Air Pollutants Interaction and Gender Difference on Bone Mineral Density T-Score in Taiwanese Adults
Abstract
1. Introduction
2. Materials and Methods
2.1. Ethics Statement
2.2. The Taiwan Biobank
2.3. Collection of Demographic, Medical, and Laboratory Data
2.4. Assessment of Bone Mineral Density
2.5. Assessment of Air Pollutants
2.6. Example of Nearest Neighbor Interpolation
2.7. Statistical Analysis
3. Results
3.1. Correlations between Air Pollutants and BMD T-Score
3.2. Interaction between Air Pollutants on BMD T-Score
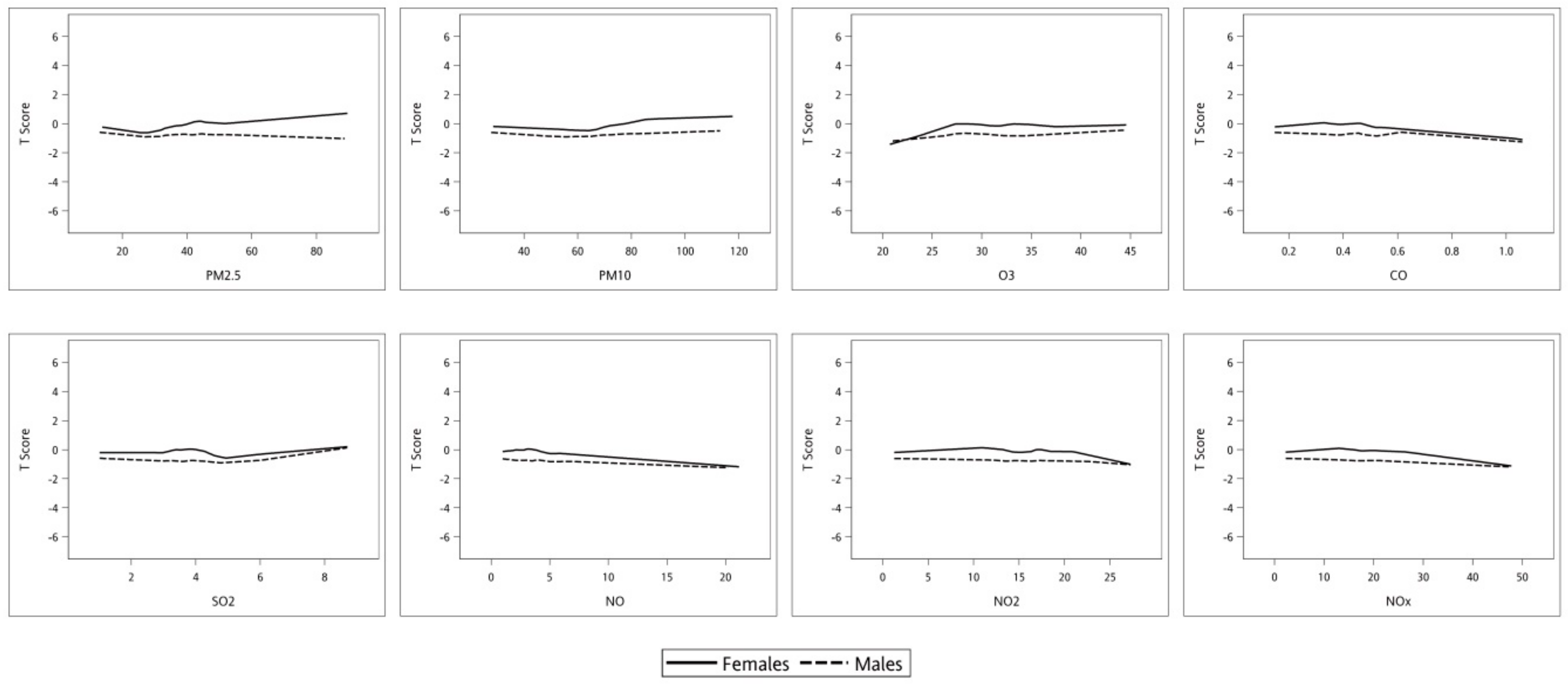
3.3. Correlation between Air Pollutants and BMD T-Score in Male and Female Participants
4. Discussion and Conclusions
Author Contributions
Funding
Conflicts of Interest
References
- Kanis, J.A. Assessment of fracture risk and its application to screening for postmenopausal osteoporosis: Synopsis of a WHO report. Osteoporos. Int. 1994, 4, 368–381. [Google Scholar] [CrossRef] [PubMed]
- Ensrud, K.E.; Crandall, C.J. Osteoporosis. Ann. Intern. Med. 2017, 167, itc17–itc32. [Google Scholar] [CrossRef] [PubMed]
- Cosman, F.; de Beur, S.J.; LeBoff, M.S.; Lewiecki, E.M.; Tanner, B.; Randall, S.; Lindsay, R. Clinician’s Guide to Prevention and Treatment of Osteoporosis. Osteoporos. Int. 2014, 25, 2359–2381. [Google Scholar] [CrossRef]
- Rapado, I.; Shulman, L.E.; Fleisch, H.A.; Stern, P.H.; Gennari, C.; Morita, R.; Genant, H.; Burckhardt, P.; Christiansen, C.; Peck, W.; et al. Consensus development conference: Diagnosis, prophylaxis, and treatment of osteoporosis. Am. J. Med. 1993, 94, 646–650. [Google Scholar] [CrossRef]
- Alvaer, K.; Meyer, H.E.; Falch, J.A.; Nafstad, P.; Søgaard, A.J. Outdoor air pollution and bone mineral density in elderly men—The Oslo Health Study. Osteoporos. Int. 2007, 18, 1669–1674. [Google Scholar] [CrossRef]
- Prada, D.; Zhong, J.; Colicino, E.; Zanobetti, A.; Schwartz, J.; Dagincourt, N.; Fang, S.C.; Kloog, I.; Zmuda, J.M.; Holick, M.; et al. Association of air particulate pollution with bone loss over time and bone fracture risk: Analysis of data from two independent studies. Lancet Planet. Health 2017, 1, e337–e347. [Google Scholar] [CrossRef]
- Cohen, A.J.; Brauer, M.; Burnett, R.; Anderson, H.R.; Frostad, J.; Estep, K.; Balakrishnan, K.; Brunekreef, B.; Dandona, L.; Dandona, R.; et al. Estimates and 25-year trends of the global burden of disease attributable to ambient air pollution: An analysis of data from the Global Burden of Diseases Study 2015. Lancet 2017, 389, 1907–1918. [Google Scholar] [CrossRef]
- Lin, L.F.; Lee, W.J.; Li, H.W.; Wang, M.S.; Chang-Chien, G.P. Characterization and inventory of PCDD/F emissions from coal-fired power plants and other sources in Taiwan. Chemosphere 2007, 68, 1642–1649. [Google Scholar] [CrossRef]
- Lisabeth, L.D.; Escobar, J.D.; Dvonch, J.T.; Sánchez, B.N.; Majersik, J.J.; Brown, D.L.; Smith, M.A.; Morgenstern, L.B. Ambient air pollution and risk for ischemic stroke and transient ischemic attack. Ann. Neurol. 2008, 64, 53–59. [Google Scholar] [CrossRef] [PubMed]
- Oftedal, B.; Brunekreef, B.; Nystad, W.; Madsen, C.; Walker, S.E.; Nafstad, P. Residential outdoor air pollution and lung function in schoolchildren. Epidemiology 2008, 19, 129–137. [Google Scholar] [CrossRef] [PubMed]
- Turin, T.C.; Kita, Y.; Rumana, N.; Nakamura, Y.; Ueda, K.; Takashima, N.; Sugihara, H.; Morita, Y.; Ichikawa, M.; Hirose, K.; et al. Ambient air pollutants and acute case-fatality of cerebro-cardiovascular events: Takashima Stroke and AMI Registry, Japan (1988–2004). Cerebrovasc. Dis. 2012, 34, 130–139. [Google Scholar] [CrossRef] [PubMed]
- Amini, H.; Trang Nhung, N.T.; Schindler, C.; Yunesian, M.; Hosseini, V.; Shamsipour, M.; Hassanvand, M.S.; Mohammadi, Y.; Farzadfar, F.; Vicedo-Cabrera, A.M.; et al. Short-term associations between daily mortality and ambient particulate matter, nitrogen dioxide, and the air quality index in a Middle Eastern megacity. Environ. Pollut. 2019, 254, 113121. [Google Scholar] [CrossRef] [PubMed]
- Gaio, V.; Roquette, R.; Dias, C.M.; Nunes, B. Ambient air pollution and lipid profile: Systematic review and meta-analysis. Environ. Pollut. 2019, 254, 113036. [Google Scholar] [CrossRef] [PubMed]
- Liu, X.; Tu, R.; Qiao, D.; Niu, M.; Li, R.; Mao, Z.; Huo, W.; Chen, G.; Xiang, H.; Guo, Y.; et al. Association between long-term exposure to ambient air pollution and obesity in a Chinese rural population: The Henan Rural Cohort Study. Environ. Pollut. 2020, 260, 114077. [Google Scholar] [CrossRef]
- Block, M.L.; Calderón-Garcidueñas, L. Air pollution: Mechanisms of neuroinflammation and CNS disease. Trends Neurosci. 2009, 32, 506–516. [Google Scholar] [CrossRef]
- Künzli, N.; Jerrett, M.; Garcia-Esteban, R.; Basagaña, X.; Beckermann, B.; Gilliland, F.; Medina, M.; Peters, J.; Hodis, H.N.; Mack, W.J. Ambient air pollution and the progression of atherosclerosis in adults. PLoS ONE 2010, 5, e9096. [Google Scholar] [CrossRef]
- Wang, M.; Zhao, J.; Wang, Y.; Mao, Y.; Zhao, X.; Huang, P.; Liu, Q.; Ma, Y.; Yao, Y.; Yang, Z.; et al. Genome-wide DNA methylation analysis reveals significant impact of long-term ambient air pollution exposure on biological functions related to mitochondria and immune response. Environ. Pollut. 2020, 264, 114707. [Google Scholar] [CrossRef]
- Shepherd, A.; Mullins, J.T. Arthritis diagnosis and early-life exposure to air pollution. Environ. Pollut. 2019, 253, 1030–1037. [Google Scholar] [CrossRef]
- Chang, K.H.; Chang, M.Y.; Muo, C.H.; Wu, T.N.; Hwang, B.F.; Chen, C.Y.; Lin, T.H.; Kao, C.H. Exposure to air pollution increases the risk of osteoporosis: A nationwide longitudinal study. Medicine 2015, 94, e733. [Google Scholar] [CrossRef]
- Alver, K.; Meyer, H.E.; Falch, J.A.; Søgaard, A.J. Outdoor air pollution, bone density and self-reported forearm fracture: The Oslo Health Study. Osteoporos. Int. 2010, 21, 1751–1760. [Google Scholar] [CrossRef]
- Mazzucchelli, R.; Crespi Villarias, N.; Perez Fernandez, E.; Durban Reguera, M.L.; Garcia-Vadillo, A.; Quiros, F.J.; Guzon, O.; Rodriguez Caravaca, G.; Gil de Miguel, A. Short-term association between outdoor air pollution and osteoporotic hip fracture. Osteoporos. Int. 2018, 29, 2231–2241. [Google Scholar] [CrossRef] [PubMed]
- Møller, P.; Loft, S. Oxidative damage to DNA and lipids as biomarkers of exposure to air pollution. Environ. Health Perspect. 2010, 118, 1126–1136. [Google Scholar] [CrossRef] [PubMed]
- Saha, H.; Mukherjee, B.; Bindhani, B.; Ray, M.R. Changes in RANKL and osteoprotegerin expression after chronic exposure to indoor air pollution as a result of cooking with biomass fuel. J. Appl. Toxicol. 2016, 36, 969–976. [Google Scholar] [CrossRef] [PubMed]
- Bind, M.A.; Baccarelli, A.; Zanobetti, A.; Tarantini, L.; Suh, H.; Vokonas, P.; Schwartz, J. Air pollution and markers of coagulation, inflammation, and endothelial function: Associations and epigene-environment interactions in an elderly cohort. Epidemiology 2012, 23, 332–340. [Google Scholar] [CrossRef]
- Prada, D.; López, G.; Solleiro-Villavicencio, H.; Garcia-Cuellar, C.; Baccarelli, A.A. Molecular and cellular mechanisms linking air pollution and bone damage. Environ. Res. 2020, 185, 109465. [Google Scholar] [CrossRef]
- Chen, C.H.; Yang, J.H.; Chiang, C.W.K.; Hsiung, C.N.; Wu, P.E.; Chang, L.C.; Chu, H.W.; Chang, J.; Song, I.W.; Yang, S.L.; et al. Population structure of Han Chinese in the modern Taiwanese population based on 10,000 participants in the Taiwan Biobank project. Hum. Mol. Genet. 2016, 25, 5321–5331. [Google Scholar] [CrossRef]
- Fan, C.T.; Hung, T.H.; Yeh, C.K. Taiwan Regulation of Biobanks. J. Law Med. Ethics A J. Am. Soc. Law Med. Ethics 2015, 43, 816–826. [Google Scholar]
- Levey, A.S.; Bosch, J.P.; Lewis, J.B.; Greene, T.; Rogers, N.; Roth, D. A more accurate method to estimate glomerular filtration rate from serum creatinine: A new prediction equation. Modification of Diet in Renal Disease Study Group. Ann. Intern. Med. 1999, 130, 461–470. [Google Scholar] [CrossRef]
- Cross, C.E.; Reznick, A.Z.; Packer, L.; Davis, P.A.; Suzuki, Y.J.; Halliwell, B. Oxidative damage to human plasma proteins by ozone. Free Radic. Res. Commun. 1992, 15, 347–352. [Google Scholar] [CrossRef]
- Agrillo, A.; Ungari, C.; Filiaci, F.; Priore, P.; Iannetti, G. Ozone therapy in the treatment of avascular bisphosphonate-related jaw osteonecrosis. J. Craniofacial Surg. 2007, 18, 1071–1075. [Google Scholar] [CrossRef]
- Ripamonti, C.I.; Maniezzo, M.; Boldini, S.; Pessi, M.A.; Mariani, L.; Cislaghi, E. Efficacy and tolerability of medical ozone gas insufflations in patients with osteonecrosis of the jaw treated with bisphosphonates-Preliminary data: Medical ozone gas insufflation in treating ONJ lesions. J. Bone Oncol. 2012, 1, 81–87. [Google Scholar] [CrossRef] [PubMed]
- Kazancioglu, H.O.; Ezirganli, S.; Aydin, M.S. Effects of laser and ozone therapies on bone healing in the calvarial defects. J. Craniofacial Surg. 2013, 24, 2141–2146. [Google Scholar] [CrossRef] [PubMed]
- Buyuk, S.K.; Ramoglu, S.I.; Sonmez, M.F. The effect of different concentrations of topical ozone administration on bone formation in orthopedically expanded suture in rats. Eur. J. Orthod. 2016, 38, 281–285. [Google Scholar] [CrossRef] [PubMed]
- Calafat, A.M.; Polzin, G.M.; Saylor, J.; Richter, P.; Ashley, D.L.; Watson, C.H. Determination of tar, nicotine, and carbon monoxide yields in the mainstream smoke of selected international cigarettes. Tob. Control. 2004, 13, 45–51. [Google Scholar] [CrossRef]
- Zhong, Q.; Huang, Y.; Shen, H.; Chen, Y.; Chen, H.; Huang, T.; Zeng, E.Y.; Tao, S. Global estimates of carbon monoxide emissions from 1960 to 2013. Environ. Sci. Pollut. Res. Int. 2017, 24, 864–873. [Google Scholar] [CrossRef]
- Rose, J.J.; Wang, L.; Xu, Q.; McTiernan, C.F.; Shiva, S.; Tejero, J.; Gladwin, M.T. Carbon Monoxide Poisoning: Pathogenesis, Management, and Future Directions of Therapy. Am. J. Respir. Crit. Care Med. 2017, 195, 596–606. [Google Scholar] [CrossRef]
- Chen, Y.L.; Weng, S.F.; Shen, Y.C.; Chou, C.W.; Yang, C.Y.; Wang, J.J.; Tien, K.J. Apnea and risk of osteoporosis: A population-based cohort study in Taiwan. J. Clin. Endocrinol. Metab. 2014, 99, 2441–2447. [Google Scholar] [CrossRef]
- Tseng, F.J.; Chia, W.T.; Wang, C.H.; Shyu, J.F.; Gou, G.H.; Shui, H.A.; Sytwu, H.K.; Pan, R.Y.; Weng, C.F. Carbon Monoxide Inhibits Receptor Activator of NF-κB (RANKL)-Induced Osteoclastogenesis. Cell Physiol. Biochem. 2015, 36, 1250–1258. [Google Scholar] [CrossRef]
- Wang, X.B.; Du, J.B.; Cui, H. Sulfur dioxide, a double-faced molecule in mammals. Life Sci. 2014, 98, 63–67. [Google Scholar] [CrossRef]
- Mitsuhashi, H.; Ikeuchi, H.; Yamashita, S.; Kuroiwa, T.; Kaneko, Y.; Hiromura, K.; Ueki, K.; Nojima, Y. Increased levels of serum sulfite in patients with acute pneumonia. Shock 2004, 21, 99–102. [Google Scholar] [CrossRef]
- Li, J.; Meng, Z. The role of sulfur dioxide as an endogenous gaseous vasoactive factor in synergy with nitric oxide. Nitric Oxide 2009, 20, 166–174. [Google Scholar] [CrossRef] [PubMed]
- Meng, Z.; Liu, Y.; Wu, D. Effect of sulfur dioxide inhalation on cytokine levels in lungs and serum of mice. Inhal. Toxicol. 2005, 17, 303–307. [Google Scholar] [CrossRef] [PubMed]
- De Benedetti, F.; Rucci, N.; Del Fattore, A.; Peruzzi, B.; Paro, R.; Longo, M.; Vivarelli, M.; Muratori, F.; Berni, S.; Ballanti, P.; et al. Impaired skeletal development in interleukin-6-transgenic mice: A model for the impact of chronic inflammation on the growing skeletal system. Arthritis Rheum. 2006, 54, 3551–3563. [Google Scholar] [CrossRef] [PubMed]
- Evans, D.M.; Ralston, S.H. Nitric oxide and bone. J. Bone Miner. Res. 1996, 11, 300–305. [Google Scholar] [CrossRef] [PubMed]
- Wimalawansa, S.J. Nitric oxide and bone. Ann. N. Y. Acad. Sci. 2010, 1192, 391–403. [Google Scholar] [CrossRef]
- Qiao, D.; Pan, J.; Chen, G.; Xiang, H.; Tu, R.; Zhang, X.; Dong, X.; Wang, Y.; Luo, Z.; Tian, H.; et al. Long-term exposure to air pollution might increase prevalence of osteoporosis in Chinese rural population. Environ. Res. 2020, 183, 109264. [Google Scholar] [CrossRef]
- Perret, J.L.; Bowatte, G.; Lodge, C.J.; Knibbs, L.D.; Gurrin, L.C.; Kandane-Rathnayake, R.; Johns, D.P.; Lowe, A.J.; Burgess, J.A.; Thompson, B.R.; et al. The Dose-Response Association between Nitrogen Dioxide Exposure and Serum Interleukin-6 Concentrations. Int. J. Mol. Sci. 2017, 18, 1015. [Google Scholar] [CrossRef]
- Smith, B.J.; Lerner, M.R.; Bu, S.Y.; Lucas, E.A.; Hanas, J.S.; Lightfoot, S.A.; Postier, R.G.; Bronze, M.S.; Brackett, D.J. Systemic bone loss and induction of coronary vessel disease in a rat model of chronic inflammation. Bone 2006, 38, 378–386. [Google Scholar] [CrossRef]
- Brown, G.C. Nitric oxide regulates mitochondrial respiration and cell functions by inhibiting cytochrome oxidase. FEBS Lett. 1995, 369, 136–139. [Google Scholar] [CrossRef]
- Poderoso, J.J.; Helfenberger, K.; Poderoso, C. The effect of nitric oxide on mitochondrial respiration. Nitric Oxide 2019, 88, 61–72. [Google Scholar] [CrossRef]
- Liu, C.; Ma, Q.; Liu, Y.; Ma, J.; He, H. Synergistic reaction between SO2 and NO2 on mineral oxides: A potential formation pathway of sulfate aerosol. Phys. Chem. Chem. Phys. 2012, 14, 1668–1676. [Google Scholar] [CrossRef] [PubMed]
- Eghbali-Fatourechi, G.; Khosla, S.; Sanyal, A.; Boyle, W.J.; Lacey, D.L.; Riggs, B.L. Role of rank ligand in mediating increased bone resorption in early postmenopausal women. J. Clin. Investig. 2003, 111, 1221–1230. [Google Scholar] [CrossRef] [PubMed]
- Jin, N.; Lin, S.; Zhang, Y.; Chen, F. Assess the discrimination of Achilles InSight calcaneus quantitative ultrasound device for osteoporosis in Chinese women: Compared with dual energy X-ray absorptiometry measurements. Eur. J. Radiol. 2010, 76, 265–268. [Google Scholar] [CrossRef] [PubMed]
- Trimpou, P.; Bosaeus, I.; Bengtsson, B.A.; Landin-Wilhelmsen, K. High correlation between quantitative ultrasound and DXA during 7 years of follow-up. Eur. J. Radiol. 2010, 73, 360–364. [Google Scholar] [CrossRef] [PubMed]
- Damilakis, J.; Papadokostakis, G.; Perisinakis, K.; Maris, T.G.; Karantanas, A.H. Hip fracture discrimination by the Achilles Insight QUS imaging device. Eur. J. Radiol. 2007, 63, 59–62. [Google Scholar] [CrossRef]
- Stewart, A.; Kumar, V.; Reid, D.M. Long-term fracture prediction by DXA and QUS: A 10-year prospective study. J. Bone Miner. Res. 2006, 21, 413–418. [Google Scholar] [CrossRef]
- Moayyeri, A.; Kaptoge, S.; Dalzell, N.; Bingham, S.; Luben, R.N.; Wareham, N.J.; Reeve, J.; Khaw, K.T. Is QUS or DXA better for predicting the 10-year absolute risk of fracture? J. Bone Miner. Res. 2009, 24, 1319–1325. [Google Scholar] [CrossRef]
- Hans, D.; Baim, S. Quantitative Ultrasound (QUS) in the Management of Osteoporosis and Assessment of Fracture Risk. J. Clin. Densitom. 2017, 20, 322–333. [Google Scholar] [CrossRef]




| Characteristics | All (n = 4595) | T-Score ≥ −1.0 (n = 2870) | T-Score < −1 (n = 1725) | p |
|---|---|---|---|---|
| Age (year) | 49.7 ± 10.7 | 47.6 ± 10.3 | 53.2 ± 10.5 | <0.001 |
| Male gender (%) | 46.1 | 40.7 | 54.9 | <0.001 |
| Smoking history (%) | 27.1 | 23.8 | 32.6 | <0.001 |
| DM (%) | 5.0 | 4.6 | 5.6 | 0.160 |
| Hypertension (%) | 11.1 | 9.2 | 14.1 | <0.001 |
| BMI (kg/m2) | 24.2 ± 3.5 | 24.3 ± 3.5 | 24.1 ± 3.5 | 0.023 |
| SBP (mmHg) | 115.6 ± 17.1 | 114.1 ± 17.1 | 118.2 ± 17.0 | <0.001 |
| DBP (mmHg) | 71.5 ± 11.1 | 71.0 ± 10.9 | 72.3 ± 11.5 | <0.001 |
| Laboratory parameters | ||||
| Fasting glucose (mg/dL) | 96.7 ± 19.7 | 95.6 ± 18.2 | 98.5 ± 21.8 | <0.001 |
| Triglyceride (mg/dL) | 97 (69–140) | 94 (66–136) | 100 (72–145) | <0.001 |
| Total cholesterol (mg/dL) | 195.5 ± 35.8 | 193.0 ± 35.4 | 199.7 ± 36.2 | <0.001 |
| HDL-cholesterol (mg/dL) | 54.3 ± 13.4 | 54.8 ± 13.5 | 53.6 ± 13.3 | 0.003 |
| LDL-cholesterol (mg/dL) | 122.5 ± 32.2 | 120.6 ± 31.6 | 125.6 ± 33.0 | <0.001 |
| Hemoglobin (g/dL) | 14.0 ± 1.6 | 13.9 ± 1.6 | 14.2 ± 1.5 | <0.001 |
| eGFR (mL/min/1.73 m2) | 108.0 ± 25.1 | 109.0 ± 25.0 | 106.2 ± 25.1 | <0.001 |
| Uric acid (mg/dL) | 5.6 ± 1.5 | 5.5 ± 1.5 | 5.7 ± 1.5 | <0.001 |
| Regular exercise habits (%) | 45.2 | 43.1 | 48.6 | <0.001 |
| Air pollutants | ||||
| PM2.5 (μg/m3) | 37.7 ± 10.8 | 38.0 ± 10.7 | 37.0 ± 10.8 | 0.003 |
| PM10 (μg/m3) | 67.8 ± 17.0 | 68.6 ± 17.3 | 66.5 ± 16.3 | <0.001 |
| O3 (ppb) | 30.9 ± 3.9 | 31.0 ± 3.7 | 30.7 ± 4.1 | 0.044 |
| CO (ppm) | 0.45 ± 0.18 | 0.44 ± 0.16 | 0.47 ± 0.21 | <0.001 |
| SO2 (ppb) | 3.7 ± 1.2 | 3.7 ± 1.2 | 3.7 ± 1.2 | 0.479 |
| NO (ppb) | 4.2 ± 4.1 | 3.9 ± 3.5 | 4.7 ± 4.8 | <0.001 |
| NO2 (ppb) | 15.1 ± 5.7 | 14.8 ± 5.5 | 15.4 ± 5.9 | 0.001 |
| NOx (ppb) | 19.3 ± 9.0 | 18.7 ± 8.2 | 20.2 ± 10.1 | <0.001 |
| Air Pollutants | Multivariable | |
|---|---|---|
| Unstandardized Coefficient β (95% CI) | p | |
| PM2.5 (per 1 μg/m3) | −0.002 (−0.006, 0.002) | 0.311 |
| PM10 (per 1 μg/m3) | 0.001 (−0.002, 0.004) | 0.491 |
| O3 (per 1 ppb) | 0.015 (0.004, 0.026) | 0.008 |
| CO (per 1 ppm) | −0.809 (−1.043, −0.576) | <0.001 |
| SO2 (per 1 ppb) | −0.050 (−0.085, −0.015) | 0.005 |
| NO (per 1 ppb) | −0.040 (−0.050, −0.029) | <0.001 |
| NO2 (per 1 ppb) | −0.023 (−0.030, −0.015) | <0.001 |
| NOx (per 1 ppb) | −0.017 (−0.022, 00.012) | <0.001 |
| Air Pollutants | Interaction | |
|---|---|---|
| Unstandardized Coefficient β (95% CI) | p | |
| CO SO2 | −0.041 (−0.229, 0.147) | 0.670 |
| CO NO | −0.036 (−0.097, 0.025) | 0.251 |
| CO NO2 | −0.004 (−0.055, 0.047) | 0.880 |
| CO NOx | −0.026 (−0.043, −0.010) | 0.001 |
| SO2 NO | 0.006 (−0.008, 0.021) | 0.385 |
| SO2 NO2 | −0.007 (−0.012, −0.002) | 0.004 |
| SO2 NOx | −0.002 (−0.005, 0.001) | 0.181 |
| NO NO2 | 0.002 (−0.003, 0.006) | 0.447 |
| NO NOx | 0.000 (−0.002, 0.002) | 0.795 |
| NO2 NOx | 0.001 (0.000, 0.002) | 0.146 |
| Parameters | Male | Female | Interaction p | ||
|---|---|---|---|---|---|
| Unstandardized Coefficient β (95% CI) | p | Unstandardized Coefficient β (95% CI) | p | ||
| PM2.5 (per 1 μg/m3) | −0.005 (−0.011, 0.000) | 0.060 | −0.001 (−0.007, 0.005) | 0.689 | <0.001 |
| PM10 (per 1 μg/m3) | 0.000 (−0.004, 0.003) | 0.773 | 0.001 (−0.002, 0.005) | 0.525 | 0.001 |
| O3 (per 1 ppb) | 0.002 (−0.014, 0.017) | 0.832 | 0.023 (0.008, 0.038) | 0.003 | 0.021 |
| CO (per 1 ppm) | −0.562 (−0.916, −0.207) | 0.002 | −0.870 (−1.175, −0.565) | <0.001 | 0.033 |
| SO2 (per 1 ppb) | −0.016 (−0.066, 0.034) | 0.522 | −0.074 (−0.121, −0.027) | 0.002 | 0.498 |
| NO (per 1 ppb) | −0.025 (−0.042, −0.009) | 0.003 | −0.043 (−0.057, −0.030) | <0.001 | 0.007 |
| NO2 (per 1 ppb) | −0.016 (−0.027, −0.005) | 0.004 | −0.026 (−0.036, −0.016) | <0.001 | 0.254 |
| NOx (per 1 ppb) | −0.012 (−0.019, −0.005) | 0.001 | −0.019 (−0.025, −0.013) | <0.001 | 0.049 |
Publisher’s Note: MDPI stays neutral with regard to jurisdictional claims in published maps and institutional affiliations. |
© 2020 by the authors. Licensee MDPI, Basel, Switzerland. This article is an open access article distributed under the terms and conditions of the Creative Commons Attribution (CC BY) license (http://creativecommons.org/licenses/by/4.0/).
Share and Cite
Lin, Y.-H.; Wang, C.-F.; Chiu, H.; Lai, B.-C.; Tu, H.-P.; Wu, P.-Y.; Huang, J.-C.; Chen, S.-C. Air Pollutants Interaction and Gender Difference on Bone Mineral Density T-Score in Taiwanese Adults. Int. J. Environ. Res. Public Health 2020, 17, 9165. https://doi.org/10.3390/ijerph17249165
Lin Y-H, Wang C-F, Chiu H, Lai B-C, Tu H-P, Wu P-Y, Huang J-C, Chen S-C. Air Pollutants Interaction and Gender Difference on Bone Mineral Density T-Score in Taiwanese Adults. International Journal of Environmental Research and Public Health. 2020; 17(24):9165. https://doi.org/10.3390/ijerph17249165
Chicago/Turabian StyleLin, Yu-Hsuan, Chen-Feng Wang, Hsuan Chiu, Bo-Cheng Lai, Hung-Pin Tu, Pei-Yu Wu, Jiun-Chi Huang, and Szu-Chia Chen. 2020. "Air Pollutants Interaction and Gender Difference on Bone Mineral Density T-Score in Taiwanese Adults" International Journal of Environmental Research and Public Health 17, no. 24: 9165. https://doi.org/10.3390/ijerph17249165
APA StyleLin, Y.-H., Wang, C.-F., Chiu, H., Lai, B.-C., Tu, H.-P., Wu, P.-Y., Huang, J.-C., & Chen, S.-C. (2020). Air Pollutants Interaction and Gender Difference on Bone Mineral Density T-Score in Taiwanese Adults. International Journal of Environmental Research and Public Health, 17(24), 9165. https://doi.org/10.3390/ijerph17249165

