Profile Pictures in the Digital World: Self-Photographs Predict Better Life Satisfaction
Abstract
:1. Introduction
2. Materials and Methods
2.1. Participants
2.2. Measures
2.2.1. Life Satisfaction
2.2.2. Openness and Extraversion
2.2.3. Type of Profile Pictures
2.3. Data Analysis
3. Results
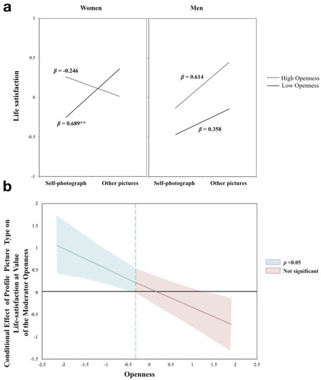
3.1. Openness
3.2. Extraversion
4. Discussion
4.1. Implications
4.2. Limitations and Future Research
5. Conclusions
Author Contributions
Funding
Institutional Review Board Statement
Informed Consent Statement
Data Availability Statement
Conflicts of Interest
References
- Belk, R.W. Extended Self and the Digital World. Curr. Opin. Psychol. 2016, 10, 50–54. [Google Scholar] [CrossRef]
- Hudson, A.M.; Gore, J.S. A Picture Is Worth a Thousand Posts: An Exploratory Examination of Personality Traits and Profile Picture Content. J. Soc. Media Soc. 2017, 6, 170–188. [Google Scholar]
- MAJ, M. The Self and Schizophrenia: Some Open Issues. World Psychiatry 2012, 11, 65–66. [Google Scholar] [CrossRef] [Green Version]
- Skogen, J.C.; Hjetland, G.J.; Bøe, T.; Hella, R.T.; Knudsen, A.K. Through the Looking Glass of Social Media. Focus on Self-Presentation and Association with Mental Health and Quality of Life. A Cross-Sectional Survey-Based Study. Int. J. Environ. Res. Public Health 2021, 18, 3319. [Google Scholar] [CrossRef]
- Ong, E.Y.L.; Ang, R.P.; Ho, J.C.M.; Lim, J.C.Y.; Goh, D.H.; Lee, C.S.; Chua, A.Y.K. Narcissism, Extraversion and Adolescents’ Self-Presentation on Facebook. Personal. Individ. Differ. 2011, 50, 180–185. [Google Scholar] [CrossRef]
- Saura, J.R.; Ribeiro-Soriano, D.; Palacios-Marqués, D. From User-Generated Data to Data-Driven Innovation: A Research Agenda to Understand User Privacy in Digital Markets. Int. J. Inf. Manag. 2021, 102331. [Google Scholar] [CrossRef]
- Nowak, K.L.; Fox, J. Avatars and Computer-Mediated Communication: A Review of the Definitions, Uses, and Effects of Digital Representations. Rev. Commun. Res. 2018, 6, 30–53. [Google Scholar] [CrossRef]
- Wang, D. A Study of the Relationship between Narcissism, Extraversion, Drive for Entertainment, and Narcissistic Behavior on Social Networking Sites. Comput. Hum. Behav. 2017, 66, 138–148. [Google Scholar] [CrossRef]
- Mills, J.S.; Musto, S.; Williams, L.; Tiggemann, M. “Selfie” Harm: Effects on Mood and Body Image in Young Women. Body Image 2018, 27, 86–92. [Google Scholar] [CrossRef]
- Shin, Y.; Kim, M.; Im, C.; Chong, S.C. Selfie and Self: The Effect of Selfies on Self-Esteem and Social Sensitivity. Personal. Individ. Differ. 2017, 111, 139–145. [Google Scholar] [CrossRef]
- Yue, Z.; Toh, Z.; Stefanone, M.A. Me, Myselfie, and I: Individual and Platform Differences in Selfie Taking and Sharing Behaviour. In Proceedings of the 8th International Conference on Social Media & Society—#SMSociety17, Toronto, ON, Canada, 28–30 July 2017; ACM Press: Toronto, ON, Canada, 2017; pp. 1–12. [Google Scholar]
- Back, M.D.; Stopfer, J.M.; Vazire, S.; Gaddis, S.; Schmukle, S.C.; Egloff, B.; Gosling, S.D. Facebook Profiles Reflect Actual Personality, Not Self-Idealization. Psychol. Sci. 2010, 21, 372–374. [Google Scholar] [CrossRef]
- Sorokowska, A.; Oleszkiewicz, A.; Frackowiak, T.; Pisanski, K.; Chmiel, A.; Sorokowski, P. Selfies and Personality: Who Posts Self-Portrait Photographs? Personal. Individ. Differ. 2016, 90, 119–123. [Google Scholar] [CrossRef]
- Gosling, S.D.; Augustine, A.A.; Vazire, S.; Holtzman, N.; Gaddis, S. Manifestations of Personality in Online Social Networks: Self-Reported Facebook-Related Behaviors and Observable Profile Information. Cyberpsychol. Behav. Soc. Netw. 2011, 14, 483–488. [Google Scholar] [CrossRef] [Green Version]
- Liu, L.; Preotiuc-Pietro, D.; Samani, Z.R.; Moghaddam, M.E.; Ungar, L. Analyzing Personality through Social Media Profile Picture Choice. In Proceedings of the Tenth International AAAI Conference on Web and Social Media, Cologne, Germany, 31 March 2016. [Google Scholar]
- Whitty, M.T.; Doodson, J.; Creese, S.; Hodges, D. A Picture Tells a Thousand Words: What Facebook and Twitter Images Convey about Our Personality. Personal. Individ. Differ. 2018, 133, 109–114. [Google Scholar] [CrossRef]
- Segalin, C.; Celli, F.; Polonio, L.; Kosinski, M.; Stillwell, D.; Sebe, N.; Cristani, M.; Lepri, B. What Your Facebook Profile Picture Reveals about Your Personality. In Proceedings of the 25th ACM international conference on Multimedia, Mountain View, CA, USA, 23–27 October 2017; Association for Computing Machinery: New York, NY, USA, 2017; pp. 460–468. [Google Scholar]
- Steel, P.; Schmidt, J.; Shultz, J. Refining the Relationship between Personality and Subjective Well-Being. Psychol. Bull. 2008, 134, 138–161. [Google Scholar] [CrossRef] [PubMed]
- Krämer, N.C.; Feurstein, M.; Kluck, J.P.; Meier, Y.; Rother, M.; Winter, S. Beware of Selfies: The Impact of Photo Type on Impression Formation Based on Social Networking Profiles. Front. Psychol. 2017. [Google Scholar] [CrossRef] [Green Version]
- Dhir, A.; Pallesen, S.; Torsheim, T.; Andreassen, C.S. Do Age and Gender Differences Exist in Selfie-Related Behaviours? Comput. Hum. Behav. 2016, 63, 549–555. [Google Scholar] [CrossRef]
- Stefanone, M.A.; Lackaff, D.; Rosen, D. Contingencies of Self-Worth and Social-Networking-Site Behavior. Cyberpsychol. Behav. Soc. Netw. 2010, 14, 41–49. [Google Scholar] [CrossRef] [PubMed] [Green Version]
- Wu, Y.-C.J.; Chang, W.-H.; Yuan, C.-H. Do Facebook Profile Pictures Reflect User’s Personality? Comput. Hum. Behav. 2015, 51, 880–889. [Google Scholar] [CrossRef]
- Sorokowski, P.; Sorokowska, A.; Frackowiak, T.; Karwowski, M.; Rusicka, I.; Oleszkiewicz, A. Sex Differences in Online Selfie Posting Behaviors Predict Histrionic Personality Scores among Men but Not Women. Comput. Hum. Behav. 2016, 59, 368–373. [Google Scholar] [CrossRef]
- Reed, P.; Saunders, J. Sex Differences in Online Assertive Self-Presentation Strategies. Personal. Individ. Differ. 2020, 166, 110214. [Google Scholar] [CrossRef]
- Lin, X.; Su, W.; Potenza, M.N. Development of an Online and Offline Integration Hypothesis for Healthy Internet Use: Theory and Preliminary Evidence. Front. Psychol. 2018, 9. [Google Scholar] [CrossRef] [PubMed] [Green Version]
- Diener, E.; Emmons, R.A.; Larsen, R.J.; Griffin, S. The Satisfaction With Life Scale. J. Personal. Assess. 1985, 49, 71–75. [Google Scholar] [CrossRef]
- Goldberg, L.R. The Structure of Phenotypic Personality Traits. Am. Psychol. 1993, 48, 26–34. [Google Scholar] [CrossRef] [PubMed]
- Nosko, A.; Wood, E.; Molema, S. All about Me: Disclosure in Online Social Networking Profiles: The Case of Facebook. Comput. Hum. Behav. 2010, 26, 406–418. [Google Scholar] [CrossRef]
- Johnson, P.O.; Fay, L.C. The Johnson-Neyman Technique, Its Theory and Application. Psychometrika 1950, 15, 349–367. [Google Scholar] [CrossRef]
- Beck, A.T. Cognitive Therapy of Depression; Guilford Press: New York, NY, USA, 1979; ISBN 978-0-89862-919-4. [Google Scholar]
- Yin, X.-Q.; de Vries, D.A.; Gentile, D.A.; Wang, J.-L. Cultural Background and Measurement of Usage Moderate the Association Between Social Networking Sites (SNSs) Usage and Mental Health: A Meta-Analysis. Soc. Sci. Comput. Rev. 2019, 37, 631–648. [Google Scholar] [CrossRef]
- Kim, H.; Schimmack, U.; Oishi, S.; Tsutsui, Y. Extraversion and Life Satisfaction: A Cross-Cultural Examination of Student and Nationally Representative Samples. J. Personal. 2018, 86, 604–618. [Google Scholar] [CrossRef]
- Ferwerda, B.; Schedl, M.; Tkalcic, M. Personality Traits and the Relationship with (Non-) Disclosure Behavior on Facebook. In Proceedings of the 25th International Conference Companion on World Wide Web, Montreal, QC, Cananda, 11–15 April 2016; pp. 565–568. [Google Scholar]
- Gittelman, S.; Lange, V.; Gotway Crawford, C.A.; Okoro, C.A.; Lieb, E.; Dhingra, S.S.; Trimarchi, E. A New Source of Data for Public Health Surveillance: Facebook Likes. J. Med. Internet. Res. 2015, 17, e98. [Google Scholar] [CrossRef] [Green Version]
- Saura, J.R.; Palacios-Marqués, D.; Iturricha-Fernández, A. Ethical Design in Social Media: Assessing the Main Performance Measurements of User Online Behavior Modification. J. Bus. Res. 2021, 129, 271–281. [Google Scholar] [CrossRef]
- León, M.P.; González-Martí, I.; Contreras-Jordán, O.R. What Do Children Think of Their Perceived and Ideal Bodies? Understandings of Body Image at Early Ages: A Mixed Study. Int. J. Environ. Res. Public Health 2021, 18, 4871. [Google Scholar] [CrossRef] [PubMed]
- Jokisaari, M. Regrets and Subjective Well-Being: A Life Course Approach. J. Adult Dev. 2004, 11, 281–288. [Google Scholar] [CrossRef]

| Variables | 1 | 2 | 3 | 4 | 5 |
|---|---|---|---|---|---|
| 1. Life-satisfaction | — | ||||
| 2. Gender a, c | −0.108 | — | |||
| 3. Extraversion | 0.426 *** | −0.055 | — | ||
| 4. Openness | 0.141 * | 0.05 | 0.286 *** | — | |
| 5. Type of profiles b, c | 0.167 ** | −0.091 | −0.017 | 0.006 | |
| M | 20.2 | 45% | 3.28 | 3.49 | 33.4% |
| SD | 6.28 | N/A | 0.925 | 0.6 | N/A |
| Predictor | Model 1 | Model 2 | Model 3 | Model 4 |
|---|---|---|---|---|
| Control | ||||
| Age | 0.096 | 0.092 | 0.095 | 0.110 |
| Platform | −0.068 | 0.044 | 0.087 | 0.143 |
| Main effects | ||||
| Gender | −0.202 | −0.302 * | −0.313 * | |
| Openness | 0.137 * | 0.158 | 0.280 ** | |
| Profile picture | 0.288 * | 0.203 | 0.206 | |
| Two-way interactions | ||||
| Openness × gender | 0.130 | −0.101 | ||
| Openness × profile picture type | −0.199 | −0.485 ** | ||
| Gender × profile picture type | 0.085 | 0.096 | ||
| Three-way interactions | ||||
| Openness ×gender × profile picture type | 0.618 ** | |||
| Adjusted R2 | 0.008 | 0.050 | 0.060 | 0.080 |
| R2 change | 0.015 | 0.051 ** | 0.019 | 0.023 |
| Predictor | Model 1 | Model 2 | Model 3 | Model 4 |
|---|---|---|---|---|
| Control | ||||
| Age | 0.096 | −0.006 | −0.002 | 0.002 |
| Platform | −0.068 | −0.572 *** | −0.567 *** | −0.563 |
| Main effects | ||||
| Gender | −0.109 | −0.561 | −0.116 | |
| Extraversion | 0.517 *** | 0.459 *** | 0.528 *** | |
| Profile picture | 0.150 | 0.159 | 0.849 | |
| Two-way interactions | ||||
| Extraversion × gender | 0.218 | −0.018 | ||
| Extraversion × profile picture type | −0.033 | −0.375 | ||
| Gender × profile picture type | 0.043 | −0.403 | ||
| Three-way interactions | ||||
| Extraversion × gender × profile picture type | 0.469 | |||
| Adjusted R2 | 0.008 | 0.261 | 0.259 | 0.265 |
| R2 change | 0.015 | 0.259 *** | 0.005 | 0.009 |
Publisher’s Note: MDPI stays neutral with regard to jurisdictional claims in published maps and institutional affiliations. |
© 2021 by the authors. Licensee MDPI, Basel, Switzerland. This article is an open access article distributed under the terms and conditions of the Creative Commons Attribution (CC BY) license (https://creativecommons.org/licenses/by/4.0/).
Share and Cite
Hung, K.; Lee, N.A.; Peng, K.; Sui, J. Profile Pictures in the Digital World: Self-Photographs Predict Better Life Satisfaction. Int. J. Environ. Res. Public Health 2021, 18, 6667. https://doi.org/10.3390/ijerph18126667
Hung K, Lee NA, Peng K, Sui J. Profile Pictures in the Digital World: Self-Photographs Predict Better Life Satisfaction. International Journal of Environmental Research and Public Health. 2021; 18(12):6667. https://doi.org/10.3390/ijerph18126667
Chicago/Turabian StyleHung, Kalai, Naomi A. Lee, Kaiping Peng, and Jie Sui. 2021. "Profile Pictures in the Digital World: Self-Photographs Predict Better Life Satisfaction" International Journal of Environmental Research and Public Health 18, no. 12: 6667. https://doi.org/10.3390/ijerph18126667
APA StyleHung, K., Lee, N. A., Peng, K., & Sui, J. (2021). Profile Pictures in the Digital World: Self-Photographs Predict Better Life Satisfaction. International Journal of Environmental Research and Public Health, 18(12), 6667. https://doi.org/10.3390/ijerph18126667

