College Satisfaction, Sense of Achievement, Student Happiness and Sense of Belonging of Freshmen in Chinese Private Colleges: Mediation Effect of Emotion Regulation
Abstract
:1. Introduction
2. Conceptual Framework
2.1. Antecedents of Sense of Belonging in Learning
2.2. Emotion Regulation
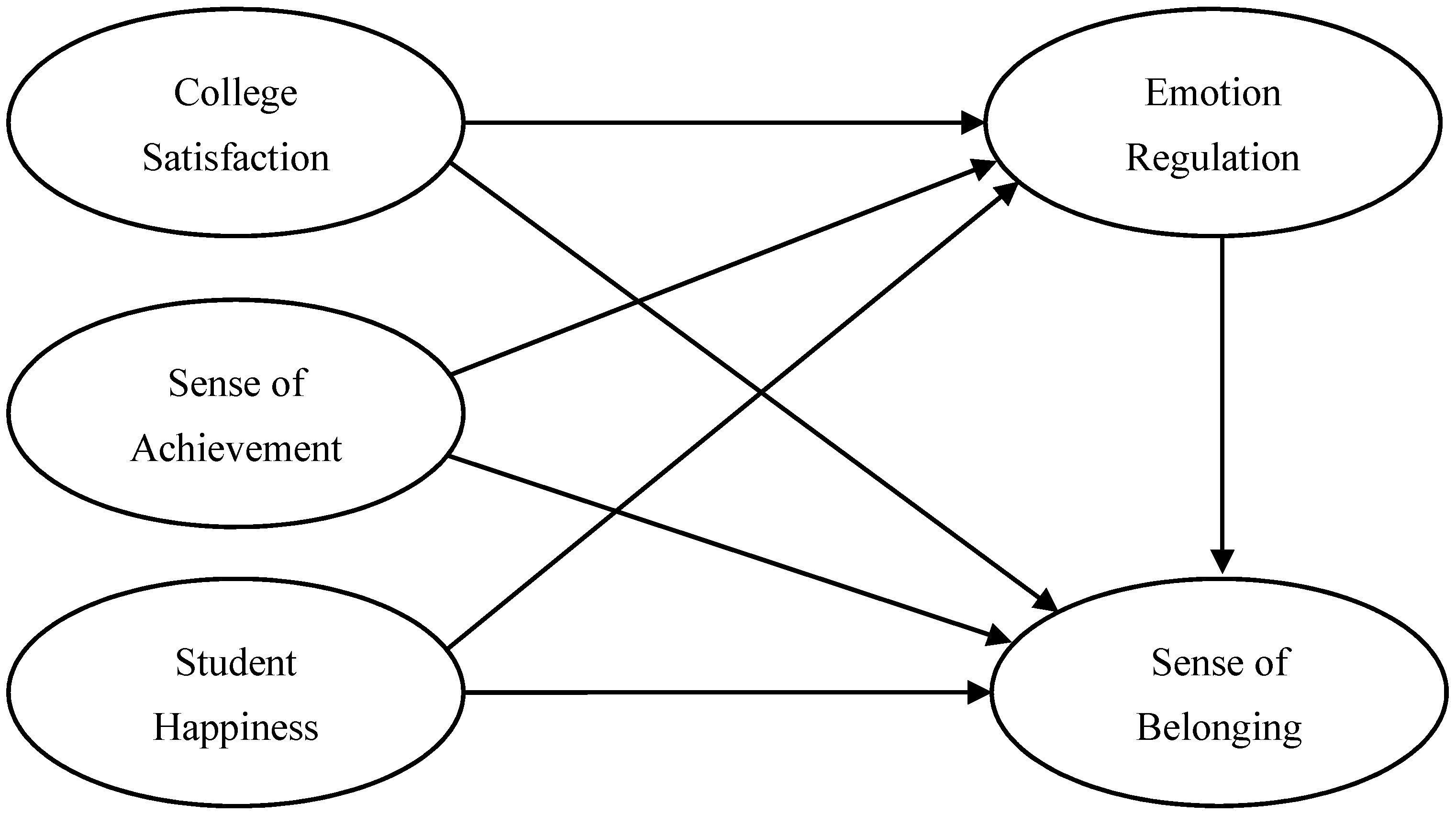
2.3. Conceptual Model and Hypothesis
3. Methods
3.1. Sample
3.2. Instruments
3.2.1. Emotion Regulation Questionnaire
3.2.2. Learning Experience Questionnaire
3.2.3. Sense of Belonging
3.2.4. College Satisfaction
3.2.5. Sense of Achievement
3.2.6. Student Happiness
3.3. Data Analysis
4. Results
4.1. Measurement Model Assessment
4.2. Structural Model Assessment
5. Discussion
5.1. The Effect of College Satisfaction
5.2. The Effect of Sense of Achievement
5.3. The Effect of Student Happiness
5.4. Emotion Regulation and Sense of Belonging
6. Conclusions
7. Limitations and Future Research
Author Contributions
Funding
Institutional Review Board Statement
Informed Consent Statement
Data Availability Statement
Acknowledgments
Conflicts of Interest
References
- Chinese Education at Glance-the Development of National Education Enterprise. 2019. Available online: http://www.moe.gov.cn/jyb_sjzl/s5990/202008/t20200831_483697.html (accessed on 10 February 2021).
- Statistical Bulletin on the development of National Education in 2020. Available online: http://www.moe.gov.cn/jyb_sjzl/sjzl_fztjgb/202108/t20210827_555004.html (accessed on 1 November 2021).
- Shelton, E.N. Faculty Support and Student Retention. J. Nurs. Educ. 2003, 42, 68–76. [Google Scholar] [CrossRef] [PubMed]
- Roberts, J. Professional Staff Contributions to Student Retention and Success in Higher Education. J. High. Educ. Policy Manag. 2018, 40, 140–153. [Google Scholar] [CrossRef]
- Devonport, T.J.; Lane, A.M. Relationships between Self-Efficacy, Coping and Student Retention. Soc. Behav. Pers. 2006, 34, 127–138. [Google Scholar] [CrossRef]
- Carroll, D.; Ng, E.; Birch, D. Retention and Progression of Postgraduate Business Students: An Australian Perspective. Open Learn 2009, 24, 197–209. [Google Scholar] [CrossRef]
- Jancey, J.; Burns, S. Institutional factors and the postgraduate student experience. Qual. Assur. Educ. 2013, 21, 311–322. [Google Scholar] [CrossRef] [Green Version]
- Bowles, T.V.; Brindle, K.A. Identifying Facilitating Factors and Barriers to Improving Student Retention Rates in Tertiary Teaching Courses: A Systematic Review. High. Educ. Res. Dev. 2017, 36, 903–919. [Google Scholar] [CrossRef]
- Hausmann, L.R.; Schofield, J.W.; Woods, R.L. Sense of Belonging as a Predictor of Intentions to Persist among African American and White First-Year College Students. Res. High. Educ. 2007, 48, 803–839. [Google Scholar] [CrossRef]
- Strayhorn, T.L. College Students’ Sense of Belonging: A Key to Educational Success for All Students; Routledge: New York, NY, USA, 2018. [Google Scholar]
- Freeman, T.M.; Anderman, L.H.; Jensen, J.M. Sense of Belonging in College Freshmen at the Classroom and Campus Levels. J. Exp. Educ. 2007, 75, 203–220. [Google Scholar] [CrossRef]
- Walton, G.M.; Cohen, G.L. A Question of Belonging: Race, Social Fit, and Achievement. J. Pers. Soc. Psychol. 2007, 92, 82. [Google Scholar] [CrossRef] [Green Version]
- Won, S.; Wolters, C.A.; Mueller, S.A. Sense of Belonging and Self-Regulated Learning: Testing Achievement Goals as Mediators. J. Exp. Educ. 2018, 86, 402–418. [Google Scholar] [CrossRef]
- Rivas, J.; Hale, K.; Burke, M.G. Seeking a Sense of Belonging: Social and Cultural Integration of International Students with American College Students. J. Int. Stud. 2019, 9, 682–704. [Google Scholar] [CrossRef]
- Hoffman, M.; Richmond, J.; Morrow, J.; Salomone, K. Investigating “Sense of Belonging” in First-Year College Students. J. Coll. Stud. Retent.-Res. Theory Pract. 2002, 4, 227–256. [Google Scholar] [CrossRef]
- Building Student Engagement and Belonging in Higher Education at a Time of Change: A Summary of Findings and Recommendations from the What Works? Student Retention and Success Programme. Available online: https://www.heacademy.ac.uk/sites/default/files/what_works_summary_report_0.pdf (accessed on 17 February 2021).
- Gillen-O’Neel, C. Sense of Belonging and Student Engagement: A Daily Study of First-and Continuing-Generation College Students. Res. High. Educ. 2021, 62, 45–71. [Google Scholar] [CrossRef]
- Resnick, M.D.; Bearman, P.S.; Blum, R.W.; Bauman, K.E.; Harris, K.M.; Jones, J.; Tabor, J.; Beuhring, T.; Sieving, R.E.; Shew, M. Protecting Adolescents from Harm: Findings from the National Longitudinal Study on Adolescent Health. JAMA-J. Am. Med. Assoc. 1997, 278, 823–832. [Google Scholar] [CrossRef]
- Martinez, E.F.; Munsch, P. Developing a Sense of Belonging in Community College Students. Campus 2019, 24, 30–34. [Google Scholar] [CrossRef]
- Allen, K.A.; Bowles, T. Belonging as a Guiding Principle in the Education of Adolescents. Aust. J. Educ. Dev. Psychol. 2012, 12, 108–119. [Google Scholar]
- Tachine, A.R.; Cabrera, N.L.; Yellow Bird, E. Home Away from Home: Native American Students’ Sense of Belonging during Their First Year in College. J. High. Educ. 2017, 88, 785–807. [Google Scholar] [CrossRef]
- Liu, P.; Miao, M.; Chen, Y.; Liang, X.W.; Jiang, X. The questionnaire establishment of college students’ sense of belonging. China J. Health Psychol. 2020, 10, 1567–1571. [Google Scholar]
- Laguador, J.M.; Dotong, C.I. Engineering Students’ Challenging Learning Experiences and Their Changing Attitude towards Academic Performance. Eur. J. Educ. Res. 2020, 9, 1127–1140. [Google Scholar] [CrossRef]
- Okun, M.A.; Weir, R.M. Toward a Judgment Model of College Satisfaction. Educ. Psychol. Rev. 1990, 2, 59–76. [Google Scholar] [CrossRef]
- Alves, H.; Raposo, M. Conceptual Model of Student Satisfaction in Higher Education. Total Qual. Manag. Bus. Excell. 2007, 18, 571–588. [Google Scholar] [CrossRef]
- Lekkas, Z.; Germanakos, P.; Tsianos, N.; Mourlas, C.; Samaras, G. Personality and Emotion as Determinants of the Learning Experience: How Affective Behavior Interacts with Various Components of the Learning Process. In Proceedings of the International Conference on Human-Computer Interaction, Las Vegas, NV, USA, 21–26 July 2013; Springer: Berlin/Heidelberg, Germany, 2013; pp. 418–427. [Google Scholar]
- Grace, B.Y.; Kim, J.-H. Testing the Mediating Effect of the Quality of College Life in the Student Satisfaction and Student Loyalty Relationship. Appl. Res. Qual. Life 2008, 3, 1–21. [Google Scholar]
- Ross, A.; Talmage, C.A.; Searle, M. Toward a Flourishing Neighborhood: The Association of Happiness and Sense of Community. Appl. Res. Qual. Life 2019, 14, 1333–1352. [Google Scholar] [CrossRef]
- Flynn, D.M.; MacLeod, S. Determinants of Happiness in Undergraduate University Students. Coll. Stud. J. 2015, 49, 452–460. [Google Scholar]
- Demir, M.; Doğan, A.; Procsal, A.D. I Am so Happy cause My Friend Is Happy for Me: Capitalization, Friendship, and Happiness among US and Turkish College Students. J. Soc. Psychol. 2013, 153, 250–255. [Google Scholar] [CrossRef]
- Magen-Nagar, N.; Cohen, L. Learning Strategies as a Mediator for Motivation and a Sense of Achievement among Students Who Study in MOOCs. Educ. Inf. Technol. 2017, 22, 1271–1290. [Google Scholar] [CrossRef]
- Park, S. Examining learning experience in two online courses using web logs and experience sampling method (ESM). In The Design of Learning Experience; Springer: Berlin/Heidelberg, Germany, 2015; pp. 269–287. [Google Scholar]
- Müller, T.; Bonnaire, C. Intrapersonal and Interpersonal Emotion Regulation and Identity: A Preliminary Study of Avatar Identification and Gaming in Adolescents and Young Adults. Psychiatry Res. 2021, 295, 113627. [Google Scholar] [CrossRef]
- Finkelstein-Fox, L.; Park, C.L.; Riley, K.E. Mindfulness and Emotion Regulation: Promoting Well-Being during the Transition to College. Anxiety Stress Coping 2018, 31, 639–653. [Google Scholar] [CrossRef] [PubMed]
- Rusk, N.; Tamir, M.; Rothbaum, F. Performance and Learning Goals for Emotion Regulation. Motiv. Emot. 2011, 35, 444–460. [Google Scholar] [CrossRef]
- Engelmann, P.; Bannert, M. Fostering Students’ Emotion Regulation during Learning: Design and Effects of a Computer-Based Video Training. Int. J. Emot. Educ. 2019, 11, 3–16. [Google Scholar]
- Zhou, H.; Zhang, M.; Luo, W. Analysis on students’ sense of achievement in private higher education institutions. J. High. Educ. 2016, 37, 54–59. [Google Scholar]
- Schutte, N.S.; Malouff, J.M.; Hall, L.E.; Haggerty, D.J.; Cooper, J.T.; Golden, C.J.; Dornheim, L. Development and Validation of a Measure of Emotional Intelligence. Pers. Individ. Differ. 1998, 25, 167–177. [Google Scholar] [CrossRef]
- Bowman, N.A.; Culver, K.C. When Do Honors Programs Make the Grade? Conditional Effects on College Satisfaction, Achievement, Retention, and Graduation. Res. High. Educ. 2018, 59, 249–272. [Google Scholar] [CrossRef]
- Magnano, P.; Lodi, E.; Boerchi, D. The Role of Non-Intellective Competences and Performance in College Satisfaction. Interchange 2020, 51, 253–276. [Google Scholar] [CrossRef]
- Seligman, M.E. Flourish: A Visionary New Understanding of Happiness and Well-Being; Simon and Schuster: New York, NY, USA, 2012. [Google Scholar]
- Hair, J.F.; Hult, G.T.M.; Ringle, C.M.; Sarstedt, M.; Thiele, K.O. Mirror, Mirror on the Wall: A Comparative Evaluation of Composite-Based Structural Equation Modeling Methods. J. Acad. Mark. Sci. 2017, 45, 616–632. [Google Scholar] [CrossRef]
- Ghasemy, M.; Teeroovengadum, V.; Becker, J.-M.; Ringle, C.M. This Fast Car Can Move Faster: A Review of PLS-SEM Application in Higher Education Research. High. Educ. 2020, 80, 1121–1152. [Google Scholar] [CrossRef]
- Fourie, C.M. The role of academic and non-academic factors on the development of a sense of belonging among first-year students. In Collaboration, Communities and Competition; Brill Sense: Leiden, The Netherlands, 2017. [Google Scholar]
- SmartPLS 3. Available online: https://www.smartpls.com/ (accessed on 19 September 2021).
- Latif, K.F.; Machuca, M.M.; Marimon, F.; Sahibzada, U.F. Servant Leadership, Career, and Life Satisfaction in Higher Education: A Cross-Country Study of Spain, China, and Pakistan. Appl. Res. Qual. Life 2021, 16, 1221–1247. [Google Scholar] [CrossRef]
- Hardi, M.; Arief, H.; Nelvitia, P.; Rudy, P. Effect of Service Quality Toward Student Satisfaction and Loyalty in Higher Education. J. Asian Financ. Econ. Bus. 2020, 7, 929–938. [Google Scholar]
- Nguyen, T.T.; Dinh, K.T. Characterizations of Normal Distributions Supporting Goodness-of-Fit Tests Based on Sample Skewness and Sample Kurtosis. Metrika 1998, 48, 21–30. [Google Scholar] [CrossRef]
- Judd, C.M.; Kenny, D.A. Process Analysis: Estimating Mediation in Treatment Evaluations. Eval. Rev. 1981, 5, 602–619. [Google Scholar] [CrossRef]
- Hair, J.F.; Ringle, C.M.; Sarstedt, M. PLS-SEM: Indeed a Silver Bullet. J. Mark. Theory Pract. 2011, 19, 139–152. [Google Scholar] [CrossRef]
- Fornell, C.; Larcker, D.F. Evaluating Structural Equation Models with Unobservable Variables and Measurement Error. J. Mark. Res. 1981, 18, 39–50. [Google Scholar] [CrossRef]
- Hair, J.F., Jr.; Hult, G.T.M.; Ringle, C.M.; Sarstedt, M. A Primer on Partial Least Squares Structural Equation Modeling (PLS-SEM); Sage Publications: Washington, DC, USA, 2013. [Google Scholar]
- Hu, L.; Bentler, P.M. Cutoff Criteria for Fit Indexes in Covariance Structure Analysis: Conventional Criteria versus New Alternatives. Struct. Equ. Modeling 1999, 6, 1–55. [Google Scholar] [CrossRef]
- Çelik, R.; Orçan, F.; Altun, F. Investigating the Relationship between Life Satisfaction and Academic Self-Efficacy on College Students’ Organizational Identification. Int. J. Psychol. Educ. Stud. 2020, 7, 76–85. [Google Scholar] [CrossRef]
- Abdollahi, A.; Noltemeyer, A. Academic Hardiness: Mediator between Sense of Belonging to School and Academic Achievement? J. Educ. Res. 2018, 111, 345–351. [Google Scholar] [CrossRef]
- Okun, M.A.; Levy, R.; Karoly, P.; Ruehlman, L. Dispositional Happiness and College Student GPA: Unpacking a Null Relation. J. Res. Pers. 2009, 43, 711–715. [Google Scholar] [CrossRef]
- Peng, P.; Kievit, R.A. The Development of Academic Achievement and Cognitive Abilities: A Bidirectional Perspective. Child Dev. Perspect. 2020, 14, 15–20. [Google Scholar] [CrossRef] [Green Version]
- O’Rourke, J.; Cooper, M. Lucky to Be Happy: A Study of Happiness in Australian Primary Students. Aust. J. Educ. Dev. Psychol. 2010, 10, 94–107. [Google Scholar]
- Luo, Y.; Xie, M.; Lian, Z. Emotional Engagement and Student Satisfaction: A Study of Chinese College Students Based on a Nationally Representative Sample. Asia-Pac. Educ. Res. 2019, 28, 283–292. [Google Scholar] [CrossRef]
- Moriña, A. The Keys to Learning for University Students with Disabilities: Motivation, Emotion and Faculty-Student Relationships. PLoS ONE 2019, 14, e0215249. [Google Scholar] [CrossRef] [Green Version]


| Latent Variables | Items | Outer Loading | AVE | CR | Cronbach’s Alpha |
|---|---|---|---|---|---|
| College Satisfaction | LEQ5 | 0.885 | 0.788 | 0.937 | 0.911 |
| LEQ6 | 0.867 | ||||
| LEQ7 | 0.893 | ||||
| LEQ8 | 0.907 | ||||
| Sense of Achievement | LEQ9 | 0.928 | 0.851 | 0.920 | 0.825 |
| LEQ10 | 0.918 | ||||
| Student Happiness | LEQ13 | 0.840 | 0.771 | 0.910 | 0.851 |
| LEQ15 | 0.903 | ||||
| LEQ16 | 0.890 | ||||
| Emotion Regulation | ERQ18 | 0.881 | 0.806 | 0.926 | 0.879 |
| ERQ19 | 0.905 | ||||
| ERQ20 | 0.906 | ||||
| Sense of Belonging | LEQ1 | 0.909 | 0.838 | 0.912 | 0.807 |
| LEQ2 | 0.922 |
| CS | SA | SH | ER | SB | |
|---|---|---|---|---|---|
| College Satisfaction (CS) | 0.888 | ||||
| Sense of Achievement (SA) | 0.726 | 0.923 | |||
| Student Happiness (SH) | 0.605 | 0.709 | 0.709 | ||
| Emotion Regulation (ER) | 0.460 | 0.517 | 0.532 | 0.898 | |
| Sense of Belonging (SB) | 0.669 | 0.618 | 0.637 | 0.548 | 0.910 |
| Hypothesis Pathway | Path Coefficient | T-Value | Result |
|---|---|---|---|
| H1a: college satisfaction → sense of belonging | 0.379 | 18.081 *** | Supported |
| H1b: college satisfaction → emotion regulation | 0.120 | 5.265 *** | Supported |
| H2a: sense of achievement → sense of belonging | 0.049 | 1.907 | Not supported |
| H2b: sense of achievement → emotion regulation | 0.209 | 7.085 *** | Supported |
| H3a: student happiness → sense of belonging | 0.262 | 12.513 *** | Supported |
| H3b: student happiness → emotion regulation | 0.312 | 12.733 *** | Supported |
| H4: emotion regulation → sense of belonging | 0.209 | 12.114 *** | Supported |
| Hypothesis Pathway | Path Coefficient | T-Value | Result |
|---|---|---|---|
| Total Effects | |||
| college satisfaction → sense of belonging | 0.405 | 18.564 *** | - |
| sense of achievement → sense of belonging | 0.092 | 3.426 ** | - |
| student happiness → sense of belonging | 0.327 | 15.324 *** | - |
| Indirect effects | |||
| H1c: college satisfaction → emotion regulation → sense of belonging | 0.025 | 4.847 *** | Supported |
| H2c: sense of achievement → emotion regulation → sense of belonging | 0.044 | 5.871 *** | Supported |
| H3c: student happiness → emotion regulation → sense of belonging | 0.065 | 8.982 *** | Supported |
Publisher’s Note: MDPI stays neutral with regard to jurisdictional claims in published maps and institutional affiliations. |
© 2021 by the authors. Licensee MDPI, Basel, Switzerland. This article is an open access article distributed under the terms and conditions of the Creative Commons Attribution (CC BY) license (https://creativecommons.org/licenses/by/4.0/).
Share and Cite
Tian, J.; Zhang, M.; Zhou, H.; Wu, J. College Satisfaction, Sense of Achievement, Student Happiness and Sense of Belonging of Freshmen in Chinese Private Colleges: Mediation Effect of Emotion Regulation. Int. J. Environ. Res. Public Health 2021, 18, 11736. https://doi.org/10.3390/ijerph182211736
Tian J, Zhang M, Zhou H, Wu J. College Satisfaction, Sense of Achievement, Student Happiness and Sense of Belonging of Freshmen in Chinese Private Colleges: Mediation Effect of Emotion Regulation. International Journal of Environmental Research and Public Health. 2021; 18(22):11736. https://doi.org/10.3390/ijerph182211736
Chicago/Turabian StyleTian, Jing, Mohan Zhang, Haitao Zhou, and Jianfen Wu. 2021. "College Satisfaction, Sense of Achievement, Student Happiness and Sense of Belonging of Freshmen in Chinese Private Colleges: Mediation Effect of Emotion Regulation" International Journal of Environmental Research and Public Health 18, no. 22: 11736. https://doi.org/10.3390/ijerph182211736
APA StyleTian, J., Zhang, M., Zhou, H., & Wu, J. (2021). College Satisfaction, Sense of Achievement, Student Happiness and Sense of Belonging of Freshmen in Chinese Private Colleges: Mediation Effect of Emotion Regulation. International Journal of Environmental Research and Public Health, 18(22), 11736. https://doi.org/10.3390/ijerph182211736

