The Intentions to Wear Face Masks and the Differences in Preventive Behaviors between Urban and Rural Areas during COVID-19: An Analysis Based on the Technology Acceptance Model
Abstract
:1. Introduction
2. Literature Review and Research Hypotheses
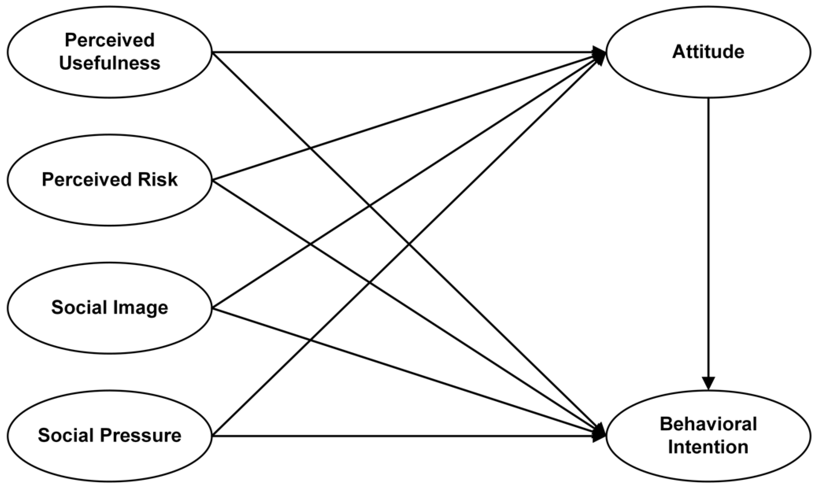
2.1. Research Model
2.2. Research Hypotheses
2.2.1. Attitude and Behavioral Intention
2.2.2. Perceived Usefulness
2.2.3. Perceived Risk
2.2.4. Social Image and Social Pressure
2.2.5. A Comparison of Urban and Rural Residents
3. Data and Method
3.1. Data Source
3.2. Method and Statistical Analysis
4. Results Analysis
4.1. Reliability and Validity Test
4.2. Model Comparison
4.3. Model Checking
4.4. Group Difference Test
4.4.1. Model Identity Test
4.4.2. Multi-Group Analysis
5. Concluding Remarks and Policy Implications
Author Contributions
Funding
Institutional Review Board Statement
Informed Consent Statement
Data Availability Statement
Conflicts of Interest
References
- World Health Organization. Director-General’s Opening Remarks at the Media Briefing on COVID-19, 11 March 2020. Available online: https://reliefweb.int/report/world/who-director-generals-opening-remarks-media-briefing-covid-19-1-march-2021?gclid=EAIaIQobChMIg_z4m5uG8wIV2WSLCh2VuwgVEAAYASAAEgIz8_D_BwE (accessed on 27 June 2021).
- Leung, C.C.; Lam, T.H.; Cheng, K.K. Let us not forget the mask in our attempts to stall the spread of COVID-19. Int. J. Tuberc. Lung Dis. 2020, 24, 364–366. [Google Scholar] [CrossRef]
- Chen, X.; Ran, L.; Liu, Q.; Hu, Q.; Du, X.; Tan, X. Hand hygiene, mask-wearing behaviors and its associated factors during the COVID-19 epidemic: A cross-sectional study among primary school students in Wuhan, China. Int. J. Environ. Res. Public Health 2020, 17, 2893. [Google Scholar] [CrossRef]
- Cheng, V.C.C.; Wong, S.C.; Chuang, V.W.M.; So, S.Y.C.; Chen, J.H.K.; Sridhar, S.; Yuen, K.Y. The role of community-wide wearing of face mask for control of coronavirus disease 2019 (COVID-19) epidemic due to SARS-CoV-2. J. Infect. 2020, 81, 107–114. [Google Scholar] [CrossRef]
- Zhang, K.; Vilches, T.N.; Tariq, M.; Galvani, A.P.; Moghadas, S.M. The impact of mask-wearing and shelter-in-place on COVID-19 outbreaks in the United States. Int. J. Infect. Dis. 2020, 101, 334–341. [Google Scholar] [CrossRef]
- Dave, D.M.; Friedson, A.I.; Matsuzawa, K.; Sabia, J.J.; Safford, S. Black Lives Matter Protests, Social Distancing, and COVID-19 (No. w27408); National Bureau of Economic Research: Cambridge, MA, USA, 2020. [Google Scholar]
- National Health Commission of the People’s Republic of China. Notice on the Publication of Scientific Guidelines on the Mask-Wearing for the General Public; National Health Commission of the PR: Beijing, China, 2020. Available online: http://www.nhc.gov.cn/jkj/s3577/202003/0a472cc09e744144883db6a74fe6e760.shtml (accessed on 17 September 2021).
- Worby, C.J.; Chang, H.-H. Face mask use in the general population and optimal resource allocation during the COVID-19 pandemic. Nat. Commun. 2020, 11, 1–9. [Google Scholar] [CrossRef]
- Cao, S.; Wen, D.; Chen, X. Protective behavior of Chinese population wearing masks during the COVID-19 epidemic. Res. Environ. Sci. 2020, 33, 1649–1658. [Google Scholar]
- Davis, F.D. A Technology Acceptance Model for Empirically Testing New End-User Information Systems: Theory and Results. Ph.D. Thesis, Massachusetts Institute of Technology, Cambridge, MA, USA, 1985. [Google Scholar]
- Kaba, B.; Osei-Bryson, K.-M. Examining influence of national culture on individuals’ attitude and use of information and communication technology: Assessment of moderating effect of culture through cross countries study. Int. J. Inf. Manag. 2013, 33, 441–452. [Google Scholar] [CrossRef]
- Lemay, D.J.; Morin, M.M.; Bazelais, P.; Doleck, T. Modeling students’ perceptions of simulation-based learning using the technology acceptance model. Clin. Simul. Nurs. 2018, 20, 28–37. [Google Scholar] [CrossRef]
- Rezaei, R.; Safa, L.; Ganjkhanloo, M.M. Understanding farmers’ ecological conservation behavior regarding the use of inte-grated pest management—An application of the technology acceptance model. Glob. Ecol. Conserv. 2020, 22, e00941. [Google Scholar] [CrossRef]
- Davis, F.D.; Bagozzi, R.P.; Warshaw, P.R. User acceptance of computer technology: A comparison of two theoretical models. Manag. Sci. 1989, 35, 982–1003. [Google Scholar] [CrossRef] [Green Version]
- Lee, J.; Kim, J.; Choi, J.Y. The adoption of virtual reality devices: The technology acceptance model integrating enjoyment, social interaction, and strength of the social ties. Telemat. Inform. 2018, 39, 37–48. [Google Scholar] [CrossRef]
- Ooi, K.-B.; Tan, G.W.-H. Mobile technology acceptance model: An investigation using mobile users to explore smartphone credit card. Expert Syst. Appl. 2016, 59, 33–46. [Google Scholar] [CrossRef]
- World Health Organization. Advice on the Use of Masks in the Community, During Home Care and in Health care Settings in the Context of the Novel Coronavirus (2019-nCoV) Outbreak; WHO: Geneva, Switzerland, 2020. [Google Scholar]
- Gunasekaran, S.S.; Gunasekaran, S.S.; Gunasekaran, G.H.; Zaimi, N.S.I.; Halim, N.A.A.; Halim, F.H.A. Factors associated with incorrect facemask use among individuals visiting high-risk locations during COVID-19 pandemic. Int. J. Public Health 2020, 18, 38–48. [Google Scholar]
- Reluga, T.C. Game theory of social distancing in response to an epidemic. PLoS Comput. Biol. 2010, 6, e1000793. [Google Scholar] [CrossRef]
- Van Bavel, J.J.; Baicker, K.; Boggio, P.S.; Capraro, V.; Cichocka, A.; Cikara, M.; Crockett, M.J.; Crum, A.J.; Douglas, K.M.; Druckman, J.N.; et al. Using social and behavioural science to support COVID-19 pandemic response. Nat. Hum. Behav. 2020, 4, 460–471. [Google Scholar] [CrossRef]
- Zhou, M.; Long, P.; Kong, N.; Campy, K.S. Characterizing Wuhan residents’ mask-wearing intention at early stages of the COVID-19 pandemic. Patient Educ. Couns. 2020, 104, 1868–1877. [Google Scholar] [CrossRef]
- Floyd, D.L.; Prentice-Dunn, S.; Rogers, R.W. A meta-analysis of research on protection motivation theory. J. Appl. Soc. Psychol. 2000, 30, 407–429. [Google Scholar] [CrossRef]
- Dryhurst, S.; Schneider, C.R.; Kerr, J.; Freeman, A.L.J.; Recchia, G.; van der Bles, A.M.; Spiegelhalter, D.; van der Linden, S. Risk perceptions of COVID-19 around the world. J. Risk Res. 2020, 23, 994–1006. [Google Scholar] [CrossRef]
- Reuben, R.C.; Danladi, M.M.; Saleh, D.A.; Ejembi, P.E. Knowledge, attitudes and practices towards COVID-19: An epidemiological survey in North-Central Nigeria. J. Community Health 2021, 46, 457–470. [Google Scholar] [CrossRef]
- Sun, C.X.; Bin, H.E.; Di, M.U.; Li, P.L.; Zhao, H.T.; Li, Z.L.; Li, Z.J. Public awareness and mask usage during the COVID-19 epidemic: A survey by China CDC New Media. Biomed. Environ. Sci. 2020, 33, 639–645. [Google Scholar]
- Hill, R.J.; Fishbein, M.; Ajzen, I. Belief, attitude, intention and behavior: An introduction to theory and research. Contemp. Sociol. J. Rev. 1977, 6, 244. [Google Scholar] [CrossRef]
- Ajzen, I. From intentions to actions: A theory of planned behavior. In Action Control; Kuhl, J., Beckmann, J., Eds.; Springer: Berlin/Heidelberg, Germany, 1985; pp. 11–39. [Google Scholar]
- Estriegana, R.; Medina-Merodio, J.-A.; Barchino, R. Student acceptance of virtual laboratory and practical work: An extension of the technology acceptance model. Comput. Educ. 2019, 135, 1–14. [Google Scholar] [CrossRef]
- Zheng, J.; Li, S. What drives students’ intention to use tablet computers: An extended technology acceptance model. Int. J. Educ. Res. 2020, 102, 101612. [Google Scholar] [CrossRef]
- Brewer, N.T.; Weinstein, N.D.; Cuite, C.L.; Herrington, J.E. Risk perceptions and their relation to risk behavior. Ann. Behav. Med. 2004, 27, 125–130. [Google Scholar] [CrossRef]
- De Zwart, O.; Veldhuijzen, I.K.; Elam, G.; Aro, A.R.; Abraham, T.; Bishop, G.D.; Richardus, J.H.; Brug, J. Avian influenza risk perception, Europe and Asia. Emerg. Infect. Dis. 2007, 13, 290–293. [Google Scholar] [CrossRef] [PubMed]
- Rogers, R.W. Attitude change and information integration in fear appeals. Psychol. Rep. 1985, 56, 179–182. [Google Scholar] [CrossRef]
- Gong, Z.; Veuthey, J.; Han, Z. What makes people intend to take protective measures against influenza? Perceived risk, efficacy, or trust in authorities. Am. J. Infect. Control. 2020, 48, 1298–1304. [Google Scholar] [CrossRef] [PubMed]
- De Bruin, W.B.; Bennett, D. Relationships between initial COVID-19 risk perceptions and protective health behaviors: A na-tional survey. Am. J. Prev. Med. 2020, 59, 157–167. [Google Scholar] [CrossRef]
- Cox, R.C.; Jessup, S.C.; Luber, M.J.; Olatunji, B.O. Pre-pandemic disgust proneness predicts increased coronavirus anxiety and safety behaviors: Evidence for a diathesis-stress model. J. Anxiety Disord. 2020, 76, 102315. [Google Scholar] [CrossRef]
- Bursztyn, L.; Jensen, R. Social image and economic behavior in the field: Identifying, understanding, and shaping social pressure. Annu. Rev. Econ. 2017, 9, 131–153. [Google Scholar] [CrossRef] [Green Version]
- Moore, G.C.; Benbasat, I. Development of an instrument to measure the perceptions of adopting an information technology innovation. Inf. Syst. Res. 1991, 2, 192–222. [Google Scholar] [CrossRef] [Green Version]
- Marchiori, M. COVID-19 and the social distancing paradox: Dangers and solutions. arXiv 2020, arXiv:2005.12446. Available online: https://arxiv.org/abs/2005.12446 (accessed on 27 June 2021).
- Venkatesh, V.; Morris, M.G.; Davis, G.B.; Davis, F.D. User acceptance of information technology: Toward a unified view. MIS Q. 2003, 425–478. [Google Scholar] [CrossRef] [Green Version]
- Kaba, B.; N’Da, K.; Meso, P.; Mbarika, V.W.A. Micro factors influencing the attitudes toward and the use of a mobile tech-nology: A model of cell-phone use in Guinea. IEEE Trans. Prof. Commun. 2009, 52, 272–290. [Google Scholar] [CrossRef]
- Anandarajan, M.; Igbaria, M.; Anakwe, U.P. IT acceptance in a less-developed country: A motivational factor perspective. Int. J. Inf. Manag. 2002, 22, 47–65. [Google Scholar] [CrossRef]
- Hofstede, G. Management scientists are human. Manag. Sci. 1994, 40, 4–13. [Google Scholar] [CrossRef]
- Earley, P.C. Social loafing and collectivism: A comparison of the United States and the People’s Republic of China. Adm. Sci. Q. 1989, 34, 565. [Google Scholar] [CrossRef]
- National Health Commission of the People’s Republic of China. Notice on the issuance of guidelines for the public to wear masks scientifically. In Bulletin of the National Health Commission of the People’s Republic of China; National Health Commission of the People’s Republic of China: Beijing, China, 2020; Volume 3, pp. 60–61. (In Chinese) [Google Scholar]
- Thomas, T.L.; Di Clemente, R.; Snell, S. Overcoming the triad of rural health disparities: How local culture, lack of economic opportunity, and geographic location instigate health disparities. Health Educ. J. 2013, 73, 285–294. [Google Scholar] [CrossRef] [PubMed]
- Curley, C. Rural America Could Be the Region Hardest Hit by the COVID-19 Outbreak. Available online: https://www.healthline.com/health-news/rural-america-hardest-hit-by-covid-19-outbreak (accessed on 28 June 2021).
- Williams, M.A.; Gelaye, B.; Leib, E.M.B. The COVID-19 Crisis Is Going to Get Much Worse When It Hits Rural Areas. Available online: https://www.washingtonpost.com/opinions/2020/04/06/covid-19-crisis-isgoing-get-much-worse-when-it-hits-rural-areas (accessed on 28 June 2021).
- Chen, X.; Chen, H. Differences in preventive behaviors of COVID-19 between urban and rural residents: Lessons learned from a cross-sectional study in China. Int. J. Environ. Res. Public Health 2020, 17, 4437. [Google Scholar] [CrossRef] [PubMed]
- Eiksund, S. A geographical perspective on driving attitudes and behaviour among young adults in urban and rural Norway. Saf. Sci. 2009, 47, 529–536. [Google Scholar] [CrossRef]
- Porto, N.; Huang, Y.; Xiao, J.J. Credit card adoption and usage in China: Urban-rural comparisons. Singap. Econ. Rev. 2019, 64, 41–56. [Google Scholar] [CrossRef]
- Zhang, M. Writing against “mask culture”: Orientalism and COVID-19 responses in the West. Anthropologica 2021, 63, 1–14. [Google Scholar] [CrossRef]
- Pew Research Center. Republicans, Democrats Move Even Further Apart in Coronavirus Concerns, 25 June 2020. Available online: https://www.pewresearch.org/politics/2020/06/25/republicans-democrats-move-even-further-apart-in-coronavirus-concerns (accessed on 28 June 2021).
- Karahanna, E.; Straub, D.W.; Chervany, N.L. Information technology adoption across time: A cross-sectional comparison of pre-adoption and post-adoption beliefs. MIS Q. 1999, 23, 183. [Google Scholar] [CrossRef]
- Kwon, H.S.; Chidambaram, L. A test of the technology acceptance model: The case of cellular telephone adoption. In Proceedings of the 33rd Annual Hawaii International Conference on System Sciences IEEE, Maui, HI, USA, 4–7 January 2000. [Google Scholar]
- Bagozzi, R.P.; Yi, Y. On the evaluation of structural equation models. Acad. Mark. Sci. Rev. 1988, 16, 74–94. [Google Scholar] [CrossRef]
- Joseph, F.H.; William, C.B.; Barry, J.B.; Rolph, E.A. Multivariate Data Analysis, 7th ed.; Pearson Education Limited: Edinburgh Gate, UK, 2014. [Google Scholar]
- Cheng, Y.; Ma, N.; Witt, C.; Rapp, S.; Wild, P.S.; Andreae, M.O.; Pöschl, U.; Su, H. Face masks effectively limit the probability of SARS-CoV-2 transmission. Science 2021, 372, 1439–1443. [Google Scholar] [CrossRef] [PubMed]
- Amoako-Gyampah, K. Perceived usefulness, user involvement and behavioral intention: An empirical study of ERP imple-mentation. Comput. Hum. Behav. 2007, 23, 1232–1248. [Google Scholar] [CrossRef]
- Champion, V.L.; Skinner, C.S. The health belief model. Health behavior and health education. Theory Res. Pract. 2008, 4, 45–65. [Google Scholar]
- Bae, S.Y.; Chang, P.-J. The effect of coronavirus disease-19 (COVID-19) risk perception on behavioural intention towards “untact” tourism in South Korea during the first wave of the pandemic (March 2020). Curr. Issues Tour. 2020, 24, 1017–1035. [Google Scholar] [CrossRef]
- Li, J.; Shi, L.; Liang, H.; Ding, G.; Xu, L. Urban-rural disparities in health care utilization among Chinese adults from 1993 to 2011. BMC Health Serv. Res. 2018, 18, 1–9. [Google Scholar] [CrossRef] [Green Version]


| Items | Frequency | Percentage (%) |
|---|---|---|
| Gender | ||
| Female | 742 | 64.9 |
| Male | 402 | 35.1 |
| Age Group (Years) | ||
| <18 | 50 | 4.4 |
| 19–29 | 509 | 44.5 |
| 30–39 | 304 | 26.6 |
| 40–49 | 163 | 14.2 |
| >50 | 118 | 10.3 |
| Educational Attainment | ||
| Lower secondary and below | 20 | 1.7 |
| Upper secondary/Technical secondary | 88 | 7.7 |
| Post-secondary | 102 | 8.9 |
| Bachelor’s degree | 612 | 53.5 |
| Master’s degree | 210 | 18.4 |
| Doctorate degree | 112 | 9.8 |
| Income (Yuan/Month) | ||
| <5000 | 616 | 53.8 |
| 5001–10,000 | 359 | 31.4 |
| 10,001–15,000 | 107 | 9.4 |
| >15,001 | 62 | 5.4 |
| Paths | Standardized Loadings (t-Value) | CR | AVE | Cronbach’s α |
|---|---|---|---|---|
| Recommended Value Perceived Usefulness 1 | 0.500–0.950 0.853 *** | >0.600 0.846 | >0.500 0.647 | >0.7000 0.821 |
| Perceived Usefulness 2 | 0.739 *** (27.635) | |||
| Perceived Usefulness 3 | 0.817 *** (31.486) | |||
| Perceived Risk 1 | 0.748 *** | 0.849 | 0.653 | 0.847 |
| Perceived Risk 2 | 0.815 *** (26.304) | |||
| Perceived Risk 3 | 0.858 *** (27.169) | |||
| Social Image 1 | 0.913 *** | 0.947 | 0.857 | 0.947 |
| Social Image 2 | 0.908 *** (50.355) | |||
| Social Image 3 | 0.955 *** (56.750) | |||
| Social Pressure 1 | 0.739 *** | 0.762 | 0.519 | 0.756 |
| Social Pressure 2 | 0.624 *** (18.617) | |||
| Social Pressure 3 | 0.788 *** (22.065) | |||
| Attitude 1 | 0.860 *** | 0.925 | 0.756 | 0.918 |
| Attitude 2 | 0.897 *** (41.75) | |||
| Attitude 3 | 0.931 *** (44.717) | |||
| Attitude 4 | 0.781 *** (32.692) | |||
| Behavioral Intention 1 | 0.878 *** | 0.821 | 0.608 | 0.808 |
| Behavioral Intention 2 | 0.691 *** (24.437) | |||
| Behavioral Intention 3 | 0.758 *** (27.189) |
| Models | Variables | χ2 | df | GFI | CFI | RMSEA | Model Comparison | Δ2 | Δdf |
|---|---|---|---|---|---|---|---|---|---|
| Model 1 | U, R, I, P, A, BI | 942.748 | 136 | 0.909 | 0.948 | 0.072 | |||
| Model 2 | U + R, I, P, A, BI | 1684.562 | 141 | 0.844 | 0.900 | 0.098 | 2 vs. 1 | 741.814 *** | 5 |
| Model 3 | U + R, I + P, A, BI | 2487.751 | 145 | 0.795 | 0.848 | 0.119 | 3 vs. 2 | 803.189 *** | 4 |
| Model 4 | U + R + I + P, A, BI | 5126.886 | 148 | 0.565 | 0.677 | 0.172 | 4 vs. 3 | 2639.135 *** | 3 |
| Model 5 | U + R + I + P + A + BI | 5941.412 | 150 | 0.628 | 0.625 | 0.184 | 5 vs. 4 | 814.526 *** | 2 |
| Hypotheses | Paths | Path Coefficient | p-Value | Results |
|---|---|---|---|---|
| H1 | Attitude → Behavioral Intention | 0.442 | *** | Supported |
| H2a | Perceived Usefulness → Attitude | 0.500 | *** | Supported |
| H2b | Perceived Usefulness → Behavioral Intention | 0.344 | * | Supported |
| H3a | Perceived Risk → Attitude | 0.090 | ** | Supported |
| H3b | Perceived Risk → Behavioral Intention | 0.007 | 0.942 | Rejected |
| H4a | Social Image → Attitude | 0.093 | *** | Supported |
| H4b | Social Image → Behavioral Intention | −0.002 | 0.897 | Rejected |
| H5a | Social Pressure → Attitude | 0.380 | *** | Supported |
| H5b | Social Pressure → Behavioral Intention | 0.009 | 0.834 | Rejected |
| Group | Models | GFI | CFI | NFI | SRMR | RMSEA | ∆χ2 | Full-Metric Invariance |
|---|---|---|---|---|---|---|---|---|
| Type of Place of Residence | Non-restricted model | 0.896 | 0.944 | 0.928 | 0.059 | 0.053 | ∆χ2 (8) = 18.564 p = 0.137 | Supported |
| Full-Metric invariance | 0.894 | 0.944 | 0.927 | 0.059 | 0.052 |
| Hypotheses | Paths | Path Coefficient (Urban) | Path Coefficient (Rural) | ∆χ2 | Results |
|---|---|---|---|---|---|
| H6a | Perceived Usefulness → Attitude | 0.515 *** | 0.498 *** | ∆χ2(1) = 0.902; p = 0.342 | Rejected |
| H6b | Perceived Risk → Attitude | 0.109 ** | −0.050(p = 0.534) | ∆χ2(1) = 3.506; p = 0.061 | Rejected |
| H6c | Social Image → Attitude | 0.091 *** | 0.116 * | ∆χ2(1) = 0.062; p = 0.803 | Rejected |
| H6d | Social Pressure → Attitude | 0.335 *** | 0.542 *** | ∆χ2(1) = 0.363; p = 0.547 | Rejected |
| H7a | Perceived Usefulness → Behavioral Intention | 0.300 *** | 0.587 *** | ∆χ2(1) = 4.411 * | Supported |
| H7b | Perceived Risk → Behavioral Intention | 0.041(p = 0.328) | −0.185(p = 0.063) | ∆χ2(1) = 4.381 * | Rejected |
| H7c | Social Image → Behavioral Intention | −0.025(p = 0.421) | 0.100(p = 0.120) | ∆χ2(1) = 3.012 * | Rejected |
| H7d | Social Pressure → Behavioral Intention | −0.030(p = 0.510) | 0.180(p = 0.137) | ∆χ2(1) = 2.635; p = 0.105 | Rejected |
| H8 | Attitude → Behavioral Intention | 0.472 *** | 0.196(p = 0.120) | ∆χ2(1) = 2.519; p = 0.112 | Rejected |
Publisher’s Note: MDPI stays neutral with regard to jurisdictional claims in published maps and institutional affiliations. |
© 2021 by the authors. Licensee MDPI, Basel, Switzerland. This article is an open access article distributed under the terms and conditions of the Creative Commons Attribution (CC BY) license (https://creativecommons.org/licenses/by/4.0/).
Share and Cite
Zhang, B.; Li, Z.; Jiang, L. The Intentions to Wear Face Masks and the Differences in Preventive Behaviors between Urban and Rural Areas during COVID-19: An Analysis Based on the Technology Acceptance Model. Int. J. Environ. Res. Public Health 2021, 18, 9988. https://doi.org/10.3390/ijerph18199988
Zhang B, Li Z, Jiang L. The Intentions to Wear Face Masks and the Differences in Preventive Behaviors between Urban and Rural Areas during COVID-19: An Analysis Based on the Technology Acceptance Model. International Journal of Environmental Research and Public Health. 2021; 18(19):9988. https://doi.org/10.3390/ijerph18199988
Chicago/Turabian StyleZhang, Bo, Zhongjie Li, and Lei Jiang. 2021. "The Intentions to Wear Face Masks and the Differences in Preventive Behaviors between Urban and Rural Areas during COVID-19: An Analysis Based on the Technology Acceptance Model" International Journal of Environmental Research and Public Health 18, no. 19: 9988. https://doi.org/10.3390/ijerph18199988
APA StyleZhang, B., Li, Z., & Jiang, L. (2021). The Intentions to Wear Face Masks and the Differences in Preventive Behaviors between Urban and Rural Areas during COVID-19: An Analysis Based on the Technology Acceptance Model. International Journal of Environmental Research and Public Health, 18(19), 9988. https://doi.org/10.3390/ijerph18199988

