Cardiac and Locomotor Responses to Acute Stress in Signal Crayfish Pacifastacus leniusculus Exposed to Methamphetamine at an Environmentally Relevant Concentration
Abstract
1. Introduction
2. Material and Methods
2.1. Experimental Animals, Experimental Setup, Data Acquisition, Chemicals
2.2. Statistical Analysis
3. Results
3.1. Analysis of Water Samples
3.2. Cardiac Activity
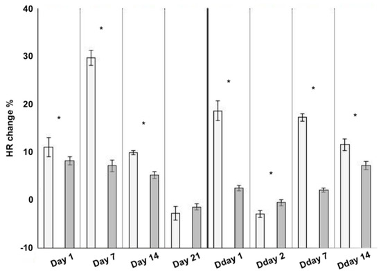
3.2.1. Exposure Period
3.2.2. Depuration Period
3.3. Locomotion
4. Discussion
5. Conclusions
Supplementary Materials
Author Contributions
Funding
Acknowledgments
Conflicts of Interest
References
- Pal, R.; Megharaj, M.; Kirkbride, K.P.; Naidu, R. Illicit drugs and the environment—A review. Sci. Total Environ. 2013, 463, 1079–1092. [Google Scholar] [CrossRef] [PubMed]
- Nefau, T.; Karolak, S.; Castillo, L.; Boireau, V.; Levi, Y. Corrigendum to “Presence of illicit drugs and metabolites in influents and effluents of 25 sewage water treatment plants and map of drug consumption in France” [Sci. Total Environ. 461–462 (2013) 712–722]. Sci. Total Environ. 2014, 1179–1181. [Google Scholar] [CrossRef]
- United Nations Office on Drugs and Crime. World Drug Report 2019; United Nations publication, Sales No. E.19.XI.8; United Nations Office on Drugs and Crime: Vienna, Austria, 2019; pp. 9–10. [Google Scholar]
- Bramness, J.G.; Reid, M.J.; Solvik, K.F.; Vindenes, V. Recent trends in the availability and use of amphetamine and methamphetamine in Norway. Forensic Sci. Int. 2015, 246, 92–97. [Google Scholar] [CrossRef] [PubMed]
- European Monitoring Centre for Drugs and Drug Addiction. European Drug Report 2019: Trends and Developments; Publications Office of the European Union: Luxembourg, 2019; pp. 52–53.
- Du, P.; Li, K.; Li, J.; Xu, Z.; Fu, X.; Yang, J.; Zhang, H.; Li, X. Methamphetamine and ketamine use in major Chinese cities, a nationwide reconnaissance through sewage-based epidemiology. Water Res. 2015, 84, 76–84. [Google Scholar] [CrossRef]
- Boleda, M.R.; Galceran, M.T.; Ventura, F. Monitoring of opiates, cannabinoids and their metabolites in wastewater, surface water and finished water in Catalonia, Spain. Water Res. 2009, 43, 1126–1136. [Google Scholar] [CrossRef]
- Boleda, M.R.; Huerta-Fontela, M.; Ventura, F.; Galceran, M.T. Evaluation of the presence of drugs of abuse in tap waters. Chemosphere 2011, 84, 1601–1607. [Google Scholar] [CrossRef]
- Causanilles, A.; Ruepert, C.; Ibáñez, M.; Emke, E.; Hernández, F.; de Voogt, P. Occurrence and fate of illicit drugs and pharmaceuticals in wastewater from two wastewater treatment plants in Costa Rica. Sci. Total Environ. 2017, 599, 98–107. [Google Scholar] [CrossRef]
- González-Mariño, I.; Baz-Lomba, J.A.; Alygizakis, N.A.; Andrés-Costa, M.J.; Bade, R.; Barron, L.P.; Been, F.; Berset, J.D.; Bijlsma, L.; Bodík, I. Spatio-temporal assessment of illicit drug use at large scale: Evidence from 7 years of international wastewater monitoring. Addiction 2020, 115, 109–120. [Google Scholar] [CrossRef]
- Li, K.; Du, P.; Xu, Z.; Gao, T.; Li, X. Occurrence of illicit drugs in surface waters in China. Environ. Pollut. 2016, 213, 395–402. [Google Scholar] [CrossRef]
- Lopes, A.; Silva, N.; Bronze, M.; Ferreira, J.; Morais, J. Analysis of cocaine and nicotine metabolites in wastewater by liquid chromatography–tandem mass spectrometry. Cross abuse index patterns on a major community. Sci. Total Environ. 2014, 487, 673–680. [Google Scholar] [CrossRef]
- Mackuľak, T.; Bodík, I.; Hasan, J.; Grabic, R.; Golovko, O.; Vojs-Staňová, A.; Gál, M.; Naumowicz, M.; Tichý, J.; Brandeburová, P. Dominant psychoactive drugs in the Central European region: A wastewater study. Forensic Sci. Int. 2016, 267, 42–51. [Google Scholar] [CrossRef] [PubMed]
- Mastroianni, N.; López-García, E.; Postigo, C.; Barceló, D.; de Alda, M.L. Five-year monitoring of 19 illicit and legal substances of abuse at the inlet of a wastewater treatment plant in Barcelona (NE Spain) and estimation of drug consumption patterns and trends. Sci. Total Environ. 2017, 609, 916–926. [Google Scholar] [CrossRef] [PubMed]
- Xu, Z.; Du, P.; Li, K.; Gao, T.; Wang, Z.; Fu, X.; Li, X. Tracing methamphetamine and amphetamine sources in wastewater and receiving waters via concentration and enantiomeric profiling. Sci. Total Environ. 2017, 601, 159–166. [Google Scholar] [CrossRef] [PubMed]
- Miller, T.H.; Ng, K.T.; Bury, S.T.; Bury, S.E.; Bury, N.R.; Barron, L.P. Biomonitoring of pesticides, pharmaceuticals and illicit drugs in a freshwater invertebrate to estimate toxic or effect pressure. Environ. Int. 2019, 129, 595–606. [Google Scholar] [CrossRef]
- Capaldo, A.; Gay, F.; Maddaloni, M.; Valiante, S.; De Falco, M.; Lenzi, M.; Laforgia, V. Presence of cocaine in the tissues of the European eel, Anguilla anguilla, exposed to environmental cocaine concentrations. Water Air Soil Pollut. 2012, 223, 2137–2143. [Google Scholar] [CrossRef]
- Binelli, A.; Marisa, I.; Fedorova, M.; Hoffmann, R.; Riva, C. First evidence of protein profile alteration due to the main cocaine metabolite (benzoylecgonine) in a freshwater biological model. Aquat. Toxicol. 2013, 140, 268–278. [Google Scholar] [CrossRef]
- Binelli, A.; Pedriali, A.; Riva, C.; Parolini, M. Illicit drugs as new environmental pollutants: Cyto-genotoxic effects of cocaine on the biological model Dreissena polymorpha. Chemosphere 2012, 86, 906–911. [Google Scholar] [CrossRef]
- Parolini, M.; Pedriali, A.; Riva, C.; Binelli, A. Sub-lethal effects caused by the cocaine metabolite benzoylecgonine to the freshwater mussel Dreissena polymorpha. Sci. Total Environ. 2013, 444, 43–50. [Google Scholar] [CrossRef]
- Sacavage, S.; Patel, H.; Zielinski, M.; Acker, J.; Phillips, A.G.; Raffa, R.B.; Rawls, S.M. Withdrawal-like behavior in planarians is dependent on drug exposure duration. Neurosci. Lett. 2008, 439, 84–88. [Google Scholar] [CrossRef]
- Kusayama, T.; Watanabe, S. Reinforcing effects of methamphetamine in planarians. Neuroreport 2000, 11, 2511–2513. [Google Scholar] [CrossRef]
- Alcaro, A.; Panksepp, J.; Huber, R. D-amphetamine stimulates unconditioned exploration/approach behaviors in crayfish: Towards a conserved evolutionary function of ancestral drug reward. Pharmacol. Biochem. Behav. 2011, 99, 75–80. [Google Scholar] [CrossRef] [PubMed][Green Version]
- Imeh-Nathaniel, A.; Adedeji, A.; Huber, R.; Nathaniel, T.I. The rewarding properties of methamphetamine in an invertebrate model of drug addiction. Physiol. Behav. 2016, 153, 40–46. [Google Scholar] [CrossRef] [PubMed]
- Nathaniel, T.I.; Huber, R.; Panksepp, J. Repeated cocaine treatments induce distinct locomotor effects in crayfish. Brain Res. Bull. 2012, 87, 328–333. [Google Scholar] [CrossRef] [PubMed]
- Shipley, A.T.; Imeh-Nathaniel, A.; Orfanakos, V.B.; Wormack, L.N.; Huber, R.; Nathaniel, T.I. The Sensitivity of the crayfish reward system to mammalian drugs of abuse. Front. Physiol. 2017, 8, 1007. [Google Scholar] [CrossRef]
- van Staaden, M.J.; Huber, R. Crayfish learning: Addiction and the ganglionic brain. Perspect. Behav. Sci. 2018, 41, 417–429. [Google Scholar] [CrossRef]
- Liao, P.-H.; Hwang, C.-C.; Chen, T.-H.; Chen, P.-J. Developmental exposures to waterborne abused drugs alter physiological function and larval locomotion in early life stages of medaka fish. Aquat. Toxicol. 2015, 165, 84–92. [Google Scholar] [CrossRef]
- Gay, F.; Maddaloni, M.; Valiante, S.; Laforgia, V.; Capaldo, A. Endocrine disruption in the European eel, Anguilla anguilla, exposed to an environmental cocaine concentration. Water Air Soil Pollut. 2013, 224, 1579. [Google Scholar] [CrossRef]
- Kaye, S.; McKetin, R.; Duflou, J.; Darke, S. Methamphetamine and cardiovascular pathology: A review of the evidence. Addiction 2007, 102, 1204–1211. [Google Scholar] [CrossRef]
- Völlm, B.A.; De Araujo, I.E.; Cowen, P.J.; Rolls, E.T.; Kringelbach, M.L.; Smith, K.A.; Jezzard, P.; Heal, R.J.; Matthews, P.M. Methamphetamine activates reward circuitry in drug naive human subjects. Neuropsychopharmacology 2004, 29, 1715–1722. [Google Scholar] [CrossRef]
- Hossain, M.S.; Kubec, J.; Grabicová, K.; Grabic, R.; Randák, T.; Guo, W.; Kouba, A.; Buřič, M. Environmentally relevant concentrations of methamphetamine and sertraline modify the behavior and life history traits of an aquatic invertebrate. Aquat. Toxicol. 2019, 213, 105222. [Google Scholar] [CrossRef]
- Guo, W.; Hossain, M.S.; Kubec, J.; Grabicová, K.; Randák, T.; Buřič, M.; Kouba, A. Psychoactive compounds at environmental concentration alter burrowing behavior in the freshwater crayfish. Sci. Total Environ. 2019, 711, 135138. [Google Scholar] [CrossRef] [PubMed]
- Kubec, J.; Hossain, M.S.; Grabicová, K.; Randák, T.; Kouba, A.; Grabic, R.; Roje, S.; Buřič, M. Oxazepam alters the behavior of crayfish at diluted concentrations, venlafaxine does not. Water 2019, 11, 196. [Google Scholar] [CrossRef]
- Kuklina, I.; Ložek, F.; Císař, P.; Kouba, A.; Kozák, P. Crayfish can distinguish between natural and chemical stimuli as assessed by cardiac and locomotor reactions. Environ. Sci. Pollut. Res. 2018, 25, 8396–8403. [Google Scholar] [CrossRef] [PubMed]
- Tierney, A.; Hanzlik, K.; Hathaway, R.; Powers, C.; Roy, M. Effects of fluoxetine on growth and behavior in the crayfish Orconectes rusticus. Mar. Freshw. Behav. Physiol. 2016, 49, 133–145. [Google Scholar] [CrossRef]
- Kuklina, I.; Ložek, F.; Císař, P.; Pautsina, A.; Buřič, M.; Kozák, P. Continuous noninvasive measuring of crayfish cardiac and behavioral activities. JoVE (J. Vis. Exp.) 2019, e58555. [Google Scholar] [CrossRef]
- Ložek, F.; Kuklina, I.; Grabicová, K.; Kubec, J.; Buřič, M.; Grabic, R.; Randák, T.; Císař, P.; Kozák, P. Behaviour and cardiac response to stress in signal crayfish exposed to environmental concentrations of tramadol. Aquat. Toxicol. 2019, 213, 105217. [Google Scholar] [CrossRef]
- Hazlett, B.A. Alarm responses in the crayfishOrconectes virilis andOrconectes propinquus. J. Chem. Ecol. 1994, 20, 1525–1535. [Google Scholar] [CrossRef]
- Bláha, M.; Grabicova, K.; Shaliutina, O.; Kubec, J.; Randák, T.; Zlabek, V.; Buřič, M.; Veselý, L. Foraging behaviour of top predators mediated by pollution of psychoactive pharmaceuticals and effects on ecosystem stability. Sci. Total Environ. 2019, 662, 655–661. [Google Scholar] [CrossRef]
- Brodin, T.; Piovano, S.; Fick, J.; Klaminder, J.; Heynen, M.; Jonsson, M. Ecological effects of pharmaceuticals in aquatic systems—Impacts through behavioural alterations. Philos. Trans. R. Soc. B Biol. Sci. 2014, 369, 20130580. [Google Scholar] [CrossRef]
- Imeh-Nathaniel, A.; Rincon, N.; Orfanakos, V.B.; Brechtel, L.; Wormack, L.; Richardson, E.; Huber, R.; Nathaniel, T.I. Effects of chronic cocaine, morphine and methamphetamine on the mobility, immobility and stereotyped behaviors in crayfish. Behav. Brain Res. 2017, 332, 120–125. [Google Scholar] [CrossRef]
- Mark, K.A.; Soghomonian, J.-J.; Yamamoto, B.K. High-dose methamphetamine acutely activates the striatonigral pathway to increase striatal glutamate and mediate long-term dopamine toxicity. J. Neurosci. 2004, 24, 11449–11456. [Google Scholar] [CrossRef] [PubMed]
- Won, S.; Hong, R.A.; Shohet, R.V.; Seto, T.B.; Parikh, N.I. Methamphetamine-associated cardiomyopathy. Clin. Cardiol. 2013, 36, 737–742. [Google Scholar] [CrossRef] [PubMed]
- Buřič, M.; Grabicová, K.; Kubec, J.; Kouba, A.; Kuklina, I.; Kozák, P.; Grabic, R.; Randák, T. Environmentally relevant concentrations of tramadol and citalopram alter behaviour of an aquatic invertebrate. Aquat. Toxicol. 2018, 200, 226–232. [Google Scholar] [CrossRef] [PubMed]




© 2020 by the authors. Licensee MDPI, Basel, Switzerland. This article is an open access article distributed under the terms and conditions of the Creative Commons Attribution (CC BY) license (http://creativecommons.org/licenses/by/4.0/).
Share and Cite
Ložek, F.; Kuklina, I.; Grabicová, K.; Kubec, J.; Buřič, M.; Randák, T.; Císař, P.; Kozák, P. Cardiac and Locomotor Responses to Acute Stress in Signal Crayfish Pacifastacus leniusculus Exposed to Methamphetamine at an Environmentally Relevant Concentration. Int. J. Environ. Res. Public Health 2020, 17, 2084. https://doi.org/10.3390/ijerph17062084
Ložek F, Kuklina I, Grabicová K, Kubec J, Buřič M, Randák T, Císař P, Kozák P. Cardiac and Locomotor Responses to Acute Stress in Signal Crayfish Pacifastacus leniusculus Exposed to Methamphetamine at an Environmentally Relevant Concentration. International Journal of Environmental Research and Public Health. 2020; 17(6):2084. https://doi.org/10.3390/ijerph17062084
Chicago/Turabian StyleLožek, Filip, Iryna Kuklina, Kateřina Grabicová, Jan Kubec, Miloš Buřič, Tomáš Randák, Petr Císař, and Pavel Kozák. 2020. "Cardiac and Locomotor Responses to Acute Stress in Signal Crayfish Pacifastacus leniusculus Exposed to Methamphetamine at an Environmentally Relevant Concentration" International Journal of Environmental Research and Public Health 17, no. 6: 2084. https://doi.org/10.3390/ijerph17062084
APA StyleLožek, F., Kuklina, I., Grabicová, K., Kubec, J., Buřič, M., Randák, T., Císař, P., & Kozák, P. (2020). Cardiac and Locomotor Responses to Acute Stress in Signal Crayfish Pacifastacus leniusculus Exposed to Methamphetamine at an Environmentally Relevant Concentration. International Journal of Environmental Research and Public Health, 17(6), 2084. https://doi.org/10.3390/ijerph17062084
