Does Low-Carbon City Pilot Policy Alleviate Urban Haze Pollution? Empirical Evidence from a Quasi-Natural Experiment in China
Abstract
:1. Introduction
2. Literature Review
3. Theoretical Analysis and Research Hypothesis
4. The Model Setting, Variables and Data Description
4.1. Model Setting
4.2. Variable Selection
4.2.1. Explained Variable
4.2.2. Core Explanatory Variable
4.2.3. Control Variables
4.2.4. Mediating Variables
4.3. Data Description
5. Analysis of Empirical Results
5.1. Parallel Trend Test
5.2. Analysis of Benchmark Regression Results
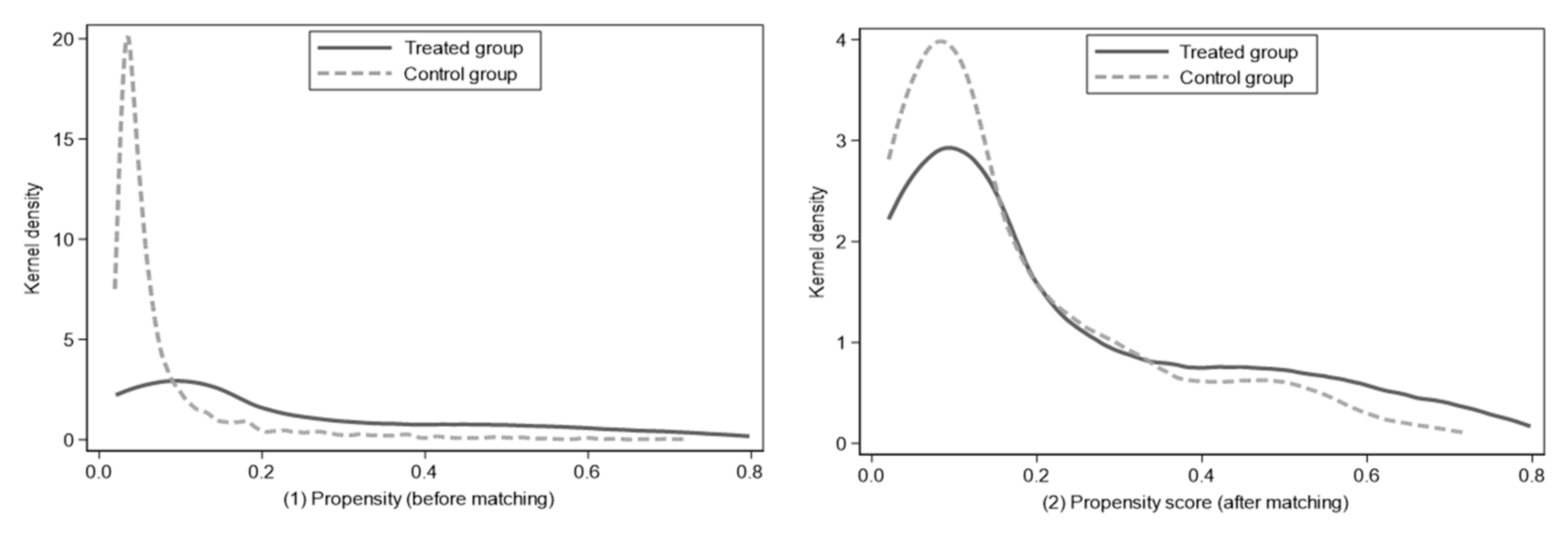
5.3. Estimation Results of PSM-DID Method
5.4. Mechanism Test of LCCP on Haze Pollution
5.5. Robustness Test
5.6. Heterogeneity Test
5.6.1. Heterogeneity Analysis of Urban Resource Dependence
5.6.2. Analysis of Urban Regional Heterogeneity
5.6.3. Analysis Results of Urban Scale Heterogeneity
5.7. Discussion on the Empirical Results
5.7.1. Discussion on the Benchmark Regression Results
5.7.2. Discussion on the Mechanism Test
5.7.3. Discussion on the Heterogeneity Test
6. Further Analysis
6.1. Global Spatial Correlation Test
6.2. Spatial Econometric Model Test and Result Analysis
7. Conclusions and Policy Recommendations
Author Contributions
Funding
Institutional Review Board Statement
Informed Consent Statement
Data Availability Statement
Conflicts of Interest
References
- Wu, H.; Hao, Y.; Weng, J.H. How does energy consumption affect China’s urbanization? New evidence from dynamic threshold panel models. Energy Policy 2019, 127, 24–38. [Google Scholar] [CrossRef]
- He, G.; Liu, T.; Zhou, M. Straw burning, PM2.5, and death: Evidence from China. J. Dev. Econ. 2020, 145, 102468. [Google Scholar] [CrossRef] [Green Version]
- Ran, Q.; Zhang, J.; Hao, Y. Does environmental decentralization exacerbate China’s carbon emissions? Evidence based on dynamic threshold effect analysis. Sci. Total Environ. 2020, 721, 137656. [Google Scholar] [CrossRef] [PubMed]
- Yang, X.; Wu, H.; Ren, S.; Ran, Q.; Zhang, J. Does the development of the internet contribute to air pollution control in China? Mechanism discussion and empirical test. Struct. Chang. Econ. Dyn. 2021, 56, 207–224. [Google Scholar] [CrossRef]
- Xu, B.; Lin, B.Q. Regional differences of pollution emissions in China: Contributing factors and mitigation on strategies. J. Clean. Prod. 2016, 112, 1454–1463. [Google Scholar] [CrossRef]
- Xu, B.; Lin, B. What cause large regional differences in PM2.5 pollutions in China? Evidence from quantile regression model. J. Clean. Prod. 2018, 174, 447–461. [Google Scholar] [CrossRef]
- Huang, K.; Zhuang, G.; Wang, Q.; Fu, J.S.; Lin, Y.; Liu, T.; Han, L.; Deng, C. Extreme haze pollution in Beijing during January 2013: Chemical characteristics, formation mechanism and role of fog processing. Atmos. Chem. Phys. 2014, 14, 7517–7556. [Google Scholar]
- Liu, P.; Ye, C.; Xue, C.; Zhang, C.; Mu, Y.; Sun, X. Formation mechanisms of atmospheric nitrate and sulfate during the winter haze pollution periods in Beijing: Gas-phase, heterogeneous and aqueous-phase chemistry. Atmos. Chem. Phys. 2020, 20, 4153–4165. [Google Scholar] [CrossRef] [Green Version]
- Huang, C.; Chen, C.H.; Li, L.; Cheng, Z.; Wang, H.L.; Huang, H.Y.; Streets, D.G.; Wang, Y.J.; Zhang, G.F.; Chen, Y.R. Emission inventory of anthropogenic air pollutants and VOC species in the Yangtze River Delta region, China. Atmos. Chem. Phys. 2011, 11, 4105–4120. [Google Scholar] [CrossRef] [Green Version]
- Querol, X.; Alastuey, A.; Ruiz, C.R.; Artiñano, B.; Hansson, H.C.; Harrison, R.; Buringh, E.; Brink, H.T.; Lutz, M.; Bruckmann, P.; et al. Speciation and origin of PM10 and PM2.5 in selected European cities. Atmos. Environ. 2004, 38, 6547–6555. [Google Scholar] [CrossRef]
- Wang, L.; Xu, J.; Yang, J.; Zhao, X.; Wei, W.; Cheng, D.; Pan, X.; Su, J. Understanding haze pollution over the southern Hebei area of China using the CMAQ model. Atmos. Environ. 2012, 56, 69–79. [Google Scholar] [CrossRef]
- Williams, A.M.; Phaneuf, D.J.; Barrett, M.A.; Su, J.G. Short-term impact of PM2.5 on contemporaneous asthma medication use: Behavior and the value of pollution reductions. Proc. Natl. Acad. Sci. USA 2019, 116, 5246–5253. [Google Scholar] [CrossRef] [Green Version]
- Song, Y.; Zhou, A.; Zhang, M.; Wang, H. Assessing the effects of haze pollution on subjective well-being based on Chinese General Social Survey. J. Clean. Prod. 2019, 235, 574–582. [Google Scholar] [CrossRef]
- Hou, J.; An, Y.; Song, H.; Chen, J. The Impact of haze pollution on regional eco-economic treatment efficiency in China: An environmental regulation perspective. Int. J. Environ. Res. Public Health 2019, 16, 4059. [Google Scholar] [CrossRef] [Green Version]
- Hao, Y.; Niu, X.; Wang, J. Impacts of haze pollution on China’s tourism industry: A system of economic loss analysis. J. Environ. Manage. 2021, 295, 113051. [Google Scholar] [CrossRef] [PubMed]
- Chen, J.; Zhou, C.; Wang, S.; Li, S. Impacts of energy consumption structure, energy intensity, economic growth, urbanization on PM2.5 concentrations in countries globally. Appl. Energy 2018, 230, 94–105. [Google Scholar] [CrossRef]
- Xie, Q.; Xu, X.; Liu, X. Is there an EKC between economic growth and smog pollution in China? New evidence from semiparametric spatial autoregressive models. J. Clean. Prod. 2019, 220, 873–883. [Google Scholar] [CrossRef]
- Gan, T.; Liang, W.; Yang, H.; Liao, X. The effect of Economic Development on haze pollution (PM2.5) based on a spatial perspective: Urbanization as a mediating variable. J. Clean. Prod. 2020, 266, 121880. [Google Scholar] [CrossRef]
- Zhou, Q.; Wang, C.; Fang, S. Application of geographically weighted regression (GWR) in the analysis of the cause of haze pollution in China. Atmos. Pollut. Res. 2019, 10, 835–846. [Google Scholar] [CrossRef]
- Xu, X.; Xu, Y.; Xu, H.; Wang, C.; Jia, R. Does the expansion of highways contribute to urban haze pollution?—Evidence from Chinese cities. J. Clean. Prod. 2021, 314, 128018. [Google Scholar] [CrossRef]
- Zhang, F.; Wang, F.; Yao, S. High-speed rail accessibility and haze pollution in China: A spatial econometrics perspective. Transp. Res. Part D Transp. Environ. 2021, 94, 102802. [Google Scholar] [CrossRef]
- Wang, S.; Gao, S.; Li, S.; Feng, K. Strategizing the relation between urbanization and air pollution: Empirical evidence from global countries. J. Clean. Prod. 2020, 243, 118615. [Google Scholar] [CrossRef]
- Feng, Y.; Wang, X. Effects of urban sprawl on haze pollution in China based on dynamic spatial Durbin model during 2003–2016. J. Clean. Prod. 2020, 242, 118368. [Google Scholar] [CrossRef]
- Li, X.; Xu, Y.; Yao, X. Effects of industrial agglomeration on haze pollution: A Chinese city-level study. Energy Policy 2021, 148, 111928. [Google Scholar] [CrossRef]
- Lu, W.; Tam, V.W.; Du, L.; Chen, H. Impact of industrial agglomeration on haze pollution: New evidence from Bohai Sea Economic Region in China. J. Clean. Prod. 2021, 280, 124414. [Google Scholar] [CrossRef]
- Hou, J.; Wang, J.; Chen, J.; He, F. Does urban haze pollution inversely drive down the energy intensity? A perspective from environmental regulation. Sustain. Dev. 2020, 28, 343–351. [Google Scholar] [CrossRef]
- Dong, F.; Li, J.; Zhang, X.; Zhu, J. Decoupling relationship between haze pollution and economic growth: A new decoupling index. Ecol. Indic. 2021, 129, 107859. [Google Scholar] [CrossRef]
- Cheng, Z.; Li, L.; Liu, J. The impact of foreign direct investment on urban PM2.5 pollution in China. J. Environ. Manag. 2020, 265, 110532. [Google Scholar] [CrossRef] [PubMed]
- Xu, Y.; Fan, X.; Zhang, Z.; Zhang, R. Trade liberalization and haze pollution: Evidence from China. Ecol. Indic. 2020, 109, 105825. [Google Scholar] [CrossRef]
- Yi, M.; Wang, Y.; Sheng, M.; Sharp, B.; Zhang, Y. Effects of heterogeneous technological progress on haze pollution: Evidence from China. Ecol. Econ. 2020, 169, 106533. [Google Scholar] [CrossRef]
- Zhou, Q.; Zhang, X.; Shao, Q.; Wang, X. The non-linear effect of environmental regulation on haze pollution: Empirical evidence for 277 Chinese cities during 2002–2010. J. Environ. Manag. 2019, 248, 109274. [Google Scholar] [CrossRef]
- Zhang, M.; Liu, X.; Sun, X.; Wang, W. The influence of multiple environmental regulations on haze pollution: Evidence from China. Atmos. Pollut. Res. 2020, 11, 170–179. [Google Scholar] [CrossRef]
- Zhou, Q.; Zhong, S.; Shi, T.; Zhang, X. Environmental regulation and haze pollution: Neighbor-companion or neighbor-beggar? Energy Policy 2021, 151, 112183. [Google Scholar] [CrossRef]
- Tai, A.; Mickley, L.J.; Jacob, D.J. Correlations between fine particulate matter (PM2.5) and meteorological variables in the United States: Implications for the sensitivity of PM2.5 to climate change. Atmos. Environ. 2010, 44, 3976–3984. [Google Scholar] [CrossRef]
- Zhong, J.; Zhang, X.; Dong, Y.; Wang, Y.; Liu, C.; Wang, J.; Che, H. Feedback effects of boundary-layer meteorological factors on cumulative explosive growth of PM2.5 during winter heavy pollution episodes in Beijing from 2013 to 2016. Atmos. Chem. Phys. 2018, 18, 247–258. [Google Scholar] [CrossRef] [Green Version]
- Xu, Y.; Xue, W.; Lei, Y.; Huang, Q.; Zhao, Y.; Cheng, S.; Wang, J. Spatiotemporal variation in the impact of meteorological conditions on PM2.5 pollution in China from 2000 to 2017. Atmos. Environ. 2020, 223, 117215. [Google Scholar] [CrossRef]
- Song, M.; Wang, S.; Zhang, H. Could environmental regulation and RD tax incentives affect green product innovation? J. Clean. Prod. 2020, 258, 120849. [Google Scholar] [CrossRef]
- Feng, T.; Lin, Z.; Du, H.; Qiu, Y.; Zuo, J. Does low-carbon pilot city program reduce carbon intensity? Evidence from Chinese cities. Res. Int. Bus. Finance. 2021, 58, 101450. [Google Scholar] [CrossRef]
- Fu, Y.; He, C.; Luo, L. Does the low-carbon city policy make a difference? Empirical evidence of the pilot scheme in China with DEA and PSM-DID. Ecol. Indic. 2021, 122, 107238. [Google Scholar] [CrossRef]
- Lin, J.; Long, C.; Yi, C. Has central environmental protection inspection improved air quality? Evidence from 291 Chinese cities. Environ. Impact Assess. Rev. 2021, 90, 106621. [Google Scholar] [CrossRef]
- Cheng, J.; Yi, J.; Dai, S.; Xiong, Y. Can low-carbon city construction facilitate green growth? Evidence from China’s pilot low-carbon city initiative. J. Clean. Prod. 2019, 231, 1158–1170. [Google Scholar] [CrossRef]
- Chen, H.; Guo, W.; Feng, X.; Wei, W.; Liu, H.; Feng, Y.; Gong, W. The impact of low-carbon city pilot policy on the total factor productivity of listed enterprises in China. Resour. Conserv. Recycl. 2021, 169, 105457. [Google Scholar] [CrossRef]
- Ma, J.; Hu, Q.; Shen, W.; Wei, X. Does the low-carbon city pilot policy promote green technology innovation? Based on green patent data of Chinese A-Share Listed Companies. Int. J. Environ. Res. Public Health 2021, 18, 3695. [Google Scholar] [CrossRef] [PubMed]
- Grossman, G.M.; Krueger, A.B. Economic growth and the environment. Q. J. Econ. 1995, 110, 353–377. [Google Scholar] [CrossRef] [Green Version]
- Brock, W.A.; Taylor, M.S. Economic growth and the environment: A review of theory and empirics. Handb. Econ. Growth 2005, 1, 1749–1821. [Google Scholar]
- Del Río, P.; Bleda, M. Theoretical approaches to dynamic efficiency in policy contexts: The case of renewable electricity. In The Dynamics of Environmental and Economic Systems; Springer: Dordrecht, The Netherlands, 2012; pp. 45–60. [Google Scholar]
- Mason, L.M.; Mikhailovich, N.; Mudd, G.M.; Sharpe, S.A.; Giurco, D. Advantage Australia: Resource Governance and Innovation for the Asian century; prepared for CSIRO Minerals Down Under Flagship by the Institute for Sustainable Futures; UTS: Sydney, Australia; Monash University: Melbourne, Australia, 2013; ISBN 978-1-922173-50-8. [Google Scholar]
- Sun, P.; Nie, W.; Wang, T.; Chi, X.; Huang, X.; Xu, Z.; Ding, A. Impact of air transport and secondary formation on haze pollution in the Yangtze River Delta: In situ online observations in Shanghai and Nanjing. Atmos. Environ. 2020, 225, 117350. [Google Scholar] [CrossRef]
- Yu, Y.; Zhang, N. Low-carbon city pilot and carbon emission efficiency: Quasi-experimental evidence from China. Energy Econ. 2021, 96, 105125. [Google Scholar] [CrossRef]
- Baron, R.M.; Kenny, D.A. The moderator–mediator variable distinction in social psychological research: Conceptual, strategic, and statistical considerations. J. Personal. Soc. Psychol. 1986, 51, 1173. [Google Scholar] [CrossRef]
- Christodoulakis, N.M.; Kalyvitis, S.C.; Lalas, D.P.; Pesmajoglou, S. Forecasting energy consumption and energy related CO2 emissions in Greece: An evaluation of the consequences of the Community Support Framework II and natural gas penetration. Energy Econ. 2000, 22, 395–422. [Google Scholar] [CrossRef]
- White, H.; Sabarwal, S. Quasi-experimental design and methods. Methodol. Briefs Impact Eval. 2014, 8, 1–16. [Google Scholar]
- An, T.; Xu, C.; Liao, X. The impact of FDI on environmental pollution in China: Evidence from spatial panel data. Environ. Sci. Pollut. Res. 2021, 1–13. [Google Scholar] [CrossRef]
- Wang, H.; Chen, Z.; Wu, X.; Nie, X. Can a carbon trading system promote the transformation of a low-carbon economy under the framework of the porter hypothesis?—Empirical analysis based on the PSM-DID method. Energy Policy 2019, 129, 930–938. [Google Scholar] [CrossRef]
- Song, M.; Zhao, X.; Shang, Y. The impact of low-carbon city construction on ecological efficiency: Empirical evidence from quasi-natural experiments. Resour. Conserv. Recycl. 2020, 157, 104777. [Google Scholar] [CrossRef]
- Yan, D.; Kong, Y.; Ren, X.; Shi, Y.; Chiang, S. The determinants of urban sustainability in Chinese resource-based cities: A panel quantile regression approach. Sci. Total Environ. 2019, 686, 1210–1219. [Google Scholar] [CrossRef] [PubMed]
- Liu, T.; Wang, Y.; Song, Q.; Qi, Y. Low-carbon governance in China–Case study of low carbon industry park pilot. J. Clean. Prod. 2018, 174, 837–846. [Google Scholar] [CrossRef]
- Deng, W.; Peng, Z.; Tang, Y.T. A quick assessment method to evaluate sustainability of urban built environment: Case studies of four large-sized Chinese cities. Cities 2019, 89, 57–69. [Google Scholar] [CrossRef]
- Toma, C.; Alexandru, A.; Popa, M.; Zamfiroiu, A. IoT solution for smart cities’ pollution monitoring and the security challenges. Sensors 2019, 19, 3401. [Google Scholar] [CrossRef] [PubMed] [Green Version]
- Song, Q.; Qin, M.; Wang, R.; Qi, Y. How does the nested structure affect policy innovation? Empirical research on China’s low carbon pilot cities. Energy Policy 2020, 144, 111695. [Google Scholar] [CrossRef]
- Yang, X.; Zhang, J.; Ren, S.; Ran, Q. Can the new energy demonstration city policy reduce environmental pollution? Evidence from a quasi-natural experiment in China. J. Clean. Prod. 2021, 287, 125015. [Google Scholar] [CrossRef]





| Variable | Obs | Mean | Std. Dev. | Min | Max |
|---|---|---|---|---|---|
| lnPM2.5 | 3780 | 3.5030 | 0.5038 | 1.5425 | 4.5093 |
| LCCP | 3780 | 0.0780 | 0.2682 | 0 | 1 |
| lnRGDP | 3780 | 10.3966 | 0.7572 | 8.1098 | 12.9596 |
| lnHUM | 3779 | −0.1486 | 1.3729 | −36.8414 | 2.7044 |
| lnFDI | 3737 | −0.1466 | 1.3627 | −10.2046 | 4.3428 |
| lnFIN | 3780 | −0.3187 | 0.5026 | −2.011 | 2.8402 |
| lnINFOR | 3771 | −2.3272 | 0.9628 | −6.309 | 1.0286 |
| lnPATENT | 3763 | 6.5083 | 1.8727 | 0 | 11.9045 |
| lnIND | 3780 | 3.5996 | 0.2468 | 2.1494 | 4.4466 |
| lnPELE | 3780 | 7.0711 | 1.1950 | 3.5653 | 11.56 |
| Variable | (1) | (2) | (3) | (4) | (5) | (6) |
|---|---|---|---|---|---|---|
| lnPM2.5 | lnPM2.5 | lnPM2.5 | lnPM2.5 | lnPM2.5 | lnPM2.5 | |
| LCCP | −0.0740 ** | −0.0670 ** | −0.0883 *** | −0.1040 *** | −0.0763 *** | −0.1429 *** |
| (−2.42) | (−2.09) | (−2.77) | (−3.37) | (−2.66) | (−1.88) | |
| lnRGDP | −0.0082 | −0.0511 *** | −0.0743 *** | −0.0866 *** | −0.1558 *** | |
| (−0.72) | (−4.12) | (−6.16) | (−6.68) | (−9.38) | ||
| lnHUM | −0.0546 *** | −0.0297 *** | −0.0520 *** | −0.0611 *** | ||
| (−8.19) | (−4.51) | (−8.44) | (−9.70) | |||
| lnFDI | 0.1077 *** | 0.1113 *** | 0.1143 *** | |||
| (17.74) | (19.74) | (20.29) | ||||
| lnFIN | −0.4540 *** | −0.4453 *** | ||||
| (−24.60) | (−24.15) | |||||
| lnINFOR | −0.0843 *** | |||||
| (−6.59) | ||||||
| Cons | 3.5088 *** | 3.5936 *** | 4.0497 *** | 4.2742 *** | 2.4586 *** | 1.5450 *** |
| (41.39) | (30.60) | (31.37) | (34.09) | (17.85) | (7.94) | |
| Time-fixed | Yes | Yes | Yes | Yes | Yes | Yes |
| City-fixed | Yes | Yes | Yes | Yes | Yes | Yes |
| N | 3780 | 3780 | 3779 | 3736 | 3736 | 3727 |
| R2 | 0.002 | 0.002 | 0.019 | 0.095 | 0.221 | 0.231 |
| F | 5.870 | 3.197 | 24.54 | 97.81 | 211.9 | 186.2 |
| Mean | %Bias | T-Value | p-Value | ||
|---|---|---|---|---|---|
| Variable | Treated | Control | |||
| lnRGDP | 11.131 | 11.161 | −4.6 | −0.67 | 0.504 |
| lnHUM | 0.7967 | 0.8024 | −0.5 | −0.07 | 0.947 |
| lnFDI | 0.7356 | 0.7472 | −0.9 | −0.12 | 0.906 |
| lnFIN | 0.0209 | 0.062 | −7.9 | −0.9 | 0.366 |
| lnINFOR | −1.3386 | −1.318 | −2.5 | −0.34 | 0.731 |
| Variables | (1) | (2) | (3) | (4) | (5) | (6) |
|---|---|---|---|---|---|---|
| lnPM2.5 | lnPM2.5 | lnPM2.5 | lnPM2.5 | lnPM2.5 | lnPM2.5 | |
| LCCP | −0.0877 *** | −0.1947 *** | −0.1933 *** | −0.2057 *** | −0.1997 *** | −0.1529 *** |
| (0.0319) | (0.0314) | (0.0314) | (0.0307) | (0.0288) | (0.0282) | |
| lnRGDP | −0.2527 *** | −0.2550 *** | −0.2383 *** | −0.0505 ** | 0.0169 | |
| (0.0201) | (0.0201) | (0.0197) | (0.0209) | (0.0211) | ||
| lnHUM | −0.0292 *** | −0.0505 *** | 0.0104 | 0.0146 | ||
| (0.0107) | (0.0105) | (0.0104) | (0.0101) | |||
| lnFDI | 0.0948 *** | 0.1078 *** | 0.1101 *** | |||
| (0.0070) | (0.0066) | (0.0065) | ||||
| lnFIN | −0.4057 *** | −0.3692 *** | ||||
| (0.0211) | (0.0208) | |||||
| lnINFOR | −0.2050 *** | |||||
| (0.0165) | ||||||
| Cons | 3.5199 *** | 5.6130 *** | 5.5900 *** | 5.4297 *** | 3.4117 *** | 2.1826 *** |
| (0.0102) | (0.2000) | (0.2000) | (0.1955) | (0.2114) | (0.2286) | |
| N | 2780 | 2779 | 2778 | 2735 | 2735 | 2726 |
| R2 | 0.0030 | 0.1340 | 0.1360 | 0.1890 | 0.2860 | 0.3250 |
| (1) | (2) | (3) | (4) | (5) | (6) | (7) | |
|---|---|---|---|---|---|---|---|
| Intermediary Effect | Technological Innovation | Industrial Structure | Energy Consumption | ||||
| Explained Variable | lnPM2.5 | lnPATENT | lnPM2.5 | lnIND | lnPM2.5 | lnPELE | lnPM2.5 |
| LCCP | −0.1429 *** | 0.3534 *** | −0.1634 *** | 0.5445 *** | −0.124 *** | −0.1967 *** | −0.1371 *** |
| (0.0274) | (0.0252) | (0.0281) | (0.136) | (0.0271) | (0.05) | (0.0275) | |
| M | −0.058 *** | −0.3474 *** | 0.0294 *** | ||||
| (0.0178) | (0.0326) | (0.009) | |||||
| Control | Yes | Yes | Yes | Yes | Yes | Yes | Yes |
| Cons | 2.3001 *** | −0.4538 *** | 2.3270 *** | 4.9035 *** | 4.0044 *** | 207,813 *** | −5.1346 *** |
| (0.1873) | (0.172) | (0.054) | (0.093) | (0.2441) | (0.3414) | (0.225) | |
| Sobel | 0.0205 | −0.0189 | −0.0058 | ||||
| (Z = 3.165, p = 0.0015) | (Z = −3.749, p = 0.000) | (Z = −2.517, p = 0.0118) | |||||
| Bootstrap test | 0.1634 | 0.124 | 0.1371 | ||||
| (direct effect) | (Z = −5.8112, p = 0.000) | (Z = −0.0271, p = 0.000) | (Z = −4.9945, p = 0.000) | ||||
| Bootstrap test | 0.0205 | 0.0189 | 0.0059 | ||||
| (indirect effect) | (Z = 3.165, p = 0.0015) | (Z = −3.749, p = 0.000) | (Z = −2.517, p = 0.0118) | ||||
| Indirect effect proportion | 14.36% | 13.23% | 4.06% | ||||
| R2 | 0.3143 | 0.8872 | 0.3163 | 0.2942 | 0.3347 | 0.5967 | 0.3163 |
| Variable | (1) | (2) | (3) | (4) |
|---|---|---|---|---|
| Placebo Test | SO2 as Explained Variable | Excluding 31 Key Cities | All Variables Lag For One Period | |
| LCCP | −0.047 | −0.2449 *** | −0.1321 *** | −0.1145 ** |
| (0.1612) | (0.0900) | (0.0439) | (0.0497) | |
| Control | Yes | Yes | Yes | Yes |
| Cons | −4.545 *** | 4.8123 *** | 3.0562 *** | 3.0519 *** |
| (0.2231) | (0.8963) | (0.4263) | (0.4829) | |
| Time-fixed | Yes | Yes | Yes | Yes |
| City-fixed | Yes | Yes | Yes | Yes |
| R2 | 0.3599 | 0.1279 | 0.3185 | 0.3371 |
| Variable | Non-Resource-Based | Resource-Based | ||
|---|---|---|---|---|
| (1) | (2) | (3) | (4) | |
| LCCP | −0.2049 *** | −0.2119 *** | −0.0542 | 0.00059 |
| (0.06200) | (0.0501) | (0.3395) | (0.03438) | |
| Control | No | Yes | No | Yes |
| Cons | 3.4325 *** | 1.1012 *** | 3.5622 *** | 1.5578 *** |
| (0.0139) | (0.2936) | (0.0105) | (0.2633) | |
| Time-fixed | Yes | Yes | Yes | Yes |
| City-fixed | Yes | Yes | Yes | Yes |
| N | 1502 | 1502 | 2268 | 2225 |
| R2 | 0.0072 | 0.4019 | 0.0011 | 0.1440 |
| Variable | Urban Regional Heterogeneity | |||
|---|---|---|---|---|
| Eastern Region | Central and Western Region | |||
| (1) | (2) | (3) | (4) | |
| LCCP | −0.1557 *** | −0.1643 *** | −0.2413 *** | −0.0261 |
| (0.0452) | (0.0416) | (0.0509) | (0.0446) | |
| Control | No | Yes | No | Yes |
| Cons | 3.4552 *** | 1.2763 *** | 3.5111 *** | 2.2169 *** |
| (0.0322) | (0.3352) | (0.014) | (0.3199) | |
| Time-fixed | Yes | Yes | Yes | Yes |
| City-fixed | Yes | Yes | Yes | Yes |
| N | 1330 | 1297 | 1302 | 1286 |
| R2 | 0.0365 | 0.2077 | 0.017 | 0.3629 |
| Variable | Urban Scale Heterogeneity | ||
|---|---|---|---|
| (1) Large-Sized | (2) Middle-Sized | (3) Small-Sized | |
| LCCP | −0.1148 *** | −0.3041 | −0.0753 |
| (0.0274) | (0.2888) | (0.0941) | |
| Control | Yes | Yes | Yes |
| Cons | 2.0387 *** | 5.7142 *** | 2.6142 *** |
| (0.187) | (1.6989) | (1.0726) | |
| Time-fixed | Yes | Yes | Yes |
| City-fixed | Yes | Yes | Yes |
| N | 3561 | 116 | 49 |
| R2 | 0.2811 | 0.2457 | 0.4764 |
| Year | 2005 | 2006 | 2007 | 2008 | 2009 | 2010 | 2011 |
|---|---|---|---|---|---|---|---|
| Moran’s I | 0.189 *** | 0.179 *** | 0.201 *** | 0.190 *** | 0.182 *** | 0.186 *** | 0.187 *** |
| Z-value | (25.739) | (24.467) | (27.322) | (25.837) | (24.853) | (25.415) | (25.494) |
| Year | 2012 | 2013 | 2014 | 2015 | 2016 | 2017 | 2018 |
| Moran’s I | 0.181 *** | 0.192 *** | 0.184 *** | 0.221 *** | 0.204 *** | 0.211 *** | 0.218 *** |
| Z-value | (24.705) | (26.185) | (25.036) | (30.082) | (27.767) | (28.785) | (29.591) |
| Index | Value | p-Value | Index | Value | p-Value |
|---|---|---|---|---|---|
| LM-lag | 5711.605 | 0.000 | LM-error | 7663.016 | 0.000 |
| Robust LM-lag | 19.549 | 0.000 | Robust LM-error | 1970.960 | 0.000 |
| LR-lag | 250.19 | 0.000 | LR-error | 264.85 | 0.000 |
| WALD-SAR | 258.34 | 0.000 | WALD-SEM | 273.89 | 0.000 |
| Hausman | 4.92 | 0.002 |
| Variable | Haze Pollution | |||
|---|---|---|---|---|
| (1) | (2) | (3) | (4) | |
| Main | LR-Direct | LR-Indirect | LR-Total | |
| LCCP | −0.2217 ** | −0.1528 ** | −0.0871 * | −0.2345 ** |
| (−3.14) | (−1.71) | (−1.81) | (−3.52) | |
| ρ | 0.9861 *** | |||
| (266.09) | ||||
| sigma2_e | 0.0646 *** | |||
| (4.315) | ||||
| Control | Yes | Yes | Yes | Yes |
| Time-fixed | Yes | Yes | Yes | Yes |
| City-fixed | Yes | Yes | Yes | Yes |
| R2 | 0.041 | 0.041 | 0.041 | 0.041 |
Publisher’s Note: MDPI stays neutral with regard to jurisdictional claims in published maps and institutional affiliations. |
© 2021 by the authors. Licensee MDPI, Basel, Switzerland. This article is an open access article distributed under the terms and conditions of the Creative Commons Attribution (CC BY) license (https://creativecommons.org/licenses/by/4.0/).
Share and Cite
Yan, J.; Zhao, J.; Yang, X.; Su, X.; Wang, H.; Ran, Q.; Shen, J. Does Low-Carbon City Pilot Policy Alleviate Urban Haze Pollution? Empirical Evidence from a Quasi-Natural Experiment in China. Int. J. Environ. Res. Public Health 2021, 18, 11287. https://doi.org/10.3390/ijerph182111287
Yan J, Zhao J, Yang X, Su X, Wang H, Ran Q, Shen J. Does Low-Carbon City Pilot Policy Alleviate Urban Haze Pollution? Empirical Evidence from a Quasi-Natural Experiment in China. International Journal of Environmental Research and Public Health. 2021; 18(21):11287. https://doi.org/10.3390/ijerph182111287
Chicago/Turabian StyleYan, Jinling, Junfeng Zhao, Xiaodong Yang, Xufeng Su, Hailing Wang, Qiying Ran, and Jianliang Shen. 2021. "Does Low-Carbon City Pilot Policy Alleviate Urban Haze Pollution? Empirical Evidence from a Quasi-Natural Experiment in China" International Journal of Environmental Research and Public Health 18, no. 21: 11287. https://doi.org/10.3390/ijerph182111287
APA StyleYan, J., Zhao, J., Yang, X., Su, X., Wang, H., Ran, Q., & Shen, J. (2021). Does Low-Carbon City Pilot Policy Alleviate Urban Haze Pollution? Empirical Evidence from a Quasi-Natural Experiment in China. International Journal of Environmental Research and Public Health, 18(21), 11287. https://doi.org/10.3390/ijerph182111287
