The Impact of Musculoskeletal Injuries Sustained in Road Traffic Crashes on Work-Related Outcomes: A Systematic Review
Abstract
1. Introduction
2. Materials and Methods
2.1. Search Methods
2.2. Eligibility Criteria
2.2.1. Population
2.2.2. Outcome
2.2.3. Study Design
2.2.4. Language
2.3. Study Selection
2.4. Data Extraction
2.5. Quality Appraisal
2.6. Analysis
3. Results
3.1. Study Selection
3.2. Study Characteristics
| First Author and Year | Country | Study Design and Size | Study Setting | Age (Years) | Sex (Female N (%)) | Injury Type | Assessment Time (Baseline, Follow Up) | Specific Outcome Measures |
|---|---|---|---|---|---|---|---|---|
| Ackland 2013 [48] | Australia | Prospective cohort, 178 | Hospital based | Median 35 (IQR 25–48) | 72 (44.0%) | Neck pain | Baseline, after discharge, 6 m, 12 m | RTW: return to full duties, categorical (n, %) Work capacity: period of modified work, categorical (n, %) Work ability: categorical (n, %) |
| Barbosa 2014 [49] | Brazil | Cross-sectional, 210 | General public | Aged between 18 and 35 years n = 59; aged between 36 and 45 years n = 64; age >45 years n = 42 | Men only | Facial trauma | One time | Sick leave: categorical (n, %) Productivity loss: absenteeism, categorical (n, %) |
| Berecki-Gisolf 2013 [7] | Australia | Retrospective cohort, 5970 | Transport Accident Commission | 24.0% aged between 35 and 44 | 2208 (37.0%) | MSK or orthopaedic | Once (17 months after accident) | Sick leave: compensated days off work, categorical (%) |
| Biering-Sorensen 2014 [50] | Denmark | Prospective cohort, 7780 (104 WAD; 3204 other MSK) | Municipalities | WAD mean 36; MSK mean 42 | WAD 75.0%; MSK 52.0% | Whiplash and other MSK pains | At 26 weeks, 1 year, 2 years, 3 years | RTW: categorical (n, %) Sick leave: number of participants sick listed, categorical (n) |
| Borchgrevink 1996 [47] | Norway | Retrospective cohort, 426 | ED | Men median 37 (IQR 28–47); women 36 (IQR 26–48) | Men 174 (41.0%); women 252 (59.0%) | Whiplash | Prior to injury, follow up after injury (between 2.5 and 8−5 years) | RTW: categorical (n) Sick leave: registration for sick leave, categorical (n, %) |
| Brison 2000 [51] | Canada | Prospective cohort, 353 | EDs | Aged 18–30 year n = 140 (39.7%); aged 31–50 years n = 150 (42.5%); aged 51–70 years n = 63 (17.8%) | 224 (63.5%) | Whiplash | Baseline, 1, 2, 3, 6, 9, 12, 18, 24 months | Sick leave: missing <1 week of work, categorical (%); days missed work, continuous (mean) Work capacity: number of participants that modified work activities, categorical (%) |
| Buitenhuis 2009 [52] | The Netherlands | Prospective cohort, 879 | Insurance company | Mean 36 (SD 12) | 539 (61.3%) | Whiplash | Baseline, 6, 12 months | RTW: number of participants with no work or paid employment, categorical (n,%); working hours per week, continuous (mean, SD) Sick leave: people on work disability, categorical (n, %). |
| Bunketorp 2002 [53] | Sweden | Retrospective cohort, 108 | EDs in 2 main hospitals | Mean 52 (SD 13) | 66 (61.0%) | Whiplash | Once (17 years after injury) | Sick leave: number of participant on sick leave, work disability, or early retirement, categorical (%) Work ability: assigned medical disability, categorical (n, %) |
| Bylund 1998 [54] | Sweden | Prospective cohort, 255 | General public | Women mean 33; men mean 31 | 132 (52.0%) | Cervical strain/ fracture | During the 2-year period from Jan 1, 1990 to Dec 31, 1991 | Sick leave: categorical (n, %) per collusion mechanism; total sick leave days. |
| Carroll 2012 [55] | Canada | Prospective cohort, 5163 | Claimants general public | Mean 39 (SD 15) | 3479 (66.9%) | Whiplash | Baseline, 6 weeks, 3, 6 months | Sick leave: participants off work, categorical (n, %) |
| Casey 1 2011 [38] | Australia | Prospective cohort, 246 | Private NSW insurers | Mean 43 (SD 15) | 78.0%—n not reported | Whiplash | Once (within 3 months of accident) | Work capacity: number of people unable to continue preinjury work capacity, categorical (n, %) |
| Casey 1 2015 [37] | Australia | Prospective cohort, 246 | Private NSW insurers | Mean 43 (SD 15) | 78.0%—n not reported | Whiplash | Once (within 3 months of accident) | Work capacity: categorical (n, %) |
| de Rome 2012 [56] | Australia | Prospective cohort, 212 | Hospitals and motorcycle repair service | 24.7% aged between 17 and 25; 44.5% aged between 26 and 39; 30.8% aged between 40 and 75 | NR | Fractures and cuts and abrasions | Baseline, 2, 6 months | Sick leave: days of work, continuous (mean) |
| Dufton 2 2012 [39] | Canada | Retrospective cohort, 5581 | Rehabilitation clinics | Mean acute 36 (SD 11); early chronic 36 (SD 11); chronic 36 (SD 11) | Acute 55.9%; early chronic 54.9%; chronic 61.6%-n not reported | Whiplash | At presentation, at discharge | Sick leave: participants off work, categorical (%) Work capacity: participants that modified work duties, categorical (%) |
| Dufton 2 2006 [40] | Canada | Retrospective cohort, 2185 | Rehabilitation clinics | Mean 36 (SD 11); | 1208 (55.3%) | Whiplash | At presentation, at discharge | RTW: participants that returned to work, categorical (n, %); days to RTW, continuous (mean) |
| Ettlin 1992 [46] | Switzerland | Prospective cohort, 21 | Emergency department | Mean 29 | 18 (86.0%) | Whiplash | Baseline, 3 days, 3 months, 1, 2 years | RTW: return to part-time and full-time employment, categorical (n) |
| Geldman 2008 [57] | England | Prospective cohort, 102 | Police physiotherapy and rehabilitation department | Mean 34 (SD 7), range 19–51 | 35 (34.0%) | Whiplash | Baseline, 3, 12 months | RTW: participants that returned to usual work, categorical (%) |
| Gopinath 3 2015 [42] | Australia | Prospective cohort, 284 | MMA Personal Injury Registry database | Mean 46.4 (SD 17.1) | 183 (64.4%) | MSK injuries (whiplash/ fractures) | Baseline, 12, 24 months | RTW: categorical (n, %) Work capacity: resumed to full or modified duties, categorical (n, %) |
| Gopinath 3 2017 [41] | Australia | Prospective cohort, 284 | SIRA Personal Injury Registry database | NR | NR | MSK injuries (whiplash/ fractures) | Baseline, 12, 24 months | RTW: categorical (n, %) Work capacity: resumed to full or modified duties, categorical (n, %) |
| Gray 4 2018 [29] | Australia | Retrospective cohort, 24311 | Transport Accident Commission | 22.0% aged 15–24; 25.1% aged 25–34; 22.7% aged 35–44; 19.3% aged 45–54; 11.0% aged 55–70. | 36.9% | Various MSK injuries | NA | RTW: failed and sustained RTW, categorical (n, %) |
| Gray 4 2018 [30] | Australia | Retrospective cohort, 32970 | Transport Accident Commission | 22.0% aged 15–24; 25.1% aged 25–34; 22.7% aged 35–44; 19.1% aged 45–54; 11.0% aged 55–70. | 36.0% | Various MSK injuries | NA | Work capacity: Gradual RTW pathway, categorical (n., %) and days (median, IQR) |
| Guest 2017 [58] | Australia | Retrospective cohort, 6341 (MSK n = 5734; MSK + psychological distress (MSKPD) n = 607) | SIRA Personal Injury Register | MSK group mean 43 (SD 16); MSKPD group mean 44 (SD 16) | MSK group 3317 (58.0%); MSKPD group 395 (65.0%) | Various MSK injuries | Once | Productivity loss: economic loss claim, categorical (n,%) |
| Gun 2005 [59] | Australia | Prospective cohort, 135 | EDs, medical and physio practices | Mean 36 (SD 15) | 98 (83.0%) | Whiplash | Baseline, 6 weeks, 12 months | RTW: categorical (n, %) |
| Herrström 2000 [60] | Sweden | Prospective cohort, 158 | Health care-based register | Range 10–77; women median 30; men median 35 | 74/125 (59.0%) (reported for 12 month data n = 125) | Whiplash | Baseline, 12 months | Sick leave: reported sick leave, categorical (n, %); duration sick leave (mean, range) |
| Hildingsson 1990 [61] | Sweden | Prospective cohort, 93 | University based | Median 31 (range 17–67) | 53 (57.0%) | Whiplash | Baseline, follow up (mean 25 months) | Sick leave: reported sick leave, categorical (n) Work capacity: changes in work status, categorical (n) |
| Holm 1999 [62] | Sweden | Cross-sectional, 4121 | Road Traffic Injury Commission | WAD 1989: partial or full work disability (n = 172) mean 47 (SD 10); no work disability (n = 106) mean 39 (SD 11) WAD 1994: partial or full work disability (n = 417) mean 43 (SD 10); no work disability (n = 277) mean 37 (SD 11) | WAD 1989: partial or full work disability 100/172 (57.6%); no work disability 71/106 (67.0%) WAD 1994: partial or full work disability 256/417 (61.4%); no work disability 156/277 (56.3%) | Whiplash | Once | RTW: return to full work capacity, categorical (%) Work capacity: partial and full work disability, categorical (n, %) |
| Hours 2014 [31] | France | Prospective cohort, 253 | Registry of Road Crash Trauma | Age group 16–24: grade I: n = 19 (30.6%), grade II n = 35 (32.1%); age group 25–34: grade I n = 14 (22.6%), grade II n = 32 (29.4%); age group 35–44: grade I n = 15 (24.2%), grade II n = 25 (22.9%); age group 45–54: grade I n = 2 (3.2%), grade II n = 9 (8.3%); age group 55 + : grade I n = 12 (19.4%), grade II n = 8 (7.3%) | 157 (62.0%) | Whiplash | Baseline, 12 months | RTW: participants that did not RTW, categorical (%) Sick leave: categorical (n, %) and (median, IQR). |
| Hoving 2003 [63] | Australia | Cross-sectional, 71 | Physio, GP, rheumatology clinics | Mean 40 (SD 14) | 59 (83.1%) | Whiplash | Once | Work ability: Neck Disability Index—Work Item mean and The Northwick Park Neck Pain Questionnaire-Work/housework, continuous (mean, SD); problem elicitation technique (PET)—work for wages, categorical (n, %) |
| Kasch 2001 [64] | Denmark | Prospective cohort, 141 | General public | Mean 36 (SD 11); | 74 (52.0%) | Whiplash | Baseline, 1 week, 1, 3, 6, 12 months | RTW: participants that did not RTW, categorical (n, %) Work capacity: returned to modified job functions, categorical (%) |
| Kasch 2011 [65] | Denmark | Prospective cohort, 141 | EDs | NR | NR | Whiplash | At 1 week, 1, 3, 6, 12 months | RTW: categorical (n, %) |
| Kasch 2019 [66] | Denmark | Prospective cohort, 143 | EDs | Mean 35.8 (SD 10.5) | 75 (52.0%) | Whiplash | At 1 week, 6, 12 months | Work capacity: participants ‘recovered’ (n, %) |
| Kinzel 2006 [45] | Australia | Prospective cohort, 11 | Hospital based | Mean 34 (range 16–67) | 1 (9.0%) | Upper limb MSK injuries | Baseline, regular outpatient appointments up to 12 months | RTW: categorical (n) |
| Krogh 2018 [67] | Denmark | Prospective cohort, 141 | EDs | Mean 36 (SD 11) | 74 (52.0%) | Whiplash | Baseline, 1, 3, 6, 12 months | Work capacity: participants’ recovery status, categorical (n, %) |
| Leth-Petersen 2009 [68] | Denmark | Retrospective cohort, 1203 | Records of National Board of Industrial Injuries | Women-comp mean 36 (SD 9); women-noncomp 36 (SD 9); men-comp 35 (SD 8); men-noncomp 36 (SD 9) | 844 (70.0%) | Whiplash | Retrospective data | Productivity loss: percentage of lost earnings capacity, categorical (n, %) |
| Mankovsky-Arnold 2017 [69] | Canada | Cross-sectional, 105 | Rehabilitation clinics | Overall mean 37 (range 17–57); men mean 38 (SD 9); women 36 (SD 11). | 49 (47.0%) | Whiplash | Once | RTW: employment status, categorical (n, %) |
| Miettinen 5 2004 [43] | Finland | Prospective cohort, 182 | Insurance companies | Overall mean 42; men 45 (SD 15); women 40 (SD 14) | 117 (64.3%) | Whiplash | Baseline, 12 months | Sick leave: (length of) sick leave, categorical (n, %) |
| Miettinen 5 2002 [44] | Finland | Prospective cohort, 201 | Insurance companies | Mean 42 | NR | Whiplash | Baseline, 12 months | Sick leave: (length of) sick leave, categorical (n, %) |
| Munjin 2011 [70] | Chile | Retrospective cohort, 46 | Hospital based | Mean 49 (range 16–70) | 37 (80.4%) | Spine fracture (no neurologic impairment) | Retrospective data | Sick leave: leave of absence, continuous (average, median, range) |
| Myrtveit 2015 [71] | Denmark | Prospective cohort, 740 | Clinics in University Hospitals | Mean 35 (SD 11) | 475 (64.1%) | Whiplash | Baseline, 12 months | Work ability: participants that reported reduced work capability, categorical (n, %) |
| Nguyen 2019 [32] | Australia | Prospective cohort, 498 | EDs, rural health services, primary care and the NSW State Insurance Regulatory Authority—Personal Injury Registry, Claims Advisory Service. | Neck injuries: mean 40.2 (SD 16) Lower back injuries: mean 35.7 (SD 17) Lower limb injuries: mean 38.9 (SD 15) | Neck injuries: 107 (64.5%) Lower back injuries: 31 (39.7%) Lower limb injuries: 78 (30.7%) | Various MSK injuries | Baseline, 6 months | RTW: categorical (n, %) |
| O’Hara 2018 [72] | Uganda | Prospective cohort, 57 | Hospital based | Median 34 (IQR 27–45) | 9 (11.1%) | Isolated tibial/femoral fracture | Baseline (within 48 hrs of hospital admission), 6, 12, 24 months | RTW: categorical (n, %); time to RTW, continuous (mean, 95%CI) Productivity loss: reduction in monthly income, continuous (mean difference, 95%CI); debts, continuous (mean, 95%CI) |
| Pieske 2010 [73] | Germany | Prospective cohort, 81 | Hospital based | Mean 33.0 (SD 12.0), range 18–74 | 45 (55.6%) | Whiplash | Baseline, 1, 3, 6 months | RTW: inability to work, categorical (n, %) Sick leave: duration of not being at work, categorical (n, %) |
| Prang 2015 [74] | Australia | Cross-sectional, 1649 | General public | Mean 44 (SD 15). | 685 (41.5%) | Various MSK injuries | Once | RTW: categorical (n, %) |
| Ratzon 2015 [75] | Israel | Cross-sectional, 123 (Whiplash n = 76; Hip n = 47) | Outpatient clinics and hospital | Whiplash mean 33 (SD 11.8); hip 38 (12) | Whiplash 40 (52.0%); hip 12 (25.5%) | Whiplash and hip injury | Once | Work ability: degree of disability (based on medical files), categorical (n, %) |
| Rebbeck 2006 [76] | Australia | Prospective cohort, 114 | Insurance databases | Mean 39.4 (SE 1.3) | Gender female n = 79 (69.3%), male n = 35 (30.7%). | Whiplash | Baseline (at 3 months), 6 months, 2 years | Sick leave: participants taking days off work, categorical (n, %); number of days taken off work, continuous (median, IQR) |
| Rosenthal 1979 [77] | USA | Retrospective cohort, 43 | University hospital | NR | NR | Hip fracture/dislocation | Retrospective data | RTW: not returning to work, categorical (n, %) |
| Sarrami 2016 [78] | Australia | Retrospective cohort, 90 | SIRA Personal Injury Register | Mean 46 (SD 12), range 23–73 | 48 (53.0%) | Spine surgery | Retrospective data | RTW: categorical (%) Work capacity: return to pre-injury duties, categorical (%) |
| Schreiber 2009 [79] | USA | Prospective cohort, 38 | Private chiropractic offices | Mean 37 | “male to female ratio nearly 1:1” | Whiplash | Once | RTW: employment, categorical (%) Work ability: decreased work function, categorical (n) |
| Scuderi 2005 [80] | USA | Prospective cohort, 270 (Workers Compensation (WC) group n = 54; Personal Injury (PI) group n = 216) | Workmen’s Compensation System | WC group mean 43 (range 25–62); PI group mean 35 (range 18–68) | WC group 20 (37.0%); PI group 112 (51.9%) | Neck pain | Baseline (referral to surgeon), follow ups until considered RTW/ reaching max improvement/ lost to follow up after 2 years | RTW: unable to RTW, categorical (n) Sick leave: lost days of work, continuous (total, mean) |
| Smed 1997 [81] | Denmark | Prospective cohort, 29 | University hospital | Median 33 (range 22–56) | 17 (58.6%) | Whiplash | 1 month post-injury | Sick leave: categorical (n) |
| Swartzman 1996 [82] | Canada | Retrospective cohort, 62 (litigants n = 41, post-litigants n = 21) | Private practice, University hospital | Litigants mean 38; post-litigants mean 39 | Litigants 31 (76.0%); post-litigant 17 (81.0%) | Whiplash | Once | RTW: employment status, categorical; number of hours per week employed outside the home, continuous (mean) |
| Virani 2001 [83] | Canada | Cross-sectional, 356 (physicians n = 149; nonphysicians n = 207) | University hospital | Physicians mean 46; nonphysicians mean 40 | NR | Whiplash | Once | Sick leave: time off, categorical (%) |
| Vos 2008 [84] | The Netherlands | Prospective cohort, 42 | GPs | Mean 35 | NR | Neck pain and whiplash | Baseline, 6, 12, 26, 52 | Sick leave: categorical (%) |
3.3. Quality Appraisal
3.4. Work-Related Outcomes
3.4.1. Return to Work
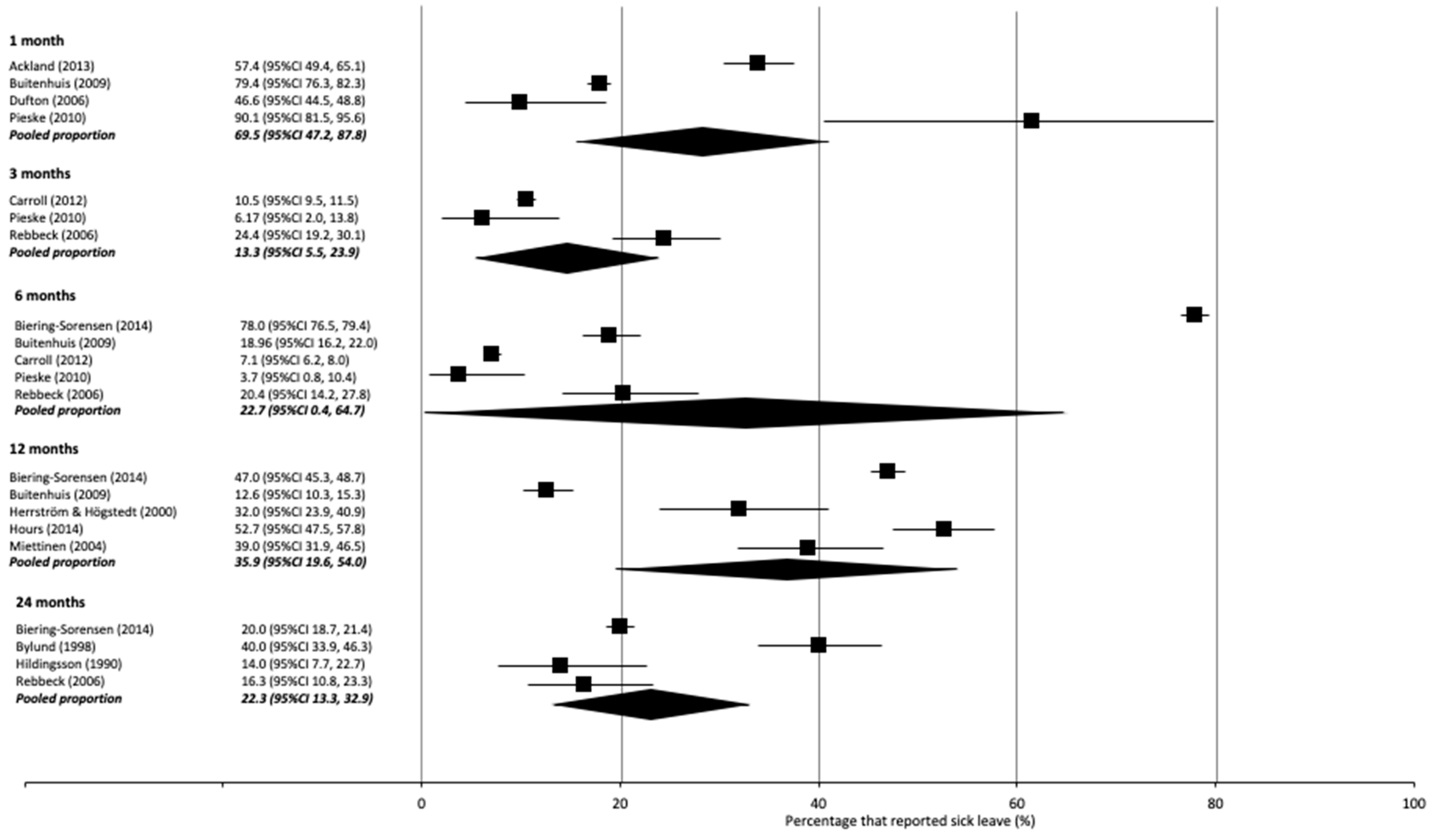
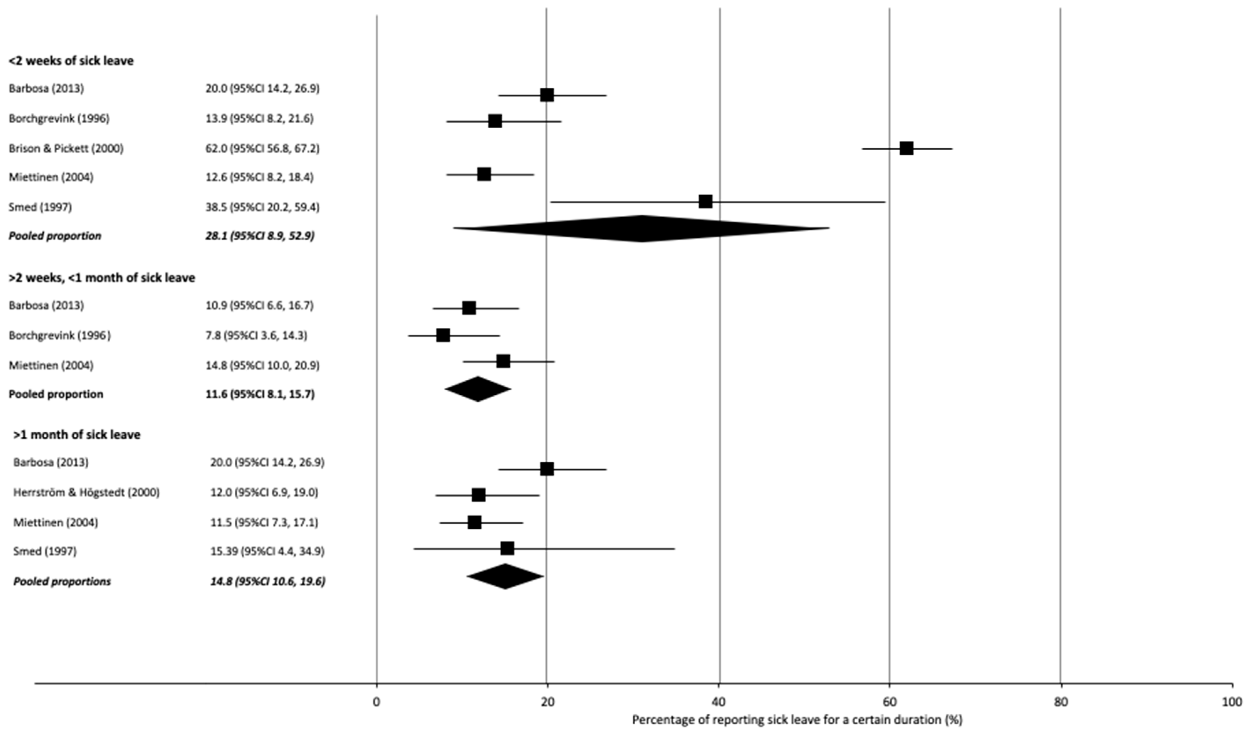
3.4.2. Sick Leave
3.4.3. Work Capacity
3.4.4. Work Ability
3.4.5. Productivity Loss
3.5. Sensitivity Analysis of Work-Related Outcomes
3.6. Factors Associated with Work-Related Outcomes
3.6.1. Return to Work
3.6.2. Sick Leave
3.6.3. Work Capacity
3.6.4. Work Ability
3.6.5. Productivity Loss
3.7. Impact of Deviation from Protocol on Results
4. Discussion
5. Conclusions
Supplementary Materials
Author Contributions
Funding
Institutional Review Board Statement
Informed Consent Statement
Data Availability Statement
Conflicts of Interest
References
- Holm, L.W.; Carroll, L.J.; Cassidy, J.D.; Hogg-Johnson, S.; Côté, P.; Guzman, J.; Peloso, P.; Nordin, M.; Hurwitz, E.; van der Velde, G.; et al. The burden and determinants of neck pain in whiplash-associated disorders after traffic collisions: Results of the Bone and Joint Decade 2000-2010 Task Force on Neck Pain and Its Associated Disorders. J. Manip. Physiol. Ther. 2009, 32, S61–S69. [Google Scholar] [CrossRef]
- Cassidy, J.D.; Carroll, L.J.; Côté, P.; Lemstra, M.; Berglund, A.; Nygren, A. Effect of eliminating compensation for pain and suffering on the outcome of insurance claims for whiplash injury. N. Engl. J. Med. 2000, 342, 1179–1186. [Google Scholar] [CrossRef]
- Connelly, L.B.; Supangan, R. The economic costs of road traffic crashes: Australia, states and territories. Accid. Anal. Prev. 2006, 38, 1087–1093. [Google Scholar] [CrossRef]
- Motor Accident Insurance Commission. Statistical Information 1 July to 31 December 2016; Queensland Government: Queensland, Australia, 2016. [Google Scholar]
- Gopinath, B.; Harris, I.; Nicholas, M.; Casey, P.; Blyth, F.; Maher, C.; Cameron, I. A Comparison of Health Outcomes in Older versus Younger Adults following a Road Traffic Crash Injury: A Cohort Study. PLoS ONE 2015, 10, e0122732. [Google Scholar] [CrossRef]
- Jagnoor, J.; Wolf, A.; Nicholas, M.; Maher, C.; Casey, P.; Blyth, F.; Harris, I.; Cameron, I. Restriction in functioning and quality of life is common in people 2 months after compensable motor vehicle crashes: Prospective cohort study. Inj. Epidemiol. 2015, 2, 1–11. [Google Scholar] [CrossRef][Green Version]
- Berecki-Gisolf, J.; Collie, A.; McClure, R. Work disability after road traffic injury in a mixed population with and without hospitalisation. Accid. Anal. Prev. 2013, 51, 129–134. [Google Scholar] [CrossRef]
- Norström, F.; Virtanen, P.; Hammarström, A.; Gustafsson, P.E.; Janlert, U. How does unemployment affect self-assessed health? A systematic review focusing on subgroup effects. BMC Public Health 2014, 14, 1310. [Google Scholar] [CrossRef]
- Australasian Faculty of Occupational and Environmental Medicine. Realising the Health Benefits of Work: A Position Statement; The Royal Australasian College of Physicians: Sydney, Australia, 2011. [Google Scholar]
- Waddell, G.; Burton, A.K. Is Work Good for your Health and Well-Being? Department for Work and Pensions: London, UK, 2006. [Google Scholar]
- Mathers, C.D.; Schofield, D.J. The health consequences of unemployment: The evidence. Med J. Aust. 1998, 168, 178–182. [Google Scholar] [CrossRef]
- Beales, D.; Fried, K.; Nicholas, M.; Blyth, F.; Finniss, D.; Moseley, G.L. Management of musculoskeletal pain in a compensable environment: Implementation of helpful and unhelpful Models of Care in supporting recovery and return to work. Best Pract. Res. Clin. Rheumatol. 2016, 30, 445–467. [Google Scholar] [CrossRef]
- Vos, T.; Flaxman, A.D.; Naghavi, M.; Lozano, R.; Michaud, C.; Ezzati, M.; Shibuya, K.; Salomon, J.A.; Abdalla, S.; Aboyans, V.; et al. Years lived with disability (YLDs) for 1160 sequelae of 289 diseases and injuries 1990-2010: A systematic analysis for the Global Burden of Disease Study 2010. Lancet 2012, 380, 2163–2196. [Google Scholar] [CrossRef]
- Dunstan, D.A.; Covic, T. Compensable work disability management: A literature review of biopsychosocial perspectives. Aust. Occup. Ther. J. 2006, 53, 67–77. [Google Scholar] [CrossRef][Green Version]
- WorkSafe Victoria. Clinical Framework For the Delivery of Health Services; Victorian WorkCover Authority: Melbourne, Australia, 2012. [Google Scholar]
- Hara, K.W.; Bjørngaard, J.H.; Jacobsen, H.B.; Borchgrevink, P.C.; Johnsen, R.; Stiles, T.C.; Brage, S.; Woodhouse, A. Biopsychosocial predictors and trajectories of work participation after transdiagnostic occupational rehabilitation of participants with mental and somatic disorders: A cohort study. BMC Public Health 2018, 18, 1014. [Google Scholar] [CrossRef] [PubMed]
- Heron-Delaney, M.; Warren, J.; Kenardy, J.A. Predictors of non-return to work 2 years post-injury in road traffic crash survivors: Results from the UQ SuPPORT study. Injury 2017, 48, 1120–1128. [Google Scholar] [CrossRef]
- O’Hara, N.N.; Isaac, M.; Slobogean, G.P.; Klazinga, N.S. The socioeconomic impact of orthopaedic trauma: A systematic review and meta-analysis. PLoS ONE 2020, 15, e0227907. [Google Scholar] [CrossRef] [PubMed]
- Etuknwa, A.; Daniels, K.; Eib, C. Sustainable Return to Work: A Systematic Review Focusing on Personal and Social Factors. J. Occup. Rehabil. 2019, 29, 679–700. [Google Scholar] [CrossRef] [PubMed]
- Papagoras, H.; Pizzari, T.; Coburn, P.; Sleigh, K.; Briggs, A.M. Supporting return to work through appropriate certification: A systematic approach for Australian primary care. Aust. Health Rev. Publ. Aust. Hosp. Assoc. 2018, 42, 164–167. [Google Scholar] [CrossRef]
- El Fassi, M.; Bocquet, V.; Majery, N.; Lair, M.L.; Couffignal, S.; Mairiaux, P. Work ability assessment in a worker population: Comparison and determinants of Work Ability Index and Work Ability score. BMC Public Health 2013, 13, 305. [Google Scholar] [CrossRef]
- Cameron, K.L.; Owens, B.D. The Burden and Management of Sports-Related Musculoskeletal Injuries and Conditions Within the US Military. Clin. Sport Med. 2014, 33, 573–589. [Google Scholar] [CrossRef]
- Martimo, K.P.; Varonen, H.; Husman, K.; Viikari-Juntura, E. Factors associated with self-assessed work ability. Occup. Med. 2007, 57, 380–382. [Google Scholar] [CrossRef]
- Campbell, P.; Wynne-Jones, G.; Muller, S.; Dunn, K. The influence of employment social support for risk and prognosis in nonspecific back pain: A systematic review and critical synthesis. Int. Arch. Occ. Env. Hea. 2013, 86, 119–137. [Google Scholar] [CrossRef] [PubMed]
- Moher, D.; Liberati, A.; Tetzlaff, J.; Altman, D.G. Preferred Reporting Items for Systematic Reviews and Meta-Analyses: The PRISMA Statement. PloS Med. 2009, 6, e1000097. [Google Scholar] [CrossRef] [PubMed]
- Gane, E.M.; Brakenridge, C.L.; Smits, E.J.; Johnston, V. The impact of musculoskeletal injuries sustained in road traffic crashes on work-related outcomes: A protocol for a systematic review. Syst. Rev. 2018, 7, 202. [Google Scholar] [CrossRef]
- Gormley, M.; Devanaboyina, M.; Andelic, N.; Røe, C.; Seel, R.T.; Lu, J. Long-term employment outcomes following moderate to severe traumatic brain injury: A systematic review and meta-analysis. Brain Inj. 2019, 33, 1567–1580. [Google Scholar] [CrossRef] [PubMed]
- Trenaman, L.; Miller, W.C.; Querée, M.; Escorpizo, R. Modifiable and non-modifiable factors associated with employment outcomes following spinal cord injury: A systematic review. J. Spinal Cord Med. 2015, 38, 422–431. [Google Scholar] [CrossRef]
- Gray, S.E.; Hassani-Mahmooei, B.; Cameron, I.D.; Kendall, E.; Kenardy, J.; Collie, A. Patterns and Predictors of Failed and Sustained Return-to-Work in Transport Injury Insurance Claimants. J. Occup. Rehabil. 2018, 28, 740–748. [Google Scholar] [CrossRef] [PubMed]
- Gray, S.E.; Hassani-Mahmooei, B.; Kendall, E.; Cameron, I.D.; Kenardy, J.; Collie, A. Factors associated with graduated return to work following injury in a road traffic crash. J. Transp. Health 2018, 10, 167–177. [Google Scholar] [CrossRef]
- Hours, M.; Khati, I.; Charnay, P.; Chossegros, L.; Tardy, H.; Tournier, C.; Perrine, A.L.; Luaute, J.; Laumon, B. One year after mild injury: Comparison of health status and quality of life between patients with whiplash versus other injuries. J. Rheumatol. 2014, 41, 528–538. [Google Scholar] [CrossRef]
- Nguyen, H.; Rebbeck, T.; Kifley, A.; Jagnoor, J.; Dinh, M.; Shetty, A.; Nicholas, M.; Cameron, I.D. Positive recovery for low-risk injuries screened by the short form—Orebro musculoskeletal pain screening questionnaire following road traffic injury: Evidence from an inception cohort study in New South Wales, Australia. BMC Musculoskelet. Disord. 2019, 20, 531. [Google Scholar] [CrossRef] [PubMed]
- National Heart Lung and Blood Institute. Study Quality Assessment Tools. Available online: https://www.nhlbi.nih.gov/health-topics/study-quality-assessment-tools (accessed on 20 May 2021).
- Landis, J.R.; Koch, G.G. The measurement of observer agreement for categorical data. Biometrics 1977, 33, 159–174. [Google Scholar] [CrossRef]
- Miller, J.J. The inverse of the Freeman-Tukey double arcsine transformation. Am. Stat. 1978, 32, 138. [Google Scholar]
- Higgins, J.P.T.; Thompson, S.G.; Deeks, J.J.; Altman, D.G. Measuring inconsistency in meta-analyses. BMJ 2003, 327, 557–560. [Google Scholar] [CrossRef] [PubMed]
- Casey, P.P.; Feyer, A.M.; Cameron, I.D. Associations with legal representation in a compensation setting 12 months after injury. Injury 2015, 46, 918–925. [Google Scholar] [CrossRef]
- Casey, P.P.; Feyer, A.M.; Cameron, I.D. Identifying predictors of early non-recovery in a compensation setting: The Whiplash Outcome Study. Injury 2011, 42, 25–32. [Google Scholar] [CrossRef] [PubMed]
- Dufton, J.A.; Bruni, S.G.; Kopec, J.A.; Cassidy, J.D.; Quon, J. Delayed recovery in patients with whiplash-associated disorders. Injury 2012, 43, 1141–1147. [Google Scholar] [CrossRef]
- Dufton, J.A.; Kopec, J.A.; Wong, H.; Cassidy, J.D.; Quon, J.; Mcintosh, G.; Koehoorn, M. Prognostic factors associated with minimal improvement following acute whiplash-associated disorders. Spine 2006, 31, E759–E765. [Google Scholar] [CrossRef] [PubMed]
- Gopinath, B.; Jagnoor, J.; Elbers, N.; Cameron, I.D. Overview of findings from a 2-year study of claimants who had sustained a mild or moderate injury in a road traffic crash: Prospective study. BMC Res. Notes 2017, 10, 76. [Google Scholar] [CrossRef]
- Gopinath, B.; Jagnoor, J.; Harris, I.A.; Nicholas, M.; Casey, P.; Blyth, F.; Maher, C.G.; Cameron, I.D. Prognostic indicators of social outcomes in persons who sustained an injury in a road traffic crash. Injury 2015, 46, 909–917. [Google Scholar] [CrossRef]
- Miettinen, T.; Airaksinen, O.; Lindgren, K.A.; Leino, E. Whiplash injuries in Finland--the possibility of some sociodemographic and psychosocial factors to predict the outcome after one year. Disabil. Rehabil. 2004, 26, 1367–1372. [Google Scholar] [CrossRef] [PubMed]
- Miettinen, T.; Lindgren, K.A.; Airaksinen, O.; Leino, E. Whiplash injuries in Finland: A prospective 1-year follow-up study. Clin. Exp. Rheumatol. 2002, 20, 399–402. [Google Scholar]
- Kinzel, V.; Skirving, A.P.; Wren, M.N.; Zellweger, R. Sideswipe injuries to the elbow in Western Australia. MJA 2006, 184, 447–450. [Google Scholar] [CrossRef]
- Ettlin, T.M.; Kischka, U.; Rechmann, S.; Radii, E.W.; Heim, S.; Wengen, D.; Benson, D.F. Cerebral symptoms after whiplash injury of the neck: A prospective clinical and neuropsychological study of whiplash injury. J. Neurol. Neurosur. PS 1992, 55, 943–948. [Google Scholar] [CrossRef]
- Borchgrevink, G.E.; Lereim, I.; Royneland, L.; Bjorndal, A.; Haraldseth, O. National health insurance consumption and chronic symptoms following mild neck sprain injuries in car collisions. Scan J. Soc. Med. 1996, 24, 264–271. [Google Scholar] [CrossRef] [PubMed]
- Ackland, H.M.; Cameron, P.A.; Wolfe, R.; Malham, G.M.; Varma, D.K.; Fitt, G.J.; Cooper, D.J.; Rosenfeld, J.V.; Liew, S.M. Outcomes at 12 months after early magnetic resonance imaging in acute trauma patients with persistent midline cervical tenderness and negative computed tomography. Spine 2013, 38, 1068–1081. [Google Scholar] [CrossRef]
- Barbosa, K.G.; Lucas-Neto, A.; Gama, B.D.; Lima-Neto, J.C.; Lucas, R.S.; d’Avila, S. Injuries and absenteeism among motorcycle taxi drivers who are victims of traffic accidents. J. Forensic. Leg Med. 2014, 26, 15–18. [Google Scholar] [CrossRef]
- Biering-Sorensen, S.; Moller, A.; Stoltenberg, C.D.; Holm, J.W.; Skov, P.G. The return-to-work process of individuals sick-listed because of whiplash-associated disorder: A three-year follow-up study in a Danish cohort of long-term sickness absentees. BMC Public Health 2014, 14, 113. [Google Scholar] [CrossRef][Green Version]
- Brison, R.J.; Hartling, L.; Pickett, W. A Prospective Study of Acceleration-Extension Injuries Following Rear-End Motor Vehicle Collisions. J. Musculoskelet Pain 2000, 8, 97–113. [Google Scholar] [CrossRef]
- Buitenhuis, J.; de Jong, P.J.; Jaspers, J.P.; Groothoff, J.W. Work disability after whiplash: A prospective cohort study. Spine 2009, 34, 262–267. [Google Scholar] [CrossRef]
- Bunketorp, L.; Nordholm, L.; Carlsson, J. A descriptive analysis of disorders in patients 17 years following motor vehicle accidents. Eur. Spine J. 2002, 11, 227–234. [Google Scholar] [CrossRef]
- Bylund, P.; Bjornstig, U. Sick leave and disability pension among passenger car occpants injured in urban traffic. Spine 1998, 23, 1023–1028. [Google Scholar] [CrossRef] [PubMed]
- Carroll, L.J.; Jones, D.C.; Ozegovic, D.; Cassidy, J.D. How well are you recovering? The association between a simple question about recovery and patient reports of pain intensity and pain disability in whiplash-associated disorders. Disabil. Rehabil. 2012, 34, 45–52. [Google Scholar] [CrossRef]
- de Rome, L.; Ivers, R.; Fitzharris, M.; Haworth, N.; Heritier, S.; Richardson, D. Effectiveness of motorcycle protective clothing: Riders’ health outcomes in the six months following a crash. Injury 2012, 43, 2035–2045. [Google Scholar] [CrossRef]
- Geldman, M.; Moore, A.; Cheek, L. The effect of pre-injury physical fitness on the initial severity and recovery from whiplash injury, at six-month follow-up. Clin. Rehabil. 2008, 22, 364–376. [Google Scholar] [CrossRef]
- Guest, R.; Tran, Y.; Gopinath, B.; Cameron, I.D.; Craig, A. Psychological distress following a motor vehicle crash: Evidence from a statewide retrospective study examining settlement times and costs of compensation claims. BMJ Open 2017, 7, e017515. [Google Scholar] [CrossRef]
- Gun, R.T.; Osti, O.L.; O’Riordan, A.; Mpelasoka, F.; Eckerwall, C.G.E.; Smyth, J.F. Risk factors for prolonged disability after whiplash injury: A prospective study. Spine 2005, 30, 386–391. [Google Scholar] [CrossRef]
- Herrström, P.; Lannerbro-Geijer, G.; Hogstedt, B. Whiplash injuries from car accidents in a Swedish middle-sized town during 1993-95. Scand J. Prim. Health Care 2000, 18, 154–158. [Google Scholar] [CrossRef]
- Hildingsson, C.; Toolanen, G. Outcome after soft-tissue injury of the cervical spine. A retrospective study of 93 car-accident victims. Acta. Orthop. Scand 1990, 61, 357–359. [Google Scholar] [CrossRef]
- Holm, L.; Cassidy, J.D.; Sjogren, Y.; Nygren, A. Impairment and work disability due to whiplash injury following traffic collisions: An analysis of insurance material. Scan J. Public Healt 1999, 27, 116–123. [Google Scholar] [CrossRef]
- Hoving, J.L.; O’Leary, E.F.; Niere, K.R.; Green, S.; Buchbinder, R. Validity of the neck disability index, Northwick Park neck pain questionnaire, and problem elicitation technique for measuring disability associated with whiplash-associated disorders. Pain 2003, 102, 273–281. [Google Scholar] [CrossRef]
- Kasch, H.; Bach, F.W.; Jensen, T.S. Handicap after acute whiplash injury: A 1-year prospective study of risk factors. Neurology 2001, 56, 1637–1643. [Google Scholar] [CrossRef]
- Kasch, H.; Qerama, E.; Kongsted, A.; Bach, F.W.; Bendix, T.; Jensen, T.S. The risk assessment score in acute whiplash injury predicts outcome and reflects biopsychosocial factors. Spine 2011, 36, S263–S267. [Google Scholar] [CrossRef]
- Kasch, H.; Jensen, L.L. Minor Head Injury Symptoms and Recovery From Whiplash Injury: A 1-Year Prospective Study. Rehabil. Process. Outcome 2019, 8, 1–6. [Google Scholar] [CrossRef]
- Krogh, S.; Kasch, H. Whiplash injury results in sustained impairments of cervical muscle function: A one-year prospective, controlled study. J. Rehabil. Med. 2018, 50, 548–555. [Google Scholar] [CrossRef]
- Leth-Petersen, S.; Rotger, G.P. Long-term labour-market performance of whiplash claimants. J. Health Econ. 2009, 28, 996–1011. [Google Scholar] [CrossRef]
- Mankovsky-Arnold, T.; Wideman, T.H.; Thibault, P.; Lariviere, C.; Rainville, P.; Sullivan, M.J.L. Sensitivity to Movement-Evoked Pain and Multi-Site Pain are Associated with Work-Disability Following Whiplash Injury: A Cross-Sectional Study. J. Occup. Rehabil. 2017, 27, 413–421. [Google Scholar] [CrossRef]
- Munjin, M.A.; Zamorano, J.J.; Marre, B.; Ilabaca, F.; Ballesteros, V.; Martinez, C.; Yurac, R.; Urzua, A.; Lecaros, M.; Fleiderman, J.; et al. Speed hump spine fractures: Injury mechanism and case series. J. Spinal. Disord Tech. 2011, 24, 386–389. [Google Scholar] [CrossRef]
- Myrtveit, S.M.; Carstensen, T.; Kasch, H.; Ornbol, E.; Frostholm, L. Initial healthcare and coping preferences are associated with outcome 1 year after whiplash trauma: A multicentre 1-year follow-up study. BMJ Open 2015, 5, e007239. [Google Scholar] [CrossRef]
- O’Hara, N.N.; Mugarura, R.; Potter, J.; Stephens, T.; Rehavi, M.M.; Francois, P.; Blachut, P.A.; O’Brien, P.J.; Mezei, A.; Beyeza, T.; et al. The Socioeconomic Implications of Isolated Tibial and Femoral Fractures from Road Traffic Injuries in Uganda. J. Bone Joint Surg. Am. 2018, 100, e43. [Google Scholar] [CrossRef]
- Pieske, O.; Weinhold, T.; Buck, J.; Piltz, S. Seniority of the first-treating doctor does not influence the outcome of acute whiplash injury: A prospective cohort study. Eur. Spine J. 2010, 19, 1627–1634. [Google Scholar] [CrossRef][Green Version]
- Prang, K.H.; Berecki-Gisolf, J.; Newnam, S. Recovery from musculoskeletal injury: The role of social support following a transport accident. Health Q. Life Outcomes 2015, 13, 97. [Google Scholar] [CrossRef]
- Ratzon, N.Z.; Amit, Y.; Friedman, S.; Zamir, S.; Rand, D. Functional capacity evaluation: Does it change the determination of the degree of work disability? Disabil. Health J. 2015, 8, 80–85. [Google Scholar] [CrossRef]
- Rebbeck, T.; Sindhusake, D.; Cameron, I.D.; Rubin, G.; Feyer, A.M.; Walsh, J.; Gold, M.; Schofield, W.N. A prospective cohort study of health outcomes following whiplash associated disorders in an Australian population. Inj. Prev. 2006, 12, 93–98. [Google Scholar] [CrossRef]
- Rosenthal, R.E.; Coker, W.L. Posterior fracture-dislocation of the hip: An epidemiologic review. J. Traum. 1979, 19, 572–581. [Google Scholar] [CrossRef]
- Sarrami, P.; Ekmejian, R.; Naylor, J.M.; Descallar, J.; Chatterji, R.; Harris, I.A. Spine surgery outcome in patients who sought compensation after a motor vehicle accident: A retrospective cohort study. BMC Surg. 2016, 16, 76. [Google Scholar] [CrossRef][Green Version]
- Schreiber, A.L.; Fried, G.W. Demographic characteristics of 38 patients injured in motor vehicle accidents referred by chiropractors to physiatrists. J. Manip. Physiol. Ther. 2009, 32, 772–775. [Google Scholar] [CrossRef]
- Scuderi, G.J.; Sherman, A.L.; Brusovanik, G.V.; Pahl, M.A.; Vaccaro, A.R. Symptomatic cervical disc herniation following a motor vehicle collision: Return to work comparative study of workers’ compensation versus personal injury insurance status. Spine J. 2005, 5, 639–644. [Google Scholar] [CrossRef]
- Smed, A. Cognitive function and distress after common whiplash injury. Acta. Neurol. Scand 1997, 95, 73–80. [Google Scholar] [CrossRef]
- Swartzman, L.C.; Teasell, R.W.; Shapiro, A.P.; McDermid, A.J. The effect of litigation status on adjustment to whiplash injury. Spine 1996, 21, 53–58. [Google Scholar] [CrossRef]
- Virani, S.N.; Ferrari, R.; Russell, A.S. Physician resistance to the late whiplash syndrome. J. Rheumatol. 2001, 28, 2096–2099. [Google Scholar]
- Vos, C.J.; Verhagen, A.P.; Passchier, J.; Koes, B.W. Impact of motor vehicle accidents on neck pain and disability in general practice. Br. J. Gen. Pract. 2008, 58, 624–629. [Google Scholar] [CrossRef]
- Chen, K.; Andersen, T.; Carroll, L.; Connelly, L.; Côté, P.; Curatolo, M.; Elliott, J.; Grant, G.; Jull, G.; Kasch, H.; et al. Recommendations For Core Outcome Domain Set For Whiplash-Associated Disorders (CATWAD). Clin. J. Pain 2019, 35, 727–736. [Google Scholar] [CrossRef]
- Kelly, J.; Ritchie, C.; Sterling, M. Clinical prediction rules for prognosis and treatment prescription in neck pain: A systematic review. Musculoskelet. Sci. Pract. 2017, 27, 155–164. [Google Scholar] [CrossRef]
- Wong, J.J.; Côté, P.; Shearer, H.M.; Carroll, L.J.; Yu, H.; Varatharajan, S.; Southerst, D.; van der Velde, G.; Jacobs, C.; Taylor-Vaisey, A. Clinical practice guidelines for the management of conditions related to traffic collisions: A systematic review by the OPTIMa Collaboration. Disabil. Rehabil. 2015, 37, 471–489. [Google Scholar] [CrossRef] [PubMed]
- United Nations. World Economic Situation and Prospects; United Nations Department of Economic and Social Affairs: New York, NY, USA, 2020. [Google Scholar]
- Bhalla, K.; Shotten, M.; Cohen, A.; Brauer, M.; Shahraz, S.; Burnett, R.; Leach-Kemon, K.; Freedman, G.; Murray, C.J.L. Transport for Health: The Global Burden of Disease from Motorized Road Transport; World Bank Group: Washington, DC, USA, 2014. [Google Scholar]
- Marnetoft, S.-U. Vocational Rehabiliation. In Handbook of Vocational Rehabilitation and Disability Evaluation; Escorpizo, R., Brage, S., Homa, D., Stucki, G., Eds.; Spinger: Cham, Switzerland, 2015; pp. 73–103. [Google Scholar] [CrossRef]
- World Health Organization. Global Lan for the Decade of Action for Road Safety 2021–2030; WHO: Geneva, Switzerland, 2021. [Google Scholar]
- International Road Foundation. HOVITA Launches the Motor Third Party Insurance Compensation Project for Uganda’s Road Crash Victims. Available online: https://irfnet.ch/2020/11/30/hovita-launches-the-motor-third-partyinsurance-compensation-project-for-ugandas-road-crash-victims/ (accessed on 22 October 2021).
- Gosselin, R.A.; Spiegel, D.A.; Coughlin, R.; Zirkle, L.G. Injuries: The neglected burden in developing countries. Bull. World Health Organ. 2009, 87, 246. [Google Scholar] [CrossRef] [PubMed]
- Bevan, S. Economic impact of musculoskeletal disorders (MSDs) on work in Europe. Best Pract. Res. Clin. Rheumatol. 2015, 29, 356–373. [Google Scholar] [CrossRef] [PubMed]
- von Oelreich, E.; Eriksson, M.; Brattström, O.; Discacciati, A.; Strömmer, L.; Oldner, A.; Larsson, E. Predicting prolonged sick leave among trauma survivors. Sci. Rep. 2019, 9, 58. [Google Scholar] [CrossRef] [PubMed]
- Himmelstein, D.U.; Warren, E.; Thorne, D.; Woolhandler, S. Illness And Injury As Contributors To Bankruptcy. Health Aff. 2005, 24, W5-63–W65-73. [Google Scholar] [CrossRef]
- DeRigne, L.; Stoddard-Dare, P.; Quinn, L. Workers Without Paid Sick Leave Less Likely To Take Time Off For Illness Or Injury Compared To Those With Paid Sick Leave. Health Aff. 2016, 35, 520–527. [Google Scholar] [CrossRef]
- International Labour Organization. Non-Standard Employment around the World: Understanding Challenged, Shaping Prospects; ILO: Geneva, Switzerland, 2016. [Google Scholar]
- Transport Accident Commission. Income Support. Available online: http://www.tac.vic.gov.au/clients/how-we-can-help/income-support (accessed on 22 October 2021).
- Motor Accident Insurance Commission. What You Can Claim. Available online: https://maic.qld.gov.au/for-injured-people/what-you-can-claim/ (accessed on 22 October 2021).
- Samoborec, S.; Ruseckaite, R.; Ayton, D.; Evans, S. Biopsychosocial factors associated with non-recovery after a minor transport-related injury: A systematic review. PLoS ONE 2018, 13, e0198352. [Google Scholar] [CrossRef]
- Smits, E.J.; Gane, E.M.; Brakenridge, C.L.; Andrews, N.E.; Johnston, V. Expert consensus and perspectives on recovery following road traffic crashes: A Delphi study. Disabil. Rehabil. 2020, 1–10. [Google Scholar] [CrossRef]




| Study | 1. Was the Research Question Clearly Stated? | 2. Was the Study Population Clearly Specified and Defined? | 3. Was the Participation Rate of Eligible Persons At Least 50%? | 4. Were All the Subjects from Similar Populations? Were Eligibility Criteria Prespecified and Applied Uniformly? | 5. Was A Sample Size Justification, Power Description, or Variance and Effect Estimates Provided? | 6. Were the Exposure(S) of Interest Measured Prior to the Outcome(S)? | 7. Was the Timeframe Sufficient to See an Association Between Exposure and Outcome if It Existed? | 8. Did the Study Examine Different Levels of the Exposure as Related to the Outcome? | 9. Were the Exposure Measures Clearly Defined, Valid, Reliable, and Implemented Consistently? | 10. Was the Exposure(S) Assessed More Than Once over Time? | 11. Were the Outcome Measures Clearly Defined, Valid, Reliable, and Implemented Consistently? | 12. Were Assessors Blinded to the Exposure Status of Participants? | 13. Was Loss to Follow-Up After Baseline 20% Or Less? | 14. Were Key Potential Confounding Variables Measured and Adjusted Statistically? | Total |
|---|---|---|---|---|---|---|---|---|---|---|---|---|---|---|---|
| [48] | + | + | + | + | + | + | + | + | − | − | − | − | + | + | fair |
| [49] | + | + | − | + | + | − | + | − | − | O | − | O | + | − | poor |
| [7] | + | + | + | + | + | + | + | + | − | O | + | O | + | + | good |
| [50] | + | + | + | + | + | + | + | O | − | − | + | O | + | + | good |
| [47] | + | + | + | + | + | + | + | − | − | − | + | O | + | − | fair |
| [51] | + | + | + | + | − | + | + | − | − | + | − | O | + | O | poor |
| [52] | + | − | − | + | + | + | + | + | − | + | − | O | + | + | fair |
| [53] | − | + | + | + | − | − | + | − | + | − | + | O | O | − | poor |
| [54] | + | + | + | + | − | + | + | − | − | − | − | O | + | − | poor |
| [55] | + | + | + | + | − | + | + | + | + | + | + | O | − | − | fair |
| [38] | + | + | − | + | − | + | + | O | + | − | + | O | O | + | good |
| [37] | + | + | − | + | − | + | + | + | + | − | + | O | + | + | good |
| [56] | + | + | + | + | − | + | + | + | + | − | + | O | − | + | good |
| [39] | + | + | O | + | − | + | + | + | − | − | + | O | − | − | poor |
| [40] | + | + | − | + | + | O | − | + | − | − | + | O | − | + | fair |
| [46] | − | − | + | + | − | + | + | − | + | − | + | O | − | − | poor |
| [57] | + | + | + | + | − | + | + | + | − | − | + | O | + | − | fair |
| [42] | + | + | − | + | − | + | + | + | + | − | + | O | − | + | fair |
| [41] | + | + | − | + | − | + | + | + | + | − | + | O | − | + | fair |
| [29] | + | + | + | + | − | + | + | + | + | − | + | O | + | + | good |
| [30] | + | + | + | + | − | + | + | + | + | − | + | O | + | + | good |
| [58] | + | + | + | + | − | + | + | + | + | − | + | O | O | + | good |
| [59] | − | − | − | + | − | + | + | + | + | − | + | O | + | + | fair |
| [60] | + | + | − | + | − | + | + | − | + | − | − | O | O | + | fair |
| [61] | − | + | − | + | − | + | + | − | − | − | − | O | + | − | poor |
| [62] | + | + | + | + | − | + | − | O | + | O | + | O | O | + | good |
| [31] | + | + | + | + | − | + | + | + | + | O | + | O | − | + | good |
| [63] | + | + | − | + | − | + | O | − | + | O | + | O | O | O | good |
| [64] | + | + | + | + | − | + | + | + | + | O | + | O | − | − | good |
| [65] | + | + | + | + | − | + | + | + | + | O | + | O | + | − | good |
| [66] | − | + | + | + | − | + | + | − | + | − | − | − | + | − | poor |
| [45] | + | + | + | + | − | + | + | − | + | O | + | O | + | − | fair |
| [67] | + | + | + | + | − | + | + | − | + | O | + | − | − | − | fair |
| [68] | + | + | + | + | − | + | + | − | + | O | + | − | O | + | good |
| [69] | + | + | O | + | + | + | + | + | + | O | + | − | O | − | good |
| [43] | + | + | + | + | − | + | + | − | + | O | + | O | + | − | good |
| [44] | + | + | + | + | − | + | + | + | + | O | + | O | + | − | good |
| [70] | + | + | − | + | − | + | − | + | + | − | − | O | O | − | poor |
| [71] | + | + | + | + | − | + | + | − | + | + | + | O | + | + | good |
| [32] | + | + | O | + | + | + | + | + | O | − | O | O | − | + | good |
| [72] | + | + | + | + | − | + | + | + | + | − | + | O | + | + | good |
| [73] | + | + | + | + | − | + | + | O | + | − | + | + | + | + | good |
| [74] | + | + | − | + | − | − | − | + | + | − | + | O | O | + | fair |
| [75] | + | + | + | − | − | + | − | O | + | − | + | O | O | − | fair |
| [76] | + | + | − | + | − | + | + | − | + | − | + | − | − | + | poor |
| [77] | − | − | − | + | − | + | + | − | − | − | − | O | O | − | poor |
| [78] | + | + | − | + | − | + | + | − | + | − | − | − | O | + | poor |
| [79] | + | + | − | + | − | + | + | − | + | − | − | O | O | − | poor |
| [80] | + | + | − | + | − | + | + | + | + | − | − | O | + | − | fair |
| [81] | − | + | − | − | − | + | − | − | + | − | + | − | + | − | poor |
| [82] | + | + | − | + | − | − | − | O | + | − | − | O | O | + | poor |
| [83] | − | − | − | − | − | − | − | − | − | − | − | O | O | − | poor |
| [84] | + | + | − | + | − | + | + | − | + | + | + | O | − | − | fair |
| Author (Year) | RTW Specified As | 1 Week | 2 Weeks | 1 Month | 1.5 Months | 2 Months | 3 Months | 4.5 Months | 6 Months | 12 Months | 24 Months | Not Specified/Various |
|---|---|---|---|---|---|---|---|---|---|---|---|---|
| Ackland (2013) [48] | Return to full duties | 30.9% | 43.2% | 57.4% | 71.0% | 79.6% | 89.5% | |||||
| Biering-Sorensen (2014) [50] | RTW | 42.0% | 50.6% | 56.0% | ||||||||
| Borchgrevink (1996) [47] | Return to part-time and full-time work | 72.5% | ||||||||||
| Buitenhuis (2009) [52] | Return to paid employment | 79.4% | 77.2% | 76.0% | ||||||||
| Dufton (2006) [40] | RTW | 46.6% | ||||||||||
| Ettlin (1992) [46] | Return to partial and full employment | 71.4% | 100% | 100% | ||||||||
| Geldman (2008) [57] | Return to usual work | 50.0% | 79.8% | |||||||||
| Gopinath (2015) * [42] | RTW | 85.3% | 82.3% | |||||||||
| Gopinath (2017) * [41] | RTW | 82.0% | ||||||||||
| Gray (2018) [29] | Sustained RTW | 84.0% | ||||||||||
| Gun (2005) [59] | RTW | 90.0% | ||||||||||
| Holm (1999) [62] | Return to full work capacity | Year 1989: 63.0% Year 1994: 69.0% | ||||||||||
| Hours (2014) [31] | RTW | 90.0% | ||||||||||
| Kasch (2001) [64] | RTW | 92.2% | ||||||||||
| Kasch (2011) [65] | RTW | 91.0% | ||||||||||
| Kinzel (2006) [45] | RTW | 36.0% | ||||||||||
| Mankovsky-Arnold (2017) [69] | RTW | 27.0% | ||||||||||
| Nguyen (2019) [32] | RTW | Low risk: 91.0% High risk: 54.6% | ||||||||||
| O’Hara (2018) [72] | RTW | 63.0% | ||||||||||
| Pieske (2010) [73] | Able to work | 90.1% | 96.3% | |||||||||
| Prang (2015) [74] | RTW | 74.0% | ||||||||||
| Rosenthal (1979) [77,85] | RTW | 50.0% | ||||||||||
| Sarrami (2016) [78] | RTW | 37.0% | ||||||||||
| Schreiber (2009) [79] | Return to employment | 74.2% | ||||||||||
| Scuderi (2005) [80] | RTW | 79.3% |
| Author (Year) | Sick Leave Specified As | Duration of Reported Sick Leave (E.G., Percentage of Participants that Reported Taking Sick Leave of the Specified Duration) | Reported Sick Leave Measured at Time Point (E.G., Percentage of Participants that Reportedly Used Sick Leave at a Certain Time Point) | Not Specified/Various | ||||||||
|---|---|---|---|---|---|---|---|---|---|---|---|---|
| <2 weeks | >2 weeks, <1 month | >1 month | Baseline | 1 month | 3 months | 6 months | 12 months | 24 months | 3 years | |||
| Barbosa (2013) [49] | Time off work | 20.0% | 10.9% | 20.0% | ||||||||
| Berecki-Gisolf (2013) [7] | Work disability days | 27.0% of non-hospital group; 44.0% of 1–7 days hospital stay group; 29.0% of >1-week hospital group | ||||||||||
| Biering-Sorensen (2014) [50] | Sick listed | 78.0% | 47.0% | 20.0% | 8.0% | |||||||
| Borchgrevink (1996) [47] | Registered for sick leave | 14.0% | 8.0% | |||||||||
| Brison (2000) [51] | Missing work | 62.0% | ||||||||||
| Buitenhuis (2009) [52] | Being on work disability | 33.9% | 18.9% | 12.6% | ||||||||
| Bylund (1998) [54] | Sick leave | 40.0% | ||||||||||
| Carroll (2012) [55] | Off work | 17.9% | 10.5% | 7.1% | ||||||||
| Dufton (2012) [39] | Off work | At discharge assessment: group 1 56.9%; Group 2 52.8%; Group 3 32.7%. | ||||||||||
| Herrström (2000) [60] | Sick leave | 12.0% | 32% | |||||||||
| Hildingsson (1990) [61] | Sick leave | 14.0% | ||||||||||
| Hours (2014) [31] | Sickness leave | 52.6% | ||||||||||
| Miettinen (2004) [43] | Sick leave | 12.6% | 14.8% | 11.5% | 39% | |||||||
| Pieske (2010) [73] | Inability to work | 9.9% | 6.2% | 3.7% | ||||||||
| Rebbeck (2006) [76] | Workdays off | 24.4% | 20.2% | 16.3% | ||||||||
| Smed (1997) [81] | Sick leave | 38.5% | 15.4% | 61.5% | ||||||||
| Virani (2001) [83] | Time off work | 36.0% | ||||||||||
| Vos (2008) [84] | Sick leave | 36.0% | ||||||||||
Publisher’s Note: MDPI stays neutral with regard to jurisdictional claims in published maps and institutional affiliations. |
© 2021 by the authors. Licensee MDPI, Basel, Switzerland. This article is an open access article distributed under the terms and conditions of the Creative Commons Attribution (CC BY) license (https://creativecommons.org/licenses/by/4.0/).
Share and Cite
Gane, E.M.; Plinsinga, M.L.; Brakenridge, C.L.; Smits, E.J.; Aplin, T.; Johnston, V. The Impact of Musculoskeletal Injuries Sustained in Road Traffic Crashes on Work-Related Outcomes: A Systematic Review. Int. J. Environ. Res. Public Health 2021, 18, 11504. https://doi.org/10.3390/ijerph182111504
Gane EM, Plinsinga ML, Brakenridge CL, Smits EJ, Aplin T, Johnston V. The Impact of Musculoskeletal Injuries Sustained in Road Traffic Crashes on Work-Related Outcomes: A Systematic Review. International Journal of Environmental Research and Public Health. 2021; 18(21):11504. https://doi.org/10.3390/ijerph182111504
Chicago/Turabian StyleGane, Elise M., Melanie L. Plinsinga, Charlotte L. Brakenridge, Esther J. Smits, Tammy Aplin, and Venerina Johnston. 2021. "The Impact of Musculoskeletal Injuries Sustained in Road Traffic Crashes on Work-Related Outcomes: A Systematic Review" International Journal of Environmental Research and Public Health 18, no. 21: 11504. https://doi.org/10.3390/ijerph182111504
APA StyleGane, E. M., Plinsinga, M. L., Brakenridge, C. L., Smits, E. J., Aplin, T., & Johnston, V. (2021). The Impact of Musculoskeletal Injuries Sustained in Road Traffic Crashes on Work-Related Outcomes: A Systematic Review. International Journal of Environmental Research and Public Health, 18(21), 11504. https://doi.org/10.3390/ijerph182111504

