Evaluation and Selection of HazMat Transportation Alternatives: A PHFLTS- and TOPSIS-Integrated Multi-Perspective Approach
Abstract
1. Introduction
2. Preliminaries
2.1. Fuzzy Linguistic Approach
- (1)
- An ordered structure approach: In this approach, the LTS is defined based on an ordered structure that provides the term set that is distributed on a total ordered scale. Generally, the number of elements, also known as cardinality, of a LTS is an odd number, the central linguistic term represents a meaning of “indifference”, and all other linguistic terms are distributed symmetrically around the central linguistic term. Let be a LTS whose granularity is an odd number. Then, the following properties need to be satisfied:
- (a)
- (Orderliness) , if ;
- (b)
- (Maximization operator) , if ;
- (c)
- (Minimization operator) , if ; and
- (d)
- (Negation operator) , where .
- (2)
- A context-free grammar approach: In this approach, the LTS is defined based on a context-free grammar, which uses words or sentences in a natural or artificial language to express the linguistic terms. The context-free grammar could be represented by a quaternary , where represents the set of nonterminal symbols, represents the set of terminals’ symbols, I represents the starting symbol, and P represents the production rules. Further, for dealing with hesitant situations in group decision-making (GDM), Rodríguez et al. [30] proposed an extended context-free grammar to generate comparative linguistic expressions. The definition is as follows.
2.2. Hesitant Fuzzy Linguistic Term Sets
- (i)
- for arbitrary ;
- (ii)
- ;
- (iii)
- ;
- (iv)
- ;
- (v)
- ;
- (vi)
- .
- (1)
- ; and
- (2)
- .
2.3. Proportional Hesitant Fuzzy Linguistic Term Set
- (1)
- (2)
- (3)
- (4)
3. Novel Comparison Laws, Distance and Entropy Measures for PHFLTS
- (1)
- ;
- (2)
- ; and
- (3)
- where , , and .
- (1)
- If , then ;
- (2)
- If , then
- (a)
- If , then ;
- (b)
- If , then
- (i)
- ;
- (ii)
- , where represents the variance of .
- (a)
- ;
- (b)
- , if and only if ; and
- (c)
- .
- (a)
- ;
- (b)
- , if and only if ; and
- (c)
- .
- (1)
- ;
- (2)
- ; and
- (3)
- .
- (1)
- ,
- (2)
- .
4. Integrated PHFL-TOPSIS Model for HazMat Transportation Alternative Evaluation
4.1. Identification of the Risk Evaluation Criteria
4.2. Determination of the Comprehensive Weight Information of Experts and Criteria
| Algorithm 1: Determine the comprehensive weights of experts and criteria. |
| Inputs:S, , , Outputs:, Step 1. Define the LTS with corresponding semantics, Step 2. Evaluate the alternative using extended context-free grammar. Step 3. Convert the linguistic expressions into HFLTS to establish individual evaluation matrix Step 4. Determine the comprehensive weight of experts, Step 4.1. Determine the subjective weight of experts by managers Step 4.2. Determine the objective weight of experts Step 4.2.1. Calculate the distance of alternative , denoted as , between experts and , Step 4.2.2. Calculate the similarity of alternative , denoted as , between experts and , Step 4.2.3. Construct a consistency degree matrix of alternative among experts Step 4.2.4. Calculate the averaging consistency degree of expert corresponding to alternative , Step 4.2.5. Calculate the relative consistency degree of expert to others corresponding to alternative , Step 4.2.6. Calculate the sum of relative consistency degree of all alternatives to expert , Step 4.2.7. Calculate the objective weight of each expert by normalizing the , Step 4.3. Calculate the comprehensive weight of experts, that is, Step 5. Generate the PHFL group evaluation matrix based on the obtained weight of experts Step 6. Determine the comprehensive weight of criteria, Step 6.1. Derive the subjective weight of criteria using best to worst method (BWM), Step 6.2. Derive the objective weight of criteria, Step 6.2.1. Calculate the entropy of criterion under different alternatives, Step 6.2.2. Calculate the objective weight of criterion based on the obtained entropy information, Step 6.3. Calculate the comprehensive weight of criteria, that is, End |
4.3. Rank the Alternative Based on Extended PHFL-TOPSIS Method
5. Case Study and Comparison Analysis
5.1. An Illustrative Example
- Practitioners ()Practitioners are the direct risk factors that related to the HazMat transportation accidents. Three risk indicators related to practitioners are identified.(1) Physical quality (). This risk indicator mainly includes the age and body quality of the practitioners.(2) Psychological conditions (). This risk indicator relates to the safety awareness, emotional adjustment ability and compression ability under high-risky working environment.(3) Operational skills (). The indicator means the professional skills of the practitioners when operating the equipment and HazMat.
- Management ()Management is an indirect risk factors that could affect the HazMat transportation accidents. Three indicators belong to Management criteria.(1) Equipment supervision (). This indicator relates to the procurement, audit, and maintenance of transportation and operation equipment.(2) Operation process (). This indicator relates to the regulatory operation methods, operation sequence of the related equipment and HazMat.(3) Emergency management (). It includes the development and perfection of emergency plan before accidents as well as the response and execution of emergency plan when accidents happen.
- Environment ()Environment is also an indirect risk factors to transportation accidents. Three risk indicators are included in it.(1) Weather conditions (). Weather conditions may influence the characteristics of HazMat, equipment and practitioners, therefore extremely bad weather such as heavy rain, snow, and fog should be avoided when transporting the HazMat.(2) Humanistic environment (). The social conditions, such as population density, social order, and customs have close relationship with the probability and severity degree of transportation accidents.(3) Traffic conditions (). The terrain, geology and unobstructed degree along the transportation road also have impact on the transportation accidents.
- Equipment ()Equipment is the supporter of HazMat transportation and is directly related to the transportation risk. Four risk indicators are identified in this criterion.(1) Transportation equipment (). This usually means transportation vehicles equipped with special containers and it is the most related indicator to transportation accidents.(2) Upload/download equipment (). Specialized forklift and crane should be equipped to operate the HazMat before and after the transportation.(3) Storage equipment (). The HazMat might not be able to be directly transported to the destination; it may need some storage equipment and places during the temporary transfer.(4) Prevention equipment (). Isolation equipment, emergency handling device, and alternative equipment are needed to protect the practitioners and to prevent accidents from expanding.
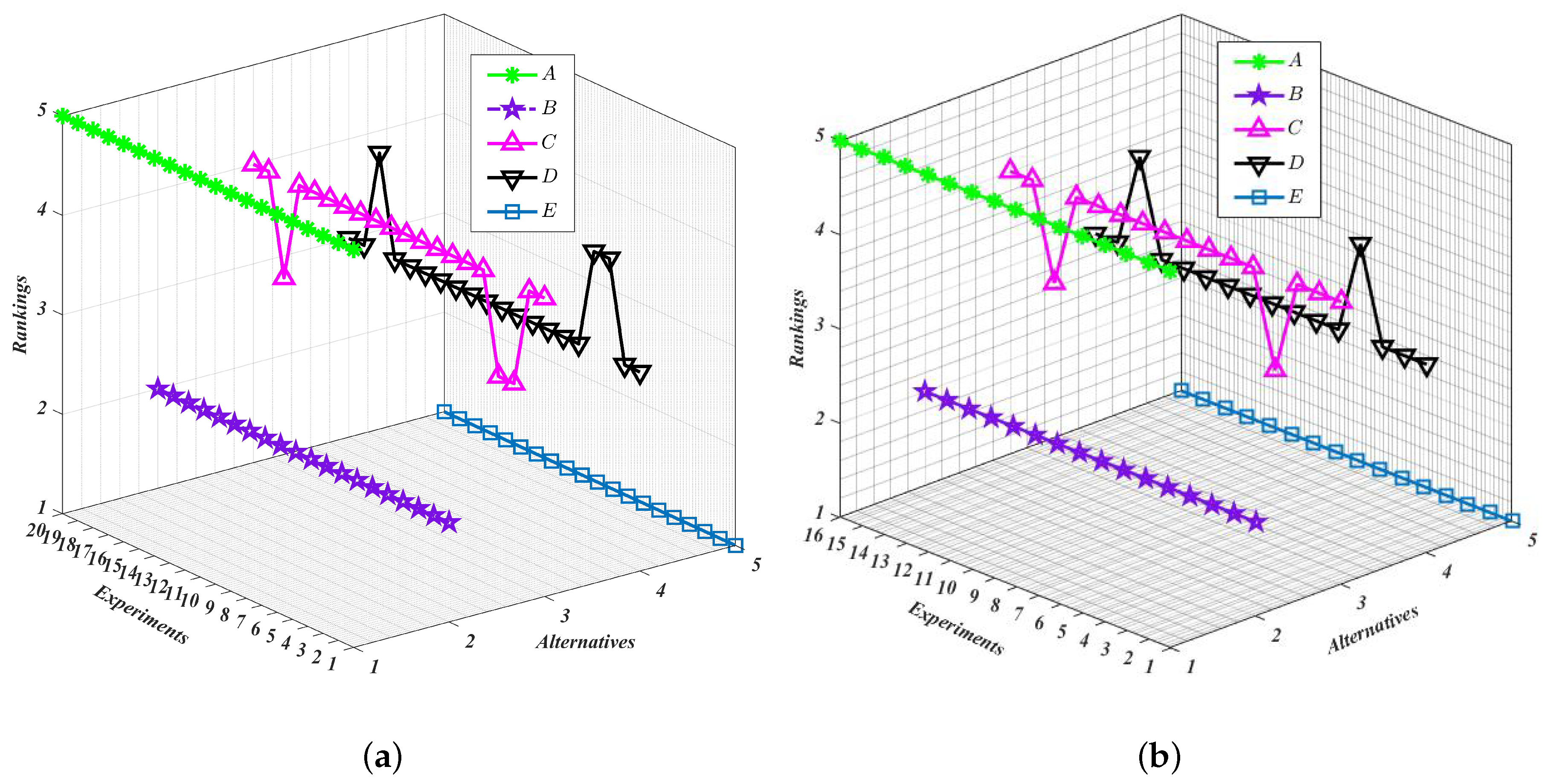
5.2. Weight Variation and Effect Analysis
5.3. Comparison Analysis
6. Conclusions
- (1)
- This paper proposes several novel computational manipulations including the comparison laws, distance measure, similarity measure, and entropy measure for PHFLTS, which not only enrich the theory of PHFLTS but also enhance the applicability and effectiveness of PHFLTS.
- (2)
- Two comprehensive weight assignment models are proposed in a bid to determine the comprehensive weights of experts and criteria in MCGDM contexts. Specifically, the objective weights of experts are determined on the basis of the similarity measure for PHFLTS; the objective weights of criteria are determined in the use of the entropy measure for PHFLTS. The obtained objective weights are then integrated with their subjective counterparts to derive comprehensive weights of experts and criteria. Taking the objective and subjective weights into consideration simultaneously could enhance the reasonability of decision-making effectively.
- (3)
- The PHFL-TOPSIS method was developed on the basis of the defined distance measure for PHFLTS and the traditional TOPSIS method. The extended PHFL-TOPSIS method can deal with the situation in which the evaluation information is represented by PHFLTS, in which way it improved the applicability and accuracy of traditional TOPSIS method.
- (4)
- A systematic framework has been proposed to address the problem of evaluating and selecting the HazMat transportation alternatives. During the decision-making process, the criteria used to evaluate the alternatives are firstly excavated, and their corresponding weights are then determined. The relative weight information provides an effective reference to control the risk during the HazMat transportation process. Eventually, a ranking of alternatives and the desirable alternative are determined. It provides the scientific decision and practical support for manager to decide the potential cooperator.
Author Contributions
Acknowledgments
Conflicts of Interest
Appendix A
Appendix B
References
- Sun, Y.; Lang, M.; Wang, D. Bi-objective modelling for hazardous materials road–rail multimodal routing problem with railway schedule-based space–time constraints. Int. J. Environ. Res. Public Health 2016, 13, 762. [Google Scholar] [CrossRef] [PubMed]
- Johnson, M.P. Environmental impacts of urban sprawl: A survey of the literature and proposed research agenda. Environ. Plan. A 2001, 33, 717–735. [Google Scholar] [CrossRef]
- Chen, Z.S.; Martínez, L.; Chang, J.P.; Wang, X.J.; Xionge, S.H.; Chin, K.S. Sustainable building material selection: A QFD-and ELECTRE III-embedded hybrid MCGDM approach with consensus building. Eng. Appl. Artif. Intell. 2019, 85, 783–807. [Google Scholar] [CrossRef]
- Qin, J.; Liu, X.; Pedrycz, W. An extended TODIM multi-criteria group decision making method for green supplier selection in interval type-2 fuzzy environment. Eur. J. Op. Res. 2017, 258, 626–638. [Google Scholar] [CrossRef]
- Naganathan, H.; Chong, W.K. Evaluation of state sustainable transportation performances (SSTP) using sustainable indicators. Sustain. Cities Soc. 2017, 35, 799–815. [Google Scholar] [CrossRef]
- Erkut, E.; Verter, V. A framework for hazardous materials transport risk assessment. Risk Anal. 1995, 15, 589–601. [Google Scholar] [CrossRef]
- Bonvicini, S.; Leonelli, P.; Spadoni, G. Risk analysis of hazardous materials transportation: Evaluating uncertainty by means of fuzzy logic. J. Hazard. Mater. 1998, 62, 59–74. [Google Scholar] [CrossRef]
- Fabiano, B.; Currò, F.; Reverberi, A.P.; Pastorino, R. Dangerous good transportation by road: From risk analysis to emergency planning. J. Loss Prev. Process Ind. 2005, 18, 403–413. [Google Scholar] [CrossRef]
- Clark, R.M.; Besterfield-Sacre, M.E. A new approach to hazardous materials transportation risk analysis: Decision modeling to identify critical variables. Risk Anal. 2009, 29, 344–354. [Google Scholar] [CrossRef]
- Qiao, Y.; Keren, N.; Mannan, M.S. Utilization of accident databases and fuzzy sets to estimate frequency of HazMat transport accidents. J. Hazard. Mater. 2009, 167, 374–382. [Google Scholar] [CrossRef]
- Liu, X.; Saat, M.R.; Barkan, C.P. Integrated risk reduction framework to improve railway hazardous materials transportation safety. J. Hazard. Mater. 2013, 260, 131–140. [Google Scholar] [CrossRef] [PubMed]
- Bodar, C.; Spijker, J.; Lijzen, J.; Waaijers-van der Loop, S.; Luit, R.; Heugens, E.; Janssen, M.; Wassenaar, P.; Traas, T. Risk management of hazardous substances in a circular economy. J. Environ. Manag. 2018, 212, 108–114. [Google Scholar] [CrossRef] [PubMed]
- Yoo, B.; Choi, S.D. Emergency evacuation plan for hazardous chemicals leakage accidents using GIS-based risk analysis techniques in South Korea. Int. J. Environ. Res. Public Health 2019, 16, 1948. [Google Scholar] [CrossRef] [PubMed]
- Wey, W.M. Constructing urban dynamic transportation planning strategies for improving quality of life and urban sustainability under emerging growth management principles. Sustain. Cities Soc. 2019, 44, 275–290. [Google Scholar] [CrossRef]
- Mihyeon Jeon, C.; Amekudzi, A. Addressing sustainability in transportation systems: Definitions, indicators, and metrics. J. Infrastruct. Syst. 2005, 11, 31–50. [Google Scholar] [CrossRef]
- Garg, H.; Kumar, K. A novel exponential distance and its based TOPSIS method for interval-valued intuitionistic fuzzy sets using connection number of SPA theory. Artif. Intell. Rev. 2018, 1–30. [Google Scholar] [CrossRef]
- Garg, H.; Kaur, G. Extended TOPSIS method for multi-criteria group decision-making problems under cubic intuitionistic fuzzy environment. Sci. Iran. 2018. [Google Scholar] [CrossRef]
- Ju, Y.; Wang, A.; You, T. Emergency alternative evaluation and selection based on ANP, DEMATEL, and TL-TOPSIS. Nat. Hazards 2015, 75, 347–379. [Google Scholar] [CrossRef]
- Mohagheghi, V.; Mousavi, S.M.; Aghamohagheghi, M.; Vahdani, B. A new approach of multi-criteria analysis for the evaluation and selection of sustainable transport investment projects under uncertainty: A case study. Int. J. Comput. Intell. Syst. 2017, 10, 605–626. [Google Scholar] [CrossRef]
- Bandeira, R.A.; D’Agosto, M.A.; Ribeiro, S.K.; Bandeira, A.P.; Goes, G.V. A fuzzy multi-criteria model for evaluating sustainable urban freight transportation operations. J. Clean. Prod. 2018, 184, 727–739. [Google Scholar] [CrossRef]
- Büyüközkan, G.; Feyzioğlu, O.; Göçer, F. Selection of sustainable urban transportation alternatives using an integrated intuitionistic fuzzy Choquet integral approach. Transp. Res. Part D Transp. Environ. 2018, 58, 186–207. [Google Scholar] [CrossRef]
- Chen, L.; Yu, H. Emergency Alternative Selection Based on an E-IFWA Approach. IEEE Access 2019, 7, 44431–44440. [Google Scholar] [CrossRef]
- Xiong, S.H.; Chen, Z.S.; Chin, K.S. A novel MAGDM approach with proportional hesitant fuzzy sets. Int. J. Comput. Intell. Syst. 2018, 11, 256–271. [Google Scholar] [CrossRef]
- Yang, Q.; Li, Y.L.; Chin, K.S. Constructing novel operational laws and information measures for proportional hesitant fuzzy linguistic term sets with extensions to PHFL-VIKOR for group decision making. Int. J. Comput. Intell. Syst. 2019, 12, 998–1018. [Google Scholar] [CrossRef]
- Chen, Z.S.; Zhang, X.; Rodríguez, R.M.; Wang, X.J.; Chin, K.S. Heterogeneous Interrelationships among Attributes in Multi-Attribute Decision-Making: An Empirical Analysis. Int. J. Comput. Intell. Syst. 2019, 12, 984–997. [Google Scholar]
- Hwang, C.L.; Yoon, K. Methods for multiple attribute decision making. In Multiple Attribute Decision Making; Springer: Berlin, Germany, 1981; pp. 58–191. [Google Scholar]
- Zadeh, L. The Concept of a Linguistic Variable and Its Application to Approximate Reasoning Learning Systems and Intelligent Robots; Fu, K.S., Tow, J.T., Eds.; Plenum Press: New York, NY, USA, 1974. [Google Scholar]
- Torra, V. Hesitant fuzzy sets. Int. J. Intell. Syst. 2010, 25, 529–539. [Google Scholar] [CrossRef]
- Zadeh, L.A. The concept of a linguistic variable and its application to approximate reasoning-I. Inf. Sci. 1975, 8, 199–249. [Google Scholar] [CrossRef]
- Rodríguez, R.M.; Martínez, L.; Herrera, F. Hesitant fuzzy linguistic term sets for decision making. IEEE Trans. Fuzzy Syst. 2011, 20, 109–119. [Google Scholar] [CrossRef]
- Bordogna, G.; Pasi, G. A fuzzy linguistic approach generalizing boolean information retrieval: A model and its evaluation. J. Am. Soc. Inf. Sci. 1993, 44, 70–82. [Google Scholar] [CrossRef]
- Deepak, D.; Mathew, B.; John, S.J.; Garg, H. A topological structure involving hesitant fuzzy sets. J. Intell. Fuzzy Syst. 2019, 36, 6401–6412. [Google Scholar] [CrossRef]
- Wang, L.; Rodríguez, R.M.; Wang, Y.M. A dynamic multi-attribute group emergency decision making method considering experts’ hesitation. Int. J. Comput. Intell. Syst. 2018, 11, 163–182. [Google Scholar] [CrossRef]
- Wang, R.; Shuai, B.; Chen, Z.S.; Chin, K.S.; Zhu, J.H. Revisiting the Role of Hesitant Multiplicative Preference Relations in Group Decision Making With Novel Consistency Improving and Consensus Reaching Processes. Int. J. Comput. Intell. Syst. 2019, 12, 1029–1046. [Google Scholar]
- Rodríguez, R.M.; Martınez, L.; Herrera, F. A group decision making model dealing with comparative linguistic expressions based on hesitant fuzzy linguistic term sets. Inf. Sci. 2013, 241, 28–42. [Google Scholar] [CrossRef]
- Chen, Z.S.; Chin, K.S.; Martínez, L.; Tsui, K.L. Customizing semantics for individuals with attitudinal HFLTS possibility distributions. IEEE Trans. Fuzzy Syst. 2018, 26, 3452–3466. [Google Scholar] [CrossRef]
- Chen, Z.S.; Martínez, L.; Chin, K.S.; Tsui, K.L. Two-stage aggregation paradigm for HFLTS possibility distributions: A hierarchical clustering perspective. Expert Syst. Appl. 2018, 104, 43–66. [Google Scholar] [CrossRef]
- Wang, Y.M.; Yang, J.B.; Xu, D.L. A preference aggregation method through the estimation of utility intervals. Comput. Oper. Res. 2005, 32, 2027–2049. [Google Scholar] [CrossRef]
- Wei, C.; Rodríguez, R.M.; Li, P. Note on entropies of hesitant fuzzy linguistic term sets and their applications. Inf. Sci. 2019. [Google Scholar] [CrossRef]
- Chen, Z.S.; Chin, K.S.; Li, Y.L.; Yang, Y. Proportional hesitant fuzzy linguistic term set for multiple criteria group decision making. Inf. Sci. 2016, 357, 61–87. [Google Scholar] [CrossRef]
- Wu, Y.; Dong, Y.; Qin, J.; Pedrycz, W. Flexible linguistic expressions and consensus reaching with accurate constraints in group decision-making. IEEE Trans. Cybern. 2019. [Google Scholar] [CrossRef]
- Huang, J.; You, X.Y.; Liu, H.C.; Si, S.L. New approach for quality function deployment based on proportional hesitant fuzzy linguistic term sets and prospect theory. Int. J. Prod. Res. 2019, 57, 1283–1299. [Google Scholar] [CrossRef]
- Liang, Y.; Tu, Y.; Ju, Y.; Shen, W. A multi-granularity proportional hesitant fuzzy linguistic TODIM method and its application to emergency decision making. Int. J. Disaster Risk Reduct. 2019, 36, 101081. [Google Scholar] [CrossRef]
- Chen, Z.S.; Yang, Y.; Wang, X.J.; Chin, K.S.; Tsui, K.L. Fostering linguistic decision-making under uncertainty: A proportional interval type-2 hesitant fuzzy TOPSIS approach based on Hamacher aggregation operators and andness optimization models. Inf. Sci. 2019, 500, 229–258. [Google Scholar] [CrossRef]
- Gou, X.; Xu, Z.; Liao, H. Multiple criteria decision making based on Bonferroni means with hesitant fuzzy linguistic information. Soft Comput. 2017, 21, 6515–6529. [Google Scholar] [CrossRef]
- Liu, H.; Jiang, L.; Xu, Z. Entropy measures of probabilistic linguistic term sets. Int. J. Comput. Intell. Syst. 2018, 11, 45–57. [Google Scholar] [CrossRef]
- Tian, Z.P.; Wang, J.Q.; Zhang, H.Y. An integrated approach for failure mode and effects analysis based on fuzzy best-worst, relative entropy, and VIKOR methods. Appl. Soft Comput. 2018, 72, 636–646. [Google Scholar] [CrossRef]
- Gou, X.; Xu, Z.; Liao, H. Hesitant fuzzy linguistic entropy and cross-entropy measures and alternative queuing method for multiple criteria decision making. Inf. Sci. 2017, 388, 225–246. [Google Scholar] [CrossRef]
- Chin, K.S.; Yang, Q.; Chan, C.Y.; Tsui, K.L.; Li, Y.L. Identifying passengers’ needs in cabin interiors of high-speed rails in China using quality function deployment for improving passenger satisfaction. Transp. Res. Part A Policy Pract. 2019, 119, 326–342. [Google Scholar] [CrossRef]
- Martínez, L.; Rodríguez, R.M.; Herrera, F. The 2-Tuple Linguistic Model: Computing with Words in Decision Making; Springer: Berlin, Germany, 2015. [Google Scholar]
- Rodríguez, R.M.; Labella, Á.; Martínez, L. An overview on fuzzy modelling of complex linguistic preferences in decision making. Int. J. Comput. Intell. Syst. 2016, 9, 81–94. [Google Scholar] [CrossRef]
- Chen, Z.S.; Chin, K.S.; Mu, N.Y.; Xiong, S.H.; Chang, J.P.; Yang, Y. Generating HFLTS possibility distribution with an embedded assessing attitude. Inf. Sci. 2017, 394, 141–166. [Google Scholar] [CrossRef]
- Rezaei, J. Best-worst multi-criteria decision-making method. Omega 2015, 53, 49–57. [Google Scholar] [CrossRef]
- Tong, S.; Wang, Y.; Zheng, W.; Chen, B. System risk analysis of road transport of hazardous chemicals in China. Prog. Saf. Sci. Technol. 2006, 6, 1133–1137. [Google Scholar]
- Zhang, J.H.; Zhao, L.J. Risk analysis of dangerous chemicals transportation. Syst. Eng. Theory Pract. 2007, 27, 117–122. [Google Scholar] [CrossRef]
- Brito, A.J.; de Almeida, A.T. Multi-attribute risk assessment for risk ranking of natural gas pipelines. Reliab. Eng. Syst. Saf. 2009, 94, 187–198. [Google Scholar] [CrossRef]
- Yang, J.; Li, F.; Zhou, J.; Zhang, L.; Huang, L.; Bi, J. A survey on hazardous materials accidents during road transport in China from 2000 to 2008. J. Hazard. Mater. 2010, 184, 647–653. [Google Scholar] [CrossRef]
- Zhao, L.; Wang, X.; Qian, Y. Analysis of factors that influence hazardous material transportation accidents based on Bayesian networks: A case study in China. Saf. Sci. 2012, 50, 1049–1055. [Google Scholar] [CrossRef]
- Yang, Q.; Chin, K.S.; Li, Y.L. A quality function deployment-based framework for the risk management of hazardous material transportation process. J. Loss Prev. Process Ind. 2018, 52, 81–92. [Google Scholar] [CrossRef]
- Li, Y.L.; Yang, Q.; Chin, K.S. A decision support model for risk management of hazardous materials road transportation based on quality function deployment. Transp. Res. Part D Transp. Environ. 2019, 74, 154–173. [Google Scholar] [CrossRef]
- Ditta, A.; Figueroa, O.; Galindo, G.; Yie-Pinedo, R. A review on research in transportation of hazardous materials. Socio-Econ. Plan. Sci. 2018. [Google Scholar] [CrossRef]
- Saltelli, A.; Tarantola, S. On the relative importance of input factors in mathematical models: Safety assessment for nuclear waste disposal. J. Am. Stat. Assoc. 2002, 97, 702–709. [Google Scholar] [CrossRef]
- Ambituuni, A.; Amezaga, J.M.; Werner, D. Risk assessment of petroleum product transportation by road: A framework for regulatory improvement. Saf. Sci. 2015, 79, 324–335. [Google Scholar] [CrossRef]
- Kumar, R.; Vassilvitskii, S. Generalized distances between rankings. In Proceedings of the 19th International Conference on World Wide Web, Raleigh, NC, USA, 26–30 April 2010; pp. 571–580. [Google Scholar]
- Chen, Z.S.; Chin, K.S.; Tsui, K.L. Constructing the geometric Bonferroni mean from the generalized Bonferroni mean with several extensions to linguistic 2-tuples for decision-making. Appl. Soft Comput. 2019, 78, 595–613. [Google Scholar] [CrossRef]
- Chen, Z.S.; Yu, C.; Chin, K.S.; Martínez, L. An enhanced ordered weighted averaging operators generation algorithm with applications for multicriteria decision making. Appl. Math. Model. 2019, 71, 467–490. [Google Scholar] [CrossRef]
- Farhadinia, B. Multiple criteria decision-making methods with completely unknown weights in hesitant fuzzy linguistic term setting. Knowl.-Based Syst. 2016, 93, 135–144. [Google Scholar] [CrossRef]
- Wei, C.; Ren, Z.; Rodríguez, R.M. A hesitant fuzzy linguistic TODIM method based on a score function. Int. J. Comput. Intell. Syst. 2015, 8, 701–712. [Google Scholar] [CrossRef]
- Yaseen, Z.M.; Sulaiman, S.O.; Deo, R.C.; Chau, K.W. An enhanced extreme learning machine model for river flow forecasting: State-of-the-art, practical applications in water resource engineering area and future research direction. J. Hydrol. 2018, 569, 387–408. [Google Scholar] [CrossRef]
- Nabavi-Pelesaraei, A.; Bayat, R.; Hosseinzadeh-Bandbafha, H.; Afrasyabi, H.; Chau, K.W. Modeling of energy consumption and environmental life cycle assessment for incineration and landfill systems of municipal solid waste management-A case study in Tehran Metropolis of Iran. J. Clean. Prod. 2017, 148, 427–440. [Google Scholar] [CrossRef]
- Najafi, B.; Faizollahzadeh Ardabili, S.; Shamshirband, S.; Chau, K.W.; Rabczuk, T. Application of ANNs, ANFIS and RSM to estimating and optimizing the parameters that affect the yield and cost of biodiesel production. Eng. Appl. Comput. Fluid Mech. 2018, 12, 611–624. [Google Scholar] [CrossRef]
- Hosseinzadeh-Bandbafha, H.; Nabavi-Pelesaraei, A.; Khanali, M.; Ghahderijani, M.; Chau, K.W. Application of data envelopment analysis approach for optimization of energy use and reduction of greenhouse gas emission in peanut production of Iran. J. Clean. Prod. 2018, 172, 1327–1335. [Google Scholar] [CrossRef]
- Fotovatikhah, F.; Herrera, M.; Shamshirband, S.; Chau, K.W.; Faizollahzadeh Ardabili, S.; Piran, M.J. Survey of computational intelligence as basis to big flood management: Challenges, research directions and future work. Eng. Appl. Comput. Fluid Mech. 2018, 12, 411–437. [Google Scholar] [CrossRef]
- Garg, H.; Kaur, G. Algorithm for probabilistic dual hesitant fuzzy multi-criteria decision-making based on aggregation operators with new distance measures. Mathematics 2018, 6, 280. [Google Scholar] [CrossRef]
- Xu, Y.; Li, C.; Wen, X. Missing values estimation and consensus building for incomplete hesitant fuzzy preference relations with multiplicative consistency. Int. J. Comput. Intell. Syst. 2018, 11, 101–119. [Google Scholar] [CrossRef]
- Dong, Y.; Chen, X.; Herrera, F. Minimizing adjusted simple terms in the consensus reaching process with hesitant linguistic assessments in group decision making. Inf. Sci. 2015, 297, 95–117. [Google Scholar] [CrossRef]
- Labella, Á.; Liu, H.; Rodríguez, R.M.; Martínez, L. A cost consensus metric for consensus reaching processes based on a comprehensive minimum cost model. Eur. J. Oper. Res. 2019. [Google Scholar] [CrossRef]




| Between M and H | At least M | M | Between M and H | ||
| Greater than H | MH | Greater than M | At most M | ||
| Lower than M | VH | Between L and M | VH | ||
| At least H | At least M | Between MH and VH | At most ML | ||
| Between L and M | MH | At least M | Between L and ML | ||
| Greater than MH | Between H and VH | Between L and MH | At least H | ||
| At least MH | Lower than MH | M | Lower than M | ||
| Between L and ML | At least H | At most M | Between H and VH | ||
| Between H and VH | M | At least H | Between L and M | ||
| M | Between MH and H | M | VL | ||
| At least MH | At least H | Between M and MH | Greater than M | ||
| Between MH and VH | MH | MH | At most M | ||
| ML | VH | L | At least M | ||
| Between MH and H | At least MH | At least H | Between M and MH | ||
| Lower than ML | At least MH | Between H and VH | L | ||
| H | Greater than H | M | H | ||
| At least H | Between M and H | Between M and MH | L | ||
| Between L and M | H | Between L and M | Greater than MH | ||
| Greater than MH | H | VH | Between L and M | ||
| Between ML and M | MH | H | Lower than ML | ||
| At least H | VH | At most M | At least H | ||
| MH | M | At least H | Between VL and M | ||
| At least MH | Between H and VH | Between ML and M | H | ||
| VH | H | Greater than MH | Lower than ML | ||
| Between L and ML | Between MH and H | H | Between L and M |
| 0.811 | 0.840 | 0.823 | 0.865 | 0.856 | 0.188 | 0.203 | 0.207 | 0.203 | 0.205 | |
| 0.882 | 0.795 | 0.847 | 0.854 | 0.813 | 0.204 | 0.192 | 0.213 | 0.200 | 0.194 | |
| 0.882 | 0.872 | 0.797 | 0.814 | 0.797 | 0.204 | 0.210 | 0.200 | 0.191 | 0.191 | |
| 0.885 | 0.828 | 0.759 | 0.880 | 0.863 | 0.205 | 0.200 | 0.191 | 0.206 | 0.206 | |
| 0.859 | 0.811 | 0.753 | 0.851 | 0.852 | 0.199 | 0.196 | 0.189 | 0.200 | 0.204 |
| 0.338 | 0.161 | 0.574 | 0.338 | |
| 0.380 | 0.547 | 0.586 | 0.376 | |
| 0.451 | 0.239 | 0.450 | 0.249 | |
| 0.243 | 0.499 | 0.269 | 0.445 | |
| 0.516 | 0.695 | 0.520 | 0.306 | |
| 0.385 | 0.428 | 0.480 | 0.343 |
| Rank | |||||||||||||
|---|---|---|---|---|---|---|---|---|---|---|---|---|---|
| 0.152 | 0.369 | 0.013 | 0.239 | 0.096 | 0.063 | 0.262 | 0.081 | 0.773 | 0.501 | 0.393 | 5 | ||
| 0.248 | 0.000 | 0.137 | 0.008 | 0.000 | 0.362 | 0.126 | 0.310 | 0.393 | 0.798 | 0.670 | 2 | ||
| 0.000 | 0.362 | 0.000 | 0.319 | 0.248 | 0.000 | 0.252 | 0.000 | 0.681 | 0.500 | 0.423 | 4 | ||
| 0.257 | 0.111 | 0.252 | 0.032 | 0.053 | 0.252 | 0.000 | 0.286 | 0.652 | 0.592 | 0.476 | 3 | ||
| 0.062 | 0.091 | 0.135 | 0.000 | 0.296 | 0.271 | 0.124 | 0.319 | 0.288 | 1.010 | 0.778 | 1 |
| Experts/Weights | (0.180) | (0.190) | (0.210) | (0.231) | (0.189) | ||||||||||||||||
|---|---|---|---|---|---|---|---|---|---|---|---|---|---|---|---|---|---|---|---|---|---|
| The Alternatives | Original Ranking | +20% | +40% | −20% | −40% | +20% | +40% | −20% | −40% | +20% | +40% | −20% | −40% | +20% | +40% | −20% | −40% | +20% | +40% | −20% | −40% |
| 5 | 5 | 5 | 5 | 5 | 5 | 5 | 5 | 5 | 5 | 5 | 5 | 5 | 5 | 5 | 5 | 5 | 5 | 5 | 5 | 5 | |
| 2 | 2 | 2 | 2 | 2 | 2 | 2 | 2 | 2 | 2 | 2 | 2 | 2 | 2 | 2 | 2 | 2 | 2 | 2 | 2 | 2 | |
| 4 | 4 | 4 | 3 | 3 | 4 | 4 | 4 | 4 | 4 | 4 | 4 | 4 | 4 | 4 | 4 | 4 | 4 | 3 | 4 | 4 | |
| 3 | 3 | 3 | 4 | 4 | 3 | 3 | 3 | 3 | 3 | 3 | 3 | 3 | 3 | 3 | 3 | 3 | 3 | 4 | 3 | 3 | |
| 1 | 1 | 1 | 1 | 1 | 1 | 1 | 1 | 1 | 1 | 1 | 1 | 1 | 1 | 1 | 1 | 1 | 1 | 1 | 1 | 1 | |
| Difference level | 0 | 0 | 1 | 1 | 0 | 0 | 0 | 0 | 0 | 0 | 0 | 0 | 0 | 0 | 0 | 0 | 0 | 0 | 0 | 0 | |
| Criteria/Weights | (0.382) | (0.128) | (0.073) | (0.417) | |||||||||||||
|---|---|---|---|---|---|---|---|---|---|---|---|---|---|---|---|---|---|
| The Alternatives | Original Ranking | +20% | +40% | −20% | −40% | +20% | +40% | −20% | −40% | +20% | +40% | −20% | −40% | +20% | +40% | −20% | −40% |
| 5 | 5 | 5 | 5 | 5 | 5 | 5 | 5 | 5 | 5 | 5 | 5 | 5 | 5 | 5 | 5 | 5 | |
| 2 | 2 | 2 | 2 | 2 | 2 | 2 | 2 | 2 | 2 | 2 | 2 | 2 | 2 | 2 | 2 | 2 | |
| 4 | 4 | 4 | 4 | 3 | 4 | 4 | 4 | 4 | 4 | 4 | 4 | 4 | 4 | 3 | 4 | 4 | |
| 3 | 3 | 3 | 3 | 4 | 3 | 3 | 3 | 3 | 3 | 3 | 3 | 3 | 3 | 4 | 3 | 3 | |
| 1 | 1 | 1 | 1 | 1 | 1 | 1 | 1 | 1 | 1 | 1 | 1 | 1 | 1 | 1 | 1 | 1 | |
| Difference level | 0 | 0 | 0 | 1 | 0 | 0 | 0 | 0 | 0 | 0 | 0 | 0 | 0 | 1 | 0 | 0 | |
| Rank | |||||||||||
|---|---|---|---|---|---|---|---|---|---|---|---|
| 0.500 | 0.417 | 0.000 | 0.500 | 0.125 | 0.000 | 0.567 | 0.000 | 0.677 | 4 | ||
| 0.625 | 0.000 | 0.467 | 0.000 | 0.000 | 0.417 | 0.125 | 0.500 | 0.521 | 3 | ||
| 0.143 | 0.556 | 0.033 | 0.500 | 0.629 | 0.208 | 0.533 | 0.000 | 0.508 | 2 | ||
| 0.625 | 0.417 | 0.567 | 0.033 | 0.000 | 0.000 | 0.000 | 0.467 | 0.802 | 5 | ||
| 0.000 | 0.500 | 0.467 | 0.000 | 0.625 | 0.125 | 0.125 | 0.500 | 0.422 | 1 |
© 2019 by the authors. Licensee MDPI, Basel, Switzerland. This article is an open access article distributed under the terms and conditions of the Creative Commons Attribution (CC BY) license (http://creativecommons.org/licenses/by/4.0/).
Share and Cite
Chen, Z.-S.; Li, M.; Kong, W.-T.; Chin, K.-S. Evaluation and Selection of HazMat Transportation Alternatives: A PHFLTS- and TOPSIS-Integrated Multi-Perspective Approach. Int. J. Environ. Res. Public Health 2019, 16, 4116. https://doi.org/10.3390/ijerph16214116
Chen Z-S, Li M, Kong W-T, Chin K-S. Evaluation and Selection of HazMat Transportation Alternatives: A PHFLTS- and TOPSIS-Integrated Multi-Perspective Approach. International Journal of Environmental Research and Public Health. 2019; 16(21):4116. https://doi.org/10.3390/ijerph16214116
Chicago/Turabian StyleChen, Zhen-Song, Min Li, Wen-Tao Kong, and Kwai-Sang Chin. 2019. "Evaluation and Selection of HazMat Transportation Alternatives: A PHFLTS- and TOPSIS-Integrated Multi-Perspective Approach" International Journal of Environmental Research and Public Health 16, no. 21: 4116. https://doi.org/10.3390/ijerph16214116
APA StyleChen, Z.-S., Li, M., Kong, W.-T., & Chin, K.-S. (2019). Evaluation and Selection of HazMat Transportation Alternatives: A PHFLTS- and TOPSIS-Integrated Multi-Perspective Approach. International Journal of Environmental Research and Public Health, 16(21), 4116. https://doi.org/10.3390/ijerph16214116

