Aberrant Mechanical Efficiency during Exercise Relates to Metabolic Health and Exercise Intolerance in Adolescents with Obesity
Abstract
:1. Introduction
2. Materials and Methods
2.1. Participants
2.2. Auxological Parameters and Blood Pressure
2.3. Biochemical Analyses
2.4. Cardiopulmonary Exercise Testing (CPET)
2.5. Statistical Analysis
3. Results
3.1. Biochemical Parameters
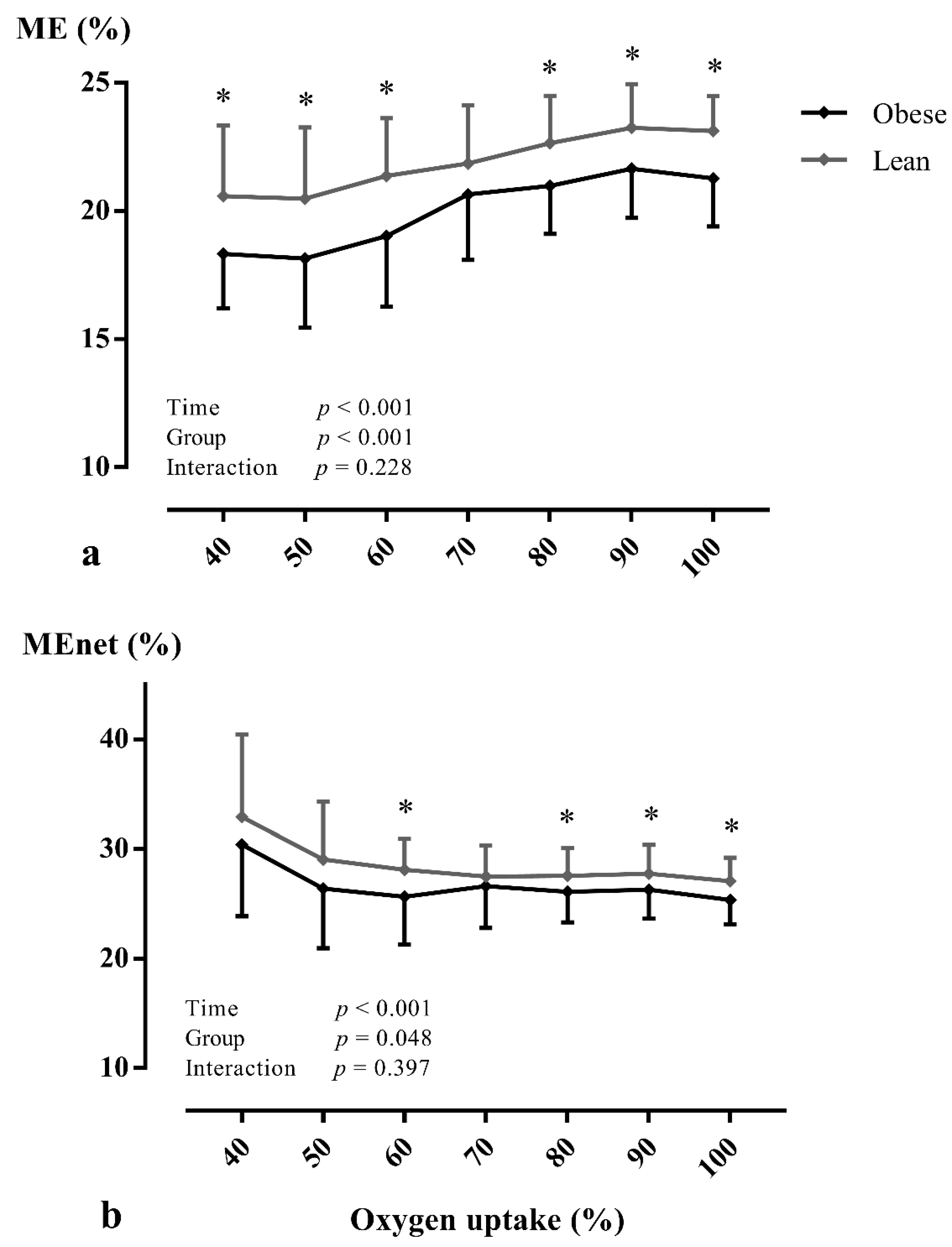
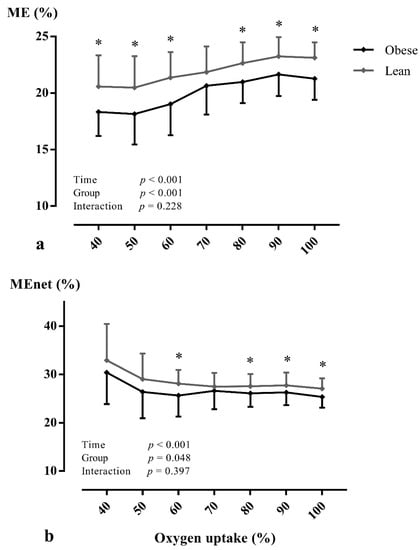
3.2. Exercise Tolerance and Mechanical Efficiency
3.3. Associations between Mechanical Efficiency and Exercise Tolerance or Metabolic Health
4. Discussion
Limitations and Future Directions
5. Conclusions
Supplementary Materials
Author Contributions
Funding
Institutional Review Board Statement
Informed Consent Statement
Data Availability Statement
Acknowledgments
Conflicts of Interest
References
- Abarca-Gómez, L.; Abdeen, Z.A.; Hamid, Z.A.; Abu-Rmeileh, N.M.; Acosta-Cazares, B.; Acuin, C. Worldwide trends in body-mass index, underweight, overweight, and obesity from 1975 to 2016: A pooled analysis of 2416 population-based measurement studies in 1289 million children, adolescents, and adults. Lancet 2017, 390, 2627–2642. [Google Scholar] [CrossRef] [Green Version]
- Bays, H. Adiposopathy, “sick fat,” Ockham’s razor, and resolution of the obesity paradox. Curr. Atheroscler. Rep. 2014, 16, 409. [Google Scholar] [CrossRef] [Green Version]
- Neef, M.; Weise, S.; Adler, M.; Sergeyev, E.; Dittrich, K.; Korner, A.; Kiess, W. Health impact in children and adolescents. Best Pract. Res. Clin. Endocrinol. Metab. 2013, 27, 229–238. [Google Scholar] [CrossRef] [PubMed]
- Finkelstein, E.A.; Graham, W.C.K.; Malhotra, R. Lifetime direct medical costs of childhood obesity. Pediatrics 2014, 133, 854–862. [Google Scholar] [CrossRef] [PubMed] [Green Version]
- Franssen, W.M.A.; Beyens, M.; Hatawe, T.A.; Frederix, I.; Verboven, K.; Dendale, P.; Hansen, D. Cardiac function in adolescents with obesity: Cardiometabolic risk factors and impact on physical fitness. Int. J. Obes. 2019, 43, 1400–1410. [Google Scholar] [CrossRef]
- Hansen, D.; Marinus, N.; Remans, M.; Courtois, I.; Cools, F.; Calsius, J.; Massa, G.; Takken, T. Exercise tolerance in obese vs. lean adolescents: A systematic review and meta-analysis. Obes. Rev. Off. J. Int. Assoc. Study Obes. 2014, 15, 894–904. [Google Scholar] [CrossRef]
- Jabbour, G.; Lambert, M.; O’Loughlin, J.; Tremblay, A.; Mathieu, M.E. Mechanical efficiency during a cycling test is not lower in children with excess body weight and low aerobic fitness. Obesity 2013, 21, 107–114. [Google Scholar] [CrossRef]
- Jabbour, G.; Majed, L. Mechanical Efficiency at Different Exercise Intensities Among Adolescent Boys with Different Body Fat Levels. Front. Physiol. 2019, 10, 265. [Google Scholar] [CrossRef] [Green Version]
- Jabbour, G.; Iancu, H.D. Mechanical efficiency improvement in relation to metabolic changes in sedentary obese adults. BMJ Open Sport Exerc. Med. 2015, 1, e000044. [Google Scholar] [CrossRef] [Green Version]
- Villelabeitia-Jaureguizar, K.; Vicente-Campos, D.; Berenguel Senen, A.; Hernandez Jimenez, V.; Ruiz Bautista, L.; Barrios Garrido-Lestache, M.E.B.; Chicharro, J.L. Mechanical efficiency of high versus moderate intensity aerobic exercise in coronary heart disease patients: A randomized clinical trial. Cardiol. J. 2019, 26, 130–137. [Google Scholar] [CrossRef] [PubMed] [Green Version]
- Ettema, G.; Loras, H.W. Efficiency in cycling: A review. Eur. J. Appl. Physiol. 2009, 106, 1–14. [Google Scholar] [CrossRef]
- Lafortuna, C.L.; Proietti, M.; Agosti, F.; Sartorio, A. The energy cost of cycling in young obese women. Eur. J. Appl. Physiol. 2006, 97, 16–25. [Google Scholar] [CrossRef] [PubMed]
- Silva, G.; Aires, L.; Martins, C.; Mota, J.; Oliveira, J.; Ribeiro, J.C. Cardiorespiratory fitness associates with metabolic risk independent of central adiposity. Int. J. Sports Med. 2013, 34, 912–916. [Google Scholar] [CrossRef] [PubMed]
- Waldburger, R.; Wilms, B.; Ernst, B.; Thurnheer, M.; Schultes, B. Cardio-respiratory fitness is independently associated with cardio-metabolic risk markers in severely obese women. Exp. Clin. Endocrinol. Diabetes Off. J. Ger. Soc. Endocrinol. Ger. Diabetes Assoc. 2014, 122, 190–194. [Google Scholar] [CrossRef] [PubMed]
- Diez-Fernandez, A.; Sanchez-Lopez, M.; Mora-Rodriguez, R.; Notario-Pacheco, B.; Torrijos-Nino, C.; Martinez-Vizcaino, V. Obesity as a mediator of the influence of cardiorespiratory fitness on cardiometabolic risk: A mediation analysis. Diabetes Care 2014, 37, 855–862. [Google Scholar] [CrossRef] [PubMed] [Green Version]
- Cole, T.J.; Lobstein, T. Extended international (IOTF) body mass index cut-offs for thinness, overweight and obesity. Pediatric Obes. 2012, 7, 284–294. [Google Scholar] [CrossRef] [PubMed]
- McCarthy, H.D.; Cole, T.J.; Fry, T.; Jebb, S.A.; Prentice, A.M. Body fat reference curves for children. Int. J. Obes. 2006, 30, 598–602. [Google Scholar] [CrossRef] [Green Version]
- Cole, T.J.; Green, P.J. Smoothing reference centile curves: The LMS method and penalized likelihood. Stat. Med. 1992, 11, 1305–1319. [Google Scholar] [CrossRef] [PubMed]
- Rodríguez, G.; Moreno, L.A.; Blay, M.G.; Blay, V.A.; Fleta, J.; Sarría, A.; Bueno, M. Body fat measurement in adolescents: Comparison of skinfold thickness equations with dual-energy X-ray absorptiometry. Eur. J. Clin. Nutr. 2005, 59, 1158–1166. [Google Scholar] [CrossRef]
- Slaughter, M.H.; Lohman, T.G.; Boileau, R.A.; Horswill, C.A.; Stillman, R.J.; Van Loan, M.D.; Bemben, D.A. Skinfold equations for estimation of body fatness in children and youth. Hum. Biol. 1988, 60, 709–723. [Google Scholar]
- Matthews, D.R.; Hosker, J.P.; Rudenski, A.S.; Naylor, B.A.; Treacher, D.F.; Turner, R.C. Homeostasis model assessment: Insulin resistance and beta-cell function from fasting plasma glucose and insulin concentrations in man. Diabetologia 1985, 28, 412–419. [Google Scholar] [CrossRef] [Green Version]
- Bongers, B.C.; Hulzebos, E.H.; Helbing, W.A.; Ten Harkel, A.; van Brussel, M.; Takken, T. Response profiles of oxygen uptake efficiency during exercise in healthy children. Eur. J. Prev. Cardiol. 2016, 23, 865–873. [Google Scholar] [CrossRef]
- Salvadori, A.; Fanari, P.; Giacomotti, E.; Palmulli, P.; Bolla, G.; Tovaglieri, I.; Luzi, L.; Longhini, E. Kinetics of catecholamines and potassium, and heart rate during exercise testing in obese subjects. Heart rate regulation in obesity during exercise. Eur. J. Nutr. 2003, 42, 181–187. [Google Scholar] [CrossRef] [PubMed]
- Wasserman, K.; Stringer, W.W.; Casaburi, R.; Koike, A.; Cooper, C.B. Determination of the anaerobic threshold by gas exchange: Biochemical considerations, methodology and physiological effects. Z. Kardiol. 1994, 83 (Suppl. 3), 1–12. [Google Scholar]
- Beaver, W.L.; Wasserman, K.; Whipp, B.J. A new method for detecting anaerobic threshold by gas exchange. J. Appl. Physiol. 1986, 60, 2020–2027. [Google Scholar] [CrossRef] [PubMed]
- Garby, L.; Astrup, A. The relationship between the respiratory quotient and the energy equivalent of oxygen during simultaneous glucose and lipid oxidation and lipogenesis. Acta Physiol. Scand. 1987, 129, 443–444. [Google Scholar] [CrossRef] [PubMed]
- Frayn, K.N. Calculation of substrate oxidation rates in vivo from gaseous exchange. J. Appl. Physiol. Respir. Environ. Exerc. Physiol. 1983, 55, 628–634. [Google Scholar] [CrossRef] [PubMed] [Green Version]
- Marinus, N.; Bervoets, L.; Massa, G.; Verboven, K.; Stevens, A.; Takken, T.; Hansen, D. Altered gas-exchange at peak exercise in obese adolescents: Implications for verification of effort during cardiopulmonary exercise testing. J. Sports Med. Phys. Fit. 2017, 57, 1687–1694. [Google Scholar]
- Rodriguez, G.; Moreno, L.A.; Sarria, A.; Pineda, I.; Fleta, J.; Perez-Gonzalez, J.M.; Bueno, M. Determinants of resting energy expenditure in obese and non-obese children and adolescents. J. Physiol. Biochem. 2002, 58, 9–15. [Google Scholar] [CrossRef] [PubMed]
- Goldsmith, R.; Joanisse, D.R.; Gallagher, D.; Pavlovich, K.; Shamoon, E.; Leibel, R.L.; Rosenbaum, M. Effects of experimental weight perturbation on skeletal muscle work efficiency, fuel utilization, and biochemistry in human subjects. Am. J. Physiol. Regul. Integr. Comp. Physiol. 2010, 298, R79–R88. [Google Scholar] [CrossRef] [Green Version]
- Wells, G.D.; Noseworthy, M.D.; Hamilton, J.; Tarnopolski, M.; Tein, I. Skeletal muscle metabolic dysfunction in obesity and metabolic syndrome. Can. J. Neurol. Sci. Le J. Can. Des Sci. Neurol. 2008, 35, 31–40. [Google Scholar] [CrossRef] [PubMed] [Green Version]
- Roden, M. Muscle triglycerides and mitochondrial function: Possible mechanisms for the development of type 2 diabetes. Int. J. Obes. 2005, 29 (Suppl. 2), S111–S115. [Google Scholar] [CrossRef] [PubMed] [Green Version]
- Caiozzo, V.J.; Baker, M.J.; Baldwin, K.M. Novel transitions in MHC isoforms: Separate and combined effects of thyroid hormone and mechanical unloading. J. Appl. Physiol. 1998, 85, 2237–2248. [Google Scholar] [CrossRef] [PubMed]
- Reinehr, T.; Isa, A.; de Sousa, G.; Dieffenbach, R.; Andler, W. Thyroid hormones and their relation to weight status. Horm. Res. 2008, 70, 51–57. [Google Scholar] [CrossRef]
- Everitt, A.V.; Terry, V.; Phillips, M.J.; Kerry, H.M.; Shorey, C.D. Morphometric analysis of gastrocnemius muscle fiber size and fiber proportions in the hypophysectomized rat after prolonged administration of growth hormone or thyroxine. Growth Dev. Aging 1996, 60, 85–93. [Google Scholar]
- Tanner, C.J.; Barakat, H.A.; Dohm, G.L.; Pories, W.J.; MacDonald, K.G.; Cunningham, P.R.; Swanson, M.S.; Houmard, J.A. Muscle fiber type is associated with obesity and weight loss. Am. J. Physiol. Endocrinol. Metab. 2002, 282, E1191–E1196. [Google Scholar] [CrossRef] [Green Version]
- Zunquin, G.; Theunynck, D.; Sesboue, B.; Arhan, P.; Bougle, D. Comparison of fat oxidation during exercise in lean and obese pubertal boys: Clinical implications. Br. J. Sports Med. 2009, 43, 869–870. [Google Scholar] [CrossRef]
- Houmard, J.A.; Pories, W.J.; Dohm, G.L. Severe obesity: Evidence for a deranged metabolic program in skeletal muscle? Exerc. Sport Sci. Rev. 2012, 40, 204–210. [Google Scholar] [CrossRef] [Green Version]
- Steinberger, J.; Moorehead, C.; Katch, V.; Rocchini, A.P. Relationship between insulin resistance and abnormal lipid profile in obese adolescents. J. Pediatrics 1995, 126, 690–695. [Google Scholar] [CrossRef]
- Ahren, B. Insulin secretion and insulin sensitivity in relation to fasting glucose in healthy subjects. Diabetes Care 2007, 30, 644–648. [Google Scholar] [CrossRef] [Green Version]
- Ye, J. Mechanisms of insulin resistance in obesity. Front. Med. 2013, 7, 14–24. [Google Scholar] [CrossRef] [Green Version]


| General Features | Obese (n = 29) | Lean (n = 29) | p-Value |
|---|---|---|---|
| Age (years) | 013.4 ± 1.10 | 014.0 ± 1.50 | 0.078 |
| Sex | 0.792 | ||
| Male (n) | 15 | 16 | |
| Female (n) | 14 | 13 | |
| Body weight (kg) | 088.0 ± 15.3 | 054.7 ± 10.8 | <0.001 |
| Body height (cm) | 166.7 ± 8.70 | 166.8 ± 8.90 | 0.949 |
| Body height-SDS | 0.82 ± 0.99 | 0.68 ± 1.00 | 0.595 |
| BMI (kg/m2) | 031.6 ± 4.20 | 019.5 ± 2.40 | <0.001 |
| BMI-SDS | 2.11 ± 0.32 | −0.16 ± 0.84 | <0.001 |
| Waist circumference (cm) | 103.0 ± 12.8 | 067.4 ± 6.20 | <0.001 |
| Hip circumference (cm) | 104.1 ± 8.20 | 078.7 ± 8.30 | <0.001 |
| Waist-to-hip ratio | 00.99 ± 0.07 | 00.86 ± 0.11 | <0.001 |
| Body fat (%) | 047.6 ± 10.7 | 18.0 ± 5.7 | <0.001 |
| Body fat (kg) | 42.7 ± 15.5 | 10.1 ± 4.3 | <0.001 |
| Fat-free mass (kg) | 45.3 ± 8.7 | 44.6 ± 8.4 | 0.766 |
| Systolic BP (mmHg) | 125 ± 11 | 114 ± 10 | <0.001 |
| Diastolic BP (mmHg) | 76 ± 10 | 70 ± 7 | 0.006 |
| Mean arterial pressure (mmHg) | 92 ± 8 | 85 ± 7 | <0.001 |
| Development stage | 0.271 | ||
| Tanner stage 1 (n) | 3 | 2 | |
| Tanner stage 2 (n) | 0 | 2 | |
| Tanner stage 3 (n) | 8 | 4 | |
| Tanner stage 4 (n) | 3 | 7 | |
| Tanner stage 5 (n) | 15 | 14 |
| Obese (n = 29) | Lean (n = 29) | p-Value | |
|---|---|---|---|
| Cardiovascular risk factors | |||
| C-reactive protein (mg/l) | 04.2 ± 6.9 | 00.3 ± 0.8 | <0.001 |
| Total cholesterol (mg/dL) | 158 ± 33 | 150 ± 24 | 0.308 |
| LDL cholesterol (mg/dL) | 094 ± 27 | 075 ± 22 | 0.004 |
| HDL cholesterol (mg/dL) | 045 ± 11 | 061 ± 12 | <0.001 |
| Triglycerides (mg/dL) | 102 ± 58 | 071 ± 35 | 0.017 |
| Triglyceride-to-HDL cholesterol ratio | 2.4 ± 1.4 | 1.2 ± 0.8 | <0.001 |
| Uric acid (mg/dL) | 05.7 ± 0.8 | 05.1 ± 1.1 | 0.036 |
| Glycaemic control | |||
| Fasting glucose (mg/dL) | 89 ± 6 | 85 ± 6 | 0.031 |
| Fasting insulin (mU/l) | 026 ± 16 | 10 ± 5 | <0.001 |
| Glycated haemoglobin (%) | 05.3 ± 0.3 | 05.2 ± 0.2 | 0.064 |
| HOMA-IR | 05.7 ± 3.7 | 02.1 ± 1.2 | <0.001 |
| Endocrinology | |||
| Leptin (µg/L) | 046.9 ± 22.0 | 08.7 ± 6.3 | <0.001 |
| Peak | Obese (n = 29) | Lean (n = 29) | p-Value |
|---|---|---|---|
| Oxygen uptake (mL/min) | 2070 ± 422 | 2219 ± 546 | 0.355 |
| Oxygen uptake (mL/min/kg) | 23.9 ± 4.8 | 40.8 ± 6.6 | <0.001 |
| Carbon dioxide output (mL/min) | 2548 ± 557 | 2740 ± 714 | 0.265 |
| Minute ventilation (L/min) | 76 ± 19 | 83 ± 23 | 0.125 |
| Tidal volume (L) | 1.90 ± 0.46 | 1.90 ± 0.47 | 0.994 |
| Breathing frequency (breaths/min) | 41 ± 8 | 45 ± 9 | 0.108 |
| Ventilatory equivalent O2 | 36.8 ± 4.7 | 37.7 ± 5.8 | 0.602 |
| Ventilatory equivalent CO2 | 29.9 ± 2.8 | 30.5 ± 3.5 | 0.476 |
| Respiratory exchange ratio | 1.23 ± 0.07 | 1.23 ± 0.07 | 0.868 |
| Oxygen pulse (mL O2/heart beat) | 11.1 ± 2.0 | 11.9 ± 2.8 | 0.305 |
| Work rate (W) | 161 ± 35 | 189 ± 44 | 0.010 |
| Oxygen uptake/Work rate (mL/min/W) | 13.0 ± 1.3 | 11.7 ± 0.8 | <0.001 |
| Heart rate (bpm) | 185 ± 11 | 186 ± 9 | 0.843 |
| Mechanical efficiency (%) | 21.3 ± 1.9 | 23.1 ± 1.4 | <0.001 |
| Net mechanical efficiency (%) | 25.3 ± 2.2 | 27.1 ± 2.2 | 0.005 |
| Lipid oxidation (g/min) | 0.00 ± 0.00 | 0.00 ± 0.00 | 0.317 |
| Carbohydrate oxidation (g/min) | 4.74 ± 1.21 | 5.27 ± 1.60 | 0.167 |
Publisher’s Note: MDPI stays neutral with regard to jurisdictional claims in published maps and institutional affiliations. |
© 2021 by the authors. Licensee MDPI, Basel, Switzerland. This article is an open access article distributed under the terms and conditions of the Creative Commons Attribution (CC BY) license (https://creativecommons.org/licenses/by/4.0/).
Share and Cite
Franssen, W.M.A.; Massa, G.; O. Eijnde, B.; Dendale, P.; Hansen, D.; Verboven, K. Aberrant Mechanical Efficiency during Exercise Relates to Metabolic Health and Exercise Intolerance in Adolescents with Obesity. Int. J. Environ. Res. Public Health 2021, 18, 10578. https://doi.org/10.3390/ijerph182010578
Franssen WMA, Massa G, O. Eijnde B, Dendale P, Hansen D, Verboven K. Aberrant Mechanical Efficiency during Exercise Relates to Metabolic Health and Exercise Intolerance in Adolescents with Obesity. International Journal of Environmental Research and Public Health. 2021; 18(20):10578. https://doi.org/10.3390/ijerph182010578
Chicago/Turabian StyleFranssen, Wouter M. A., Guy Massa, Bert O. Eijnde, Paul Dendale, Dominique Hansen, and Kenneth Verboven. 2021. "Aberrant Mechanical Efficiency during Exercise Relates to Metabolic Health and Exercise Intolerance in Adolescents with Obesity" International Journal of Environmental Research and Public Health 18, no. 20: 10578. https://doi.org/10.3390/ijerph182010578
APA StyleFranssen, W. M. A., Massa, G., O. Eijnde, B., Dendale, P., Hansen, D., & Verboven, K. (2021). Aberrant Mechanical Efficiency during Exercise Relates to Metabolic Health and Exercise Intolerance in Adolescents with Obesity. International Journal of Environmental Research and Public Health, 18(20), 10578. https://doi.org/10.3390/ijerph182010578

