Numerical Simulation of Flow and Temperature Fields in a Deep Stratified Reservoir Using Water-Separating Curtain
Abstract
:1. Introduction
2. Mathematical Model and Verification
2.1. Governing Equations
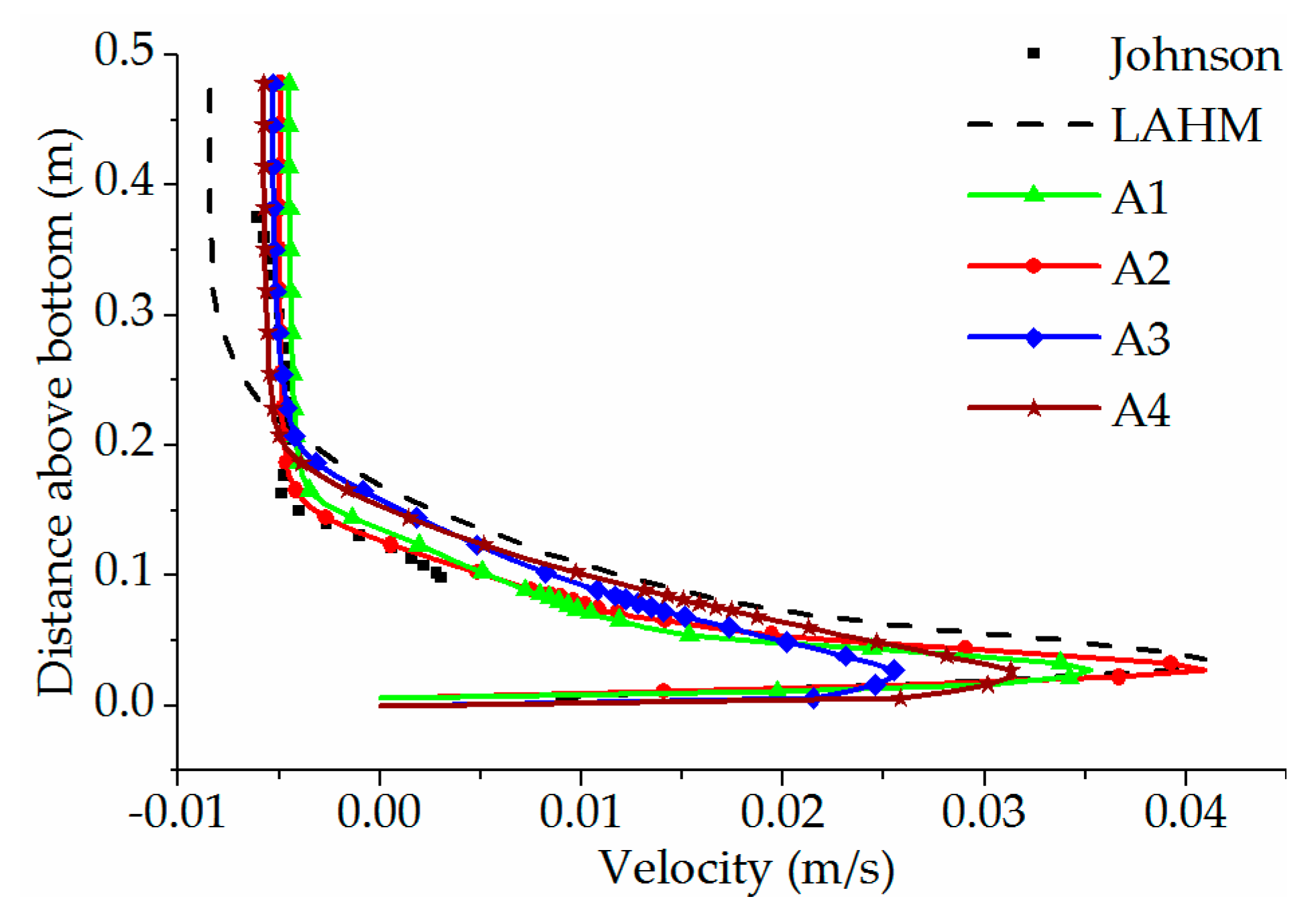
2.2. Model Validation
3. Case Study
3.1. Computational Layout
3.2. Numerical Simulation
3.3. Results and Discussion
3.3.1. Flow Field and Temperature Field
3.3.2. Temperature Difference
3.3.3. Pressure Difference
3.3.4. Discharged Water Temperature
4. Conclusions
- The laminar flow model and standard k-ε turbulence model including the Boussinesq approximation and the density–temperature function have been verified by the experiment of Johnson (1980). It is found that the density–temperature function has better accuracy, and the simulation results by laminar flow model combined with the density–temperature function are the most accurate because the flow pattern in the experiments is laminar flow. However, using the density–temperature function equation needs more computing resources and longer computing time.
- The standard k-ε double equation model is applied to the water temperature simulation of the actual reservoir, and the influence of different layouts of WSC on the flow field and temperature field is analyzed. The study shows that setting WSC in the thermally stratified reservoir can effectively increase the discharged water temperature of the power station.
- Moreover, the different arrangements of water-separating curtain has obvious effects on the discharged water temperature. For example, the increased temperature by adding a WSC with full sealing is 1 °C higher than that by using the WSC with a bottom opening height of 2 m. However, the maximum pressure difference acting on the WSC for the former WSC is 100 Pa higher than that for the latter WSC. When the layout of the WSC is used, both of the temperature rise and the force acting on the WSC need to be considered together.
- Different equations of state have little effect on the simulation results. Considering the influence of calculation efficiency, Boussinesq approximation can be recommended to study the water temperature distribution of large reservoirs.
Author Contributions
Funding
Conflicts of Interest
References
- Caissie, D. The thermal regime of rivers: A review. Freshw. Biol. 2006, 51, 1389–1406. [Google Scholar] [CrossRef]
- Alcântara, E.H.; Stech, J.L.; Lorenzzetti, J.A.; Bonnet, M.P.; Casamitjana, X.; Assireu, A.T.; Novo, E.M.L.d.M. Remote sensing of water surface temperature and heat flux over a tropical hydroelectric reservoir. Remote Sens. Environ. 2010, 114, 2651–2665. [Google Scholar] [CrossRef]
- Wang, Q.; Zhao, X.; Ding, F.; Zhao, Y.; Xing, K. Technology Review System of Water-Temperature Prediction for Reservoir Construction Project. Procedia Environ. Sci. 2010, 2, 1979–1982. [Google Scholar]
- Asaeda, T.; Priyantha, D.G.N.; Saitoh, S.; Gotoh, K. A new technique for controlling algal blooms in the withdrawal zone of reservoirs using vertical curtains. Ecol. Eng. 1996, 7, 95–104. [Google Scholar] [CrossRef]
- Lian, J.; Du, H.; Ma, C. Effects of temperature control curtain on water releases in deep water reservoirs. J. Hydraul. Eng. 2016, 47, 942–948. [Google Scholar]
- Politano, M.; Haque, M.M.; Weber, L.J. A numerical study of the temperature dynamics at McNary Dam. Ecol. Model. 2008, 212, 408–421. [Google Scholar] [CrossRef]
- Orlob, G.T.; Selna, L.G. Temperature variations in deep reservoirs. J. Hydr. Div. 1970, 96, 391–410. [Google Scholar]
- Harleman, D.R.F. Hydrothermal analysis of lakes and reservoirs. J. Hydr. Div. 1982, 108, 301–325. [Google Scholar]
- Huber, W.C.; Harleman, D.R.F.; Ryan, P.J. Temperature prediction in stratified reservoirs. J. Hydr. Div. 1972, 98, 645–666. [Google Scholar]
- Cole, T.; Buchak, E.M. CE-QUAL-W2: A Two-Dimensional, Laterally Averaged, Hydrodynamic and Water Quality Model, Version 2.0. User Manual; (No. WES/IR/EL-95-1); Army Engineer Waterways Experiment Station Vicksburg MS Environmental Lab: Vicksburg, MS, USA, 1995. [Google Scholar]
- Bartholow, J.; Hanna, R.B.; Saito, L.; Lieberman, D.; Horn, M. Simulated limnological effects of the Shasta Lake temperature control device. Environ. Manag. 2001, 27, 609–626. [Google Scholar] [CrossRef] [PubMed]
- Lindim, C.; Hayter, E.J.; Pinho, J.L.S.; Vieira, J.M.P. Modeling thermal structure variations in a stratified reservoir. In Proceedings of the International Congress on Environmental Modelling and Software Modelling, Ottawa, ON, Canada, 5–8 July 2010. [Google Scholar]
- Zhang, S.; Gao, X. Effects of Selective Withdrawal on Temperature of Water Released of Glen Canyon Dam. In Proceedings of the International Conference on Bioinformatics & Biomedical Engineering, Chengdu, China, 18–20 June 2010. [Google Scholar]
- Wang, S.; Qian, X.; Han, B.P.; Luo, L.C.; Hamilton, D.P. Effects of local climate and hydrological conditions on the thermal regime of a reservoir at Tropic of Cancer, in southern China. Water Res. 2012, 46, 2591–2604. [Google Scholar] [CrossRef] [PubMed]
- Tang, X.; Cheng, Y. Multidimensional prediction of reservoir water temperature based on FLUENT. Eng. J. Wuhan Univ. 2010, 43, 59–63. [Google Scholar]
- Johnson, B.H. A review of multidimensional reservoir hydrodynamic modeling. In Processing of the Symptom on Surface Water Impoundments; ASCE: Reston, VI, USA, 1980; Volume 1, pp. 497–507. [Google Scholar]
- He, W.; Lian, J.; Du, H.; Ma, C. Source tracking and temperature prediction of discharged water in a deep reservoir based on a 3-D hydro-thermal-tracer model. J. Hydro-Environ. Res. 2018, 20, 9–21. [Google Scholar] [CrossRef]
- He, W.; Lian, J.; Ma, C.; Wu, M.; Liu, F. Analysis of the Thrust Force on the Temperature-Control Curtain in a Large Stratified Reservoir. J. Hydraul. Eng. 2017, 143, 04017049. [Google Scholar] [CrossRef]
- He, W.; Lian, J.; Yao, Y.; Wu, M.; Ma, C. Modeling the effect of temperature-control curtain on the thermal structure in a deep stratified reservoir. J. Environ. Manag. 2017, 202, 106–116. [Google Scholar] [CrossRef] [PubMed]
- Pope, S. Turbulent Flows; Cambridge University Press: Cambridge, UK, 2000. [Google Scholar]
- Jones, W.P.; Launder, B.E. The calculation of low-Reynolds-number phenomena with a two-equation model of turbulence. Int. J. Heat Mass Tran. 1973, 16, 1119–1130. [Google Scholar] [CrossRef]
- Iaccarino, G.; Mishra, A.A.; Ghili, S. Eigenspace perturbations for uncertainty estimation of single-point turbulence closures. Phys. Rev. Fluids 2017, 2, 024605. [Google Scholar] [CrossRef]
- Karpik, S.R.; Raithby, G.D. Laterally Averaged Hydrodynamics Model for Reservoir Predictions. J. Hydraul. Eng. 1990, 116, 783–798. [Google Scholar] [CrossRef]
- Johnson, B.H. A Review of Numerical Reservoir Hydrodynamic Modeling; Army Engineers Waterways Experiment Station: Vicksburg, MI, USA, 1981. [Google Scholar]
















| Cases | Calculation Model | Equation of State |
|---|---|---|
| A1 | Laminar | Boussinesq approximation |
| A2 | Laminar | Density-temperature function |
| A3 | Standard k-ε | Boussinesq approximation |
| A4 | Standard k-ε | Density-temperature function |
| Cases | Top Opening Height (m) | Bottom Opening Height (m) | Equation of State |
|---|---|---|---|
| B1 | 20 | 0 | Density-temperature function |
| B2 | 2 | Density-temperature function | |
| B3 | 0 | Boussinesq approximation | |
| B4 | 2 | Boussinesq approximation |
| Cases | Discharged Water Temperature/°C | Effect of Increasing DWT/°C |
|---|---|---|
| No WSC | 17.78 | / |
| B1 | 21.85 | 4.07 |
| B2 | 21.09 | 3.31 |
| B3 | 21.97 | 4.19 |
| B4 | 21.29 | 3.51 |
© 2019 by the authors. Licensee MDPI, Basel, Switzerland. This article is an open access article distributed under the terms and conditions of the Creative Commons Attribution (CC BY) license (http://creativecommons.org/licenses/by/4.0/).
Share and Cite
Zhang, L.; Zhang, J.; Peng, Y.; Pan, J.; Peng, Z. Numerical Simulation of Flow and Temperature Fields in a Deep Stratified Reservoir Using Water-Separating Curtain. Int. J. Environ. Res. Public Health 2019, 16, 5143. https://doi.org/10.3390/ijerph16245143
Zhang L, Zhang J, Peng Y, Pan J, Peng Z. Numerical Simulation of Flow and Temperature Fields in a Deep Stratified Reservoir Using Water-Separating Curtain. International Journal of Environmental Research and Public Health. 2019; 16(24):5143. https://doi.org/10.3390/ijerph16245143
Chicago/Turabian StyleZhang, Lifang, Jianmin Zhang, Yong Peng, Jiangyang Pan, and Zhongxian Peng. 2019. "Numerical Simulation of Flow and Temperature Fields in a Deep Stratified Reservoir Using Water-Separating Curtain" International Journal of Environmental Research and Public Health 16, no. 24: 5143. https://doi.org/10.3390/ijerph16245143
APA StyleZhang, L., Zhang, J., Peng, Y., Pan, J., & Peng, Z. (2019). Numerical Simulation of Flow and Temperature Fields in a Deep Stratified Reservoir Using Water-Separating Curtain. International Journal of Environmental Research and Public Health, 16(24), 5143. https://doi.org/10.3390/ijerph16245143

