Characteristics of Standing Postural Control in Women under Additional Load
Abstract
1. Introduction
1.1. Study Objective
1.2. Research Question
1.3. Hypotheses
- the dynamics of body control change under the influence of an added external load;
- greater postural load on young women results in significant changes to balance control; and
- a large external load causes a deterioration in standing postural control (increase in center of pressure (COP) parameters) and a decrease in entropy (associated with the difficulty of the task).
2. Materials and Methods
2.1. Participants
2.2. Apparatus
2.3. Research Procedures
2.4. Data Analysis
2.5. Statistical Methods
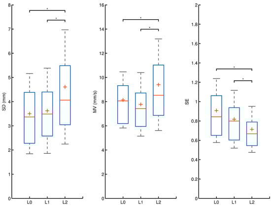
3. Results
4. Discussion
5. Conclusions
Author Contributions
Funding
Acknowledgments
Conflicts of Interest
References
- Yoshida-Intern, S. A Global Report on Falls Prevention Epidemiology of Falls; WHO: Geneva, Switzerland, 2007. [Google Scholar]
- Schiffman, J.M.; Bensel, C.K.; Hasselquist, L.; Gregorczyk, K.N.; Piscitelle, L. Effects of carried weight on random motion and traditional measures of postural sway. Appl. Ergon. 2006, 37, 607–614. [Google Scholar] [CrossRef]
- Zultowski, I.; Aruin, A. Carrying loads and postural sway in standing: The effect of load placement and magnitude. Work 2008, 30, 359–368. [Google Scholar]
- Rosker, J.; Markovic, G.; Sarabon, N. Effects of vertical center of mass redistribution on body sway parameters during quiet standing. Gait Posture 2011, 33, 452–456. [Google Scholar] [CrossRef]
- Ritzmann, R.; Freyler, K.; Weltin, E.; Krause, A.; Gollhofer, A. Load Dependency of Postural Control—Kinematic and Neuromuscular Changes in Response to over and under Load Conditions. PLoS ONE 2015, 10, e0128400. [Google Scholar] [CrossRef] [PubMed][Green Version]
- Bampouras, T.M.; Dewhurst, S. Carrying shopping bags does not alter static postural stability and gait parameters in healthy older females. Gait Posture 2016, 46, 81–85. [Google Scholar] [CrossRef] [PubMed]
- Crommert, M.E.; Ekblom, M.M.; Thorstensson, A. Activation of transversus abdominis varies with postural demand in standing. Gait Posture 2011, 33, 473–477. [Google Scholar] [CrossRef] [PubMed]
- Costello, K.E.; Matrangola, S.L.; Madigan, M.L. Independent effects of adding weight and inertia on balance during quiet standing. Biomed. Eng. Online 2012, 11, 20. [Google Scholar] [CrossRef] [PubMed]
- Rugelj, D.; Sevsek, F. The effect of load mass and its placement on postural sway. Appl. Ergon. 2011, 42, 860–866. [Google Scholar] [CrossRef] [PubMed]
- McIlroy, W.E.; Maki, B.E. Preferred placement of the feet during quiet stance: Development of a standardized foot placement for balance testing. Clin. Biomech. 1997, 12, 66–70. [Google Scholar] [CrossRef]
- Donker, S.F.; Roerdink, M.; Greven, A.J.; Beek, P.J. Regularity of center-of-pressure trajectories depends on the amount of attention invested in postural control. Exp. Brain Res. 2007, 181, 1–11. [Google Scholar] [CrossRef]
- Roerdink, M.; Hlavackova, P.; Vuillerme, N. Center-of-pressure regularity as a marker for attentional investment in postural control: A comparison between sitting and standing postures. Hum. Mov. Sci. 2011, 30, 203–212. [Google Scholar] [CrossRef] [PubMed]
- Davis, K.; Shuttleworth, R.; Button, C.; Renshaw, I.; Glazier, P. “Essential noise”—Enhancing variability of informational constraints benefits movement control: A comment on Waddington and Adams (2003). Br. J. Sports Med. 2004, 38, 601–605. [Google Scholar] [CrossRef] [PubMed]
- Harbourne, R.T.; Stergiou, N. Movement Variability and the Use of Nonlinear Tools: Principles to Guide Physical Therapist Practice. Phys. Ther. 2009, 89, 267–282. [Google Scholar] [CrossRef] [PubMed]
- Carpenter, M.G.; Murnaghan, C.D.; Inglis, J.T. Shifting the balance: Evidence of an exploratory role for postural sway. Neuroscience 2010, 171, 196–204. [Google Scholar] [CrossRef]
- Winter, D.A.; Prince, F.; Frank, J.S.; Powell, C.; Zabjek, K.F. Unified theory of A/P and M/L balance in quiet stance. J. Neurophysiol. 1996, 75, 2334–2343. [Google Scholar] [CrossRef]
- Teasdale, N.; Hue, O.; Marcotte, J.; Berrigan, F.; Simoneau, M.; Doré, J.; Marceau, P.; Marceau, S.A.; Tremblay, A. Reducing weight increases postural stability in obese and morbid obese men. Int. J. Obes. 2007, 31, 153–160. [Google Scholar] [CrossRef]
- Orawiec, R.B.; Nowak, S.B.; Tomaszewski, P. Postural stability in Parkinson’s disease patients’ wives and in elderly women leading different lifestyles. Health Care Women Int. 2019, 40, 1070–1083. [Google Scholar] [CrossRef]
- Palumbo, N.; George, B.; Johnson, A.; Cade, D. The effects of backpack load carrying on dynamic balance as measured by limits of stability. Work 2001, 16, 123–129. [Google Scholar]
- Demura, S.; Uchiyama, M. Effects of bag holding with one hand on lower leg muscles and postural control. Sport Sci. Health 2007, 2, 34–41. [Google Scholar] [CrossRef]
- Van Wegen, E.E.H.; von Emmerik, R.E.; Riccio, G.E. Postural orientation: Age-related changes in variability and time-to boundary. Hum. Mov. Sci. 2002, 21, 61–84. [Google Scholar] [CrossRef]
- Werner, J.; Öhlander, C.H.; Ledin, T. Chaos analysis of effects of increased inertial load on quiet standing. Acta Orl/Técnicas em Otorrinolaringologia 2007, 25, 31–36. [Google Scholar]
- Maurer, C.; Peterka, R.J. A new interpretation of spontaneous sway measures based on a simple model of human postural control. J. Neurophysiol. 2005, 93, 189–200. [Google Scholar] [CrossRef] [PubMed]
- Trudelle-Jackson, E.J.; Jackson, A.W.; Morrow, J.R. Muscle strength and postural stability in healthy, older women: Implications for fall prevention. J. Phys. Act. Health 2006, 3, 292–303. [Google Scholar] [CrossRef] [PubMed]
- Borg, F.; Finell, M.; Herrala, M.; Hakala, I. Analyzing gastrocnemius EMG-activity and sway data from quiet and perturbed standing. J. Electromyogr. Kinesiol. 2007, 17, 622–634. [Google Scholar] [CrossRef] [PubMed]
- Duarte, M.; Harvey, W.; Zatsiorsky, V.M. Stabilographic analysis of unconstrained standing. Ergonomics 2000, 43, 1824–1839. [Google Scholar] [CrossRef]
- Haddad, J.M.; Rietdyk, S.; Ryu, J.H.; Seaman, J.M.; Silver, T.A.; Kalish, J.A.; Hughes, C.M. Postural Asymmetries in Response to Holding Evenly and Unevenly Distributed Loads During Self-Selected Stance. J. Mot. Behav. 2011, 43, 1–11. [Google Scholar] [CrossRef]
- Kang, S.H.; Kim, C.W.; Kim, Y.I.; Kim, K.B.; Lee, S.S.; Shin, K.O. Alterations of Muscular Strength and Left and Right Limb Balance in Weightlifters after an 8-week Balance Training Program. J. Phys. Ther. Sci. 2013, 25, 895–900. [Google Scholar] [CrossRef]
- Wojciechowska-Maszkowska, B.; Borzucka, D.; Rogowska, A.M.; Kuczyński, M. The Relationship Between Postural Control and Self-Reported Engagement in Physical Activity in Young and Older Age. J. Aging Phys. Act. 2016, 24, 196–200. [Google Scholar] [CrossRef]

| Direction/Parameters | Test | ||
|---|---|---|---|
| L0 | L1 | L2 | |
| M–L | |||
| SD (mm) | 2.62 ± 1.13 | 3.01 ± 1.44 | 3.65 ± 1.66 |
| MV (mm/s) | 6.60 ± 1.63 | 6.31 ± 2.07 | 7.69 ± 3.05 |
| SE | 0.94 ± 0.37 | 0.80 ± 0.33 | 0.71 ± 0.25 |
| A–P | |||
| SD (mm) | 4.38 ± 1.65 | 4.23 ± 1.87 | 5.56 ± 2.59 |
| MV (mm/s) | 9.68 ± 1.84 | 9.24 ± 2.31 | 11.11 ± 3.72 |
| SE | 0.87 ± 0.28 | 0.84 ± 0.27 | 0.72 ± 0.22 |
| ANOVA | |||||||||
|---|---|---|---|---|---|---|---|---|---|
| Parameters | Load Effect | Direction Effect | Load–Direction Interaction | ||||||
| F(2,48) | p | ηp2 | F(1,24) | p | ηp2 | F(2,48) | p | ηp2 | |
| SD (mm) | 10.33 | <0.001 * | 0.24 | 83.98 | <0.001 * | 0.72 | 1.65 | 0.199 | 0.05 |
| MV (mm/s) | 9.19 | <0.001 * | 0.22 | 310.97 | <0.001 * | 0.9 | 1.23 | 0.3 | 0.04 |
| SE | 12.06 | <0.001 * | 0.27 | 0.07 | 0.793 | 0.01 | 2.31 | 0.106 | 0.07 |
© 2020 by the authors. Licensee MDPI, Basel, Switzerland. This article is an open access article distributed under the terms and conditions of the Creative Commons Attribution (CC BY) license (http://creativecommons.org/licenses/by/4.0/).
Share and Cite
Wojciechowska-Maszkowska, B.; Borzucka, D. Characteristics of Standing Postural Control in Women under Additional Load. Int. J. Environ. Res. Public Health 2020, 17, 490. https://doi.org/10.3390/ijerph17020490
Wojciechowska-Maszkowska B, Borzucka D. Characteristics of Standing Postural Control in Women under Additional Load. International Journal of Environmental Research and Public Health. 2020; 17(2):490. https://doi.org/10.3390/ijerph17020490
Chicago/Turabian StyleWojciechowska-Maszkowska, Bożena, and Dorota Borzucka. 2020. "Characteristics of Standing Postural Control in Women under Additional Load" International Journal of Environmental Research and Public Health 17, no. 2: 490. https://doi.org/10.3390/ijerph17020490
APA StyleWojciechowska-Maszkowska, B., & Borzucka, D. (2020). Characteristics of Standing Postural Control in Women under Additional Load. International Journal of Environmental Research and Public Health, 17(2), 490. https://doi.org/10.3390/ijerph17020490

