Impacts of Anthropogenic Changes on the Mun River Water: Insight from Spatio-Distributions and Relationship of C and N Species in Northeast Thailand
Abstract
1. Introduction
2. Study Area and Method
2.1. Study Area Description and Sampling Procedure
2.2. Study Area Description and Sampling Procedure
2.3. Land-Use Type
3. Results and Discussion
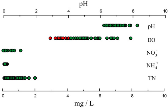
3.1. Physicochemical Parameters
3.2. C and N Species Distributions and Relationships
3.3. Atmospheric Inputs
3.4. Anthropogenic Inputs
3.5. Water Quality Assessments
4. Conclusions
Supplementary Materials
Author Contributions
Funding
Acknowledgments
Conflicts of Interest
References
- Wu, Y.; Bao, H.Y.; Unger, D.; Herbeck, L.S.; Zhu, Z.Y.; Zhang, J.; Jennerjahn, T.C. Biogeochemical behavior of organic carbon in a small tropical river and estuary, Hainan, China. Cont. Shelf Res. 2013, 57, 32–43. [Google Scholar] [CrossRef]
- Lorite-Herrera, M.; Hiscock, K.; Jiménez-Espinosa, R. Distribution of dissolved inorganic and organic nitrogen in river water and groundwater in an agriculturally-dominated catchment, south-East Spain. Water Air Soil Pollut. 2009, 198, 335–346. [Google Scholar] [CrossRef]
- Hiscock, K.; Lovett, A.; Saich, A.; Dockerty, T.; Johnson, P.; Sandhu, C.; Sünnenberg, G.; Appleton, K.; Harris, B.; Greaves, J. Modelling land-use scenarios to reduce groundwater nitrate pollution: The European Water4 All project. Q. J. Eng. Geol. 2007, 40, 417–434. [Google Scholar] [CrossRef]
- Eshleman, K.N.; Hemond, H.F. The Role of Organic Acids in the Acid-Base Status of Surface Waters at Bickford Watershed, Massachusetts. Water Resour. Res. 1985, 21, 1503–1510. [Google Scholar] [CrossRef]
- Roy, R.L.; Campbell, P.G.C. Decreased toxicity of Al to juvenile atlantic salmon (Salmo salar) in acidic soft water containing natural organic matter: A test of the free-ion model. Environ. Toxicol. Chem. 1997, 16, 1962–1969. [Google Scholar] [CrossRef]
- Lawlor, A.J.; Tipping, E. Metals in bulk deposition and surface waters at two upland locations in northern England. Environ. Pollut. 2003, 121, 153–168. [Google Scholar] [CrossRef]
- McCartney, A.G.; Harriman, R.; Watt, A.W.; Moore, D.W.; Taylor, E.M.; Collen, P.; Keay, E.J. Long-term trends in pH, aluminium and dissolved organic carbon in Scottish fresh waters; implications for brown trout (Salmo trutta) survival. Sci. Total Environ. 2003, 310, 133–141. [Google Scholar] [CrossRef]
- Barth, J.A.C.; Cronin, A.A.; Dunlop, J.; Kalin, R.M. Influence of carbonates on the riverine carbon cycle in an anthropogenically dominated catchment basin: Evidence from major elements and stable carbon isotopes in the Lagan River (N. Ireland). Chem. Geol. 2003, 200, 203–216. [Google Scholar] [CrossRef]
- Clark, J.M.; Lane, S.N.; Chapman, P.J.; Adamson, J.K. Export of dissolved organic carbon from an upland peatland during storm events: Implications for flux estimates. J. Hydrol. 2007, 347, 438–447. [Google Scholar] [CrossRef]
- Richey, J.E.; Melack, J.M.; Aufdenkampe, A.K.; Ballester, V.M.; Hess, L.L. Outgassing from Amazonian rivers and wetlands as a large tropical source of atmospheric CO2. Nature 2002, 416, 617–620. [Google Scholar] [CrossRef] [PubMed]
- Smith, R.M.; Kaushal, S.S.; Beaulieu, J.J.; Pennino, M.J.; Welty, C. Influence of infrastructure on water quality and greenhouse gas dynamics in urban streams. Biogeosciences 2017, 14, 2831–2849. [Google Scholar] [CrossRef]
- Yan, W.; Mayorga, E.; Li, X.; Seitzinger, S.P.; Bouwman, A.F. Increasing anthropogenic nitrogen inputs and riverine DIN exports from the Changjiang River basin under changing human pressures. Glob. Biogeochem. Cycles 2010, 24. [Google Scholar] [CrossRef]
- Seitzinger, S.P.; Sanders, R.W.; Styles, R. Bioavailability of DON from natural and anthropogenic sources to estuarine plankton. Limnol. Oceanogr. 2002, 47, 353–366. [Google Scholar] [CrossRef]
- Seitzinger, S.P.; Sanders, R.W. Contribution of dissolved organic nitrogen from rivers to estuarine eutrophication. Mar. Ecol. Prog. Ser. 1997, 159, 1–12. [Google Scholar] [CrossRef]
- Sharp, E.L.; Parsons, S.A.; Jefferson, B. Seasonal variations in natural organic matter and its impact on coagulation in water treatment. Sci. Total Environ. 2006, 363, 183–194. [Google Scholar] [CrossRef] [PubMed]
- Ribas-Ribas, M.; Gómez-Parra, A.; Forja, J.M. Spatio-temporal variability of the dissolved organic carbon and nitrogen in a coastal area affected by river input: The north eastern shelf of the Gulf of Cádiz (SW Iberian Peninsula). Mar. Chem. 2011, 126, 295–308. [Google Scholar] [CrossRef]
- Frost, P.C.; Larson, J.H.; Johnston, C.A.; Young, K.C.; Maurice, P.A.; Lamberti, G.A.; Bridgham, S.D. Landscape predictors of stream dissolved organic matter concentration and physicochemistry in a Lake Superior river watershed. Aquat. Sci. 2006, 68, 40–51. [Google Scholar] [CrossRef]
- Driscoll, C.T.; Whitall, D.; Aber, J.D.; Boyer, E.W.; Castro, M.; Cronan, C.; Goodale, C.L.; Groffman, P.M.; Hopkinson, C.; Lambert, K.; Lawrence, G.; Ollinger, S. Nitrogen pollution in the northeastern United States: Sources, effects, and management options. Bioscience 2003, 53, 357–374. [Google Scholar] [CrossRef]
- Neff, J.C.; Chapin, F.S.; Vitousek, P.M.; Chapin III, F.S.; Vitousek, P.M. Breaks in the cycle: dissolved organic nitrogen in terrestrial ecosystems. Front. Ecol. Environ. 2003, 1, 205–211. [Google Scholar] [CrossRef]
- Keller, D.P.; Hood, R.R. Modeling the seasonal autochthonous sources of dissolved organic carbon and nitrogen in the upper Chesapeake Bay. Ecol. Modell. 2011, 222, 1139–1162. [Google Scholar] [CrossRef]
- Badr, E.S.A. Spatio-temporal variability of dissolved organic nitrogen (DON), carbon (DOC), and nutrients in the Nile River, Egypt. Environ. Monit. Assess. 2016, 188, 580. [Google Scholar] [CrossRef] [PubMed]
- Vitousek, P.M.; Aber, J.D.; Howarth, R.W.; Likens, G.E.; Matson, P.A.; Schindler, D.W.; Schlesinger, W.H.; Tilman, D.G. Human alteration of the global nitrogen cycle: Sources and consequences. Ecol. Appl. 1997, 7, 737–750. [Google Scholar] [CrossRef]
- Ahearn, D.S.; Sheibley, R.W.; Dahlgren, R.A.; Anderson, M.; Johnson, J.; Tate, K.W. Land use and land cover influence on water quality in the last free-flowing river draining the western Sierra Nevada, California. J. Hydrol. 2005, 313, 234–247. [Google Scholar] [CrossRef]
- Badr, E.S.A.; Tappin, A.D.; Achterberg, E.P. Distributions and seasonal variability of dissolved organic nitrogen in two estuaries in SW England. Mar. Chem. 2008, 110, 153–164. [Google Scholar] [CrossRef]
- Evans, C.D.; Monteith, D.T.; Cooper, D.M. Long-term increases in surface water dissolved organic carbon: Observations, possible causes and environmental impacts. Environ. Pollut. 2005, 137, 55–71. [Google Scholar] [CrossRef] [PubMed]
- Kalscheur, K.N.; Penskar, R.R.; Daley, A.D.; Pechauer, S.M.; Kelly, J.J.; Peterson, C.G.; Gray, K.A. Effects of anthropogenic inputs on the organic quality of urbanized streams. Water Res. 2012, 46, 2515–2524. [Google Scholar] [CrossRef] [PubMed]
- Harrison, J.A.; Caraco, N.; Seitzinger, S.P. Global patterns and sources of dissolved organic matter export to the coastal zone: Results from a spatially explicit, global model. Glob. Biogeochem. Cycles 2005, 19. [Google Scholar] [CrossRef]
- Seitzinger, S.P.; Sanders, R.W. Atmospheric inputs of dissolved organic nitrogen stimulate estuarine bacteria and phytoplankton. Limnol. Oceanogr. 1999, 44, 721–730. [Google Scholar] [CrossRef]
- Shang, F.; Ren, S.; Yang, P.; Li, C.; Ma, N. Effects of Different Fertilizer and Irrigation Water Types, and Dissolved Organic Matter on Soil C and N Mineralization in Crop Rotation Farmland. Water. Air. Soil Pollut. 2015, 226, 396. [Google Scholar] [CrossRef]
- Li, S.; Gu, S.; Liu, W.; Han, H.; Zhang, Q. Water quality in relation to land use and land cover in the upper Han River Basin, China. Catena 2008, 75, 216–222. [Google Scholar] [CrossRef]
- Fitzpatrick, M.L.; Long, D.T.; Pijanowski, B.C. Exploring the effects of urban and agricultural land use on surface water chemistry, across a regional watershed, using multivariate statistics. Appl. Geochem. 2007, 22, 1825–1840. [Google Scholar] [CrossRef]
- Aitkenhead-Peterson, J.A.; Steele, M.K.; Nahar, N.; Santhy, K. Dissolved organic carbon and nitrogen in urban and rural watersheds of south-central Texas: Land use and land management influences. Biogeochemistry 2009, 96, 119–129. [Google Scholar] [CrossRef]
- Williams, M.W.; Hood, E.; Caine, N. Role of organic nitrogen in the nitrogen cycle of a high-elevation catchment, Colorado Front Range. Water Resour. Res. 2001, 37, 2569–2581. [Google Scholar] [CrossRef]
- Hinton, M.J.; Schiff, S.L.; English, M.C. The significance of storms for the concentration and export of dissolved organic carbon from two Precambrian Shield catchments. Biogeochemistry 1997, 36, 67–88. [Google Scholar] [CrossRef]
- Strobel, B.W.; Olsrud, M.; Giesler, R. Climate change factors increase ammonium, amino acids, DON and DOC in soil solution in a subarctic birch forest in northern Sweden. IOP Conf. Ser. Earth Environ. Sci. 2009, 6, 082017. [Google Scholar] [CrossRef]
- Erisman, J.W.; Galloway, J.N.; Seitzinger, S.; Bleeker, A.; Dise, N.B.; Roxana Petrescu, A.M.; Leach, A.M.; de Vries, W. Consequences of human modification of the global nitrogen cycle. Philos. Trans. R. Soc. B Biol. Sci. 2013, 368, 20130116. [Google Scholar] [CrossRef] [PubMed]
- Akter, A.; Babel, M.S. Hydrological modeling of the Mun River basin in Thailand. J. Hydrol. 2012, 452–453, 232–246. [Google Scholar] [CrossRef]
- Zhao, Z.; Liu, G.; Liu, Q.; Huang, C.; Li, H. Studies on the Spatiotemporal Variability of River Water Quality and Its Relationships with Soil and Precipitation: A Case Study of the Mun River Basin in Thailand. Int. J. Environ. Res. Public Health 2018, 15, 2466. [Google Scholar] [CrossRef] [PubMed]
- Peel, M.C.; Finlayson, B.L.; McMahon, T.A. Updated world map of the Köppen-Geiger climate classification. Hydrol. Earth Syst. Sci. 2007, 4, 439–473. [Google Scholar] [CrossRef]
- Prabnakorn, S.; Maskey, S.; Suryadi, F.X.; de Fraiture, C. Rice yield in response to climate trends and drought index in the Mun River Basin, Thailand. Sci. Total Environ. 2018, 621, 108–119. [Google Scholar] [CrossRef] [PubMed]
- PCD. Development of an Action Plan to Improve the Water Quality in the Northeastern Basin, Thailand; Mun Basin Data; Annex I: Part 3, 10(C.3); Pollution Control Department: Bangkok, Thailand, 1995. [Google Scholar]
- Ansa-Asare, O.D.; Marr, I.L.; Cresser, M.S. Evaluation of modelled and measured patterns of dissolved oxygen in a freshwater lake as an indicator of the presence of biodegradable organic pollution. Water Res. 2000, 34, 1079–1088. [Google Scholar] [CrossRef]
- Okbah, M.A.; Ibrahim, A.M.A.; Gamal, M.N.M. Environmental monitoring of linear alkylbenzene sulfonates and physicochemical characteristics of seawater in El-Mex Bay (Alexandria, Egypt). Environ. Monit. Assess. 2013, 185, 3103–3115. [Google Scholar] [CrossRef] [PubMed]
- Michalzik, B.; Matzner, E. Dynamics of dissolved organic nitrogen and carbon in a Central European Norway spruce ecosystem. Eur. J. Soil Sci. 1999, 50, 579–590. [Google Scholar] [CrossRef]
- Keller, D.P.; Hood, R.R. Comparative simulations of dissolved organic matter cycling in idealized oceanic, coastal, and estuarine surface waters. J. Mar. Syst. 2013, 109–110, 109–128. [Google Scholar] [CrossRef]
- Huntington, T.G.; Balch, W.M.; Aiken, G.R.; Sheffield, J.; Luo, L.; Roesler, C.S.; Camill, P. Climate change and dissolved organic carbon export to the Gulf of Maine. J. Geophys. Res. Biogeosci. 2016, 121. [Google Scholar] [CrossRef]
- Clair, T.A.; Pollock, T.L.; Ehrman, J.M. Exports of carbon and nitrogen from river basins in Canada’s Atlantic Provinces. Glob. Biogeochem. Cycles 1994, 8, 441–450. [Google Scholar] [CrossRef]
- Leach, J.A.; Larsson, A.; Wallin, M.B.; Nilsson, M.B.; Laudon, H. Twelve year inter-annual and seasonal variability of stream carbon export from a boreal peatland catchment. J. Geophys. Res. Biogeosci. 2016, 121, 1851–1866. [Google Scholar] [CrossRef]
- Han, G.; Liu, C.Q. Strontium isotope and major ion chemistry of the rainwaters from Guiyang, Guizhou Province, China. Sci. Total Environ. 2006, 364, 165–174. [Google Scholar] [CrossRef] [PubMed]
- Berman, T.; Bronk, D.A. Dissolved organic nitrogen: A dynamic participant in aquatic ecosystems. Aquat. Microb. Ecol. 2003, 31, 279–305. [Google Scholar] [CrossRef]
- Brookshire, E.N.J.; Valett, H.M.; Thomas, S.A.; Webster, J.R. Coupled cycling of dissolved organic nitrogen and carbon in a forest stream. Ecology 2005, 86, 2487–2496. [Google Scholar] [CrossRef]
- Alkhatib, M.; Del Giorgio, P.A.; Gelinas, Y.; Lehmann, M.F. Benthic fluxes of dissolved organic nitrogen in the lower St. Lawrence estuary and implications for selective organic matter degradation. Biogeosciences 2013, 10, 7609–7622. [Google Scholar] [CrossRef]
- Kerner, M.; Spitzy, A. Nitrate regeneration coupled to degradation of different size fractions of DON by the picoplankton in the Elbe estuary. Microb. Ecol. 2001, 41, 69–81. [Google Scholar] [CrossRef] [PubMed]
- Bronk, D.A.; Ward, B.B. Gross and net nitrogen uptake and DON release in the euphotic zone of Monterey Bay, California. Limnol. Oceanogr. 1999, 44, 573–585. [Google Scholar] [CrossRef]
- Lønborg, C.; Davidson, K.; Álvarez-Salgado, X.A.; Miller, A.E.J. Bioavailability and bacterial degradation rates of dissolved organic matter in a temperate coastal area during an annual cycle. Mar. Chem. 2009, 13, 219–226. [Google Scholar] [CrossRef]
- Sipler, R.E.; Bronk, D.A. Dynamics of Dissolved Organic Nitrogen. In Biogeochemistry of Marine Dissolved Organic Matter; Hansell, D.A., Carlson, C.A., Eds.; Academic Press: Boston, MA, USA, 2015; pp. 127–232. [Google Scholar]
- Chetelat, B.; Liu, C.Q.; Zhao, Z.Q.; Wang, Q.L.; Li, S.L.; Li, J.; Wang, B.L. Geochemistry of the dissolved load of the Changjiang Basin rivers: Anthropogenic impacts and chemical weathering. Geochim. Cosmochim. Acta 2008, 72, 4254–4277. [Google Scholar] [CrossRef]
- Roy, S.; Gaillardet, J.; Allègre, C.J. Geochemistry of dissolved and suspended loads of the Seine river, France: Anthropogenic impact, carbonate and silicate weathering. Geochim. Cosmochim. Acta 1999, 63, 1277–1292. [Google Scholar] [CrossRef]
- Moon, S.; Huh, Y.; Qin, J.; Nguyen, V.P. Chemical weathering in the Hong (Red) River basin: Rates of silicate weathering and their controlling factors. Geochim. Cosmochim. Acta 2007, 71, 1411–1430. [Google Scholar] [CrossRef]
- Harris, C.W.; Rees, G.N.; Stoffels, R.J.; Pengelly, J.; Barlow, K.; Silvester, E. Longitudinal trends in concentration and composition of dissolved organic nitrogen (DON) in a largely unregulated river system. Biogeochemistry 2018, 139, 139–153. [Google Scholar] [CrossRef]
- WHO. Guidelines for Drinking-Water Quality: Fourth Edition Incorporating the First Addendum; WHO: Geneva, Switzerland, 2017; ISBN 978-92-4-154995-0. [Google Scholar]
- EC European Communities. EC (European Communities) Council Directive of 15 July 1980 Relating to the Quality of Water Intended for Human Consumption (80/778/EEC). Official Journal of the European Communities, 1980; No L 229/11-29. Available online: https://publications.europa.eu/en/publication-detail/-/publication/c0ad00db-b82c-46ab-af4b-4691225fbd6d/language-en (accessed on 23 February 2019).
- Kapoor, A.; Viraraghavan, T. Nitrate Removal from Drinking Water—Review. J. Environ. Eng. 1997, 124, 903. [Google Scholar] [CrossRef]








| Parameters | T | pH | TDS | DO | DOC | DON | NO3− | NH4+ | DOC/DON | HCO3− |
|---|---|---|---|---|---|---|---|---|---|---|
| T | 1 | |||||||||
| pH | 0.14 | 1 | ||||||||
| TDS | 0.36 ** | 0.39 ** | 1 | |||||||
| DO | −0.31 * | 0.47 * | −0.20 | 1 | ||||||
| DOC | −0.15 | −0.43 ** | −0.20 | 0.03 | 1 | |||||
| DON | 0.16 | 0.37 ** | 0.42 ** | −0.27 * | −0.12 | 1 | ||||
| NO3−-N | 0.17 | 0.24 | 0.22 | −0.12 | −0.24 | 0.21 | 1 | |||
| NH4+-N | 0.01 | 0.07 | 0.00 | 0.03 | −0.06 | −0.00 | 0.40 ** | 1 | ||
| DOC/DON | −0.25 | −0.49 ** | −0.31 * | 0.15 | 0.90 ** | −0.39 ** | −0.05 | 0.10 | 1 | |
| HCO3− | 0.28 * | 0.77 ** | 0.63 ** | 0.02 | −0.35 ** | 0.68 ** | 0.32 * | 0.06 | −0.47 ** | 1 |
| Dissolved Load | Upper Mun | Middle Mun | Lower Mun | |||
|---|---|---|---|---|---|---|
| Range | Mean Value | Range | Mean Value | Range | Mean Value | |
| mg/L | mg/L | mg/L | ||||
| DOC | 1.71–15.84 | 5.10 | 4.10–35.77 | 10.46 | 3.47–40.08 | 17.41 |
| DON | 0.22–1.37 | 0.67 | 0.25–0.72 | 0.41 | 0.20–0.54 | 0.34 |
| NO3-N | 0.02–1.07 | 0.26 | 0.01–0.57 | 0.13 | 0.02–0.16 | 0.06 |
| NH4-N | 0.11–0.29 | 0.16 | 0.11–0.23 | 0.16 | 0.10–0.17 | 0.13 |
© 2019 by the authors. Licensee MDPI, Basel, Switzerland. This article is an open access article distributed under the terms and conditions of the Creative Commons Attribution (CC BY) license (http://creativecommons.org/licenses/by/4.0/).
Share and Cite
Liu, J.; Han, G.; Liu, X.; Liu, M.; Song, C.; Zhang, Q.; Yang, K.; Li, X. Impacts of Anthropogenic Changes on the Mun River Water: Insight from Spatio-Distributions and Relationship of C and N Species in Northeast Thailand. Int. J. Environ. Res. Public Health 2019, 16, 659. https://doi.org/10.3390/ijerph16040659
Liu J, Han G, Liu X, Liu M, Song C, Zhang Q, Yang K, Li X. Impacts of Anthropogenic Changes on the Mun River Water: Insight from Spatio-Distributions and Relationship of C and N Species in Northeast Thailand. International Journal of Environmental Research and Public Health. 2019; 16(4):659. https://doi.org/10.3390/ijerph16040659
Chicago/Turabian StyleLiu, Jinke, Guilin Han, Xiaolong Liu, Man Liu, Chao Song, Qian Zhang, Kunhua Yang, and Xiaoqiang Li. 2019. "Impacts of Anthropogenic Changes on the Mun River Water: Insight from Spatio-Distributions and Relationship of C and N Species in Northeast Thailand" International Journal of Environmental Research and Public Health 16, no. 4: 659. https://doi.org/10.3390/ijerph16040659
APA StyleLiu, J., Han, G., Liu, X., Liu, M., Song, C., Zhang, Q., Yang, K., & Li, X. (2019). Impacts of Anthropogenic Changes on the Mun River Water: Insight from Spatio-Distributions and Relationship of C and N Species in Northeast Thailand. International Journal of Environmental Research and Public Health, 16(4), 659. https://doi.org/10.3390/ijerph16040659

