Mortality among People with Epilepsy: A Retrospective Nationwide Analysis from 2016 to 2019
Abstract
:1. Introduction
2. Materials and Methods
2.1. Study Design and Data Sources
2.2. Data Analysis
2.3. Ethics
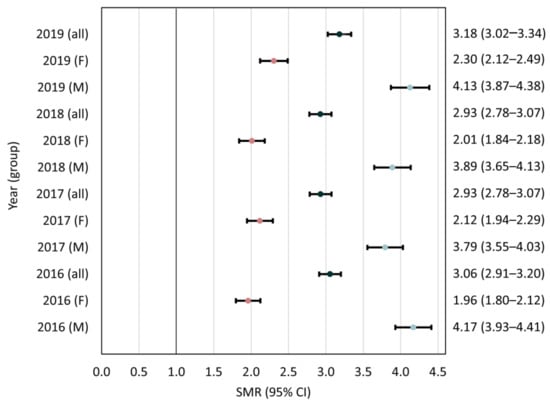
3. Results
4. Discussion
4.1. All-Cause Mortality
4.2. Causes of Death and Comorbidities
4.3. Study Limitations
5. Conclusions
Supplementary Materials
Author Contributions
Funding
Institutional Review Board Statement
Informed Consent Statement
Data Availability Statement
Acknowledgments
Conflicts of Interest
References
- Mbizvo, G.K.; Bennett, K.; Simpson, C.R.; Duncan, S.E.; Chin, R.F.M. Epilepsy-related and other causes of mortality in people with epilepsy: A systematic review of systematic reviews. Epilepsy Res. 2019, 157, 1324. [Google Scholar] [CrossRef]
- Feigin, V.L.; Nichols, E.; Alam, T.; Bannick, M.S.; Beghi, E.; Blake, N.; Culpepper, W.J.; Dorsey, E.R.; Elbaz, A.; Ellenbogen, R.G.; et al. Global, regional, and national burden of neurological disorders, 1990–2016: A systematic analysis for the Global Burden of Disease Study 2016. Lancet Neurol. 2019, 18, 459–480. [Google Scholar] [CrossRef] [Green Version]
- Degiorgio, C.M.; Curtis, A.; Carapetian, A.; Hovsepian, D.; Krishnadasan, A.; Markovic, D. Why are epilepsy mortality rates rising in the United States? A population-based multiple cause-of-death study. BMJ Open 2020, 10, 1–6. [Google Scholar] [CrossRef] [PubMed]
- Devinsky, O.; Spruill, T.; Thurman, D.; Friedman, D. Recognizing and preventing epilepsy-related mortality. Neurology 2016, 86, 779–786. [Google Scholar] [CrossRef] [PubMed] [Green Version]
- Panelli, R.J. SUDEP: A global perspective. Epilepsy Behav. 2020, 103, 106417. [Google Scholar] [CrossRef] [PubMed]
- Devinsky, O.; Sisodiya, S.M. SUDEP: Advances and Challenges. Epilepsy Curr. 2020, 20, 29S–31S. [Google Scholar] [CrossRef]
- Devinsky, O.; Hesdorffer, D.C.; Thurman, D.J.; Lhatoo, S.; Richerson, G. Sudden unexpected death in epilepsy: Epidemiology, mechanisms, and prevention. Lancet Neurol. 2016, 15, 1075–1088. [Google Scholar] [CrossRef]
- Devinsky, O.; Singh, A.; Friedman, D. Deaths in epilepsy what we are missing. JAMA Neurol. 2018, 75, 913–915. [Google Scholar] [CrossRef] [PubMed]
- Gorton, H.C.; Webb, R.T.; Carr, M.J.; DelPozo-Banos, M.; John, A.; Ashcroft, D.M. Risk of unnatural mortality in people with epilepsy. JAMA Neurol. 2018, 75, 929–938. [Google Scholar] [CrossRef]
- Ryvlin, P.; Cucherat, M.; Rheims, S. Risk of sudden unexpected death in epilepsy in patients given adjunctive antiepileptic treatment for refractory seizures: A meta-analysis of placebo-controlled randomised trials. Lancet Neurol. 2011, 10, 961–968. [Google Scholar] [CrossRef]
- Jasilionis, D.; Grigoriev, P.; Stumbrys, D.; Stankūnienė, V. Individual and contextual determinants of male suicide in the post-communist region: The case of Lithuania. Popul. Space Place 2020, 26, 1–15. [Google Scholar] [CrossRef]
- Division of Information Evidence Research and Innovation (WHO Regional Office for Europe) European Health Information Gateway. Available online: https://gateway.euro.who.int/en/indicators/h2020_14-mortality-from-external-causes/visualizations/#id=17085 (accessed on 3 July 2021).
- Thurman, D.J.; Logroscino, G.; Beghi, E.; Hauser, W.A.; Hesdorffer, D.C.; Newton, C.R.; Scorza, F.A.; Sander, J.W.; Tomson, T. The burden of premature mortality of epilepsy in high-income countries: A systematic review from the Mortality Task Force of the International League Against Epilepsy. Epilepsia 2017, 58, 17–26. [Google Scholar] [CrossRef]
- Mbizvo, G.K.; Bennett, K.H.; Schnier, C.; Simpson, C.R.; Duncan, S.E.; Chin, R.F.M. The accuracy of using administrative healthcare data to identify epilepsy cases: A systematic review of validation studies. Epilepsia 2020, 61, 1319–1335. [Google Scholar] [CrossRef] [PubMed]
- Mbizvo, G.K.; Schnier, C.; Simpson, C.R.; Duncan, S.E.; Chin, R.F.M. Validating the accuracy of administrative healthcare data identifying epilepsy in deceased adults: A Scottish data linkage study. Epilepsy Res. 2020, 167, 106462. [Google Scholar] [CrossRef]
- St Germaine-Smith, C.; Liu, M.; Quan, H.; Wiebe, S.; Jette, N. Development of an epilepsy-specific risk adjustment comorbidity index. Epilepsia 2011, 52, 2161–2167. [Google Scholar] [CrossRef] [PubMed]
- The Official Statistics Portal of The Lithuanian Department of Statistics (Statistics Lithuania). Available online: https://www.stat.gov.lt/# (accessed on 29 June 2021).
- Health Statistics Portal of Institute of Hygiene. Available online: https://stat.hi.lt/ (accessed on 29 June 2021).
- Naing, N.N. Easy way to learn standardization: Direct and indirect methods. Malays. J. Med. Sci. 2000, 7, 10–15. [Google Scholar] [PubMed]
- Gardner, J.W.; Sanborn, J.S. Years of Potential Life Lost (YPLL)—What Does it Measure? Epidemiology 1990, 1, 322–329. [Google Scholar] [CrossRef] [PubMed]
- Watila, M.M.; Balarabe, S.A.; Ojo, O.; Keezer, M.R.; Sander, J.W. Overall and cause-specific premature mortality in epilepsy: A systematic review. Epilepsy Behav. 2018, 16, 17. [Google Scholar] [CrossRef] [PubMed]
- Shackleton, D.P.; Westendorp, R.G.J.; Kasteleijn-Nolst Trenité, D.G.A.; De Craen, A.J.M.; Vandenbroucke, J.P. Survival of patients with epilepsy: An estimate of the mortality risk. Epilepsia 2002, 43, 445–450. [Google Scholar] [CrossRef] [PubMed] [Green Version]
- Nevalainen, O.; Ansakorpi, H.; Simola, M.; Raitanen, J.; Isojärvi, J.; Artama, M.; Auvinen, A. Epilepsy-related clinical characteristics and mortality: A systematic review and meta-analysis. Neurology 2014, 83, 1968–1977. [Google Scholar] [CrossRef]
- Logroscino, G.; Hesdorffer, D.C. Methodologic Issues in Studies of Mortality Following Epilepsy: Measures, Types of Studies, Sources of Cases, Cohort Effects, and Competing Risks. Epilepsia 2005, 46, 3–7. [Google Scholar] [CrossRef] [PubMed]
- Sveinsson, O.; Andersson, T.; Carlsson, S.; Tomson, T. The incidence of SUDEP: A nationwide population-based cohort study. Neurology 2017, 89, 170–177. [Google Scholar] [CrossRef]
- Thurman, D.J.; Hesdorffer, D.C.; French, J.A. Sudden unexpected death in epilepsy: Assessing the public health burden. Epilepsia 2014, 55, 1479–1485. [Google Scholar] [CrossRef]
- Devinsky, O.; Friedman, D.; Cheng, J.Y.; Moffatt, E.; Kim, A.; Tseng, Z.H. Underestimation of sudden deaths among patients with seizures and epilepsy. Neurology 2017, 89, 886–892. [Google Scholar] [CrossRef] [PubMed]
- Gandy, M.; Modi, A.C.; Wagner, J.L.; LaFrance, W.C.; Reuber, M.; Tang, V.; Valente, K.D.; Goldstein, L.H.; Donald, K.A.; Rayner, G.; et al. Managing depression and anxiety in people with epilepsy: A survey of epilepsy health professionals by the ILAE Psychology Task Force. Epilepsia Open 2021, 6, 127–139. [Google Scholar] [CrossRef] [PubMed]
- Wafa, H.A.; Wolfe, C.D.A.; Emmett, E.; Roth, G.A.; Johnson, C.O.; Wang, Y. Burden of Stroke in Europe: Thirty-Year Projections of Incidence, Prevalence, Deaths, and Disability-Adjusted Life Years. Stroke 2020, 51, 2418–2427. [Google Scholar] [CrossRef]





| Data Source | Group | Variables Extracted (for Every Year of Analysis) |
|---|---|---|
| Database of the NCHIF of Lithuania | People with epilepsy (all) | For every individual:
|
| The State Register of Death Cases and Their Causes | People with epilepsy (deceased) | For every individual:
|
| The open portal of the National Institute of Hygiene of Lithuania | General population |
|
| Department of Statistics of Lithuania | General population |
|
| Year | ||||||
| 2016 | 2017 | 2018 | 2019 | |||
| Persons with epilepsy | All | 36,746 | 35,730 | 34,524 | 33,252 | |
| Male | 21,729 | 20,998 | 20,221 | 19,326 | ||
| Female | 15,017 | 14,732 | 14,303 | 13,926 | ||
| Prevalence (per 1000 inhabitants) | 12.7 | 12.5 | 12.3 | 11.9 | r = −0.98, p = 0.02 | |
| Deaths | All | 1699 | 1554 | 1510 | 1589 | |
| Male | 1150 | 975 | 978 | 992 | ||
| Female | 549 | 579 | 532 | 597 | ||
| Mortality (per 1000 PWE) | 46.2 | 43.5 | 43.7 | 47.8 | r = 0.31, p = 0.69 | |
| Age at death ±SD (years) | All | 63.9 ± 17.0 | 64.5 ± 17.3 | 63.8 ± 17.0 | 65.4 ± 17.2 | H(3) = 11.465, p = 0.009 a |
| Male | 61.2 ± 15.8 | 61.6 ± 16.1 | 61.2 ± 16.0 | 61.8 ± 16.1 | H(3) = 1.979, p = 0.577 | |
| Female | 69.6 ± 17.9 | 69.6 ± 18.0 | 68.6 ± 17.8 | 71.4 ± 17.3 | H(3) = 10.186, p = 0.017 b | |
| Potential years of life lost c | All | 868.3 | 782.5 | 799.2 | 774.8 | |
| Male | 672.4 | 565.3 | 586.2 | 580.6 | ||
| Female | 195.9 | 217.2 | 213.1 | 194.2 | ||
| Year | ||||
| 2016 | 2017 | 2018 | 2019 | |
| All external causes of death | 4.34 (3.71–4.96) * | 4.18 (3.53–4.82) * | 4.14 (3.47–4.82) * | 4.33 (3.60–5.06) * |
| Transport accident | 3.00 (1.14–4.86) * | 2.11 (0.55–3.67) | 3.10 (1.08–5.13) * | 1.50 (0.03–2.96) |
| Drowning | 3.78 (1.44–6.12) * | 4.10 (1.26–6.94) * | 2.39 (0.30–4.49) | 4.55 (1.40–7.70) * |
| Fall | 6.41 (4.32–8.51) * | 6.47 (4.38–8.55) * | 5.86 (3.92–7.80) * | 6.11 (4.09–8.13) * |
| Poisoning | 4.95 (3.15–6.75) * | 3.11 (1.63–4.59) * | 4.46 (2.45–6.46) * | 4.68 (2.39–6.98) * |
| Suicide | 2.96 (1.96–3.95) * | 3.11 (2.03–4.19) * | 2.09 (1.15–3.03) * | 2.02 (1.06–2.97) * |
| Event of undetermined intent | 4.71 (2.65–6.78) * | 4.84 (2.54–7.14) * | 5.70 (3.14–8.26) * | 6.75 (3.79–9.70) * |
| Assault | 2.91 (0.06–5.76) | 1.91 (0–4.56) | 5.23 (0.65–9.81) | 5.12 (0.10–10.14) |
| Unknown or unspecified deaths | 1.84 (0.88–2.81) | 1.85 (0.88–2.81) | 2.31 (1.32–3.30) * | 3.35 (2.11–4.59) * |
Publisher’s Note: MDPI stays neutral with regard to jurisdictional claims in published maps and institutional affiliations. |
© 2021 by the authors. Licensee MDPI, Basel, Switzerland. This article is an open access article distributed under the terms and conditions of the Creative Commons Attribution (CC BY) license (https://creativecommons.org/licenses/by/4.0/).
Share and Cite
Puteikis, K.; Mameniškienė, R. Mortality among People with Epilepsy: A Retrospective Nationwide Analysis from 2016 to 2019. Int. J. Environ. Res. Public Health 2021, 18, 10512. https://doi.org/10.3390/ijerph181910512
Puteikis K, Mameniškienė R. Mortality among People with Epilepsy: A Retrospective Nationwide Analysis from 2016 to 2019. International Journal of Environmental Research and Public Health. 2021; 18(19):10512. https://doi.org/10.3390/ijerph181910512
Chicago/Turabian StylePuteikis, Kristijonas, and Rūta Mameniškienė. 2021. "Mortality among People with Epilepsy: A Retrospective Nationwide Analysis from 2016 to 2019" International Journal of Environmental Research and Public Health 18, no. 19: 10512. https://doi.org/10.3390/ijerph181910512
APA StylePuteikis, K., & Mameniškienė, R. (2021). Mortality among People with Epilepsy: A Retrospective Nationwide Analysis from 2016 to 2019. International Journal of Environmental Research and Public Health, 18(19), 10512. https://doi.org/10.3390/ijerph181910512

