Health Risks and Potential Sources of Contamination of Groundwater Used by Public Schools in Vhuronga 1, Limpopo Province, South Africa
Abstract
1. Introduction
2. Materials and Methods
3. Results and Discussion
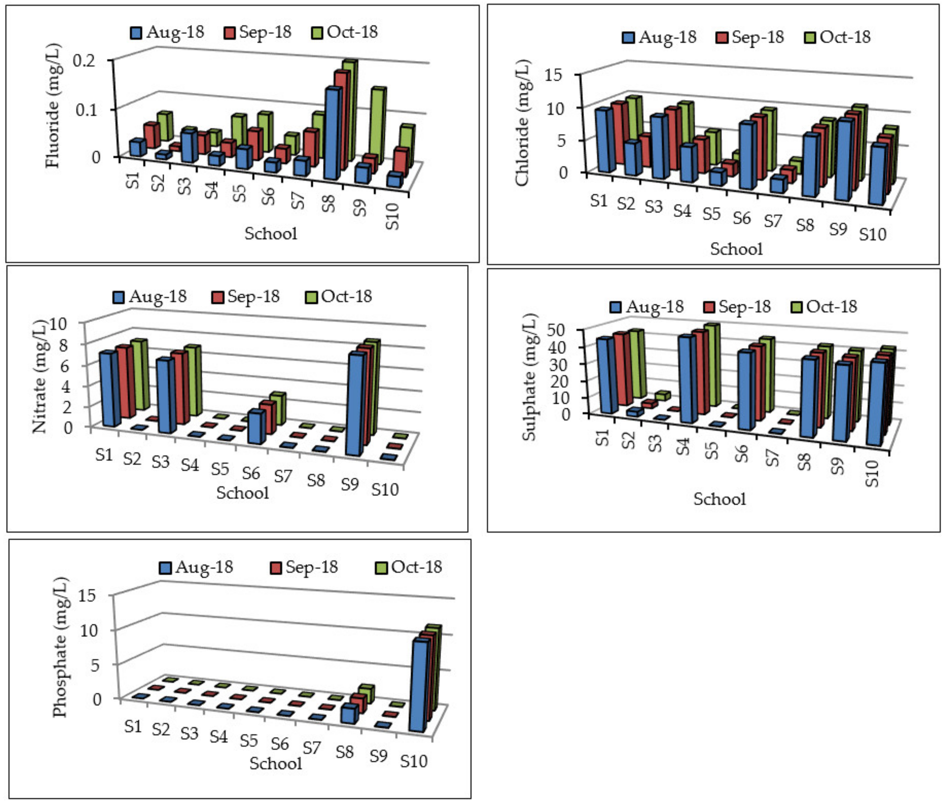
3.1. Suitability of Groundwater
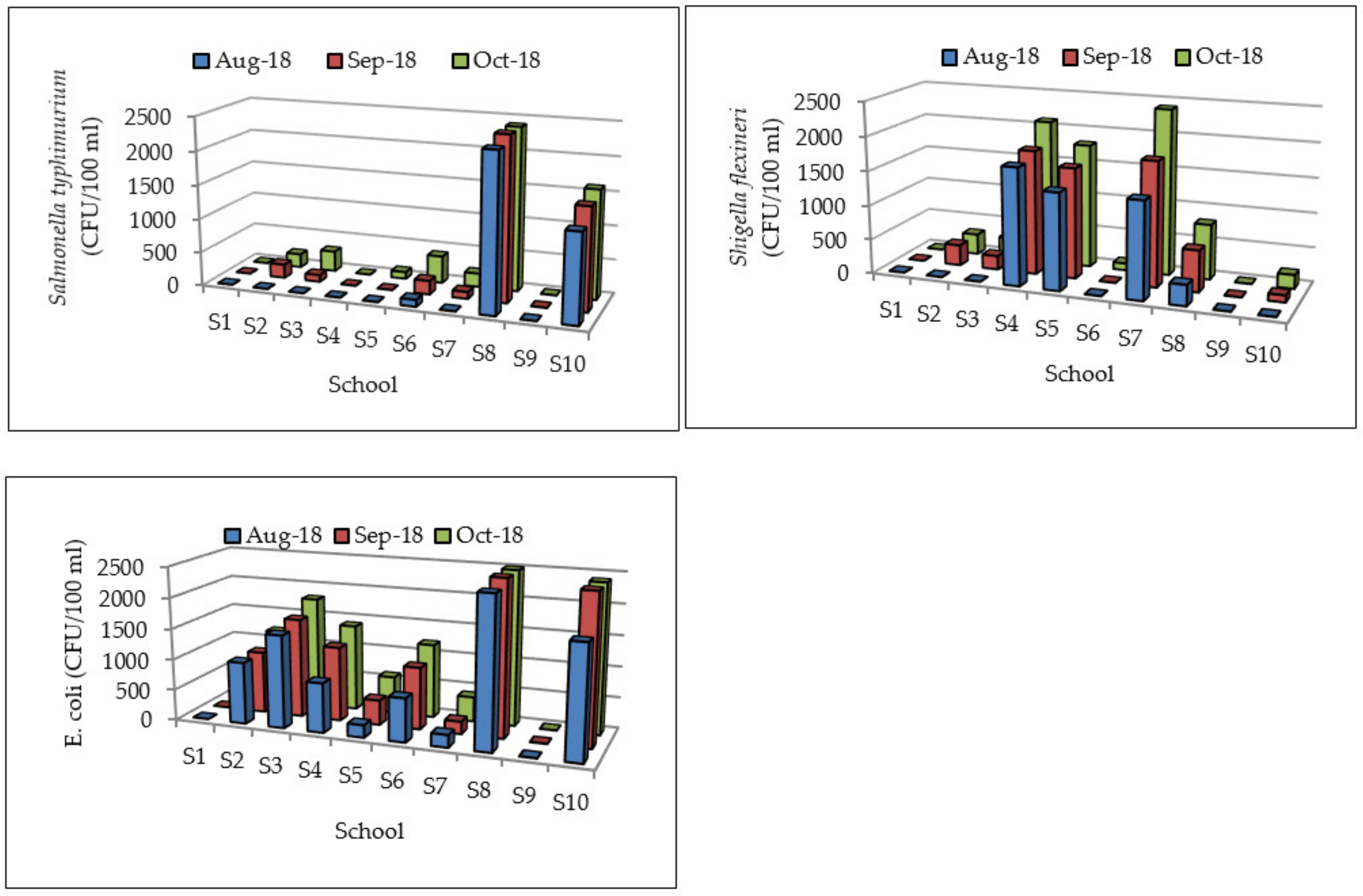
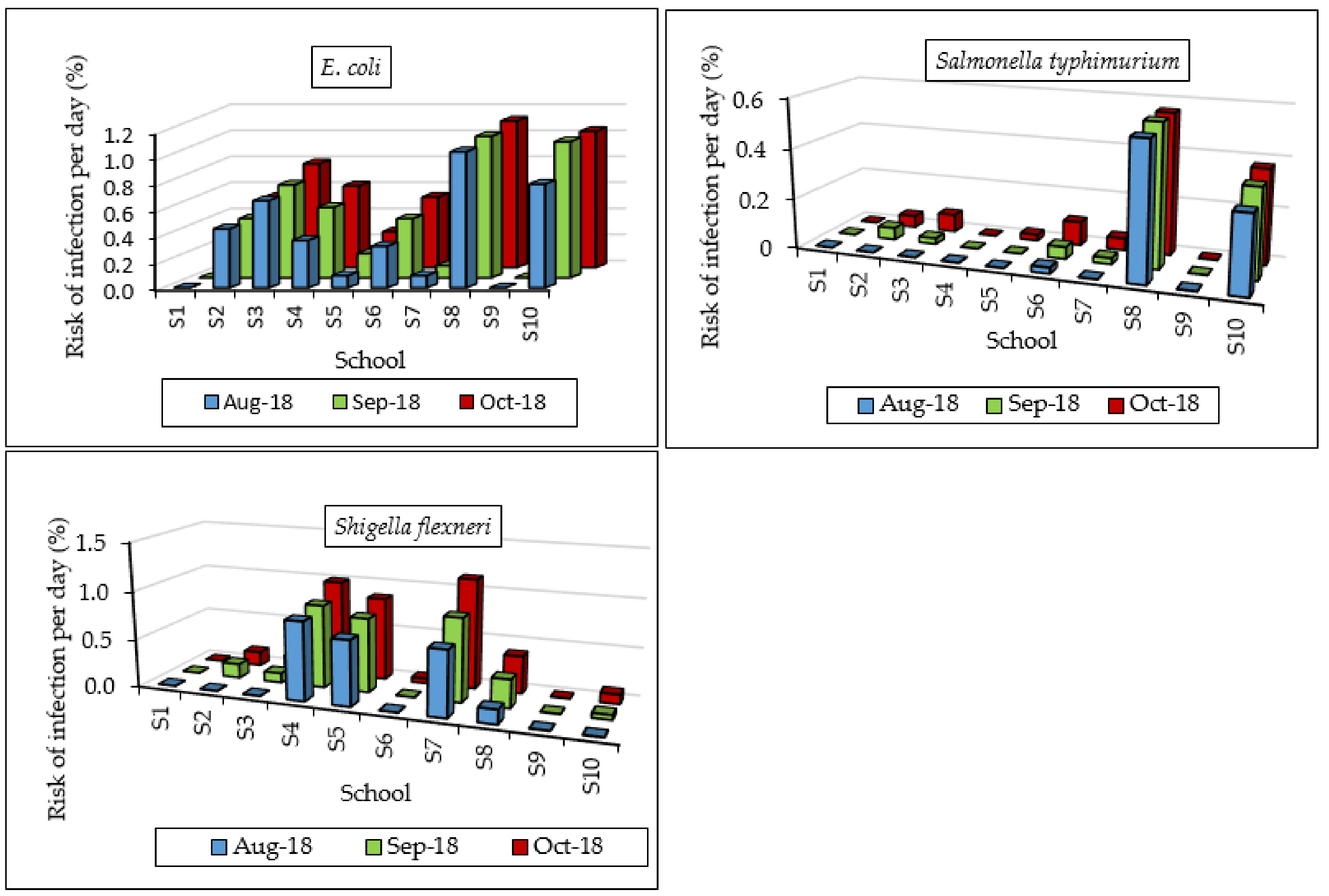
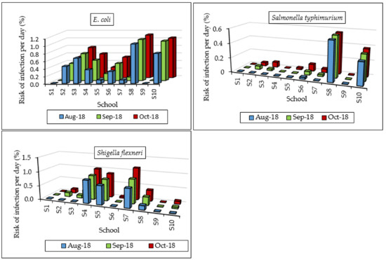
3.2. Microbial Risk Assessment
3.3. Correlation of Selected Water Quality Parameters
4. Conclusions
Author Contributions
Funding
Acknowledgments
Conflicts of Interest
References
- De Vera, W.M. Microbiological and physico-chemical quality of deep well water in selected public elementary schools. Asia Pac. J. Multidiscip. Res. 2015, 3, 105–109. [Google Scholar]
- Meschede, M.S.C.; Figueiredo, B.R.; Segura-Muñoz, S.I. Drinking water quality in schools of the Santarém region, Amazon, Brazil, and health implications for school children. Rev. Ambiente Água. 2018, 13. [Google Scholar] [CrossRef]
- Grimason, A.M.; Morse, T.D.; Beattie, T.K.; Masangwi, S.J.; Jabu, G.C.; Taulo, S.C.; Lungu, K.K. Classification and quality of groundwater supplies in the Lower Shire Valley, Malawi–Part 1: Physico-chemical quality of borehole water supplies in Chikhwawa, Malawi. Water SA 2013, 39, 563–572. [Google Scholar] [CrossRef][Green Version]
- Samie, A.; Makonto, T.E.; Odiyo, J.; Ouaboi-Egbenni, P.O.; Mojapelo, P.; Bessong, P.O. Microbial quality, diversity and antibiotic susceptibility profiles of bacterial isolates from borehole water used by schools in Greater Giyani Municipality, Mopani District, South Africa. Afr. J. Microbiol. Res. 2011, 5, 198–210. [Google Scholar]
- Samie, A.; Makonto, O.T.; Mojapelo, P.; Bessong, P.O.; Odiyo, J.O.; Uaboi-Egbenni, P.O. Physico-chemical assessment of borehole water used by schools in Greater Giyani Municipality, Mopani district, South Africa. Afr. J. Biotechnol. 2013, 12, 4858–4865. [Google Scholar] [CrossRef][Green Version]
- Akwensioge, M. The Influence of Anthropogenic Nitrate on Groundwater Quality in the Thaba Nchu Area. Master’s Thesis, University of the Free State, Bloemfontein, South Africa, 2012. [Google Scholar]
- Odiyo, J.O.; Makungo, R. Fluoride concentrations in groundwater and human health impact in Siloam Village, Limpopo Province, South Africa. Water SA 2012, 38, 731–736. [Google Scholar] [CrossRef]
- WHO Dhiarrhoeal Diseases. Available online: https://www.who.int/news-room/fact-sheets/detail/diarrhoeal-diseasea (accessed on 7 May 2020).
- WHO. The Physical School Environment: An Essential Component of a Health-Promoting School; The World Health Organization: Geneva, Switzerland, 2015. [Google Scholar]
- Bessong, P.O.; Odiyo, J.O.; Musekene, J.N.; Tessema, A. Spatial distribution of diarrhoea and microbial quality of domestic water during an outbreak of diarrhoea in the Tshikuwi community in Venda, South Africa. J. Health Popul. Nutr. 2009, 27, 652–659. [Google Scholar] [CrossRef]
- Edokpayi, J.N.; Rogawski, E.T.; Kahler, D.M.; Hill, C.L.; Reynolds, C.; Nyathi, E.; Smith, J.A.; Odiyo, J.O.; Samie, A.; Bessong, P.; et al. Challenges to sustainable safe drinking water: A case study of water quality and use across seasons in rural communities in Limpopo province, South Africa. Water 2018, 10, 159. [Google Scholar] [CrossRef]
- Potgieter, N.; Barnard, T.G.; Mudau, L.S.; Traore, A.N. The Epidemiology and Cost of Treating Diarrhoea in South Africa, Vol. 1: Prevalence of Diarrheagenic Pathogens in Water Sources in the Vhembe District of the Limpopo Province Water Research Commission; No. TT 760/18; Water Research Commission: Pretoria, South Africa, 2018. [Google Scholar]
- Enitan-Folami, A.M.; Mutileni, N.; Odiyo, J.O.; Swalaha, F.M.; Edokpayi, J.N. Hydrochemical, bacteriological assessment, and classification of groundwater quality in Thulamela Municipality, South Africa: Potential health risk. Hum. Ecol. Risk Assess. 2020, 26, 2044–2058. [Google Scholar] [CrossRef]
- Taonameso, S.; Mudau, L.S.; Traoré, A.N.; Potgieter, N. Borehole water: A potential health risk to rural communities in South Africa. Water Supply 2019, 19, 128–136. [Google Scholar] [CrossRef]
- Mukhumo, V. Investigating Suitability of Groundwater for Domestic Use in Siloam Village. Bachelor’s Thesis, University of Venda, Thohoyandou, South Africa, 2014. [Google Scholar]
- DWAF. Volume 1: Domestic water use. In South African Water Quality Guidelines, 2nd ed.; DWAF: Pretoria, South Africa, 1996; p. 216. [Google Scholar]
- World Health Organization (WHO). Guidelines for Drinking-Water Quality: First Addendum to the Fourth Edition; WHO: Geneva, Switzerland, 2017; p. 515. [Google Scholar]
- South African National Standards (SANS). Drinking Water Part 2: Application of SANS 2411; SABS Standards Division: Pretoria, South Africa, 2015. [Google Scholar]
- Machdar, E.; Van Der Steen, N.P.; Raschid-Sally, L.; Lens, P.N.L. Application of quantitative microbial risk assessment to analyze the public health risk from poor drinking water quality in a low income area in Accra, Ghana. Sci. Total Environ. 2013, 449, 134–142. [Google Scholar] [CrossRef] [PubMed]
- U.S. Department of Agriculture/Food Safety and Inspection Service (USDA/FSIS); U.S. Environmental Protection Agency (EPA). Microbial Risk Assessment Guideline: Pathogenic Organisms with Focus on Food and Water; FSIS Publication No. USDA/FSIS/2012-001; EPA Publication No. EPA/100/J12/001; 2012. Available online: https://www.epa.gov/sites/production/files/2013-09/documents/mra-guideline-final.pdf (accessed on 6 June 2020).
- Ahmed, J.; Wong, L.P.; Chua, Y.P.; Channa, N.; Mahar, R.B.; Yasmin, A.; VanDerslice, J.A.; Gar, J.V. Quantitative microbial risk assessment of drinking water quality to predict the risk of waterborne diseases in primary-school children. Int. J. Environ. Res. Public Health 2020, 17, 2774. [Google Scholar] [CrossRef] [PubMed]
- Senior, L.A. Radon-222 in the Ground Water of Chester County, Pennsylvania; US Department of the Interior, US Geological Survey: Washington, DC, USA, 1998. [Google Scholar]
- Popugaeva, D.; Kreyman, K.; Ray, A.K. Assessment of Khibiny Alkaline Massif groundwater quality using statistical methods and water quality index. Can. J. Chem. Eng. 2020, 98, 205–212. [Google Scholar] [CrossRef]
- Ayotte, J.D. Relation of Arsenic, Iron, and Manganese in Ground Water to Aquifer Type, Bedrock Lithogeochemistry, and Land Use in the New England Coastal Basins; US Department of the Interior, US Geological Survey: Washington, DC, USA, 1999; Volume 99. [Google Scholar]
- Tay, C.K.; Hayford, E.K.; Hodgson, I.O.A. Application of multivariate statistical technique for hydrogeochemical assessment of groundwater within the Lower Pra Basin, Ghana. Appl. Water Sci. 2017, 7, 1131–1150. [Google Scholar] [CrossRef]
- Kolli, K. Assessment of Groundwater Quality Using Data Mining Techniques; Lulu Publication: Morrisville, NC, USA, 2019. [Google Scholar]
- Oyem, H.H.; Oyem, I.M.; Ezeweali, D. Temperature, pH, electrical conductivity, total dissolved solids and chemical oxygen demand of groundwater in Boji-BojiAgbor/Owa area and immediate suburbs. Res. J. Environ. Sci. 2014, 8, 444–450. [Google Scholar] [CrossRef]
- EPA. State of the Environment Report Ireland’s Environment; Environmental Protection Agency: County Wexford, Ireland, 2008; p. 294. [Google Scholar]
- Odiyo, J.O.; Makungo, R.; Muhlarhi, T.G. The Impacts of Geochemistry and Agricultural Activities on Groundwater Quality in the Soutpansberg Fractured Aquifers; Water Pollution XII; WIT Press: Ashurst, Southampton, UK, 2014; pp. 121–132. [Google Scholar]
- WHO. Housing and Health Guidelines Geneva: World Health Organization. In WHO Guidelines for Other Key Housing Risk Factors; 2018; p. 8. Available online: https://www.ncbi.nlm.nih.gov/books/NBK535301/ (accessed on 25 February 2020).
- WHO. Guidelines for Drinking-Water Quality, 3rd ed.; WHO: Geneva, Switzerland, 2008; Volume 1, Recommendations. [Google Scholar]
- World Health Organization (WHO). Guidelines for Drinking-Water Quality, 4th ed.; WHO: Geneva, Switzerland, 2011. [Google Scholar]
- Samie, A.; Guerrant, R.L.; Barrett, L.; Bessong, P.O.; Igumbor, E.O.; Obi, C.L. Prevalence of intestinal parasitic and bacterial pathogens in diarrhoeal and non-diarrhoeal human stools from Vhembe district, South Africa. J. Health Popul. Nutr. 2009, 27, 739–745. [Google Scholar] [CrossRef]
- Shrestha, A.K.; Basnet, N. The Correlation and Regression Analysis of Physicochemical Parameters of River Water for the Evaluation of Percentage Contribution to Electrical Conductivity. J. Chem. 2018, 2018. [Google Scholar] [CrossRef]
- Kumar, S.K.; Babu, S.H.; Rao, P.E.; Selvakumar, S.; Thivya, C.; Muralidharan, S.; Jeyabal, G. Evaluation of water quality and hydrogeochemistry of surface and groundwater, Tiruvallur District, Tamil Nadu, India. Appl. Water Sci. 2017, 7, 2533–2544. [Google Scholar] [CrossRef]
- Selvakumar, S.; Chandrasekar, N.; Kumar, G. Hydrogeochemical characteristics and groundwater contamination in the rapid urban development areas of Coimbatore, India. Water Resour. Ind. 2017, 17, 26–33. [Google Scholar] [CrossRef]
- Krešić, N. Hydrogeology and Groundwater Modelling, 2nd ed.; CRC Press Publishers: New York, NY, USA; London, UK, 2007; p. 828. [Google Scholar]
- Lewandowski, J.; Meinikmann, K.; Nützmann, G.; Rosenberry, D.O. Groundwater–the disregarded component in lake water and nutrient budgets. Part 2: Effects of groundwater on nutrients. Hydrol. Process. 2015, 29, 2922–2955. [Google Scholar] [CrossRef]
- Ako, A.A.; Eyong, G.E.T.; Shimada, J.; Koike, K.; Hosono, T.; Ichiyanagi, K.; Richard, A.; Tandia, B.K.; Nkeng, G.E.; Roger, N.N. Nitrate contamination of groundwater in two areas of the Cameroon Volcanic Line (Banana Plain and Mount Cameroon area). Appl. Water Sci. 2014, 4, 99–113. [Google Scholar] [CrossRef]
- Odiyo, J.O.; Makungo, R. Chemical and microbial quality of groundwater in Siloam Village, implications to human health and sources of contamination. Int. J. Environ. Res. Public Health 2018, 15, 317. [Google Scholar] [CrossRef] [PubMed]
- Kohn, J.; Soto, D.X.; Iwanyshyn, M.; Olson, B.; Kalischuk, A.; Lorenz, K.; Hendry, M.J. Groundwater nitrate and chloride trends in an agriculture-intensive area in southern Alberta, Canada. Water Qual. Res. J. Can. 2016, 51, 47–59. [Google Scholar] [CrossRef]
- Yousif, M.; Oguchi, T.; Anazawa, K.; Ohba, T. Framework for investigation of karst aquifer in an arid zone, using isotopes, remote sensing and GIS applications: The Northwestern Coast of Egypt. Environ. Process. 2015, 2, 37–60. [Google Scholar] [CrossRef]
- Sajil Kumar, P.J.; James, E.J. Identification of hydrogeochemical processes in the Coimbatore district, Tamil Nadu, India. Hydrol. Sci. J. 2016, 61, 719–731. [Google Scholar] [CrossRef]
- Xu, Y.; Braune, E. Minimum distance as an important concept for borehole source protection in South Africa. In Proceedings of the Ground Water 1995 Conference, Midrand, South Africa, 26–28 September 1995. [Google Scholar]







| Pathogen | Parameters Used in Estimation |
|---|---|
| E. coli | α = 0.084; β = 1.44 (for children); Pill/in = 0.35 |
| Salmonella typhimurium | α = 0.33; β = 1.39; Pill/in = 0.45 |
| Shigella flexineri | α = 0.41; β = 42.86; Pill/in = 0.35 |
| Pathogen | Schools | Health Effects |
|---|---|---|
| Salmonella typhimurium | S2, S3, S5, S6, S7, S8 and S10 | Gastroenteritis (ranging from mild to fulminant diarrhoea, nausea and vomiting), bacteraemia or septicaemia (high spiking fever with positive blood cultures), and a carrier state in persons with previous infections 1 |
| Shigella flexneri | S2, S3, S4, S5, S6, S7, S8 and S10 | Formation of ulcers, blood-stained diarrhoea and elevated levels of neutrophils in faeces 2 |
| E. coli | S2, S3, S4, S5, S6, S7, S8 and S10 | Nausea, fever, vomiting, headaches, abdominal cramps and chills 2 |
| School | E. coli | Salmonella typhimurium | Shigella flexneri |
|---|---|---|---|
| S1 | 0.00 | 0.00 | 0.00 |
| S2 | 1.07 | 0.13 | 0.20 |
| S3 | 1.63 | 0.13 | 0.17 |
| S4 | 1.13 | 0.00 | 1.87 |
| S5 | 0.40 | 0.03 | 1.60 |
| S6 | 0.97 | 0.23 | 0.03 |
| S7 | 0.27 | 0.10 | 1.87 |
| S8 | 2.50 | 2.37 | 0.57 |
| S9 | 0.00 | 0.00 | 0.00 |
| S10 | 2.20 | 1.47 | 0.10 |
| Parameters | Aug-18 | Sep-18 | Oct-18 | |||
|---|---|---|---|---|---|---|
| Rs | p-Value | Rs | p-Value | Rs | p-Value | |
| EC and calcium | 0.965 | 0.3800 | 0.9391 | 0.670 | 0.954 | 0.563 |
| EC and magnesium | 0.879 | 0.364 | 0.854 | 0.503 | 0.782 | 0.406 |
| Sodium and EC | 0.462 | 0.119 | 0.527 | 0.200 | 0.539 | 0.207 |
| Sodium and Shigella flexneri | 0.712 | 0.956 | 0.577 | 0.244 | 0.518 | 0.208 |
| Phosphate and Salmonella typhimurium | 0.796 | 0.0691 | 0.648 | 0.002 | 0.651 | 0.0016 |
| Nitrate and chloride | 0.837 | 0.4579 | 0.861 | 0.360 | 0.837 | 0.457 |
| Sodium and chloride | −0.730 | 0.0001 | −0.770 | 0.0001 | −0.721 | 0.0003 |
© 2020 by the authors. Licensee MDPI, Basel, Switzerland. This article is an open access article distributed under the terms and conditions of the Creative Commons Attribution (CC BY) license (http://creativecommons.org/licenses/by/4.0/).
Share and Cite
Odiyo, J.O.; Mathoni, M.M.; Makungo, R. Health Risks and Potential Sources of Contamination of Groundwater Used by Public Schools in Vhuronga 1, Limpopo Province, South Africa. Int. J. Environ. Res. Public Health 2020, 17, 6912. https://doi.org/10.3390/ijerph17186912
Odiyo JO, Mathoni MM, Makungo R. Health Risks and Potential Sources of Contamination of Groundwater Used by Public Schools in Vhuronga 1, Limpopo Province, South Africa. International Journal of Environmental Research and Public Health. 2020; 17(18):6912. https://doi.org/10.3390/ijerph17186912
Chicago/Turabian StyleOdiyo, John Ogony, Mashudu Maxwell Mathoni, and Rachel Makungo. 2020. "Health Risks and Potential Sources of Contamination of Groundwater Used by Public Schools in Vhuronga 1, Limpopo Province, South Africa" International Journal of Environmental Research and Public Health 17, no. 18: 6912. https://doi.org/10.3390/ijerph17186912
APA StyleOdiyo, J. O., Mathoni, M. M., & Makungo, R. (2020). Health Risks and Potential Sources of Contamination of Groundwater Used by Public Schools in Vhuronga 1, Limpopo Province, South Africa. International Journal of Environmental Research and Public Health, 17(18), 6912. https://doi.org/10.3390/ijerph17186912

