Land Subsidence in a Coal Mining Area Reduced Soil Fertility and Led to Soil Degradation in Arid and Semi-Arid Regions
Abstract
1. Introduction
2. Materials and Methods
2.1. Study Area and Soil Sampling
2.2. Analysis of the Physical Properties of Soil Samples
2.3. Data Analysis
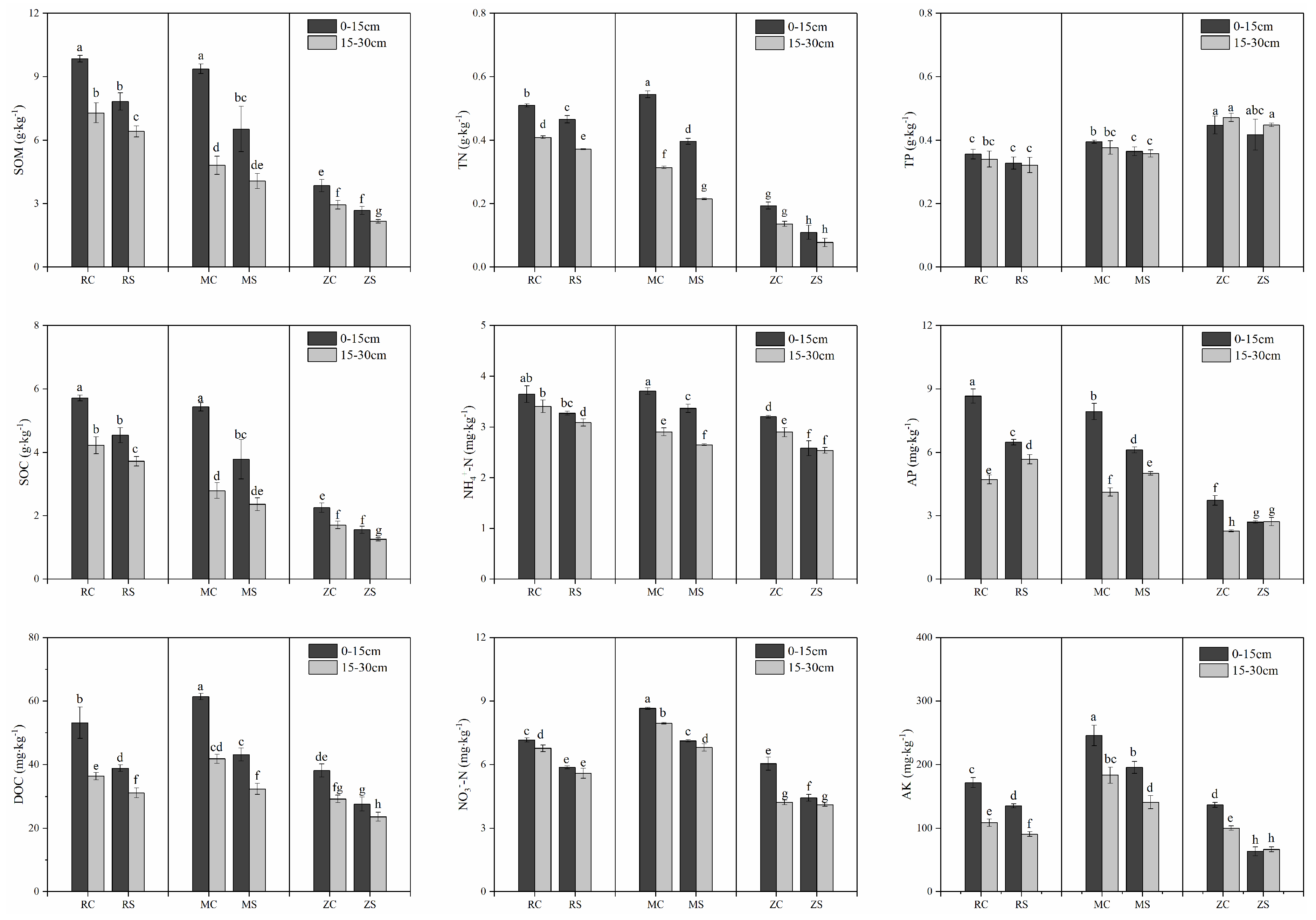
3. Results
3.1. Effect of Land Subsidence on Soil pH, SWC, EC, and Texture
3.2. Effect of Land Subsidence on Soil Nutrients
3.3. Effect of Land Subsidence on Soil Enzymes and Bacterial Quantity
3.4. Relationships among Soil Physiochemical Properties, Nutrients, and Enzyme Activities
4. Discussion
4.1. Land Subsidence Reduced SWC, and Increased EC and Sand Content
4.2. Soil Nutrients were Reduced by Leaching and Infiltration in Land Subsidence
4.3. Reduction of Soil Microbes Led to Nutrient Content Reduction in Land Subsidence
4.4. Land Subsidence Led to Soil Segradation and Desertification
5. Conclusions
Author Contributions
Funding
Conflicts of Interest
References
- Ju, J.; Xu, J. Surface stepped subsidence related to top-coal caving longwall mining of extremely thick coal seam under shallow cover. Int J Rock Mech Min 2015, 78, 27–35. [Google Scholar] [CrossRef]
- Luan, H.; Lin, H.; Jiang, Y.; Wang, Y.; Liu, J.; Wang, P. Risks induced by room mining goaf and their assessment: A case study in the Shenfu-Dongsheng mining area. Sustain. 2018, 10, 631. [Google Scholar] [CrossRef]
- Saeidi, A.; Deck, O.; Verdel, T. Development of building vulnerability functions in subsidence regions from empirical methods. Eng. Struct. 2009, 31, 2275–2286. [Google Scholar] [CrossRef]
- Tripathi, N.; Singh, R.S.; Singh, J.S. Impact of post-mining subsidence on nitrogen transformation in southern tropical dry deciduous forest, India. Environ. Res. 2009, 109, 258–266. [Google Scholar] [CrossRef]
- Wang, Y.; Bian, Z.; Lei, S.; Zhang, Y. Investigating spatial and temporal variations of soil moisture content in an arid mining area using an improved thermal inertia model. J. Arid. Land 2017, 9, 712–726. [Google Scholar] [CrossRef]
- Machowski, R.; Rzetala, M.A.; Rzetala, M.; Solarski, M. Geomorphological and hydrological effects of subsidence and land use change in industrial and urban areas. Land Degrad. Dev. 2016, 27, 1740–1752. [Google Scholar] [CrossRef]
- Sun, Q.; Zhang, J.; Zhang, Q.; Zhao, X. Analysis and prevention of geo-environmental hazards with high-intensive coal mining: A case study in China’s western eco-environment frangible area. Energies 2017, 10, 786. [Google Scholar] [CrossRef]
- Chen, Y.; Zhang, J.; Zhou, A.; Yin, B. Modeling and analysis of mining subsidence disaster chains based on stochastic Petri nets. Nat. Hazards 2018, 92, 19–41. [Google Scholar] [CrossRef]
- Shepley, M.G.; Pearson, A.D.; Smith, G.D.; Banton, C.J. The impacts of coal mining subsidence on groundwater resources management of the East Midlands Permo-Triassic Sandstone aquifer, England. Q. J. Eng. Geol. Hydroge. 2008, 41, 425–438. [Google Scholar] [CrossRef]
- Wu, Q.; Pang, J.; Qi, S.; Li, Y.; Han, C.; Liu, T.; Huang, L. Impacts of coal mining subsidence on the surface landscape in Longkou city, Shandong Province of China. Environ. Earth Sci. 2009, 59, 783–791. [Google Scholar]
- Yang, D.; Bian, Z.; Lei, S. Impact on soil physical qualities by the subsidence of coal mining: A case study in Western China. Environ. Earth Sci. 2016, 75, 652. [Google Scholar]
- Wang, J.; Wang, P.; Qin, Q.; Wang, H. The effects of land subsidence and rehabilitation on soil hydraulic properties in a mining area in the Loess Plateau of China. Catena. 2017, 159, 51–59. [Google Scholar] [CrossRef]
- Yang, Y.; Erskine, P.D.; Zhang, S.; Wang, Y.; Bian, Z.; Lei, S. Effects of underground mining on vegetation and environmental patterns in a semi-arid watershed with implications for resilience management. Environ. Earth Sci. 2018, 77, 605. [Google Scholar] [CrossRef]
- Mukhopadhyay, S.; Maiti, S.K.; Masto, R.E. Development of mine soil quality index (MSQI) for evaluation of reclamation success: A chronosequence study. Ecol. Eng. 2014, 71, 10–20. [Google Scholar] [CrossRef]
- Guo, X.; Zhao, T.; Chang, W.; Xiao, C.; He, Y. Evaluating the effect of coal mining subsidence on the agricultural soil quality using principal component analysis. Chil. J. Agric. Res. 2018, 78, 173–182. [Google Scholar] [CrossRef]
- Bi, Y.; Zhang, Y. Role of the different planting age of seabuckthorn forests to soil amelioration in coal mining subsidence land. Int. J. Coal. Sci. Technol. 2014, 1, 192–197. [Google Scholar] [CrossRef]
- Brockett, B.; Prescott, C.; Grayston, S. Soil moisture is the major factor influencing microbial community structure and enzyme activities across seven biogeoclimatic zones in western Canada. Soil. Biol. Biochem. 2012, 44, 9–20. [Google Scholar] [CrossRef]
- Qi, R.; Li, J.; Lin, Z.; Li, Z.; Li, Y.; Yang, X.; Zhang, J.; Zhao, B. Temperature effects on soil organic carbon, soil labile organic carbon fractions, and soil enzyme activities under long-term fertilization regimes. Appl. Soil. Ecol. 2016, 102, 36–45. [Google Scholar] [CrossRef]
- Zhang, C.; Liu, G.; Xue, S.; Wang, G. Soil bacterial community dynamics reflect changes in plant community and soil properties during the secondary succession of abandoned farmland in the Loess Plateau. Soil. Biol. Biochem. 2016, 97, 40–49. [Google Scholar] [CrossRef]
- Burns, R.G.; DeForest, J.L.; Marxsen, J.; Sinsabaugh, R.L.; Stromberger, M.E.; Wallenstein, M.D.; Weintraub, M.N.; Zoppini, A. Soil enzymes in a changing environment: Current knowledge and future directions. Soil. Biol. Biochem. 2013, 58, 216–234. [Google Scholar] [CrossRef]
- Li, L.; Wu, K.; Hu, Z.; Xu, Y.; Zhou, D. Analysis of developmental features and causes of the ground cracks induced by oversized working face mining in an aeolian sand area. Environ. Earth. Sci. 2017, 76, 135. [Google Scholar] [CrossRef]
- Yan, W.; Dai, H.; Chen, J. Surface crack and sand inrush disaster induced by high-strength mining: Example from the Shendong coal field, China. Geosci. J. 2018, 22, 347–357. [Google Scholar] [CrossRef]
- Wang, J.; Qin, Q.; Hu, S.; Wu, K. A concrete material with waste coal gangue and fly ash used for farmland drainage in high groundwater level areas. J. Clean Prod. 2016, 112, 631–638. [Google Scholar] [CrossRef]
- Shi, P.; Zhang, Y.; Hu, Z.; Ma, K.; Wang, H.; Chai, T. The response of soil bacterial communities to mining subsidence in the west China aeolian sand area. Appl. Soil. Eco. 2017, 121, 1–10. [Google Scholar] [CrossRef]
- International Soil Reference and Information Centre; AGL; International Union of Soil Sciences Working Group; FAO. World reference base for soil resources. World Soil Resour. Rep. 2006, 103, 1–117. [Google Scholar]
- Shi, X.; Yu, D.; Sun, W.; Wang, H.; Zhao, Q.; Gong, Z. Reference benchmarks relating to great groups of genetic soil classification of China with soil taxonomy. Chin. Sci. Bull. 2004, 49, 1507–1511. [Google Scholar] [CrossRef]
- Gao, Y.; Wang, J.; Guo, S.; Hu, Y.; Li, T.; Mao, R.; Zeng, D. Effects of salinization and crude oil contamination on soil bacterial community structure in the Yellow River Delta region, China. Appl. Soil. Eco. 2015, 86, 165–173. [Google Scholar] [CrossRef]
- Bowman, R.A.; Cole, C.V. An exploratory method for fractionation of organic phosphorus from grassland soils. Soil. Sci. 1978, 125, 95–101. [Google Scholar] [CrossRef]
- Zhang, X.; Yang, Y.; Zhang, C.; Niu, S.; Yang, H.; Yu, G.; Wang, H.; Blagodatskaya, E.; Kuzyakov, Y.; Tian, D.; et al. Contrasting responses of phosphatase kinetic parameters to nitrogen and phosphorus additions in forest soils. Func. Ecol. 2018, 32, 106–116. [Google Scholar] [CrossRef]
- Page, A.L.; Miller, R.H.; Keeney, D.R. Nitrogen-availability Indices: Methods of Soil Analysis, Part 2, Chemical and Microbiological Properties; Soil Science Society of America: Fitchburg, WI, USA, 1982; pp. 711–733. [Google Scholar]
- Bao, S. Soil and Agricultural Chemistry Analysis; China Agriculture Press: Beijing, China, 2000; pp. 70–111. [Google Scholar]
- Tabatabai, M.A.; Bremner, J.M. Use of p-nitrophenyl phosphate for assay of soil phosphatase activity. Soil Biol. Biochem. 1969, 1, 301–307. [Google Scholar] [CrossRef]
- Zhang, C.; Xue, S.; Liu, G.; Song, Z. A comparison of soil qualities of different revegetation types in the Loess Plateau, China. Plant Soil 2011, 347, 163–178. [Google Scholar] [CrossRef]
- Parton, W.J.; Stewart, J.W.; Cole, C.V. Dynamics of C, N, P and S in grassland soils: A model. Biogeochem. 1988, 5, 109–131. [Google Scholar] [CrossRef]
- Zhen, Q.; Ma, W.; Li, M.; He, H.; Zhang, X.; Wang, Y. Effects of vegetation and physicochemical properties on solute transport in reclaimed soil at an opencast coal mine site on the Loess Plateau, China. Catena. 2017, 148, 17–25. [Google Scholar] [CrossRef]
- He, Y.; He, X.; Liu, Z.; Zhao, S.; Bao, L.; Li, Q.; Yan, L. Coal mine subsidence has limited impact on plant assemblages in an arid and semi-arid region of northwestern China. Ecoscience 2017, 24, 91–103. [Google Scholar] [CrossRef]
- Zeng, Q.; Liu, Y.; Xiao, L.; Huang, Y. How fencing affects the soil quality and plant biomass in the grassland of the loess plateau. Int. J. Environ. Res. Public Health 2017, 14, 1117. [Google Scholar] [CrossRef] [PubMed]
- Li, Y.; Chen, L.; Wen, H. Changes in the composition and diversity of bacterial communities 13 years after soil reclamation of abandoned mine land in eastern China. Ecol. Res. 2015, 30, 357–366. [Google Scholar] [CrossRef]
- Pourhassan, N.; Bruno, S.; Jewell, M.D.; Shipley, B.; Roy, S.; Bellenger, J.-P. Phosphorus and micronutrient dynamics during gymnosperm and angiosperm litters decomposition in temperate cold forest from Eastern Canada. Geoderma. 2016, 273, 25–31. [Google Scholar] [CrossRef]
- Kadlec, R.H. Phosphorus removal in emergent free surface wetlands. J. Environ. Sci. Heal. A 2005, 40, 1293–1306. [Google Scholar] [CrossRef]
- Liu, X.; Bai, Z.; Zhou, W.; Cao, Y.; Zhang, G. Changes in soil properties in the soil profile after mining and reclamation in an opencast coal mine on the Loess Plateau, China. Ecol. Eng. 2017, 98, 228–239. [Google Scholar] [CrossRef]
- Cheng, J.X.; Nie, X.J.; Liu, C.H. Spatial variation of soil organic carbon in coal-mining subsidence areas. J. China Coal Soc. 2014, 39, 2495–2500. [Google Scholar]
- Wang, P.; Hu, Z.; Yost, R.S.; Shao, F.; Liu, J.; Li, X. Assessment of chemical properties of reclaimed subsidence land by the integrated technology using Yellow River sediment in Jining, China. Environ. Earth Sci. 2016, 75, 15. [Google Scholar] [CrossRef]
- Cambardella, C.A. Field-scale variability of soil properties in central Iowa soils. Soil Sci. Soc. Am. J. 1994, 58, 1501–1511. [Google Scholar] [CrossRef]
- Zhang, Y.L.; Chen, L.J.; Chen, X.H.; Tan, M.L.; Duan, Z.H.; Wu, Z.J.; Li, X.J.; Fan, X.H. Response of soil enzyme activity to long-term restoration of desertified land. Catena 2015, 133, 64–70. [Google Scholar] [CrossRef]
- Kang, Y.H.; Liu, S.H.; Wan, S.Q.; Wang, R.S. Assessment of soil enzyme activities of saline–sodic soil under drip irrigation in the Songnen plain. Paddy Water Environ. 2011, 11, 87–95. [Google Scholar] [CrossRef]
- Stemmer, M.; Gerzabek, M.H.; Kandeler, E. Organic matter and enzyme activity in particle-size fractions of soils obtained after low-energy sonication. Soil Biol. Biochem. 1998, 30, 9–17. [Google Scholar] [CrossRef]
- García-Ruiz, R.; Ochoa, V.; Hinojosa, M.B.; Carreira, J.A. Suitability of enzyme activities for the monitoring of soil quality improvement in organic agricultural systems. Soil Biol. Biochem. 2008, 40, 2137–2145. [Google Scholar] [CrossRef]






| Samples | Depth (cm) | pH | SWC (%) | EC (µS·cm−1) |
|---|---|---|---|---|
| RC15 | 0–15 | 8.01 ± 0.02bc | 9.17 ± 0.10a | 55.06 ± 2.70bc |
| RC30 | 15–30 | 8.04 ± 0.02b | 8.36 ± 0.01c | 52.50 ± 0.64c |
| RS15 | 0–15 | 8.08 ± 0.06ab | 7.72 ± 0.05d | 66.20 ± 2.19a |
| RS30 | 15–30 | 8.13 ± 0.03a | 7.08 ± 0.01f | 55.15 ± 1.70b |
| MC15 | 0–15 | 8.02 ± 0.06ab | 8.63 ± 0.06b | 46.40 ± 1.63d |
| MC30 | 15–30 | 8.11 ± 0.02a | 6.32 ± 0.16h | 45.85 ± 1.98d |
| MS15 | 0–15 | 8.04 ± 0.02b | 7.58 ± 0.08e | 51.80 ± 1.48c |
| MS30 | 15–30 | 8.07 ± 0.04ab | 6.98 ± 0.03g | 47.40 ± 0.49d |
| ZC15 | 0–15 | 8.08 ± 0.01b | 5.79 ± 0.01i | 35.95 ± 0.99ef |
| ZC30 | 15–30 | 8.09 ± 0.03ab | 5.41 ± 0.05j | 32.10 ± 1.48f |
| ZS15 | 0–15 | 8.03 ± 0.03b | 4.45 ± 0.03k | 39.60 ± 3.75e |
| ZS30 | 15–30 | 8.04 ± 0.01b | 3.18 ± 0.01k | 34.85 ± 1.41ef |
© 2019 by the authors. Licensee MDPI, Basel, Switzerland. This article is an open access article distributed under the terms and conditions of the Creative Commons Attribution (CC BY) license (http://creativecommons.org/licenses/by/4.0/).
Share and Cite
Ma, K.; Zhang, Y.; Ruan, M.; Guo, J.; Chai, T. Land Subsidence in a Coal Mining Area Reduced Soil Fertility and Led to Soil Degradation in Arid and Semi-Arid Regions. Int. J. Environ. Res. Public Health 2019, 16, 3929. https://doi.org/10.3390/ijerph16203929
Ma K, Zhang Y, Ruan M, Guo J, Chai T. Land Subsidence in a Coal Mining Area Reduced Soil Fertility and Led to Soil Degradation in Arid and Semi-Arid Regions. International Journal of Environmental Research and Public Health. 2019; 16(20):3929. https://doi.org/10.3390/ijerph16203929
Chicago/Turabian StyleMa, Kang, Yuxiu Zhang, Mengying Ruan, Jing Guo, and Tuanyao Chai. 2019. "Land Subsidence in a Coal Mining Area Reduced Soil Fertility and Led to Soil Degradation in Arid and Semi-Arid Regions" International Journal of Environmental Research and Public Health 16, no. 20: 3929. https://doi.org/10.3390/ijerph16203929
APA StyleMa, K., Zhang, Y., Ruan, M., Guo, J., & Chai, T. (2019). Land Subsidence in a Coal Mining Area Reduced Soil Fertility and Led to Soil Degradation in Arid and Semi-Arid Regions. International Journal of Environmental Research and Public Health, 16(20), 3929. https://doi.org/10.3390/ijerph16203929
