The Immediate and Lasting Effect of Emotion Regulation in Adolescents: An ERP Study
Abstract
:1. Introduction
1.1. Emotion Regulation and Cognitive Reappraisal
1.2. The Immediate and Lasting Effect of Emotion Regulation
1.3. ERP Components Related to Emotion Regulation
1.4. Adolescents and Emotion Regulation
1.5. The Present Study
2. Methods
2.1. Participants
2.2. Experimental Procedure
2.2.1. Phase 1: Online Emotion Regulation (Immediate Effects of Emotion Regulation)
2.2.2. Phase 2: Re-presentation of Emotional Stimuli (Lasting Effects of Emotion Regulation)
2.3. Psychophysiological Recordings and Data Reduction
2.4. Behavioral and ERP Data Analysis
3. Results
3.1. Behavioral Results
3.1.1. Phase 1: Online Emotion Regulation
3.1.2. Phase 2: Re-presentation of Emotional Stimuli
3.2. Neural Results
3.2.1. Phase 1: Online Emotion Regulation (Immediate Effects of Emotion Regulation)
3.2.2. Phase 2: Re-presentation of Emotional Stimuli (Lasting Effects of Emotion Regulation)
3.3. Relationships between Immediate and Lasting Effects of Emotion Regulation
4. Discussion
5. Conclusions
Author Contributions
Funding
Institutional Review Board Statement
Informed Consent Statement
Data Availability Statement
Conflicts of Interest
Appendix A
References
- Sabatier, C.; Cervantes, D.R.; Torres, M.M.; los Rios, O.H.D.; Sañudo, J.P. Emotion regulation in children and adolescents: Concepts, processes and influences. Psicol. Desde Caribe 2017, 34, 101–110. [Google Scholar] [CrossRef]
- Cracco, E.; Goossens, L.; Braet, C. Emotion regulation across childhood and adolescence: Evidence for a maladaptive shift in adolescence. Eur. Child Adolesc. Psychiatry 2017, 26, 909–921. [Google Scholar] [CrossRef] [PubMed]
- MacNamara, A.; Ochsner, K.N.; Hajcak, G. Previously reappraised: The lasting effect of description type on picture-elicited electrocortical activity. Soc. Cogn. Affect. Neurosci. 2011, 6, 348–358. [Google Scholar] [CrossRef] [PubMed] [Green Version]
- Denny, B.T.; Inhoff, M.C.; Zerubavel, N.; Davachi, L.; Ochsner, K.N. Getting over it: Long-lasting effects of emotion regulation on amygdala response. Psychol. Sci. 2015, 26, 1377–1388. [Google Scholar] [CrossRef] [Green Version]
- John, O.P.; Gross, J.J. Healthy and unhealthy emotion regulation: Personality processes, individual differences, and life span development. J. Personal. 2004, 72, 1301–1334. [Google Scholar] [CrossRef]
- Gross, J.J.; Thompson, R.A. Emotion Regulation: Conceptual Foundations. In Handbook of Emotion Regulation; Gross, J.J., Ed.; Guilford Press: New York, NY, USA, 2007; pp. 3–27. [Google Scholar]
- Restubog, S.L.D.; Ocampo, A.C.G.; Wang, L. Taking control amidst the chaos: Emotion regulation during the covid-19 pandemic. J. Vocat. Behav. 2020, 119, 103440. [Google Scholar] [CrossRef]
- Zimmermann, P.; Iwanski, A. Emotion regulation from early adolescence to emerging adulthood and middle adulthood: Age differences, gender differences, and emotion-specific developmental variations. Int. J. Behav. Dev. 2014, 38, 182–194. [Google Scholar] [CrossRef]
- Ahmed, S.P.; Bittencourt-Hewitt, A.; Sebastian, C.L. Neurocognitive bases of emotion regulation development in adolescence. Dev. Cogn. Neurosci. 2015, 15, 11–25. [Google Scholar] [CrossRef] [Green Version]
- McLaughlin, K.A.; Hatzenbuehler, M.L.; Mennin, D.S.; Nolen-Hoeksema, S. Emotion dysregulation and adolescent psychopathology: A prospective study. Behav. Res. Ther. 2011, 49, 544–554. [Google Scholar] [CrossRef] [Green Version]
- Lennarz, H.K.; Hollenstein, T.; Lichtwarck-Aschoff, A.; Kuntsche, E.; Granic, I. Emotion regulation in action: Use, selection, and success of emotion regulation in adolescents’ daily lives. Int. J. Behav. Dev. 2019, 43, 1–11. [Google Scholar] [CrossRef]
- Brewer, S.K.; Zahniser, E.; Conley, C.S. Longitudinal impacts of emotion regulation on emerging adults: Variable- and person-centered approaches. J. Appl. Dev. Psychol. 2016, 47, 1–12. [Google Scholar] [CrossRef]
- Augustine, A.A.; Hemenover, S.H. On the relative effectiveness of affect regulation strategies: A meta-analysis. Cogn. Emot. 2009, 23, 1181–1220. [Google Scholar] [CrossRef]
- Webb, T.L.; Miles, E.; Sheeran, P. Dealing with feeling: A meta-analysis of the effectiveness of strategies derived from the process model of emotion regulation. Psychol. Bull. 2012, 138, 775–808. [Google Scholar] [CrossRef] [PubMed]
- Meyer, T.; Smeets, T.; Giesbrecht, T.; Merckelbach, H. The efficiency of reappraisal and expressive suppression in regulating everyday affective experiences. Psychiatry Res. 2012, 200, 964–969. [Google Scholar] [CrossRef] [PubMed]
- Gross, J.J. Handbook of Emotion Regulation, 2nd ed.; Guilford Press: New York, NY, USA, 2014. [Google Scholar]
- Kuppens, P.; Verduyn, P. Looking at Emotion Regulation Through the Window of Emotion Dynamics. Psychol. Inq. 2015, 26, 72–79. [Google Scholar] [CrossRef]
- Walter, H.; von Kalckreuth, A.; Schardt, D.; Stephan, A.; Goschke, T.; Erk, S. The temporal dynamics of voluntary emotion regulation. PLoS ONE 2009, 4, e6726. [Google Scholar] [CrossRef] [Green Version]
- Hermann, A.; Kress, L.; Stark, R.; Hermann, A. Neural correlates of immediate and prolonged effects of cognitive reappraisal and distraction on emotional experience. Brain Imaging Behav. 2017, 11, 1227–1237. [Google Scholar] [CrossRef] [PubMed] [Green Version]
- Thiruchselvam, R.; Blechert, J.; Sheppes, G.; Rydstrom, A.; Gross, J.J. The temporal dynamics of emotion regulation: An EEG study of distraction and reappraisal. Biol. Psychol. 2011, 87, 84–92. [Google Scholar] [CrossRef]
- Silvers, J.A.; Shu, J.; Hubbard, A.D.; Weber, J.; Ochsner, K.N. Concurrent and lasting effects of emotion regulation on amygdala response in adolescence and young adulthood. Dev. Sci. 2015, 18, 771–784. [Google Scholar] [CrossRef] [Green Version]
- Hajcak, G.; MacNamara, A.; Olvet, D.M. Event-related potentials, emotion, and emotion regulation: An integrative review. Dev. Neuropsychol. 2010, 35, 129–155. [Google Scholar] [CrossRef]
- Lahat, A.; Todd, R.M.; Mahy, C.E.; Lau, K.; Zelazo, P.D. Neurophysiological correlates of executive function: A comparison of European-canadian and chinese-canadian 5-year-old children. Front. Hum. Neurosci. 2010, 3, 72. [Google Scholar] [CrossRef] [Green Version]
- Lewis, M.D.; Todd, R.M.; Honsberger, M.J.M. Event-related potential measures of emotion regulation in early childhood. NeuroReport 2007, 18, 61–65. [Google Scholar] [CrossRef]
- Dennis, T.A.; Hajcak, G. The late positive potential: A neurophysiological marker for emotion regulation in children. J. Child Psychol. Psychiatry 2009, 50, 1373–1383. [Google Scholar] [CrossRef] [Green Version]
- Deng, X.; Zhang, L. Neural underpinnings of the relationships between sensation seeking and emotion regulation in adolescents. Int. J. Psychol. 2020, 55, 851–860. [Google Scholar] [CrossRef]
- Krendl, A.C.; Zucker, H.R.; Kensinger, E.A. Examining the effects of emotion regulation on the ERP response to highly negative social stigmas. Soc. Neurosci. 2017, 12, 349–360. [Google Scholar] [CrossRef] [PubMed]
- Espinet, S.D.; Anderson, J.E.; Zelazo, P.D. N2 amplitude as a neural marker of executive function in young children: An ERP study of children who switch versus perseverate on the Dimensional Change Card Sort. Dev. Cogn. Neurosci. 2012, 2, 49–58. [Google Scholar] [CrossRef] [Green Version]
- Buss, K.A.; Dennis, T.A.; Brooker, R.J.; Sippel, L.M. An ERP study of conflict monitoring in 4–8-year old children: Associations with temperament. Dev. Cogn. Neurosci. 2011, 1, 131–140. [Google Scholar] [CrossRef] [PubMed] [Green Version]
- Lamm, C.; Lewis, M.D. Developmental Change in the Neurophysiological Correlates of Self-Regulation in High- and Low-Emotion Conditions. Dev. Neuropsychol. 2010, 35, 156–176. [Google Scholar] [CrossRef] [PubMed]
- Zhang, W.; Lu, J. Time course of automatic emotion regulation during a facial Go/Nogo task. Biol. Psychol. 2012, 89, 444–449. [Google Scholar] [CrossRef] [PubMed]
- Hajcak, G.; Dennis, T.A. Brain potentials during affective picture viewing in children. Biol. Psychol. 2009, 80, 333–338. [Google Scholar] [CrossRef] [PubMed] [Green Version]
- Paul, S.; Simon, D.; Kniesche, R.; Kathmann, N.; Endrass, T. Timing effects of antecedent- and response-focused emotion regulation strategies. Biol. Psychol. 2013, 94, 136–142. [Google Scholar] [CrossRef]
- MacNamara, A.; Foti, D.; Hajcak, G. Tell me about it: Neural activity elicited by emotional stimuli and preceding descriptions. Emotion 2009, 9, 531–543. [Google Scholar] [CrossRef] [PubMed] [Green Version]
- Weinberg, A.; Ferri, J.; Hajcak, G. Interactions between attention and emotion: Insights from the late positive potential. In Handbook of Cognition and Emotion; Robinson, M.D., Watkins, E.R., Harmon-Jones, E., Eds.; Guilford Press: New York, NY, USA, 2013; pp. 35–54. [Google Scholar]
- Deng, X.; Sang, B.; Ku, Y.; Sai, L. Age-Related Differences in the Late Positive Potential during Emotion Regulation between Adolescents and Adults. Sci. Rep. 2019, 9, 1–12. [Google Scholar] [CrossRef] [Green Version]
- Desatnik, A.; Bel-Bahar, T.; Nolte, T.; Crowley, M.; Fonagy, P.; Fearon, P. Emotion regulation in adolescents: An ERP study. Biol. Psychol. 2017, 129, 52–61. [Google Scholar] [CrossRef] [PubMed]
- DeCicco, J.M.; Solomon, B.; Dennis, T.A. Neural correlates of cognitive reappraisal in children: An ERP study. Dev. Cogn. Neurosci. 2012, 2, 70–80. [Google Scholar] [CrossRef] [PubMed] [Green Version]
- Silk, J.S.; Steinberg, L.; Morris, A.S. Adolescents’ Emotion Regulation in Daily Life: Links to Depressive Symptoms and Problem Behavior. Child Dev. 2003, 74, 1869–1880. [Google Scholar] [CrossRef] [PubMed]
- Forbes, E.E.; Dahl, R.E. Neural systems of positive affect: Relevance to understanding child and adolescent depression? Dev. Psychopathol. 2005, 17, 827–850. [Google Scholar] [CrossRef]
- Andersen, S.L.; Teicher, M.H. Stress, sensitive periods and maturational events in adolescent depression. Trends Neurosci. 2008, 31, 183–191. [Google Scholar] [CrossRef]
- Arain, M.; Haque, M.; Johal, L.; Mathur, P.; Nel, W.; Rais, A.; Sandhu, R.; Sharma, S. Maturation of the adolescent brain. Neuropsychiatr. Dis. Treat. 2013, 9, 449–461. [Google Scholar]
- Giedd, J.N.; Blumenthal, J.; Jeffries, N.O.; Castellanos, F.X.; Liu, H.; Zijdenbos, A.; Paus, T.; Evans, A.C.; Rapoport, J.L. Brain development during childhood and adolescence: A longitudinal MRI study. Nat. Neurosci. 1999, 2, 861–863. [Google Scholar] [CrossRef]
- Stephanou, K.; Davey, C.G.; Kerestes, R.; Whittle, S.; Pujol, J.; Yücel, M.; Fornito, A.; López-Solà, M.; Harrison, B.J. Brain functional correlates of emotion regulation across adolescence and young adulthood. Hum. Brain Mapp. 2016, 37, 7–19. [Google Scholar] [CrossRef] [Green Version]
- Blakemore, S.J. Imaging brain development: The adolescent brain. NeuroImage 2012, 61, 397–406. [Google Scholar] [CrossRef]
- Faul, F.; Erdfelder, E.; Lang, A.; Buchner, A. G*Power 3: A flexible statistical power analysis program for the social, behavioral, and biomedical sciences. Behav. Res. Methods 2007, 39, 175–191. [Google Scholar] [CrossRef]
- Desatnik, A.; Bel-Bahar, T.; Taylor, L.; Nolte, T.; Crowley, M.J.; Fonagy, P.; Fearon, P. Emotion regulation in adolescents: Influences of internal representations of relationships—An ERP study. Int. J. Psychophysiol. 2021, 160, 1–9. [Google Scholar] [CrossRef] [PubMed]
- Ochsner, K.N.; Ray, R.D.; Cooper, J.C.; Robertson, E.R.; Chopra, S.; Gabrieli, J.D.; Gross, J.J. For better or for worse: Neural systems supporting the cognitive down- and up-regulation of negative emotion. Neuroimage 2004, 23, 483–499. [Google Scholar] [CrossRef] [PubMed]
- Moser, J.S.; Krompinger, J.W.; Dietz, J.; Simons, R.F. Electrophysiological correlates of decreasing and increasing emotional responses to unpleasant pictures. Psychophysiology 2009, 46, 17–27. [Google Scholar] [CrossRef]
- Silvers, J.A.; McRae, K.; Gabrieli, J.D.E.; Gross, J.J.; Remy, K.A.; Ochsner, K.N. Age-related differences in emotional reactivity, regulation and rejection sensitivity in adolescence. Emotion 2012, 12, 1235–1247. [Google Scholar] [CrossRef] [PubMed] [Green Version]
- Bai, L.; Ma, H.; Huang, Y.X.; Luo, Y.J. The development of native Chinese affective picture system-a pretest in 46 college students. Chin. Ment. Health J. 2005, 19, 719–722. [Google Scholar]
- Mehmood, R.M.; Lee, H.J. A novel feature extraction method based on late positive potential for emotion recognition in human brain signal patterns. Comput. Electr. Eng. 2016, 53, 444–457. [Google Scholar] [CrossRef]
- Murata, A.; Moser, J.S.; Kitayama, S. Culture shapes electrocortical responses during emotion suppression. Soc. Cogn. Affect. Neurosci. 2013, 49, 595–601. [Google Scholar] [CrossRef] [Green Version]
- Kitayama, S.; Murata, A. Culture modulates perceptual attention: An event-related potential study. Soc. Cogn. 2013, 31, 758–769. [Google Scholar] [CrossRef]
- Casey, B.J.; Duhoux, S.; Malter Cohen, M. Adolescence: What do transmission, transition, and translation have to do with it? Neuron 2010, 67, 749–760. [Google Scholar] [CrossRef] [PubMed] [Green Version]
- McRae, K.; Gross, J.J.; Weber, J.; Robertson, E.R.; Sokol-Hessner, P.; Ray, R.D.; Gabrieli, J.D.E.; Ochsner, K.N. The development of emotion regulation: An fMRI study of cognitive reappraisal in children, adolescents and young adults. Soc. Cogn. Affect. Neurosci. 2012, 7, 11–22. [Google Scholar] [CrossRef] [PubMed]
- Liu, W.; Liu, F.; Chen, L.; Jiang, Z.; Shang, J. Cognitive reappraisal in children: Neuropsychological evidence of up-regulating positive emotion from an erp study. Front. Psychol. 2019, 10, 147. [Google Scholar] [CrossRef] [PubMed] [Green Version]



| Stimulus Type | Phase | Arousal (M ± SD) |
|---|---|---|
| Negative reappraisal | 1 | 3.37 ± 1.85 |
| 2 | 3.35 ± 2.11 | |
| Negative no-regulation | 1 | 3.71 ± 2.02 |
| 2 | 3.37 ± 2.18 | |
| Neutral reappraisal | 1 | 1.86 ± 0.88 |
| 2 | 1.88 ± 1.04 | |
| Neutral no-regulation | 1 | 1.91 ± 0.88 |
| 2 | 1.87 ± 1.06 |
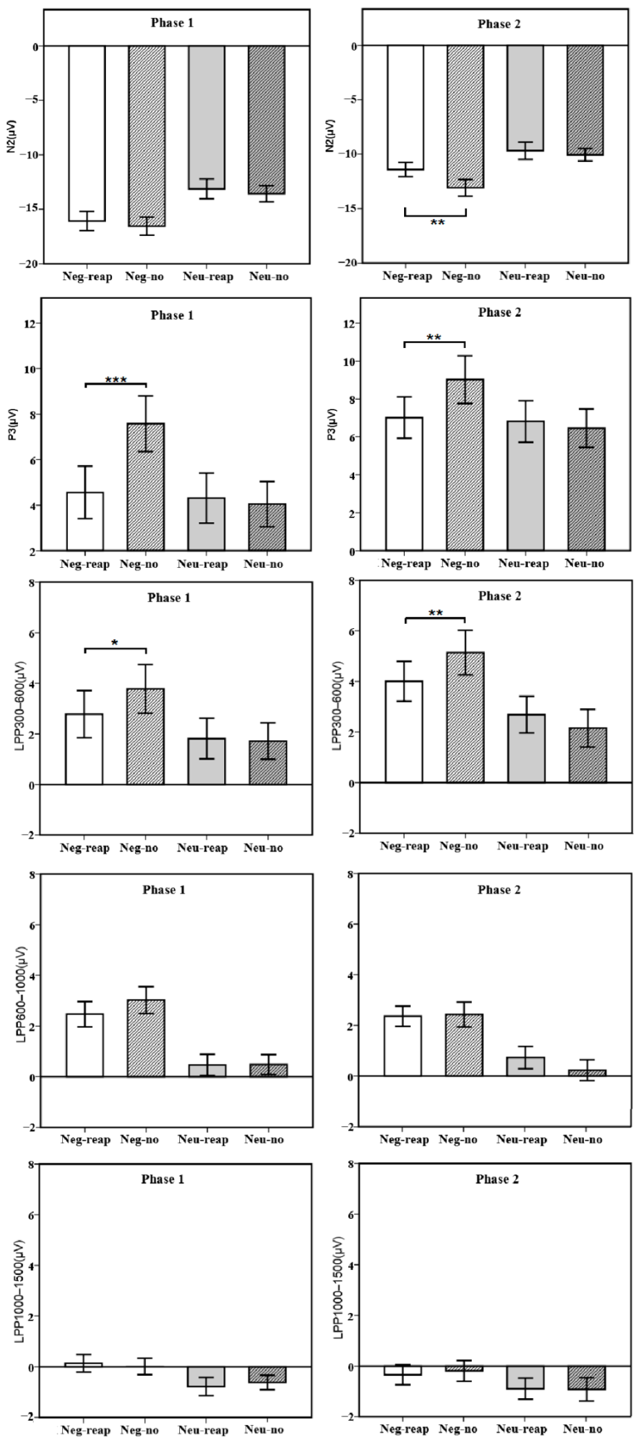
| ERPs | Condition | Amplitude (M ± SD) | |
|---|---|---|---|
| Phase 1 | Phase 2 | ||
| N2 | Negative reappraisal | −16.08 ± 6.28 | −11.40 ± 4.66 |
| Negative no-regulation | −16.56 ± 5.88 | −13.09 ± 5.45 | |
| Neutral reappraisal | −13.13 ± 6.46 | −9.68 ± 5.71 | |
| Neutral no-regulation | −13.57 ± 5.35 | −10.06 ± 4.10 | |
| P3 | Negative reappraisal | 4.56 ± 8.26 | 7.01 ± 7.79 |
| Negative no-regulation | 7.58 ± 8.74 | 9.02 ± 9.00 | |
| Neutral reappraisal | 4.31 ± 7.88 | 6.81 ± 7.82 | |
| Neutral no-regulation | 4.04 ± 7.09 | 6.46 ± 7.21 | |
| LPP 300–600 ms | Negative reappraisal | 2.78 ± 6.68 | 4.00 ± 5.64 |
| Negative no-regulation | 3.78 ± 6.88 | 5.14 ± 6.29 | |
| Neutral reappraisal | 1.81 ± 5.73 | 2.68 ± 5.18 | |
| Neutral no-regulation | 1.72 ± 5.13 | 2.15 ± 5.34 | |
| LPP 600–1000 ms | Negative reappraisal | 2.47 ± 3.55 | 2.36 ± 2.83 |
| Negative no-regulation | 3.02 ± 3.80 | 2.43 ± 3.49 | |
| Neutral reappraisal | 0.47 ± 2.97 | 0.73 ± 3.16 | |
| Neutral no-regulation | 0.48 ± 2.77 | 0.23 ± 2.96 | |
| LPP 1000–1500 ms | Negative reappraisal | 0.13 ± 2.45 | −0.34 ± 2.82 |
| Negative no-regulation | 0.01 ± 2.31 | −0.19 ± 2.91 | |
| Neutral reappraisal | −0.78 ± 2.55 | −0.89 ± 2.97 | |
| Neutral no-regulation | −0.62 ± 2.04 | −0.92 ± 3.28 | |
| ERPs | Condition | β | t | R2 | F |
|---|---|---|---|---|---|
| N2 | Negative reappraisal | 0.54 *** | 4.46 | 0.29 | 19.92 *** |
| Negative no-regulation | 0.54 *** | 4.53 | 0.30 | 20.48 *** | |
| Neutral reappraisal | 0.60 *** | 5.24 | 0.40 | 27.49 *** | |
| Neutral no-regulation | 0.45 ** | 3.48 | 0.20 | 12.09 ** | |
| P3 | Negative reappraisal | 0.78 *** | 8.71 | 0.61 | 75.81 *** |
| Negative no-regulation | 0.78 *** | 8.60 | 0.60 | 73.98 *** | |
| Neutral reappraisal | 0.77 *** | 8.52 | 0.60 | 72.59 *** | |
| Neutral no-regulation | 0.69 *** | 6.60 | 0.47 | 43.53 *** | |
| LPP 300–600 ms | Negative reappraisal | 0.73 *** | 7.47 | 0.53 | 55.80 *** |
| Negative no-regulation | 0.70 *** | 6.94 | 0.49 | 48.14 *** | |
| Neutral reappraisal | 0.72 *** | 7.35 | 0.52 | 54.02 *** | |
| Neutral no-regulation | 0.60 *** | 5.29 | 0.36 | 27.94 *** | |
| LPP 600–1000 ms | Negative reappraisal | 0.10 | 0.72 | 0.01 | 0.52 |
| Negative no-regulation | 0.05 | 0.38 | 0.00 | 0.14 | |
| Neutral reappraisal | 0.20 | 1.43 | 0.04 | 2.05 | |
| Neutral no-regulation | 0.22 | 1.59 | 0.05 | 2.54 | |
| LPP 1000–1500 ms | Negative reappraisal | 0.05 | 0.37 | 0.00 | 0.14 |
| Negative no-regulation | 0.15 | 1.07 | 0.02 | 1.14 | |
| Neutral reappraisal | 0.16 | 1.11 | 0.03 | 1.23 | |
| Neutral no-regulation | 0.40 ** | 3.09 | 0.16 | 9.57 ** |
Publisher’s Note: MDPI stays neutral with regard to jurisdictional claims in published maps and institutional affiliations. |
© 2021 by the authors. Licensee MDPI, Basel, Switzerland. This article is an open access article distributed under the terms and conditions of the Creative Commons Attribution (CC BY) license (https://creativecommons.org/licenses/by/4.0/).
Share and Cite
Yang, M.; Deng, X.; An, S. The Immediate and Lasting Effect of Emotion Regulation in Adolescents: An ERP Study. Int. J. Environ. Res. Public Health 2021, 18, 10242. https://doi.org/10.3390/ijerph181910242
Yang M, Deng X, An S. The Immediate and Lasting Effect of Emotion Regulation in Adolescents: An ERP Study. International Journal of Environmental Research and Public Health. 2021; 18(19):10242. https://doi.org/10.3390/ijerph181910242
Chicago/Turabian StyleYang, Meng, Xinmei Deng, and Sieun An. 2021. "The Immediate and Lasting Effect of Emotion Regulation in Adolescents: An ERP Study" International Journal of Environmental Research and Public Health 18, no. 19: 10242. https://doi.org/10.3390/ijerph181910242
APA StyleYang, M., Deng, X., & An, S. (2021). The Immediate and Lasting Effect of Emotion Regulation in Adolescents: An ERP Study. International Journal of Environmental Research and Public Health, 18(19), 10242. https://doi.org/10.3390/ijerph181910242
