Innovative Characterization of Particulate Matter Deposited on Urban Vegetation Leaves through the Application of a Chemical Fractionation Procedure
Abstract
1. Introduction
2. Materials and Methods
2.1. Study Areas
2.2. Leaf Sampling
2.3. Vacuum Filtration
2.4. Chemical Characterization of Washing Solutions
2.5. Chemical Characterization of Membrane Filters
2.6. Scanning Electron Microscopy Analysis
2.7. Statistical Analysis
3. Results and Discussion
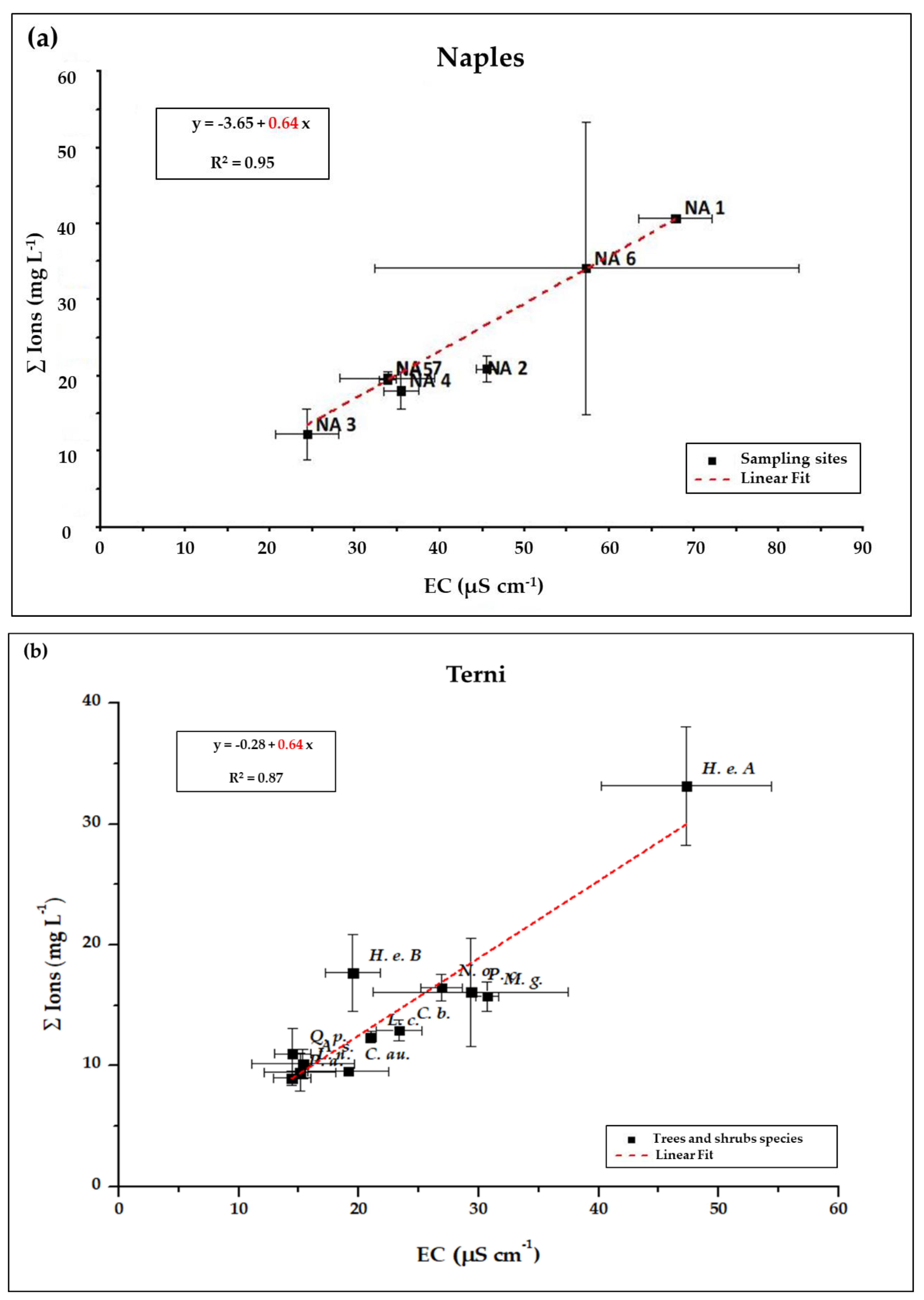
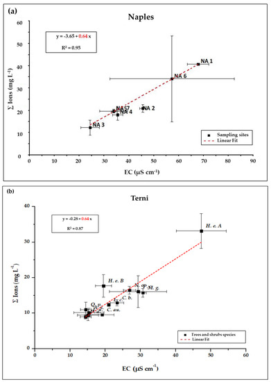
3.1. PM soluble Fraction: Chemical Characterization of Leaf Washing Solutions and Relationship with Electrical Conductivity
3.2. PM Insoluble Fraction: Chemical Characterization of Membrane Filters and Comparison with V/F Gravimetric Results
3.3. Reliability of Chemical Fractionation Procedure for the Evaluation of PM Emission Sources
3.4. Total PM Loads and Single Element Concentrations Per Unit Leaf Area: Comparison between Chemical Fractionation and Scanning Electron Microanalysis
4. Conclusions
Author Contributions
Funding
Acknowledgments
Conflicts of Interest
References
- Nowak, D.J.; Crane, D.E.; Stevens, J.C. Air pollution removal by urban trees and shrubs in the United States. Urban For. Urban Green. 2006, 4, 115–123. [Google Scholar] [CrossRef]
- Escobedo, F.J.; Nowak, D.J. Spatial heterogeneity and air pollution removal by an urban forest. Landsc. Urban Plan. 2009, 90, 102–110. [Google Scholar] [CrossRef]
- Nowak, D.J.; Hirabayashi, S.; Bodine, A.; Greenfield, E. Tree and forest effects on air quality and human health in the United States. Environ. Pollut. 2014, 193, 119–129. [Google Scholar] [CrossRef]
- Davidson, C.I.; Phalen, R.F.; Solomon, P.A. Airborne Particulate Matter and Human Health: A Review. Aerosol Sci. Tech. 2005, 39, 737–749. [Google Scholar] [CrossRef]
- Anderson, J.O.; Thundiyil, J.G.; Stolbach, A. Clearing the Air: A Review of the Effects of Particulate Matter Air Pollution on Human Health. J. Med. Toxicol. 2012, 8, 166–175. [Google Scholar] [CrossRef]
- Kim, K.H.; Kabir, E.; Kabir, S. A review on the human health impact of airborne particulate matter. Environ. Int. 2015, 74, 136–143. [Google Scholar] [CrossRef] [PubMed]
- Pope, C.A., III; Burnett, R.T.; Thun, M.J.; Calle, E.E.; Krewski, D.; Ito, K.; Thurston, G.D. Lung cancer, cardiopulmonary mortality, and long-term exposure to fine particulate air pollution. JAMA 2002, 287, 1132–1141. [Google Scholar] [CrossRef] [PubMed]
- El-Fadel, M.; Massoud, M. Particulate matter in urban areas: Health-based economic assessment. Sci. Total Environ. 2000, 257, 133–146. [Google Scholar] [CrossRef]
- Roemer, W.; Hoek, G.; Brunekreef, B.; Clench-Aas, J.; Forsberg, B.; Pekkanen, J.; Schultz, A. PM10 elemental composition and acute respiratory health effects in European children (PEACE project). Eur. Respir. J. 2000, 15, 553–559. [Google Scholar] [CrossRef]
- Englert, N. Fine particles and human health—A review of epidemiological studies. Toxicol. Lett. 2004, 149, 235–242. [Google Scholar] [CrossRef]
- Valavanidis, A.; Fiotakis, K.; Vlachogianni, T. Airborne Particulate Matter and Human Health: Toxicological Assessment and Importance of Size and Composition of Particles for Oxidative Damage and Carcinogenic Mechanisms. J. Environ. Sci. Health 2008, 26, 339–362. [Google Scholar] [CrossRef] [PubMed]
- Janhall, S. Review on urban vegetation and particle air pollution e Deposition and dispersion. Atmos. Environ. 2015, 105, 130–137. [Google Scholar] [CrossRef]
- Tong, Z.; Baldauf, R.W.; Isakov, V.; Deshmukh, P.; Zhang, K.M. Roadside vegetation barrier designs to mitigate near-road air pollution impacts. Sci. Total Environ. 2016, 541, 920–927. [Google Scholar] [CrossRef] [PubMed]
- Petroff, A.; Mailliat, A.; Amielh, M.; Anselmet, F. Aerosol dry deposition on vegetative canopies. Part I: Review of present knowledge. Atmos. Environ. 2008, 42, 3625–3653. [Google Scholar] [CrossRef]
- Rasanen, J.V.; Holopainen, T.; Joutsensaari, J.; Ndam, C.; Pasanen, P.; Rinnan, Å.; Kivimaenpaa, M. Effects of species-specific leaf characteristics and reduced water availability on fine particle capture efficiency of trees. Environ. Pollut. 2013, 183, 64–70. [Google Scholar] [CrossRef]
- Wang, L.; Gong, H.; Liao, W.; Wang, Z. Accumulation of particles on the surface of leaves during leaf expansion. Sci. Total Environ. 2015, 532, 420–434. [Google Scholar] [CrossRef]
- Chen, L.; Liu, C.; Zou, R.; Yang, M.; Zhang, Z. Experimental examination of effectiveness of vegetation as bio-filter of particulate matters in the urban environment. Environ. Pollut. 2016, 208, 198–208. [Google Scholar] [CrossRef]
- Sgrigna, G.; Baldacchini, C.; Dreveck, S.; Cheng, Z.; Calfapietra, C. Relationships among PM capture efficiency and leaf micro-macromorphological characteristics in twelve tree species from an Italian urban-industrial environment. Sci. Total Environ. 2020. [Google Scholar] [CrossRef]
- Litschke, T.; Kuttler, W. On the reduction of urban particle concentration by vegetation a review. Meteorol. Z. 2008, 17, 229–240. [Google Scholar] [CrossRef]
- Rodríguez-Germade, I.; Mohamed, K.J.; Rey, D.; Rubio, B.; García, A. The influence of weather and climate on the reliability of magnetic properties of tree leaves as proxies for air pollution monitoring. Sci. Total Environ. 2014, 468–469, 892–902. [Google Scholar] [CrossRef]
- Lorenzini, G.; Grassi, C.; Nali, C.; Petiti, A.; Loppi, S.; Tognotti, L. Leaves of Pittosporum tobira as indicators of airborne trace element and PM10 distribution in central Italy. Atmos. Environ. 2006, 40, 4025–4036. [Google Scholar] [CrossRef]
- Mitchell, R.; Maher, B.A.; Kinnersley, A. Rates of particulate pollution deposition onto leaf surfaces: Temporal and inter-species magnetic analyses. Environ. Pollut. 2010, 158, 1472–1478. [Google Scholar] [CrossRef] [PubMed]
- Leonard, R.J.; McArthur, C.; Hochuli, D.F. Particulate matter deposition on roadside plants and the importance of leaf trait combinations. Urban For. Urban Green. 2016, 20, 249–253. [Google Scholar] [CrossRef]
- Umbrìa, A.; Galan, M.; Munoz, M.J.; Martìn, R. Characterization of atmospheric particles: Analysis of particles in the Campo de Gibraltar. Atmosfera 2004, 17, 191–206. [Google Scholar]
- Thorpe, A.; Harrison, R.M. Sources and properties of non-exhaust particulate matter from road traffic: A review. Sci. Total Environ. 2008, 400, 270–282. [Google Scholar] [CrossRef] [PubMed]
- Canepari, S.; Perrino, C.; Olivieri, F.; Astolfi, M.L. Characterisation of the traffic sources of PM through size-segregated sampling, sequential leaching and ICP analysis. Atmos. Environ. 2008, 42, 8161–8175. [Google Scholar] [CrossRef]
- Sgrigna, G.; Baldacchini, C.; Esposito, R.; Calandrelli, R.; Tiwary, A.; Calfapietra, C. Characterization of leaf-level particulate matter for an industrial city using electron microscopy and X-ray microanalysis. Sci. Total Environ. 2016, 548–549, 91–99. [Google Scholar] [CrossRef]
- Baldacchini, C.; Castanheiro, A.; Maghakyan, N.; Sgrigna, G.; Verhelst, J.; Alonso, R.; Amorim, J.H.; Bellan, P.; Bojović, D.D.; Breuste, J.; et al. How Does the Amount and Composition of PM Deposited on Platanus acerifolia Leaves Change Across Different Cities in Europe? Environ. Sci. Technol. 2017, 51, 1147–1156. [Google Scholar] [CrossRef]
- Rossini Oliva, S.; Fernández Espinosa, A.J. Monitoring of heavy metals in topsoils, atmospheric particles and plant leaves to identify possible contamination sources. Microchem. J. 2007, 86, 131–139. [Google Scholar] [CrossRef]
- Hofman, J.; Samson, R. Biomagnetic monitoring as a validation tool for local air quality models: A case study for an urban street canyon. Environ. Int. 2014, 70, 50–61. [Google Scholar] [CrossRef]
- Baldacchini, C.; Sgrigna, G.; Clarke, W.; Tallis, M.; Calfapietra, C. An ultra-spatially resolved method to quali-quantitative monitor particulate matter in urban environment. Environ. Sci. Pollut. Res. Int. 2019, 26, 18719–18729. [Google Scholar] [CrossRef] [PubMed]
- Gratani, L.; Crescente, M.F.; Varone, L. Long-term monitoring of metal pollution by urban trees. Atmos. Environ. 2008, 42, 8273–8277. [Google Scholar] [CrossRef]
- Moreno, E.; Sagnotti, L.; Dinares Turell, J.; Winkler, A.; Cascella, A. Biomonitoring of traffic air pollution in Rome using magnetic properties of tree leaves. Atmos. Environ. 2003, 37, 2967–2977. [Google Scholar] [CrossRef]
- Richardson, D.H.S.; Shore, M.; Hartree, R.; Richardson, R.M. The use of X-ray fluorescence spectrometry for the analysis of plants, especially lichens, employed in biological monitoring. Sci. Total Environ. 1995, 176, 97–105. [Google Scholar] [CrossRef]
- Power, A.L.; Worsley, A.T.; Booth, C. Magneto-biomonitoring of intra-urban spatial variations of particulate matter using tree leaves. Environ. Geochem. Health 2009, 31, 315–325. [Google Scholar] [CrossRef]
- Dzierżanowski, K.; Popek, R.; Gawrońska, H.; Sæbø, A.; Gawroński, S.W. Deposition of Particulate Matter of Different Size Fractions on Leaf Surfaces and in Waxes of Urban Forest Species. Int. J. Phytoremediat. 2011, 13, 1037–1046. [Google Scholar] [CrossRef]
- Tomašević, M.; Vukmirović, Z.; Rajšić, S.; Tasić, M.; Stevanović, B. Characterization of trace metal particles deposited on some deciduous tree leaves in an urban area. Chemosphere 2005, 61, 753–760. [Google Scholar] [CrossRef]
- Castanheiro, A.; Samson, R.; De Wael, K. Magnetic- and particle- based techniques to investigate metal deposition on urban green. Sci. Total Environ. 2016, 571, 594–602. [Google Scholar] [CrossRef]
- Weerakkody, U.; Dover, J.W.; Mitchell, P.; Reiling, K. Quantification of the traffic-generated particulate matter capture by plant species in a living wall and evaluation of the important leaf characteristics. Sci. Total Environ. 2018, 635, 1012–1024. [Google Scholar] [CrossRef]
- Canepari, S.; Cardarelli, E.; Giuliano, A.; Pietrodangelo, A. Determination of metals, metalloids and non-volatile ions in airborne particulate matter by a new two-step sequential leaching procedure Part A: Experimental design and optimization. Talanta 2006, 69, 581–587. [Google Scholar] [CrossRef]
- Canepari, S.; Cardarelli, E.; Pietrodangelo, A.; Strincone, M. Determination of metals, metalloids and non-volatile ions in airborne particulate matter by a new two-step sequential leaching procedure Part B: Validation on equivalent real samples. Talanta 2006, 69, 588–595. [Google Scholar] [CrossRef] [PubMed]
- Dinka, M.O.; Loiskandl, W.; Ndambukic, J.M. Hydrochemical characterization of various surface water and groundwater resources available in Matahara areas, Fantalle Woreda of Oromiya region. J. Hydrol. Reg. Stud. 2015, 3, 444–456. [Google Scholar] [CrossRef]
- Rice, A.; Baird, E.W.; Eaton, R.B. APHA 2017 Standard Methods for Examination of Water and Wastewater; American Public Health Association, American Water Works Association, Water Environment Federation: Washington, DC, USA, 2017; ISBN 9780875532875. [Google Scholar]
- Alfani, A.; Maisto, G.; Prati, M.V.; Baldantoni, D. Leaves of Quercus ilex L. as biomonitors of PAHs in the air of Naples (Italy). Atmos. Environ. 2001, 35, 3553–3559. [Google Scholar] [CrossRef]
- Sgrigna, G.; Sæbø, A.; Gawronski, S.; Popek, R.; Calfapietra, C. Particulate Matter deposition on Quercus ilex leaves in an industrial city of central Italy. Environ. Pollut. 2015, 197, 187–194. [Google Scholar] [CrossRef] [PubMed]
- Massimi, L.; Conti, M.E.; Mele, G.; Ristorini, M.; Astolfi, M.L.; Canepari, S. Lichen transplants as indicators of atmospheric element concentrations: A high spatial resolution comparison with PM10 samples in a polluted area (Central Italy). Ecol. Indic. 2019, 101, 759–769. [Google Scholar] [CrossRef]
- Massimi, L.; Simonetti, G.; Buiarelli, F.; Di Filippo, P.; Pomata, D.; Riccardi, C.; Ristorini, M.; Astolfi, M.L.; Canepari, S. Spatial Distribution of Levoglucosan and Alternative Biomass Burning Tracers in an Urban and Industrial Hot-spot of Central Italy. Atmos. Res. 2020, 239, 104904. [Google Scholar] [CrossRef]
- Capelli, L.; Sironi, S.; Del Rosso, R.; Céntola, P.; Rossi, A.; Austeri, C. Olfactometric approach for the evaluation of citizens’ exposure to industrial emissions in the city of Terni, Italy. Sci. Total Environ. 2011, 409, 595–603. [Google Scholar] [CrossRef]
- Massimi, L.; Ristorini, M.; Eusebio, M.; Florendo, D.; Adeyemo, A.; Brugnoli, D.; Canepari, S. Monitoring and Evaluation of Terni (Central Italy) Air Quality through Spatially Resolved Analyses. Atmosphere 2017, 8, 200. [Google Scholar] [CrossRef]
- Wang, H.; Shi, H.; Wang, Y. Effects of Weather, Time, and Pollution Level on the Amount of Particulate Matter Deposited on Leaves of Ligustrum lucidum. Sci. World J. 2015, 8, 935942. [Google Scholar] [CrossRef]
- Schneider, C.A.; Rasband, W.S.; Eliceiri, K.W. NIH Image to ImageJ: 25 years of image analysis. Nat. Methods 2012, 9, 671–675. [Google Scholar] [CrossRef]
- Astolfi, M.L.; Marconi, E.; Protano, C.; Vitali, M.; Schiavi, E.; Mastromarino, P.; Canepari, S. Optimization and validation of a fast digestion method for the determination of major and trace elements in breast milk by ICP-MS. Anal. Chim. Acta 2018, 1040, 49–62. [Google Scholar] [CrossRef]
- Iyasele, J.U.; Idiata, D.J. Investigation of the Relationship between Electrical Conductivity and Total Dissolved Solids for Mono-Valent, Di-Valent and Tri-Valent Metal Compounds. IJERR 2015, 3, 40–48. [Google Scholar]
- Al Dahaan, S.; Al-Ansari, N.; Knutsson, S. Influence of Groundwater Hypothetical Salts on Electrical Conductivity Total Dissolved Solids. Engineering 2016, 8, 823–830. [Google Scholar] [CrossRef]
- Astolfi, M.L.; Protano, C.; Marconi, E.; Massimi, L.; Brunori, M.; Piamonti, D.; Migliara, G.; Vitali, M.; Canepari, S. A new rapid treatment of human hair for elemental determination by inductively coupled mass spectrometry. Anal. Methods 2020, 12, 1906–1918. [Google Scholar] [CrossRef]
- Huggins, F.E.; Huffman, G.E.; Robertson, J.D. Speciation of elements in NIST particulate matter SRMs 1648 and 1650. J. Hazard. Mater. 2000, 74, 1–23. [Google Scholar] [CrossRef]
- Huggins, F.E.; Shah, N.; Huffman, G.E.; Robertson, J.D. XAFS spectroscopic characterization of elements in combustion ash and fine particulate matter. Fuel Process. Technol. 2000, 65–66, 203–218. [Google Scholar] [CrossRef]
- Yinsong, W.; Aiguo, L.; Yuanxun, L.; Lun, W.; Yan, L.; Guilin, Z.; Yaning, X.; Jing, Z.; Yuanmao, Z.; Zuci, S. Speciation of elements in atmospheric particulate matter by XANES. J. Radioanal Nucl. Chem. 2007, 273, 247–251. [Google Scholar] [CrossRef]
- Mészáros, E.; Barcza, T.; Gelencsér, A.; Hlavay, J.; Kiss, G.; Krivácsy, Z.; Molnár, A.; Polyák, K. Size distributions of inorganic and organic species in the atmospheric aerosol in Hungary. J. Aerosol Sci. 1997, 28, 1163–1175. [Google Scholar] [CrossRef]
- Venkataraman, C.; Thomas, S.; Kulkarni, P. Size distribution of polycyclic aromatic hydrocarbons- gas/particle portioning to urban aerosols. J. Aerosol Sci. 1999, 30, 759–770. [Google Scholar] [CrossRef]
- Birmili, W.; Allen, A.G.; Bary, F.; Harrison, R.M. Trace Metal Concentrations and Water Solubility in Size-Fractionated Atmospheric Particles and Influence of Road Traffic. Environ. Sci. Technol. 2006, 40, 1144–1153. [Google Scholar] [CrossRef]
- Adachi, K.; Tainosho, Y. Characterization of heavy metal particles embedded in tire dust. Environ. Int. 2004, 30, 1009–1017. [Google Scholar] [CrossRef]
- Blair, M.; Stevens, T.L. Steel Castings Handbook, 6th ed.; Steel Founders’ Society and ASM International: Novelty, OH, USA, 1995; pp. 2–34. [Google Scholar]
- Minguillón, M.C.; Querol, X.; Baltensperger, U.; Prévôt, A.S.H. Fine and coarse PM composition and sources in rural and urban sites in Switzerland: Local or regional pollution? Sci. Total Environ. 2012, 427–428, 191–202. [Google Scholar] [CrossRef]
- Dongarrà, G.; Manno, E.; Varrica, D. Possible markers of traffic-related emissions. Environ. Monit. Assess. 2008, 154, 117–125. [Google Scholar] [CrossRef]
- Gietl, J.K.; Lawrence, L.; Thorpe, A.J.; Harrison, R.M. Identification of brake wear particles and derivation of a quantitative tracer for brake dust at a major road. Atmos. Environ. 2010, 44, 141–146. [Google Scholar] [CrossRef]
- Grigoratos, G.; Martini, G. Brake wear particle emissions: A review. Environ. Sci. Pollut. Res. Int. 2015, 22, 2491–2504. [Google Scholar] [CrossRef]








© 2020 by the authors. Licensee MDPI, Basel, Switzerland. This article is an open access article distributed under the terms and conditions of the Creative Commons Attribution (CC BY) license (http://creativecommons.org/licenses/by/4.0/).
Share and Cite
Ristorini, M.; Baldacchini, C.; Massimi, L.; Sgrigna, G.; Calfapietra, C. Innovative Characterization of Particulate Matter Deposited on Urban Vegetation Leaves through the Application of a Chemical Fractionation Procedure. Int. J. Environ. Res. Public Health 2020, 17, 5717. https://doi.org/10.3390/ijerph17165717
Ristorini M, Baldacchini C, Massimi L, Sgrigna G, Calfapietra C. Innovative Characterization of Particulate Matter Deposited on Urban Vegetation Leaves through the Application of a Chemical Fractionation Procedure. International Journal of Environmental Research and Public Health. 2020; 17(16):5717. https://doi.org/10.3390/ijerph17165717
Chicago/Turabian StyleRistorini, Martina, Chiara Baldacchini, Lorenzo Massimi, Gregorio Sgrigna, and Carlo Calfapietra. 2020. "Innovative Characterization of Particulate Matter Deposited on Urban Vegetation Leaves through the Application of a Chemical Fractionation Procedure" International Journal of Environmental Research and Public Health 17, no. 16: 5717. https://doi.org/10.3390/ijerph17165717
APA StyleRistorini, M., Baldacchini, C., Massimi, L., Sgrigna, G., & Calfapietra, C. (2020). Innovative Characterization of Particulate Matter Deposited on Urban Vegetation Leaves through the Application of a Chemical Fractionation Procedure. International Journal of Environmental Research and Public Health, 17(16), 5717. https://doi.org/10.3390/ijerph17165717

