Short-Term Effects of Ambient Air Pollution on ST-Elevation Myocardial Infarction Events: Are There Potentially Susceptible Groups?
Abstract
:1. Introduction
2. Methods
2.1. Study Population
2.2. Pollutant and Meteorological Data
2.3. Statistical Method
2.4. Unblinded Ethical Approval Statement
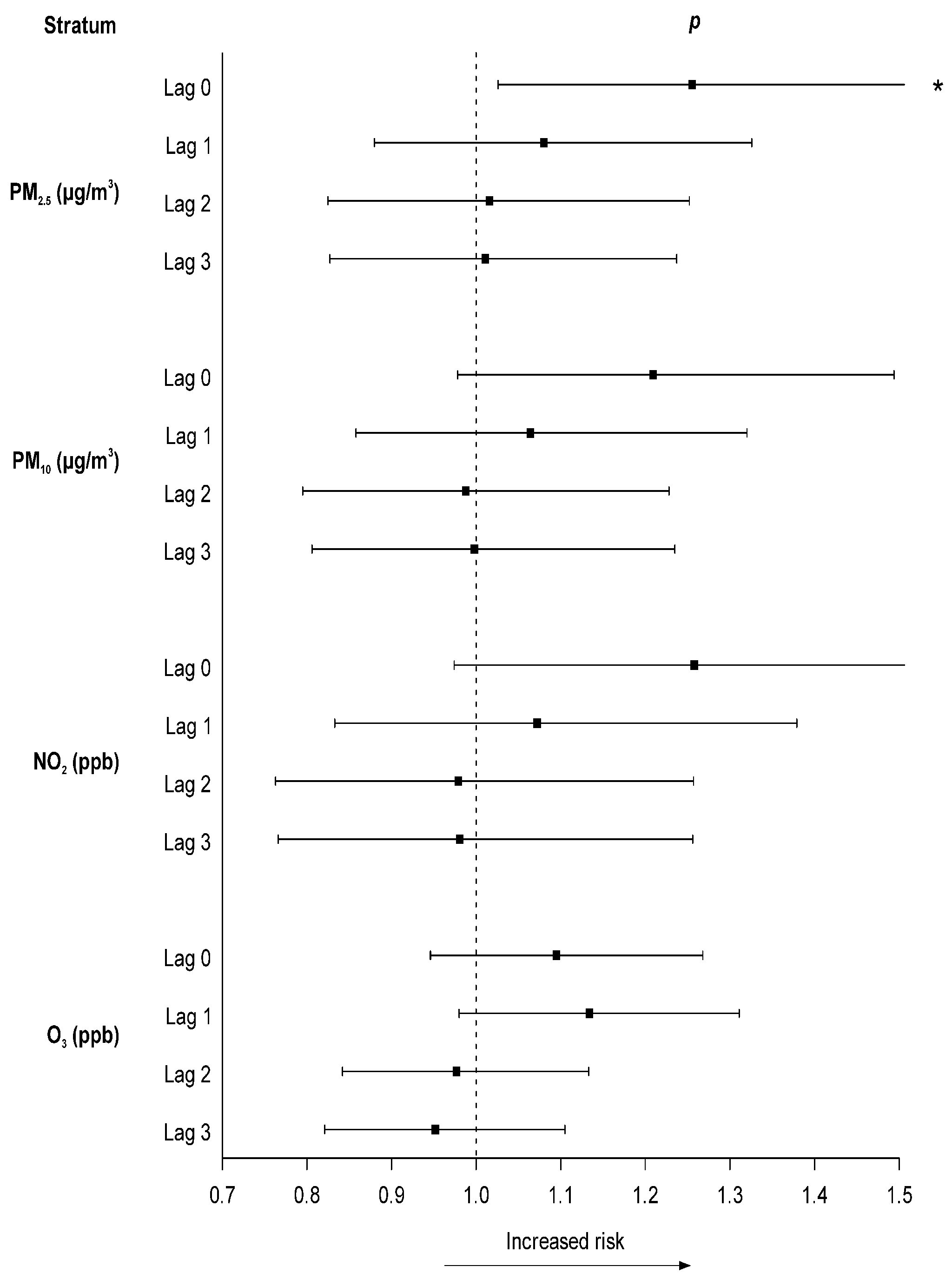
3. Results
4. Discussion
Study Limitations
5. Conclusions
Author Contributions
Funding
Acknowledgments
Conflicts of Interest
References
- Claeys, M.J.; Rajagopalan, S.; Nawrot, T.S.; Brook, R.D. Climate and environmental triggers of acute myocardial infarction. Eur. Heart. J. 2017, 38, 955–960. [Google Scholar] [CrossRef] [PubMed]
- Terkelsen, C.J.; Sorensen, J.T.; Maeng, M.; Jensen, L.O.; Tilsted, H.; Trautner, S.; Vach, W.; Johnsen, S.P.; Thuesen, L.; Lassen, J.F. System delay and mortality among patients with STEMI treated with primary percutaneous coronary intervention. JAMA 2010, 304, 763–771. [Google Scholar] [CrossRef] [PubMed]
- Gardner, B.; Ling, F.; Hopke, P.K.; Frampton, M.W.; Utell, M.J.; Zareba, W.; Cameron, S.J.; Chalupa, D.; Kane, C.; Kulandhaisamy, S.; et al. Ambient fine particulate air pollution triggers ST-elevation myocardial infarction, but not non-ST elevation myocardial infarction: A case-crossover study. Part. Fibre Toxicol. 2014, 11. [Google Scholar] [CrossRef] [PubMed]
- Garcia-Garcia, C.; Ribas, N.; Recasens, L.L.; Meroño, O.; Subirana, I.; Fernández, A.; Pérez, A.; Miranda, F.; Tizón-Marcos, H.; Martí-Almor, J.; et al. In-hospital prognosis and long-term mortality of STEMI in a reperfusion network. “Head to head” analysis: Invasive reperfusion vs. optimal medical therapy. BMC Cardiovasc. Disord. 2017, 17, 139. [Google Scholar] [CrossRef] [PubMed]
- Cheng, F.J.; Lee, K.H.; Lee, C.W.; Hsu, P.C. Association between particulate matter air pollution and hospital emergency room visits for pneumonia with septicemia: A retrospective analysis. Aerosol Air Qual. Res. 2019, 19, 345–354. [Google Scholar] [CrossRef]
- Collart p Dubourg, D.; Leveque, A.; Sierra, N.B.; Coppieters, Y. Short-term effects of nitrogen dioxide on hospital admissions for cardiovascular disease in Wallonia, Belgium. Int. J. Cardiol. 2018, 255, 231–236. [Google Scholar] [CrossRef] [PubMed]
- Cox, L., Jr. Socioeconomic and air pollution correlates of adult asthma, heart attack, and stroke risks in the United States, 2010–2013. Environ. Res. 2017, 155, 92–107. [Google Scholar] [CrossRef]
- Hassanvand, M.S.; Naddafi, K.; Kashani, H.; Faridi, S.; Kunzli, N.; Nabizadeh, R.; Momeniha, F.; Gholampour, A.; Arhami, M.; Zare, A.; et al. Short-term effects of particle size fractions on circulating biomarkers of inflammation in a panel of elderly subjects and healthy young adults. Environ. Pollut. 2017, 223, 695–704. [Google Scholar] [CrossRef]
- Yang, X.; Feng, L.; Zhang, Y.; Hu, H.; Shi, Y.; Liang, S.; Zhao, T.; Fu, Y.; Duan, J.; Sun, Z. Cytotoxicity induced by fine particulate matter (PM2.5) via mitochondria-mediated apoptosis pathway in human cardiomyocytes. Ecotoxicol. Environ. Saf. 2018, 161, 198–207. [Google Scholar] [CrossRef]
- Evans, K.A.; Hopke, P.K.; Utell, M.J.; Kane, C.; Thurston, S.W.; Ling, F.S.; Chalupa, D.; Rich, D.Q. Triggering of ST-elevation myocardial infarction by ambient wood smoke and other particulate and gaseous pollutants. J. Expo. Sci. Environ. Epidemiol. 2017, 27, 198–206. [Google Scholar] [CrossRef]
- Liu, H.; Tian, Y.; Cao, Y.; Song, J.; Huang, C.; Xiang, X.; Li, M.; Hu, Y. Fine particulate air pollution and hospital admissions and readmissions for acute myocardial infarction in 26 Chinese cities. Chemosphere 2018, 192, 282–288. [Google Scholar] [CrossRef] [PubMed]
- Mozaffarian, D.; Benjamin, E.J.; Go, A.S.; Arnett, D.K.; Blaha, M.J.; Cushman, M.; Das, S.R.; de Ferranti, S.; Despres, J.P.; Fullerton, H.J.; et al. On behalf of the American Heart Association Statistics Committee and Stroke Statistics Subcommittee. Heart disease and stroke statistics-2016 update: A report from the American Heart Association. Circulation 2016, 133, e38–e360. [Google Scholar] [CrossRef] [PubMed]
- Bell, M.L.; Ebisu, K.; Peng, R.D.; Walker, J.; Samet, J.M.; Zeger, S.L.; Dominici, F. Seasonal and regional short-term effects of fine particles on hospital admissions in 202 US counties, 1999–2005. Am. J. Epidemiol. 2008, 168, 1301–1310. [Google Scholar] [CrossRef] [PubMed]
- Kim, T.-Y.; Kim, H.; Yi, S.-M.; Cheong, J.-P.; Heo, J. Short-term effects of ambient PM2.5 and PM2.5-10 on mortality in major cities of Korea. Aerosol Air Qual. Res. 2018, 18, 1853–1862. [Google Scholar] [CrossRef]
- Ueda, K.; Yamagami, M.; Ikemori, F.; Hisatsune, K.; Nitta, H. Associations between fine particulate matter components and daily mortality in Nagoya, Japan. J. Epidemiol. 2016, 26, 249–257. [Google Scholar] [CrossRef]
- Grivas, G.; Cheristanidis, S.; Chaloulakou, A.; Koutrakis, P.; Mihalopoulos, N. Elemental composition and source apportionment of fine and coarse particles at traffic and urban background locations in Athens, Greece. Aerosol Air Qual. Res. 2018, 18, 1642–1659. [Google Scholar] [CrossRef]
- Katsouyanni, K.; Touloumi, G.; Samoli, E.; Gryparis, A.; le Tertre, A.; Monopolis, Y.; Rossi, G.; Zmirou, D.; Ballester, F.; Boumghar, A.; et al. Confounding and effect modification in the short-term effects of ambient particles on total mortality: Results from 29 European cities within the APHEA2 project. Epidemiology 2001, 12, 521–531. [Google Scholar] [CrossRef]
- Xia, R.; Zhou, G.; Zhu, T.; Li, X.; Wang, G. Ambient air pollution and out-of-hospital cardiac arrest in Beijing, China. Int. J. Environ. Res. Public Health 2017, 14, 423. [Google Scholar] [CrossRef]
- O’Gara, P.T.; Kushner, F.G.; Ascheim, D.D.; Casey, D.E., Jr.; Chung, M.K.; de Lemos, J.A.; Ettinger, S.M.; Fang, J.C.; Fesmire, F.M.; Franklin, B.A.; et al. 2013 ACCF/AHA guideline for the management of ST-elevation myocardial infarction: A report of the American College of Cardiology Foundation/American Heart Association Task Force on Practice Guidelines. J. Am. Coll. Cardiol. 2013, 61, e78–e140. [Google Scholar] [CrossRef]
- Marshall, R.J.; Jackson, R.T. Analysis of case-crossover designs. Stat. Med. 1993, 12, 2333–2341. [Google Scholar] [CrossRef]
- Mittleman, M.A.; Maclure, M.; Robins, J.M. Control sampling strategies for case-crossover studies: An assessment of relative efficiency. Am. J. Epidemiol. 1995, 142, 91–98. [Google Scholar] [CrossRef] [PubMed]
- Peng, R.D.; Dominici, F.; Pastor-Barriuso, R.; Zeger, S.L.; Samet, J.M. Seasonal analyses of air pollution and mortality in 100 US cities. Am. J. Epidemiol. 2005, 161, 585–594. [Google Scholar] [CrossRef] [PubMed]
- Argacha, J.F.; Collart, P.; Wauters, A.; Kayaert, P.; Lochy, S.; Schoors, D.; Sonck, J.; de Vos, T.; Forton, M.; Brasseur, O.; et al. Air pollution and ST-elevation myocardial infarction: A case-crossover study of the Belgian STEMI registry 2009–2013. Int. J. Cardiol. 2016, 223, 300–305. [Google Scholar] [CrossRef] [PubMed]
- Baneras, J.; Ferreira-Gonzalez, I.; Marsal, J.R.; Barrabés, J.A.; Ribera, A.; Lidón, R.M.; Domingo, E.; Martí, G.; García-Dorado, D. On Behalf of the Codi IAM Registry Investigators. Short-term exposure to air pollutants increases the risk of ST elevation myocardial infarction and of infarct-related ventricular arrhythmias and mortality. Int. J. Cardiol. 2018, 250, 35–42. [Google Scholar] [CrossRef] [PubMed]
- Ghaffari, S.; Hajizadeh, R.; Pourafkari, L.; Shokouhi, B.; Tajlil, A.; Mazani, S.; Kavandi, H.; Ansari, H.; Nader, N.D. Air pollution and admissions due to ST elevation myocardial infarction—A time-series study from northwest of Iran. Environ. Sci. Pollut. Res. Int. 2017, 24, 27469–27475. [Google Scholar] [CrossRef] [PubMed]
- Milojevic, A.; Wilkinson, P.; Armstrong, B.; Bhaskaran, K.; Smeeth, L.; Hajat, S. Short-term effects of air pollution on a range of cardiovascular events in England and Wales: Case-crossover analysis of the MINAP database, hospital admissions and mortality. Heart 2014, 100, 1093–1098. [Google Scholar] [CrossRef] [PubMed]
- Altemose, B.; Robson, M.G.; Kipen, H.M.; Strickland, P.O.; Meng, Q.; Gong, J.; Huang, W.; Wang, G.; Rich, D.Q.; Zhu, T.; et al. Association of air pollution sources and aldehydes with biomarkers of blood coagulation, pulmonary inflammation, and systemic oxidative stress. J. Expo. Sci. Environ. Epidemiol. 2017, 27, 244–250. [Google Scholar] [CrossRef] [PubMed]
- Hsu, W.H.; Hwang, S.A.; Kinney, P.L.; Lin, S. Seasonal and temperature modifications of the association between fine particulate air pollution and cardiovascular hospitalization in New York state. Sci. Total Environ. 2017, 578, 626–632. [Google Scholar] [CrossRef]
- Huang, C.H.; Lin, H.C.; Tsai, C.D.; Huang, H.K.; Lian, I.B.; Chang, C.C. The interaction effects of meteorological factors and air pollution on the development of acute coronary syndrome. Sci. Rep. 2017, 7, 44004. [Google Scholar] [CrossRef]
- Maclure, M. A method for studying transient effects on the risk of acute events. Am. J. Epidemiol. 1991, 133, 144–153. [Google Scholar] [CrossRef]
- Nemmar, A.; Hoylaerts, M.F.; Hoet, P.H.; Dinsdale, D.; Smith, T.; Xu, H.; Vermylen, J.; Nemery, B. Ultrafine particles affect experimental thrombosis in an in vivo hamster model. Am. J. Respir. Crit. Care Med. 2002, 166, 998–1004. [Google Scholar] [CrossRef] [PubMed]
- Nemmar, A.; Hoet, P.H.; Vandervoort, P.; Dinsdale, D.; Nemery, B.; Hoylarerts, M.F. Enhanced peripheral thrombogenicity after lung inflammation is mediated by platelet-leukocyte activation: Role of P-selectin. J. Thomb. Haemost. 2007, 5, 1217–1226. [Google Scholar] [CrossRef] [PubMed]
- Nemmar, A.; Zia, S.; Subramaniyan, D.; Fahim, M.A.; Ali, B.H. Exacerbation of thrombotic events by diesel exhaust particle in mouse model of hypertension. Toxicology 2011, 285, 39–45. [Google Scholar] [CrossRef] [PubMed]
- Marchini, T.; Wolf, D.; Michel, N.A.; Mauler, M.; Dufner, B.; Hoppe, N.; Beckert, J.; Jäckel, M.; Magnani, N.; Duerschmied, D.; et al. Acute exposure to air pollution particulate matter aggravates experimental myocardial infarction in mice by potentiating cytokine secretion from lung macrophages. Basic Res. Cardiol. 2016, 111, 44. [Google Scholar] [CrossRef] [PubMed]
- Cascio, W.E. Proposed pathophysiologic framework to explain some excess cardiovascular death associated with ambient air particle pollution: Insights for public health translation. Biochim. Biophys. Acta 2016, 1860, 2869–2879. [Google Scholar] [CrossRef] [PubMed]
- Tabor, C.M.; Shaw, C.A.; Robertson, S. Platelet activation independent of pulmonary inflmmation contributes to diesel exhaust particulate-induced promotion of arterial thrombosis. Partic Fibre Toxicol. 2016, 13, 6. [Google Scholar] [CrossRef]
- Mills, N.L.; Törnqvist, H.; Robinson, S.D.; Gonzalez, M.; Darnley, K.; MacNee, W.; Boon, N.A.; Donaldson, K.; Blomberg, A.; Sandstrom, T.; et al. Diesel exhaust inhalation causes vascular dysfunction and impaired endogenous fibrionlysis. Circulation 2005, 112, 3930–3936. [Google Scholar] [CrossRef] [PubMed]
- Mills, N.L.; Törnqvist, H.; Gonzalez, M.C.; Vink, E.; Robinson, S.D.; Söderberg, S.; Boon, N.A.; Donaldson, K.; Sandström, T.; Blomberg, A.; et al. Ischemic and thrombotic effects of dilute diesel-exhaust inhalation in men with coronary heart disease. N. Engl. J. Med. 2007, 357, 1075–1082. [Google Scholar] [CrossRef] [PubMed]
- Pope, C.A.; Muhlestein, J.B.; Anderson, J.L.; Cannon, J.B.; Hales, N.M.; Meredith, K.G.; Le, V.; Horne, B.D. Short-term exposure to fine particulate matter air pollution is preferentially associated with the risk of ST-segment elevation acute coronary events. J. Am. Heart Assoc. 2015, 4, e002506. [Google Scholar] [CrossRef] [PubMed]
- Kang, S.H.; Heo, J.; Oh, I.Y.; Kim, J.; Lim, W.H.; Cho, Y.; Choi, E.K.; Yi, S.M.; Do Shin, S.; Kim, H.; et al. Ambient air pollution and out-of-hospital cardiac arrest. Int. J. Cardiol. 2016, 203, 1086–1092. [Google Scholar] [CrossRef] [PubMed]
- Collart, P.; Dramaix, M.; Leveque, A.; Coppieters, Y. Short-term effects of air pollution on hospitalization for acute myocardial infarction: Age effect on lag pattern. Int. J. Environ. Health Res. 2017, 27, 68–81. [Google Scholar] [CrossRef] [PubMed]
- Pope, C.A., 3rd; Bhatnagar, A.; McCracken, J.P.; Abplanalp, W.; Conklin, D.J.; O’Toole, T. Exposure to fine particulate air pollution is associated with endothelial injury and systemic inflammation. Circ. Res. 2016, 119, 1204–1214. [Google Scholar] [CrossRef] [PubMed]
- Heaney, M.L.; Golde, D.W. Soluble receptors in human disease. J. Leukoc. Biol. 1998, 64, 135–146. [Google Scholar] [CrossRef] [PubMed]
- Zeb, B.; Alam, K.; Sorooshian, A.; Blaschke, T.; Ahmad, I.; Shahid, I. On the morphology and composition of particulate matter in an urban environment. Aerosol Air Qual. Res. 2018, 18, 1431–1447. [Google Scholar] [CrossRef] [PubMed]
- EPA. Revised Air Quality Standards for Particle Pollution and Updates to the Air Quality Index (AQI); US Environmental Protection Agency: Washington, DC, USA, 2013.



| Characteristics | Number (%) |
|---|---|
| Age (years) | 60.3 ± 12.8 |
| Body mass index | 25.6 ± 3.9 |
| Male sex | 745 (83.0) |
| Hypertension | 572 (63.7) |
| Diabetes | 338 (37.6) |
| Current smoker | 491 (54.7) |
| Dyslipidemia | 651 (72.5) |
| History of myocardial infarction | 62 (6.9) |
| Risk factors ≧3 | 706 (78.6) |
| Air Pollutants and Meteorological Factors | Minimum | Percentiles | Maximum | Mean ± SD | ||
|---|---|---|---|---|---|---|
| 25% | 50% | 75% | ||||
| PM2.5 (µg/m3) | 11.10 | 24.00 | 41.20 | 53.90 | 126.70 | 41.2 ± 18.9 |
| PM10 (µg/m3) | 19.60 | 43.30 | 69.70 | 93.30 | 190.00 | 70.9 ± 30.8 |
| NO2 (ppb) | 5.90 | 13.20 | 18.10 | 23.30 | 39.30 | 18.6 ± 6.5 |
| O3 (ppb) | 3.50 | 18.10 | 26.90 | 37.90 | 74.60 | 28.6 ± 12.8 |
| Temperature (°C) | 12.40 | 22.20 | 26.30 | 28.70 | 32.10 | 25.1 ± 4.3 |
| Humidity (%) | 47.50 | 70.90 | 74.80 | 78.90 | 94.40 | 75.1 ± 6.7 |
© 2019 by the authors. Licensee MDPI, Basel, Switzerland. This article is an open access article distributed under the terms and conditions of the Creative Commons Attribution (CC BY) license (http://creativecommons.org/licenses/by/4.0/).
Share and Cite
Pan, H.-Y.; Cheung, S.-M.; Chen, F.-C.; Wu, K.-H.; Cheng, S.-Y.; Chuang, P.-C.; Cheng, F.-J. Short-Term Effects of Ambient Air Pollution on ST-Elevation Myocardial Infarction Events: Are There Potentially Susceptible Groups? Int. J. Environ. Res. Public Health 2019, 16, 3760. https://doi.org/10.3390/ijerph16193760
Pan H-Y, Cheung S-M, Chen F-C, Wu K-H, Cheng S-Y, Chuang P-C, Cheng F-J. Short-Term Effects of Ambient Air Pollution on ST-Elevation Myocardial Infarction Events: Are There Potentially Susceptible Groups? International Journal of Environmental Research and Public Health. 2019; 16(19):3760. https://doi.org/10.3390/ijerph16193760
Chicago/Turabian StylePan, Hsiu-Yung, Shun-Man Cheung, Fu-Cheng Chen, Kuan-Han Wu, Shih-Yu Cheng, Po-Chun Chuang, and Fu-Jen Cheng. 2019. "Short-Term Effects of Ambient Air Pollution on ST-Elevation Myocardial Infarction Events: Are There Potentially Susceptible Groups?" International Journal of Environmental Research and Public Health 16, no. 19: 3760. https://doi.org/10.3390/ijerph16193760
APA StylePan, H.-Y., Cheung, S.-M., Chen, F.-C., Wu, K.-H., Cheng, S.-Y., Chuang, P.-C., & Cheng, F.-J. (2019). Short-Term Effects of Ambient Air Pollution on ST-Elevation Myocardial Infarction Events: Are There Potentially Susceptible Groups? International Journal of Environmental Research and Public Health, 16(19), 3760. https://doi.org/10.3390/ijerph16193760

