Impact of Hospital Bed Shortages on the Containment of COVID-19 in Wuhan
Abstract
1. Introduction
2. Methods
2.1. Data Collection and Analysis
2.2. The Model
2.3. Parameter Estimation
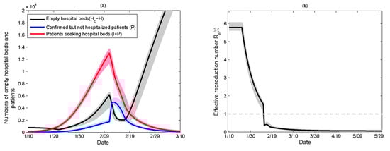
3. Results
3.1. Parameter Estimation
3.2. Sensitivity Analysis
4. Discussion
5. Conclusions
Author Contributions
Funding
Conflicts of Interest
Abbreviations
| WHO | World Health Organization |
| LHS | Latin Hyperbolic Sampling |
| PRCCs | Partial rank correlation coefficients |
References
- World Health Organization. Available online: https://www.who.int/health-topics/coronavirus (accessed on 24 October 2020).
- Zhou, P.; Yang, X.; Wang, X.; Hu, B.; Zhang, L.; Zhang, W.; Si, H.; Zhu, Y.; Li, B.; Huang, C.; et al. A pneumonia outbreak associated with a new coronavirus of probable bat origin. Nature 2020, 579, 270–273. [Google Scholar] [CrossRef]
- Lu, R.; Zhao, X.; Li, J.; Niu, P.; Yang, B.; Wu, H.; Wang, W.; Song, H.; Huang, B.; Zhu, N.; et al. Genomic characterisation and epidemiology of 2019 novel coronavirus: Implications for virus origins and receptor binding. Lancet 2020, 395, 565–574. [Google Scholar] [CrossRef]
- Epidemiology Working Group for NCIP Epidemic Response. The epidemiological characteristics of an outbreak of 2019 novel coronavirus diseases (COVID-19) in China. Chin. J. Epidemiol. 2020, 41, 145–151. [Google Scholar]
- ChinaDaily. Available online: https://www.chinadaily.com.cn/a/202002/09/WS5e3fba1ca3101282172760aa.html (accessed on 10 September 2020).
- Chen, S.; Zhang, Z.; Yang, J.; Wang, J.; Zhai, X.; Barnighausen, T.; Wang, C. Fangcang shelter hospitals: A novel concept for responding to public health emergencies. Lancet 2020, 395, 1305–1314. [Google Scholar] [CrossRef]
- Wuhan Government. Available online: http://www.wh.gov.cn/sy/whyw/202003/t20200316_961242.shtml (accessed on 10 September 2020).
- Wu, J.T.; Leung, K.; Leung, G.M. Nowcasting and forecasting the potential domestic and international spread of the 2019-nCoV outbreak originating in Wuhan, China: A modelling study. Lancet 2020, 395, 689–697. [Google Scholar] [CrossRef]
- Tang, B.; Wang, X.; Li, Q.; Bragazzi, N.L.; Tang, S.; Xiao, Y.; Wu, J. Estimation of the Transmission Risk of the 2019-nCoV and Its Implication for Public Health Interventions. J. Clin. Med. 2020, 9, 462. [Google Scholar] [CrossRef] [PubMed]
- Hao, X.; Cheng, S.; Wu, D.; Wu, T.; Lin, X.; Wang, C. Reconstruction of the full transmission dynamics of COVID-19 in Wuhan. Nature 2020, 584, 420–424. [Google Scholar] [CrossRef] [PubMed]
- Maier, B.; Brockmann, D. Effective containment explains subexponential growth in recent confirmed COVID-19 cases in China. Science 2020, 368, 742–746. [Google Scholar] [CrossRef]
- Hsiang, S.; Allen, D.; Annan-Phan, S.; Bell, K.; Bolliger, I.; Chong, T.; Druckenmiller, H.; Huang, L.Y.; Hultgren, A.; Krasovich, E.; et al. The effect of large-scale anti-contagion policies on the COVID-19 pandemic. Nature 2020, 584, 252–267. [Google Scholar] [CrossRef]
- Worby, C.; Chang, H. Face mask use in the general population and optimal resource allocation during the COVID-19 pandemic. Nat. Commun. 2020, 11, 1–19. [Google Scholar] [CrossRef]
- Tian, H.; Liu, Y.; Li, Y.; Wu, C.; Chen, B.; Kraemer, M.; Li, B.; Cai, J.; Xu, B.; Yang, Q.; et al. An investigation of transmission control measures during the first 50 days of the COVID-19 epidemic in China. Science 2020, 368, 638–642. [Google Scholar] [CrossRef] [PubMed]
- Rong, X.; Liu, Y.; Chu, H.; Zhou, L.; Chen, M.; Fan, M.; Zhu, H. Effect of Healthcare Staff on the Precention and Control of COVID-19. ACTA Math. Appl. Sin. 2020, 43, 335–349. [Google Scholar]
- Sun, G.; Wang, S.; Li, M.; Li, L.; Zhang, J.; Zhang, W.; Jin, Z.; Feng, G. Transmission dynamics of COVID-19 in Wuhan, China: Effects of lockdown and medical resources. Nonlinear Dynam. 2020, 101, 1981–1993. [Google Scholar] [CrossRef] [PubMed]
- Li, J.; Yuan, P.; Heffernan, J.; Zheng, T.; Ogden, N.; Sander, B.; Li, J.; Li, Q.; Belair, J.; Kong, J.D.; et al. Fangcang shelter hospitals during the COVID-19 epidemic, Wuhan, China. B. World Health Organ. 2020, 98, 1–33. [Google Scholar]
- Wang, W.; Ruan, S. Bifurcation in an epidemic model with constant removal rate of the infectives. J. Math. Anal. Appl. 2004, 291, 775–793. [Google Scholar] [CrossRef]
- Wang, W. Backward bifurcation of an epidemic model with treatment. Math. Biosci. 2006, 201, 58–71. [Google Scholar] [CrossRef]
- Wang, A.; Xiao, Y.; Zhu, H. Dynamics of a Filippov epidemic model with limited hospital beds. Math. Biosci. Eng. 2018, 15, 739–764. [Google Scholar] [CrossRef]
- Wang, A.; Xiao, Y.; Smith, R. Multiple equilibria in a non-smooth epidemic model with medical-resource constraints. Bull. Math. Biol. 2019, 81, 963–994. [Google Scholar] [CrossRef]
- National Health Commission of the People’s Republic of China. Available online: http://en.nhc.gov.cn/index.html (accessed on 10 September 2020).
- Health Commission of Hubei Province. Available online: http://wjw.hubei.gov.cn/ (accessed on 10 September 2020).
- Wuhan Municipal Health Commission. Available online: http://wjw.wuhan.gov.cn/ (accessed on 10 September 2020).
- The Use of Designated Hospital Beds in Wuhan. Available online: http://wjw.wuhan.gov.cn/ztzl_28/fk/tzgg/202004/t20200430_1197315.shtml (accessed on 10 September 2020).
- Tang, B.; Xia, F.; Tang, S.; Bragazzi, N.L.; Li, Q.; Sun, X.; Liang, J.; Xiao, Y.; Wu, J. The effectiveness of quarantine and isolation determine the trend of the COVID-19 epidemics in the final phase of the current outbreak in China. Int. J. Infect. Dis. 2020, 96, 636–647. [Google Scholar] [CrossRef]
- Driessche, P.; Watmough, J. Reproduction numbers and sub-threshold endemic equilibria for compartmental models of disease transmission. Math. Biosci. 2002, 180, 29–48. [Google Scholar] [CrossRef]
- Chinese Center for Disease Control and Prevention. Available online: http://2019ncov.chinacdc.cn/2019-nCoV/ (accessed on 10 September 2020).
- Backer, J.A.; Klinkenberg, D.; Wallinga, J. Incubation period of 2019 novel coronavirus (2019-nCoV) infections among travellers from Wuhan, China, 20–28 January 2020. Eurosurveillance 2020, 25, 2000062. [Google Scholar] [CrossRef] [PubMed]
- Li, Q.; Guan, X.; Wu, P. Early transmission dynamics in Wuhan, China, of novel coronavirus—infected pneumonia. New Engl. J. Med. 2020, 382, 1199–1207. [Google Scholar] [CrossRef] [PubMed]
- Marino, S.; Hogue, I.B.; Ray, C.J.; Kirschner, D.E. A methodology for performing global uncertainty and sensitivity analysis in systems biology. J. Theor. Biol. 2008, 254, 178–196. [Google Scholar] [CrossRef] [PubMed]











| Variables | Description | Initial Value | Resource | |
|---|---|---|---|---|
| S | Susceptible population | 11,081,000 | [23] | |
| E | Exposed population | 73.9089 (0.7779) | LS | |
| I | Infected population | 102.9589 (0.9503) | LS | |
| Quarantined susceptible population | 739 | [24] | ||
| Quarantined exposed population | 0.9964 (0.1085) | LS | ||
| P | Confirmed but not hospitalized population | 0 | data | |
| H | Confirmed and hospitalized population | 38 | data | |
| R | Recovered population | 2 | data | |
| Parameters | Description | Mean(std) | Resource | |
| Contact rate before 23 Jan | 12.3548 (0.0291) | LS | ||
| Minimum contact rate with control strategies | 0.7703 (0.0184) | LS | ||
| Exponential decreasing rate of the contact rate | 0.0553 (0.0009) | LS | ||
| Transmission probability from I to S per contact | 0.0521 (0.0002) | LS | ||
| Effective contact ratio of P with S to I with S | 0.4842 (0.0051) | LS | ||
| Quarantine rate before 23 Jan | () | LS | ||
| Maximum quarantine rate with control measures | 0.1046 (0.0024) | LS | ||
| Exponential increasing rate of quarantine rate | 0.1372 (0.0062) | LS | ||
| Releasing rate of quarantined susceptibles | 1/14 | [26] | ||
| Progression rate of exposed individuals to infectives | [28,29,30] | |||
| Diagnosis rate of infected individuals before 23 Jan | 0.1154 (0.0011) | LS | ||
| Maximum diagnosis rate of infected individuals | 0.8382 (0.0033) | LS | ||
| Exponential decreasing rate of diagnosis period from symptom onset to detection | 0.0154 (0.0024) | LS | ||
| Disease-induced death rate of I | 0.0017 () | LS | ||
| Diagnosis rate of quarantined individuals before 23 Jan | 0.0906 (0.0044) | LS | ||
| Maximum diagnosis rate of quarantined individuals | 0.8093 (0.0068) | LS | ||
| Exponential decreasing rate of diagnosis period from quarantine to detection | 0.2213 (0.0169) | LS | ||
| Hospitalization rate | 1 | Policy | ||
| Recovery rate of confirmed individuals without hospitalization | 0.0098 (0.0012) | LS | ||
| Maximum recovery rate of hospitalized individuals with treatment | 0.2394 (0.003) | LS | ||
| Exponential increasing rate of recovery rate | 0.006 () | LS | ||
| Disease-induced death rate of confirmed individuals without hospitalization | 0.025 () | LS | ||
| Minimum disease-induced death rate of hospitalized individuals with treatment | 0.0011 () | LS | ||
| Exponential decreasing rate of disease-induced death rate | 0.1801 (0.0015) | LS | ||
| Initial number of hospital beds for COVID-19 in Wuhan | 800 | data | ||
| r | Net increasing rate of hospital beds | 0.1877 | LS | |
| M | Maximum capacity of hospital beds | 39274 | LS | |
| Parameters | Final Confirmed Cases | Final Deaths | Length of the Epidemic | Length of |
|---|---|---|---|---|
| Baseline values | 50,537 | 2615 | 105 | 33 |
| 0.7 M | 59,144 | 5100 | 110 | 34 |
| 0.5 M | 79,844 | 13,565 | 124 | 42 |
| 0.3 M | 134,070 | 45,333 | 154 | 53 |
| 0.7r | 84,148 | 11,947 | 117 | 41 |
| 0.5r | 144,390 | 37,089 | 133 | 50 |
| 0.3r | 226,890 | 89,358 | 156 | 60 |
| +7 | 103,230 | 16,039 | 119 | 40 |
| +14 | 160,570 | 38,814 | 132 | 47 |
| +21 | 198,230 | 58,667 | 139 | 52 |
| No Huoshenshan, Leishenshan, Fangcang hospitals | 73,126 | 10,393 | 119 | 38 |
| No hospital supplementation | 412,700 | 278,460 | 326 | 69 |
Publisher’s Note: MDPI stays neutral with regard to jurisdictional claims in published maps and institutional affiliations. |
© 2020 by the authors. Licensee MDPI, Basel, Switzerland. This article is an open access article distributed under the terms and conditions of the Creative Commons Attribution (CC BY) license (http://creativecommons.org/licenses/by/4.0/).
Share and Cite
Zhou, W.; Wang, A.; Wang, X.; Cheke, R.A.; Xiao, Y.; Tang, S. Impact of Hospital Bed Shortages on the Containment of COVID-19 in Wuhan. Int. J. Environ. Res. Public Health 2020, 17, 8560. https://doi.org/10.3390/ijerph17228560
Zhou W, Wang A, Wang X, Cheke RA, Xiao Y, Tang S. Impact of Hospital Bed Shortages on the Containment of COVID-19 in Wuhan. International Journal of Environmental Research and Public Health. 2020; 17(22):8560. https://doi.org/10.3390/ijerph17228560
Chicago/Turabian StyleZhou, Weike, Aili Wang, Xia Wang, Robert A. Cheke, Yanni Xiao, and Sanyi Tang. 2020. "Impact of Hospital Bed Shortages on the Containment of COVID-19 in Wuhan" International Journal of Environmental Research and Public Health 17, no. 22: 8560. https://doi.org/10.3390/ijerph17228560
APA StyleZhou, W., Wang, A., Wang, X., Cheke, R. A., Xiao, Y., & Tang, S. (2020). Impact of Hospital Bed Shortages on the Containment of COVID-19 in Wuhan. International Journal of Environmental Research and Public Health, 17(22), 8560. https://doi.org/10.3390/ijerph17228560

