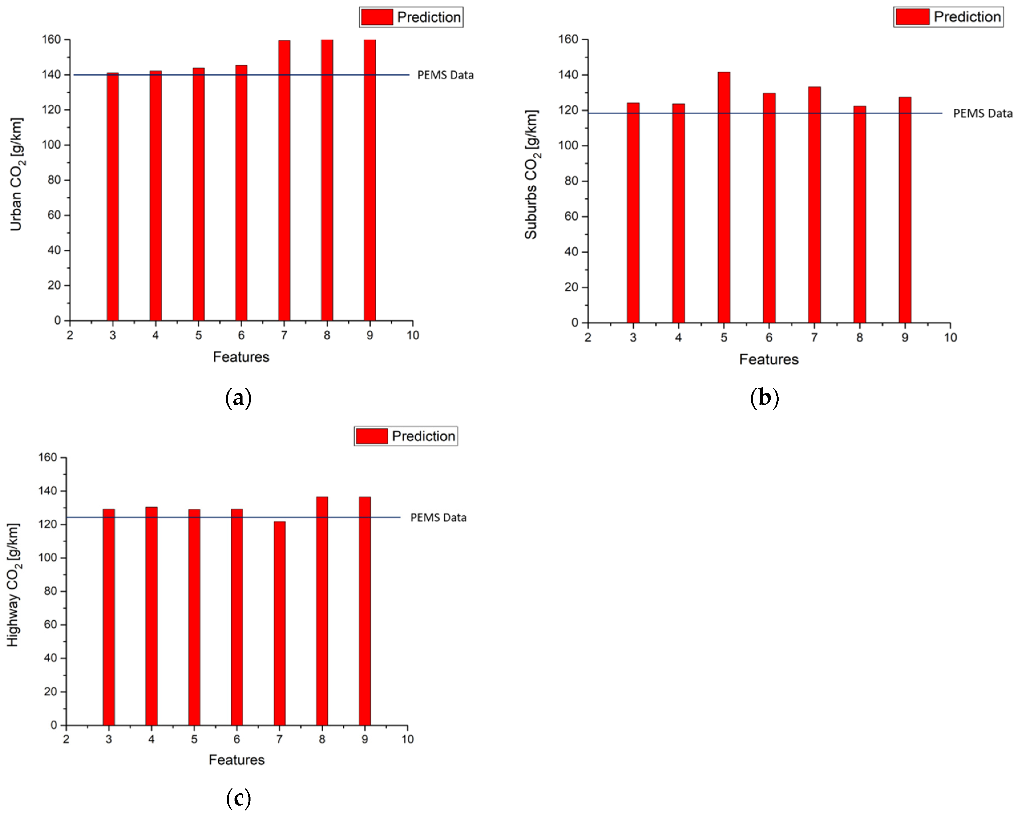
| Selected Features | Urban | Suburbs | Highway | |||
|---|---|---|---|---|---|---|
| NOx Prediction | CO2 Prediction | NOx Prediction | CO2 Prediction | NOx Prediction | CO2 Prediction | |
| Top 3 features | 0.77 | 141.11 | 0.86 | 124.24 | 0.90 | 129.28 |
| Top 4 features | 0.82 | 142.21 | 0.90 | 123.73 | 0.92 | 130.39 |
| Top 5 features | 0.82 | 143.9 | 0.89 | 141.75 | 0.92 | 129.04 |
| Top 6 features | 0.76 | 145.44 | 1.09 | 129.67 | 0.95 | 129.20 |
| Top 7 features | 0.76 | 159.57 | 1.04 | 133.34 | 0.96 | 121.81 |
| Top 8 features | 0.81 | 172.54 | 1.14 | 122.44 | 0.96 | 136.55 |
| Top 9 features | 0.81 | 172.58 | 1.07 | 127.40 | 0.97 | 136.47 |
| PEMS data | 0.78 | 141.2 | 0.85 | 119.14 | 0.94 | 124.20 |
| Selected Features | Urban | Suburbs | Highway | |||
|---|---|---|---|---|---|---|
| Route 1 Prediction | Route 2 Prediction | Route 1 Prediction | Route 2 Prediction | Route 1 Prediction | Route 2 Prediction | |
| Top 3 features | 17.48 | 19.10 | 25.48 | 21.70 | 18.89 | 20.85 |
| Top 4 features | 17.50 | 18.95 | 25.47 | 21.79 | 18.89 | 20.67 |
| Top 5 features | 17.50 | 18.73 | 25.44 | 19.02 | 18.90 | 20.89 |
| Top 6 features | 17.51 | 18.53 | 24.78 | 20.79 | 18.89 | 20.86 |
| Top 7 features | 17.51 | 16.89 | 25.50 | 20.22 | 18.89 | 22.13 |
| Top 8 features | 17.51 | 15.62 | 25.50 | 22.01 | 18.89 | 19.74 |
| Top 9 features | 17.51 | 15.62 | 25.50 | 21.16 | 18.90 | 19.75 |
| PEMS data | 17.49 | 19.09 | 25.54 | 22.62 | 18.89 | 21.70 |
Publisher’s Note: MDPI stays neutral with regard to jurisdictional claims in published maps and institutional affiliations. |
© 2021 by the authors. Licensee MDPI, Basel, Switzerland. This article is an open access article distributed under the terms and conditions of the Creative Commons Attribution (CC BY) license (https://creativecommons.org/licenses/by/4.0/).
Share and Cite
Wen, H.-T.; Lu, J.-H.; Jhang, D.-S. Features Importance Analysis of Diesel Vehicles’ NOx and CO2 Emission Predictions in Real Road Driving Based on Gradient Boosting Regression Model. Int. J. Environ. Res. Public Health 2021, 18, 13044. https://doi.org/10.3390/ijerph182413044
Wen H-T, Lu J-H, Jhang D-S. Features Importance Analysis of Diesel Vehicles’ NOx and CO2 Emission Predictions in Real Road Driving Based on Gradient Boosting Regression Model. International Journal of Environmental Research and Public Health. 2021; 18(24):13044. https://doi.org/10.3390/ijerph182413044
Chicago/Turabian StyleWen, Hung-Ta, Jau-Huai Lu, and Deng-Siang Jhang. 2021. "Features Importance Analysis of Diesel Vehicles’ NOx and CO2 Emission Predictions in Real Road Driving Based on Gradient Boosting Regression Model" International Journal of Environmental Research and Public Health 18, no. 24: 13044. https://doi.org/10.3390/ijerph182413044
APA StyleWen, H.-T., Lu, J.-H., & Jhang, D.-S. (2021). Features Importance Analysis of Diesel Vehicles’ NOx and CO2 Emission Predictions in Real Road Driving Based on Gradient Boosting Regression Model. International Journal of Environmental Research and Public Health, 18(24), 13044. https://doi.org/10.3390/ijerph182413044
