Stress-Related Responses to Alternations between Repetitive Physical Work and Cognitive Tasks of Different Difficulties
Abstract
1. Introduction
2. Materials and Methods
2.1. Participants
2.2. Study Design
2.3. Physical Task
2.4. Cognitive Task (CT)
2.5. Familiarization and Training Trial
2.6. Pre- and Post-Test Battery
2.7. Physiological and Psychophysical Measurements
2.7.1. Ratings
2.7.2. Electrocardiography, Heart Rate Variability, and Blood Pressure
2.8. Alpha-Amylase and Cortisol
2.9. Statistical Methods
2.9.1. Baseline Observations
2.9.2. Effects of Alternations
3. Results
3.1. Data Inspection
3.2. Baseline Value
3.3. Perceived Stress
3.4. Physiological Indicators of Stress
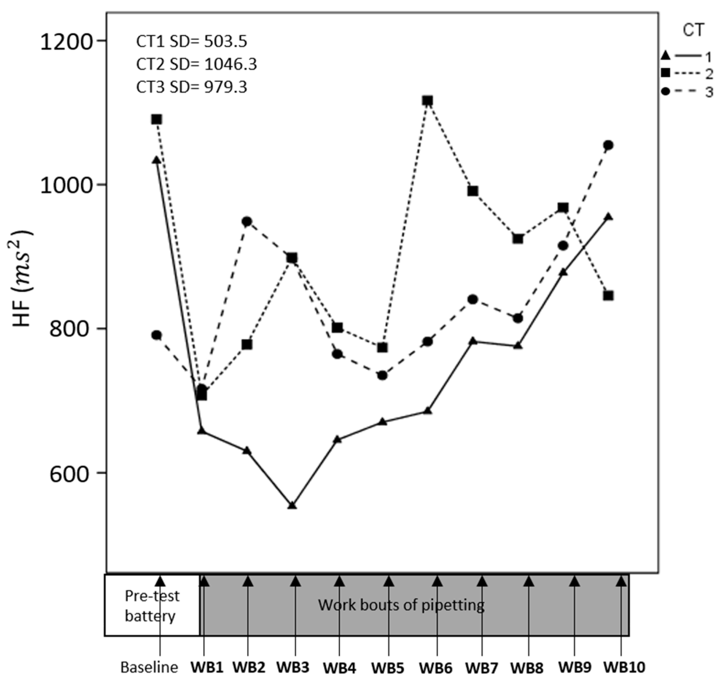
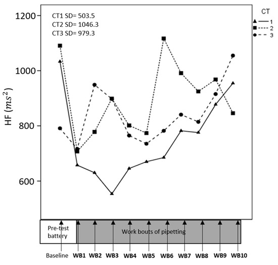
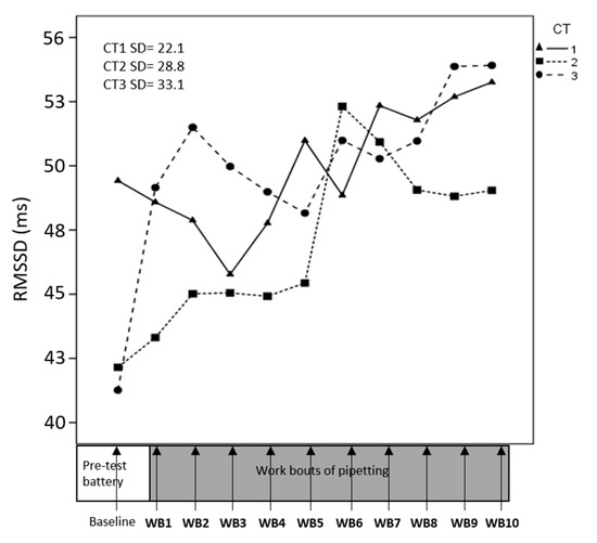
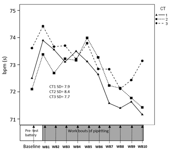
3.4.1. Heart Rate and HRV
3.4.2. Blood Pressure
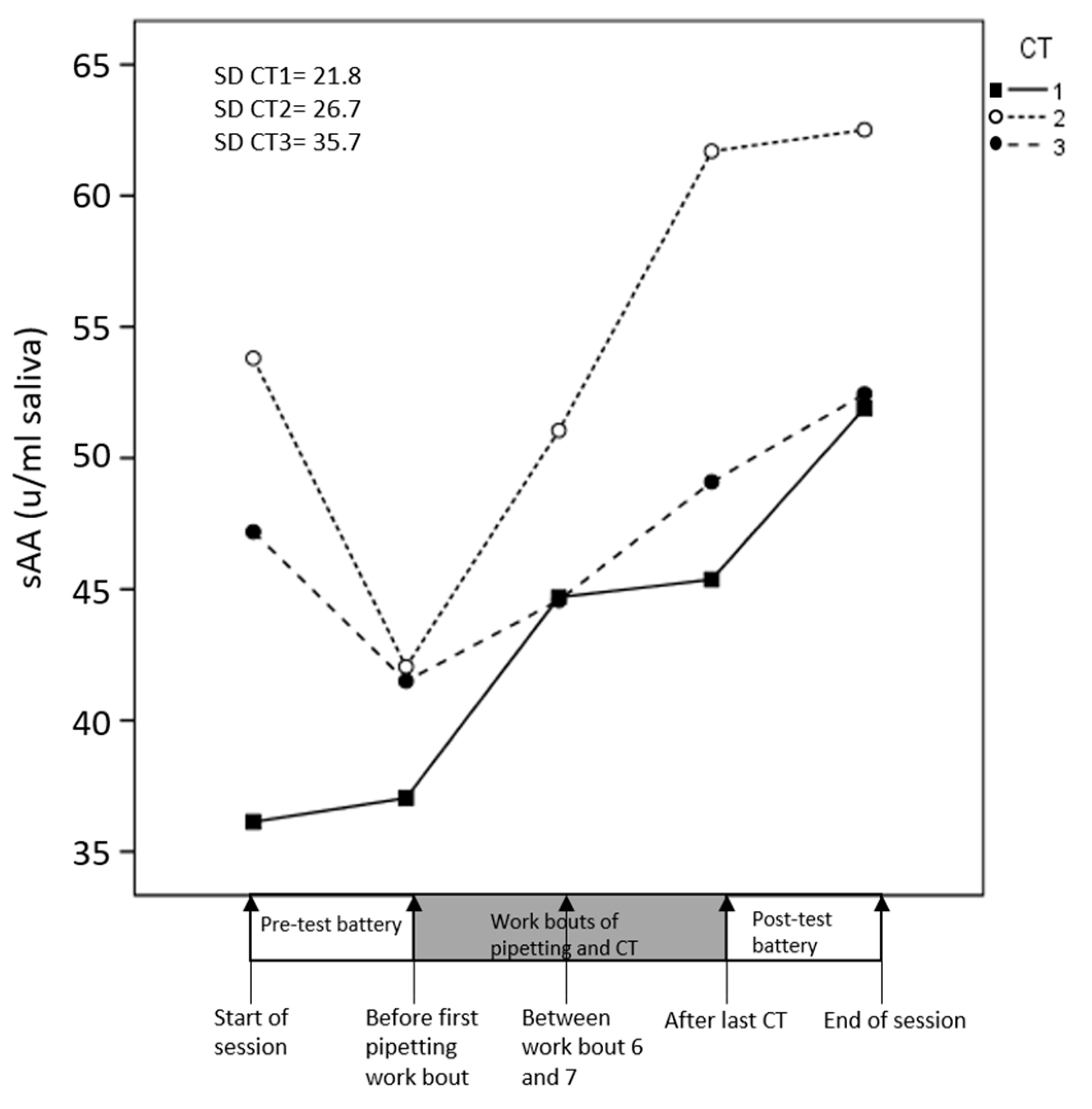
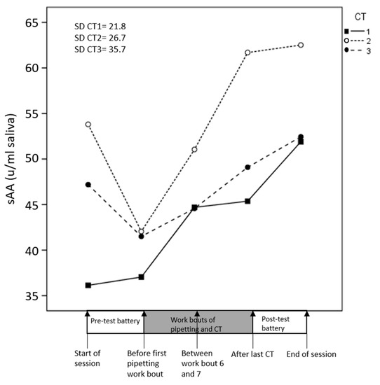
3.4.3. Salivary Alpha Amylase (sAA) and Cortisol
4. Discussion
4.1. Stress Effects of Combining Physical and Mental Work
4.2. Ecological Validity
4.3. Methodological Considerations
5. Conclusions
Author Contributions
Funding
Acknowledgments
Conflicts of Interest
References
- European Committee for Standardization. EN 1005-2: 2003+A1 2008. Safety of Machinery—Human Physical Performance; Recommended Force Limits for Machinery Operation; European Committee for Standardization: Brussels, Belgium, 2008. [Google Scholar]
- The Swedish Work Environment Authority. Ergonomics for the Prevention of Musculoskeletal Disorders, AFS 2012:2. In Arbetsmiljöverkets Föreskrifter och Allmänna råd om Belastningsergonomi; Swedish Work Environment Authority: Stockholm, Sweden, 2012. (In Swedish) [Google Scholar]
- Bongers, P.M. The cost of shoulder pain at work. BMJ 2001, 322, 64–65. [Google Scholar] [CrossRef] [PubMed]
- Kilbom, A. Repetitive work of the upper extremity: Part II—The scientific basis (knowledge base) for the guide. Int. J. Ind. Ergon. 1994, 14, 59–86. [Google Scholar] [CrossRef]
- Mathiassen, S.E. Diversity and variation in biomechanical exposure: What is it, and why would we like to know? Appl. Ergon. 2006, 37, 419–427. [Google Scholar] [CrossRef] [PubMed]
- Mathiassen, S.E. The influence of exercise/rest schedule on the physiological and psychophysical response to isometric shoulder-neck exercise. Appl. Ergon. 1993, 67, 528–539. [Google Scholar] [CrossRef]
- Konz, S. Work/rest: Part II—The scientific basis (knowledge base) for the guide. Int. J. Ind. Ergon. 1998, 22, 73–99. [Google Scholar] [CrossRef]
- Dickerson, C.R.; Meszaros, K.A.; Cudlip, A.C.; Chopp-Hurley, J.N.; Langenderfer, J.E. The influence of cycle time on shoulder fatigue responses for a fixed total overhead workload. J. Biomech. 2015, 48, 2911–2918. [Google Scholar] [CrossRef]
- Luger, T.; Bosch, T.; Veeger, D.; De Looze, M. The influence of task variation on manifestation of fatigue is ambiguous—A literature review. Ergonomics 2014, 57, 162–174. [Google Scholar] [CrossRef]
- Padula, R.S.; Comper, M.L.C.; Sparer, E.H.; Dennerlein, J.T. Job rotation designed to prevent musculoskeletal disorders and control risk in manufacturing industries: A systematic review. Appl. Ergon. 2017, 58, 386–397. [Google Scholar] [CrossRef]
- Leider, P.C.; Boschman, J.S.; Frings-Dresen, M.H.W.; Van Der Molen, H.F. Effects of job rotation on musculoskeletal complaints and related work exposures: A systematic literature review. Ergonomics 2014, 58, 18–32. [Google Scholar] [CrossRef]
- Mathiassen, S.E.; Lewis, C. Physical variation at work and musculoskeletal disorders. In Fysisk Variation och Belastningsbesvär i Arbetet; Arbetsmiljöverket: Stockholm, Sweden, 2016. (In Swedish) [Google Scholar]
- Christmansson, M.; Fridén, J.; Sollerman, C. Task design, psycho-social work climate and upper extremity pain disorders--effects of an organisational redesign on manual repetitive assembly jobs. Appl. Ergon. 1999, 30, 463–472. [Google Scholar] [CrossRef]
- Jahncke, H.; Hygge, S.; Mathiassen, S.E.; Hallman, D.M.; Mixter, S.; Lyskov, E. Variation at work: Alternations between physically and mentally demanding tasks in blue-collar occupations. Ergonomics 2017, 60, 1218–1227. [Google Scholar] [CrossRef] [PubMed]
- McEwen, B.S. Protection and Damage from Acute and Chronic Stress: Allostasis and Allostatic Overload and Relevance to the Pathophysiology of Psychiatric Disorders. Ann. N. Y. Acad. Sci. 2004, 1032, 1–7. [Google Scholar] [CrossRef] [PubMed]
- Larsman, P.; Hanse, J.J. The impact of decision latitude, psychological load and social support at work on the development of neck, shoulder and low back symptoms among female human service organization workers. Int. J. Ind. Ergon. 2009, 39, 442–446. [Google Scholar] [CrossRef]
- Tornqvist, E.W.; Hagberg, M.; Hagman, M.; Risberg, E.H.; Toomingas, A. The influence of working conditions and individual factors on the incidence of neck and upper limb symptoms among professional computer users. Int. Arch. Occup. Environ. Health 2009, 82, 689–702. [Google Scholar] [CrossRef]
- Bongers, P.M.; Ijmker, S.; van den Heuvel, S.; Blatter, B.M. Epidemiology of work related neck and upper limb problems: Psychosocial and personal risk factors (Part I) and effective interventions from a bio behavioural perspective (Part II). J. Occup. Rehabil. 2006, 16, 272–295. [Google Scholar] [CrossRef] [PubMed]
- Lundberg, U. Psychophysiology of work: Stress, gender, endocrine response, and work-related upper extremity disorders. Am. J. Ind. Med. 2002, 41, 383–392. [Google Scholar] [CrossRef]
- Chandola, T.; Britton, A.; Brunner, E.; Hemingway, H.; Malik, M.; Kumari, M.; Badrick, E.; Kivimaki, M.; Marmot, M. Work stress and coronary heart disease: What are the mechanisms? Eur. Heart J. 2008, 29, 640–648. [Google Scholar] [CrossRef]
- Melin, B.; Lundberg, U. A biopsychosocial approach to work-stress and musculoskeletal disorders. J. Psychophysiol. 1997, 11, 238–247. [Google Scholar]
- Clays, E.; De Bacquer, D.; Crasset, V.; Kittel, F.; De Smet, P.; Kornitzer, M.; Karasek, R.; De Backer, G. The perception of work stressors is related to reduced parasympathetic activity. Int. Arch. Occup. Environ. Health 2010, 84, 185–191. [Google Scholar] [CrossRef]
- Jarczok, M.N.; Jarczok, M.; Mauss, D.; Koenig, J.; Li, J.; Herr, R.M.; Thayer, J.F. Autonomic nervous system activity and workplace stressors—A systematic review. Neurosci. Biobehav. Rev. 2013, 37, 1810–1823. [Google Scholar] [CrossRef]
- Vrijkotte, T.G.M.; van Doornen, L.J.P.; de Geus, E.J.C. Effects of work stress on ambulatory pressure, heart rate, and heart rate availibility. Hypertension 2000, 35, 880–886. [Google Scholar] [CrossRef] [PubMed]
- Raison, C.L.; Miller, A.H. When Not Enough Is Too Much: The Role of Insufficient Glucocorticoid Signaling in the Pathophysiology of Stress-Related Disorders. Am. J. Psychiatry 2003, 160, 1554–1565. [Google Scholar] [CrossRef] [PubMed]
- Kunz-Ebrecht, S.R.; Kirschbaum, C.; Steptoe, A. Work stress, socioeconomic status and neuroendocrine activation over the working day. Soc. Sci. Med. 2004, 58, 1523–1530. [Google Scholar] [CrossRef]
- Chida, Y.; Steptoe, A. Cortisol awakening response and psychosocial factors: A systematic review and meta-analysis. Biol. Psychol. 2009, 80, 265–278. [Google Scholar] [CrossRef] [PubMed]
- Fechir, M.; Schlereth, T.; Purat, T.; Kritzmann, S.; Geber, C.; Eberle, T.; Gamer, M.; Birklein, F. Patterns of Sympathetic Responses Induced by Different Stress Tasks. Open Neurol. J. 2008, 2, 25–31. [Google Scholar] [CrossRef] [PubMed][Green Version]
- Frankenhauser, M.; Nordheden, B.; Myrsten, A.-L.; Post, B. Psychophysiolocigal reactions to understimulation and overstimulation. Acta Physiol. 1971, 35, 298–308. [Google Scholar]
- Hjortskov, N.; Blangsted, A.K.; Fallentin, N.; Lundberg, U. The effect of mental stress on heart rate variability and blood pressure during computer work. Eur. J. Appl. Physiol. 2004, 92, 84–89. [Google Scholar] [CrossRef]
- Johansson, G. Stress, Autonomy, and the Maintenance of Skill in Supervisory Control of Automated Systems. Appl. Psychol. 1989, 38, 45–56. [Google Scholar] [CrossRef]
- Krantz, G.; Forsman, M.; Lundberg, U. Consistency in physiological stress responses and electromyographic activity during induced stress exposure in women and men. Integr. Physiol. Behav. Sci. 2004, 39, 105–118. [Google Scholar] [CrossRef]
- Taelman, J.; Vandeput, S.; Vlemincx, E.; Spaepen, A.; Van Huffel, S. Instantaneous changes in heart rate regulation due to mental load in simulated office work. Eur. J. Appl. Physiol. 2011, 111, 1497–1505. [Google Scholar] [CrossRef]
- Castaldo, R.; Melillo, P.; Bracale, U.; Caserta, M.; Triassi, M.; Pecchia, L. Acute mental stress assessment via short term HRV analysis in healthy adults: A systematic review with meta-analysis. Biomed. Signal Process. Control. 2015, 18, 370–377. [Google Scholar] [CrossRef]
- Stock, M.S.; Beck, T.W.; DeFreitas, J.M. The Effects of Diverting Activities on Recovery from Fatiguing Concentric Isokinetic Muscle Actions. J. Strength Cond. Res. 2011, 25, 1911–1917. [Google Scholar] [CrossRef] [PubMed]
- Asmussen, E.; Mazin, B. Recuperation after muscular fatigue by “diverting activities. ” Eur. J. Appl. Physiol. 1978, 38, 1–7. [Google Scholar] [CrossRef] [PubMed]
- Davis, K.; Marras, W.S.; Heaney, C.A.; Waters, T.R.; Gupta, P. The Impact of Mental Processing and Pacing on Spine Loading: 2002 Volvo Award in biomechanics. Spine 2002, 27, 2645–2653. [Google Scholar] [CrossRef] [PubMed]
- Mixter, S.; Mathiassen, S.E.; Hallman, D.M. Alternations between physical and cognitive tasks in repetitive work—effect of cognitive task difficulty on fatigue development in women. Ergonomics 2019, 62, 1008–1022. [Google Scholar] [CrossRef]
- Mathiassen, S.E.; Hallman, D.M.; Lyskov, E.; Hygge, S. Can Cognitive Activities during Breaks in Repetitive Manual Work Accelerate Recovery from Fatigue? A Controlled Experiment. PLoS ONE 2014, 9, e112090. [Google Scholar] [CrossRef]
- Kirschbaum, C.; Hellhammer, D.H. Salivary Cortisol in Psychoneuroendocrine Research: Recent Developments and Applications. Psychoneuroendocrinology 1994, 19, 313–333. [Google Scholar] [CrossRef]
- Kirschbaum, C.; Hellhammer, D.H. Salivary Cortisol in Psychobiological Research: An Overview. Neuropsychobiology 1989, 22, 150–169. [Google Scholar] [CrossRef]
- Nater, U.; Rohleder, N. Salivary alpha-amylase as a non-invasive biomarker for the sympathetic nervous system: Current state of research. Psychoneuroendocrinology 2009, 34, 486–496. [Google Scholar] [CrossRef]
- Laborde, S.; Mosley, E.; Thayer, J.F. Heart Rate Variability and Cardiac Vagal Tone in Psychophysiological Research—Recommendations for Experiment Planning, Data Analysis, and Data Reporting. Front. Psychol. 2017, 8, 213. [Google Scholar] [CrossRef]
- EU-OSHA—European Agency for Safety and Health at Work. New Risks and Trends in the Safety and Health of Women at Work; Publications Office of the European Union: Luxembourg, 2013. [Google Scholar] [CrossRef]
- De Zwart, B.C.H.; Frings-Dresen, M.H.W.; Kilbom, Å. Gender differences in upper extremity musculoskeletal complaints in the working population. Int. Arch. Occup. Environ. Health 2000, 74, 21–30. [Google Scholar] [CrossRef] [PubMed]
- Nordander, C.; Hansson, G.-Å.; Ohlsson, K.; Arvidsson, I.; Balogh, I.; Strömberg, U.; Rittner, R.; Skerfving, S. Exposure–response relationships for work-related neck and shoulder musculoskeletal disorders—Analyses of pooled uniform data sets. Appl. Ergon. 2016, 55, 70–84. [Google Scholar] [CrossRef] [PubMed]
- Nordander, C.; Ohlsson, K.; Balogh, I.; Rylander, L.; Palsson, B.; Skerfving, S. Fish processing work: The impact of two sex dependent exposure profiles on musculoskeletal health. Occup. Environ. Med. 1999, 56, 256–264. [Google Scholar] [CrossRef] [PubMed]
- Oldfield, R. The assessment and analysis of handedness: The Edinburgh inventory. Neuropsychologica 1971, 9, 97–113. [Google Scholar] [CrossRef]
- Srinivasan, D.; Mathiassen, S.E.; Hallman, D.M.; Samani, A.; Madeleine, P.; Lyskov, E. Effects of concurrent physical and cognitive demands on muscle activity and heart rate variability in a repetitive upper-extremity precision task. Eur. J. Appl. Physiol. 2016, 116, 227–239. [Google Scholar] [CrossRef]
- Srinivasan, D.; Samani, A.; Mathiassen, S.E.; Madeleine, P. The size and structure of arm movement variability decreased with work pace in a standardised repetitive precision task. Ergonomics 2014, 58, 128–139. [Google Scholar] [CrossRef]
- Samani, A.; Srinivasan, D.; Mathiassen, S.E.; Madeleine, P. Variability in spatio-temporal pattern of trapezius activity and coordination of hand-arm muscles during a sustained repetitive dynamic task. Exp. Brain Res. 2016, 235, 389–400. [Google Scholar] [CrossRef]
- Wu, J.Z.; Sinsel, E.W.; Shroyer, J.F.; Warren, C.M.; Welcome, D.E.; Zhao, K.D.; An, K.-N.; Buczek, F.L. Analysis of the musculoskeletal loading of the thumb during pipetting—A pilot study. J. Biomech. 2014, 47, 392–399. [Google Scholar] [CrossRef]
- Fredriksson, K. Laboratory work with automatic pipettes: A study on how pipetting affects the thumb. Ergonomics 1995, 38, 1067–1073. [Google Scholar] [CrossRef]
- Lintula, M.; Nevala, N. Ergonomics and the usability of mechanical single-channel liquid dosage pipettes. Int. J. Ind. Ergon. 2006, 36, 257–263. [Google Scholar] [CrossRef]
- Maynard, H.; Stegemerten, G.; Schwab, J. Methods-Time Measurement; Mc Graw-Hill: New York, NY, USA, 1948. [Google Scholar]
- Kane, M.J.; Conway, A.R.A.; Miura, T.K.; Colflesh, G.J.H. Working memory, attention control, and the n-back task: A question of construct validity. J. Exp. Psychol. Learn. Mem. Cogn. 2007, 33, 615–622. [Google Scholar] [CrossRef] [PubMed]
- Owen, A.M.; McMillan, K.M.; Laird, A.R.; Bullmore, E. N-back working memory paradigm: A meta-analysis of normative functional neuroimaging studies. Hum. Brain Mapp. 2005, 25, 46–59. [Google Scholar] [CrossRef] [PubMed]
- Herff, C.; Heger, D.; Fortmann, O.; Hennrich, J.; Putze, F.; Schultz, T. Mental workload during n-back task—Quantified in the prefrontal cortex using fNIRS. Front. Hum. Neurosci. 2014, 7, 935. [Google Scholar] [CrossRef] [PubMed]
- Srinivasan, D.; Mathiassen, S.E. Motor variability in occupational health and performance. Clin. Biomech. 2012, 27, 979–993. [Google Scholar] [CrossRef]
- Borg, G. Borg’s Percieved Exertion and Pain Scales, 1st ed.; Human Kinetics: Champaign, IL, USA, 1998. [Google Scholar]
- Borg, G. Psychophysical scaling with applications in physical work and the perception of exertion. Scand. J. Work Environ. Health 1990, 16, 55–58. [Google Scholar] [CrossRef]
- Hallman, D.M.; Ekman, A.H.; Lyskov, E. Changes in physical activity and heart rate variability in chronic neck–shoulder pain: Monitoring during work and leisure time. Int. Arch. Occup. Environ. Health. 2013, 87, 735–744. [Google Scholar] [CrossRef]
- Malik, M.; Bigger, J.T.; Camm, A.J.; Kleiger, R.E.; Malliani, A.; Moss, A.J.; Schwartz, P.J. Heart rate variability: Standards of measurement, physiological interpretation, and clinical use. Eur. Heart J. 1996, 17, 354–381. [Google Scholar] [CrossRef]
- Hallman, D.M.; Srinivasan, D.; Mathiassen, S.E. Short- and long-term reliability of heart rate variability indices during repetitive low-force work. Eur. J. Appl. Physiol. 2015, 115, 803–812. [Google Scholar] [CrossRef]
- Cohen, J. Statistical Power Analysis for the Behavioral Sciences, 2nd ed.; Lawrence Erlbaum Associates: New York, NY, USA, 1988. [Google Scholar]
- Boulton, D.; Green, S.; Macefield, V.G.; Taylor, C.E. A Comparison of Muscle Sympathetic Nerve Activity to Non-contracting Muscle During Isometric Exercise in the Upper and Lower Limbs. Front. Neurosci. 2019, 13, 341. [Google Scholar] [CrossRef]
- Mehta, R.K.; Nussbaum, M.A.; Agnew, M.J. Muscle- and task-dependent responses to concurrent physical and mental workload during intermittent static work. Ergonomics 2012, 55, 1166–1179. [Google Scholar] [CrossRef]
- Srinivasan, D.; Mathiassen, S.E.; Samani, A.; Madeleine, P. The combined influence of task accuracy and pace on motor variability in a standardised repetitive precision task. Ergonomics 2015, 58, 1388–1397. [Google Scholar] [CrossRef] [PubMed]
- Baethge, A.; Rigotti, T. Interruptions to workflow: Their relationship with irritation and satisfaction with performance, and the mediating roles of time pressure and mental demands. Work Stress 2013, 27, 43–63. [Google Scholar] [CrossRef]
- Boucsein, W.; Thum, M. Design of work/rest schedules for computer work based on psychophysiological recovery measures. Int. J. Ind. Ergon. 1997, 20, 51–57. [Google Scholar] [CrossRef]
- Balci, R.; Aghazadeh, F. Effects of exercise breaks on performance, muscular load, and perceived discomfort in data entry and cognitive tasks. Comput. Ind. Eng. 2004, 46, 399–411. [Google Scholar] [CrossRef]
- McLean, L.; Tingley, M.; Scott, R.N.; Rickards, J. Computer terminal work and the benefit of microbreaks. Appl. Ergon. 2001, 32, 225–237. [Google Scholar] [CrossRef]
- Theorell, T.; Karasek, R.A.; Eneroth, P. Job strain variations in relation to plasma testosterone fluctuations in working men—A longitudinal study. J. Intern. Med. 1990, 227, 31–36. [Google Scholar] [CrossRef]
- Bakker, A.; Demerouti, E. The Job Demands-Resources model: State of the art. J. Manag. Psychol. 2007, 22, 309–328. [Google Scholar] [CrossRef]
- Garde, A.H.; Hansen, Å.M.; Jensen, B.R. Physiological response to four hours of low-level combined physical and mental repetitive work. Scand. J. Work Environ. Health 2003, 29, 452–460. [Google Scholar] [CrossRef][Green Version]
- Holtermann, A.; Mathiassen, S.E.; Straker, L.L. Promoting health and physical capacity during productive work: The Goldilocks Principle. Scand. J. Work. Environ. Health 2019, 45, 90–97. [Google Scholar] [CrossRef]
- Contreras-Aguilar, M.D.; Escribano, D.; Martínez-Subiela, S.; Martínez-Miró, S.; Rubio, M.; Tvarijonaviciute, A.; Tecles, F.; Cerón, J.J. Influence of the way of reporting alpha-Amylase values in saliva in different naturalistic situations: A pilot study. PLoS ONE 2017, 12, e0180100. [Google Scholar] [CrossRef]
- Nordander, C.; Ohlsson, K.; Åkesson, I.; Arvidsson, I.; Balogh, I.; Hansson, G.-Å.; Strömberg, U.; Rittner, R.; Skerfving, S. Risk of musculoskeletal disorders among females and males in repetitive/constrained work. Ergonomics 2009, 52, 1226–1239. [Google Scholar] [CrossRef] [PubMed]
- Deary, I.J.; Corley, J.; Gow, A.J.; Harris, S.E.; Houlihan, L.M.; Marioni, R.E.; Penke, L.; Rafnsson, S.B.; Starr, J.M. Age-associated cognitive decline. Br. Med. Bull. 2009, 92, 135–152. [Google Scholar] [CrossRef] [PubMed]
- Yarasheski, K.E. Review Article: Exercise, Aging, and Muscle Protein Metabolism. J. Gerontol. Med. Sci. 2003, 58, M918–M922. [Google Scholar] [CrossRef] [PubMed]
- Chandola, T.; Heraclides, A.; Kumari, M. Psychophysiological biomarkers of workplace stressors. Neurosci. Biobehav. Rev. 2010, 35, 51–57. [Google Scholar] [CrossRef]
- Williams, P.G.; Suchy, Y.; Rau, H.K. Individual Differences in Executive Functioning: Implications for Stress Regulation. Ann. Behav. Med. 2009, 37, 126–140. [Google Scholar] [CrossRef]







| Variable | ANOVA | Mean (SD) | |||||
|---|---|---|---|---|---|---|---|
| df | F | p | ηp2 | CT1 | CT2 | CT3 | |
| Stress (CR-10) during pipetting | |||||||
| Time | 9 | 0.74 | 0.67 | 0.08 | |||
| CT | 2 | 1.36 | 0.28 | 0.13 | 1.7 (1.4) | 1.9 (1.5) | 1.8 (1.3) |
| Interaction (CT × time) | 18 | 0.59 | 0.90 | 0.06 | |||
| Stress (CR-10) after CT | |||||||
| Time | 9 | 2.19 | 0.03 | 0.15 | |||
| CT | 2 | 2.74 | 0.09 | 0.19 | 1.2 (1.7) | 1.3 (1.2) | 1.5 (1.3) |
| Interaction (CT × time) | 18 | 0.78 | 0.73 | 0.06 | |||
| Measure | ANOVA | Mean (SD) | |||||
|---|---|---|---|---|---|---|---|
| Df | F | p | ηp2 | CT1 | CT2 | CT3 | |
| HR (bpm) | |||||||
| Time | 9 | 9.37 | ≤0.001 | 0.33 | |||
| CT | 2 | 0.76 | 0.48 | 0.06 | 72.6 (8.0) | 72.7 (8.4) | 73.2 (7.7) |
| Interaction (CT × time) | 18 | 1.23 | 0.24 | 0.08 | |||
| HRV | |||||||
| RMSSD (ms) | |||||||
| Time | 9 | 2.51 | 0.01 | 0.16 | |||
| CT | 2 | 0.29 | 0.75 | 0.02 | 50.0 (22.1) | 47.4 (28.8) | 50.8 (33.1) |
| Interaction (CT × time) | 18 | 0.40 | 0.99 | 0.03 | |||
| HF (log ms2) * | |||||||
| Time | 9 | 4.17 | ≤0.001 | 0.26 | |||
| CT | 2 | 0.32 | 0.72 | 0.03 | 2.7 (0.3) | 2.7 (0.4) | 2.7 (0.3) |
| Interaction (CT × time) | 18 | 0.74 | 0.77 | 0.06 | |||
| BP (mmHg) | |||||||
| Systolic | |||||||
| Time | 2 | 1.91 | 0.29 | 0.28 | |||
| CT | 2 | 1.76 | 0.22 | 0.26 | 112.9 (7.8) | 112.6 (8.9) | 113.8 (7.9) |
| Interaction (CT × time) | 4 | 1.18 | 0.35 | 0.19 | |||
| Diastolic | |||||||
| Time | 2 | 0.80 | 0.48 | 0.14 | |||
| CT | 2 | 0.88 | 0.44 | 0.15 | 73.6 (7.5) | 72.4 (7.0) | 73.3 (6.0) |
| Interaction (CT × time) | 4 | 1.95 | 0.14 | 0.28 | |||
| sAA (µ/mL saliva) | |||||||
| Time | 3 | 1.38 | 0.27 | 0.13 | |||
| CT | 2 | 4.86 | 0.02 | 0.34 | 43.0 (21.8) | 49.6 (26.7) | 54.2 (35.7) |
| Interaction (CT × time) | 6 | 0.28 | 0.94 | 0.03 | |||
| Cortisol (ng cortisol/mL saliva) | |||||||
| Time | 1 | 0.32 | 0.59 | 0.03 | |||
| CT | 2 | 0.09 | 0.92 | 0.01 | 8.2 (2.7) | 7.9 (2.0) | 8.0 (3.1) |
| Interaction (CT × time) | 2 | 1.97 | 0.17 | 0.18 | |||
Publisher’s Note: MDPI stays neutral with regard to jurisdictional claims in published maps and institutional affiliations. |
© 2020 by the authors. Licensee MDPI, Basel, Switzerland. This article is an open access article distributed under the terms and conditions of the Creative Commons Attribution (CC BY) license (http://creativecommons.org/licenses/by/4.0/).
Share and Cite
Mixter, S.; Mathiassen, S.E.; Lindfors, P.; Dimberg, K.; Jahncke, H.; Lyskov, E.; Hallman, D.M. Stress-Related Responses to Alternations between Repetitive Physical Work and Cognitive Tasks of Different Difficulties. Int. J. Environ. Res. Public Health 2020, 17, 8509. https://doi.org/10.3390/ijerph17228509
Mixter S, Mathiassen SE, Lindfors P, Dimberg K, Jahncke H, Lyskov E, Hallman DM. Stress-Related Responses to Alternations between Repetitive Physical Work and Cognitive Tasks of Different Difficulties. International Journal of Environmental Research and Public Health. 2020; 17(22):8509. https://doi.org/10.3390/ijerph17228509
Chicago/Turabian StyleMixter, Susanna, Svend Erik Mathiassen, Petra Lindfors, Kent Dimberg, Helena Jahncke, Eugene Lyskov, and David M. Hallman. 2020. "Stress-Related Responses to Alternations between Repetitive Physical Work and Cognitive Tasks of Different Difficulties" International Journal of Environmental Research and Public Health 17, no. 22: 8509. https://doi.org/10.3390/ijerph17228509
APA StyleMixter, S., Mathiassen, S. E., Lindfors, P., Dimberg, K., Jahncke, H., Lyskov, E., & Hallman, D. M. (2020). Stress-Related Responses to Alternations between Repetitive Physical Work and Cognitive Tasks of Different Difficulties. International Journal of Environmental Research and Public Health, 17(22), 8509. https://doi.org/10.3390/ijerph17228509

