Effect of C/N Ratio on the Removal of Nitrogen and Microbial Characteristics in the Water Saturated Denitrifying Section of a Two-Stage Constructed Rapid Infiltration System
Abstract
:1. Introduction
2. Materials and Methods
2.1. Experimental Design
2.2. Sewage and Operational Conditions
2.3. Batch Experiments
2.4. Analytical Methods
2.4.1. Water Quality Analytical Methods
2.4.2. Microbiological Analysis and EPS Quantization
3. Results and Discussion
3.1. Effect of C/N Ratio on Removal Efficiency of Ammonium and Nitrate
3.2. Effect of C/N Ratio on Removal Efficiency of Total Nitrogen
3.3. Effect of C/N Ratio on Removal Efficiency of Chemical Oxygen Demand
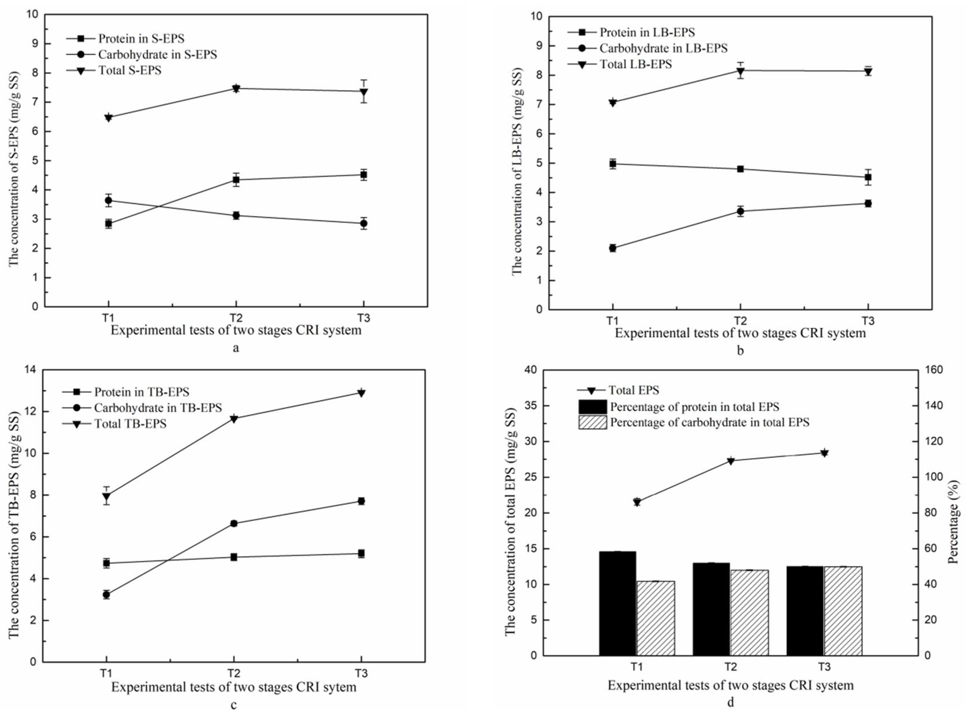
3.4. Analysis of the Microbial Communities and EPS
4. Conclusions
Author Contributions
Funding
Conflicts of Interest
References
- He, J.T.; Zhong, Z.S.; Tang, M.G.; Chen, H.H. Experimental research of constructed rapid infiltration wastewater treating system. China Environ. Sci. 2002, 22, 239–243. [Google Scholar]
- He, J.T.; Zhong, Z.S.; Tang, M.G. New method of solving contradiction of rapid infiltration system land using. Geoscience 2001, 15, 339–345. [Google Scholar]
- Xu, W.L.; Zhang, W.; Jian, Y. Analysis of nitrogen removal performance of constructed rapid infiltration system (CRIS). Appl. Ecol. Environ. Res. 2017, 15, 199–206. [Google Scholar] [CrossRef]
- Zhang, J.B. Study on Constructed Rapid Infiltration for Wastewater Treatment. Ph.D. Thesis, University of Geosciences, Beijing, China, 2002. [Google Scholar]
- Wang, L.; Yu, Z.P.; Zhao, Z.J. The removal mechanism of ammoniac nitrogen in constructed rapid infiltration system. China Environ. Sci. 2006, 26, 500–504. [Google Scholar]
- Chislock, M.F.; Doster, E.; Zitomer, R.A.; Wilson, A. Eutrophication: Causes, consequences, and controls in aquatic ecosystems. Nat. Educ. Knowl. 2013, 4, 10. [Google Scholar]
- Chen, J.M.; Liu, F.; Fu, Y.S.; Yang, J.F. Nitrogen removal mechanism of the constructed rapid infiltration system. Technol. Water Treat. 2009, 35, 32–34. [Google Scholar]
- Fan, X.J.; Fu, Y.S.; Liu, F.; Xue, D.; Xu, W. Total nitrogen removal efficiency of improved constructed rapid infiltration system. Technol. Water Treat. 2009, 35, 70–72. [Google Scholar]
- Matsumoto, M.R. Abiotic Nitrogen Removal Mechanisms in Rapid Infiltration Wastewater Treatment Systems; University of California Water Resources Center, UC Berkeley: Berkeley, CA, USA, 2004. [Google Scholar]
- Chen, J.; Zhang, J.Q.; Wen, H.; Zhang, Q.; Yang, X.; Li, J. Effect of Fe3+ on nitrogen removal efficiency in constructed rapid infiltration system. Chin. J. Environ. Eng. 2016, 10, 7058–7062. [Google Scholar]
- Song, Z.X.; Zhang, H.Z.; Wang, Z.L.; Ping, Y.H.; Liu, G.Y.; Zhao, Q. Treating sewage by strengthened constructed rapid infiltration system. Chin. J. Environ. Eng. 2016, 10, 3491–3495. [Google Scholar]
- Li, X.N.; Luo, L.X.; Liu, H.; Pei, T.Q. Research on the variation of microorganism quantity and enzyme activity in constructed rapid infiltration system. Environ. Pollut. Control 2013, 35, 49–52. [Google Scholar]
- Nelson, Y.M.; Lion, L.W.; Shuler, M.L. Modeling oligotrophic biofilm formation and lead adsorption to biofilm components. Environ. Sci. Technol. 1996, 30, 202–207. [Google Scholar] [CrossRef]
- Liang, Z.W.; Li, W.H.; Yang, S.Y.; Du, P. Extraction and structural characteristics of extracellular polymeric substances (EPS), pellets in autotrophic nitrifying biofilm and activated sludge. Chemosphere 2010, 81, 626–632. [Google Scholar] [CrossRef] [PubMed]
- Watnick, P.; Kolter, R. Biofilm, city of microbes. J. Bacteriol. 2000, 182, 2657–2679. [Google Scholar] [CrossRef]
- Flemming, H.C.; Neu, T.R.; Wozniak, D.J. The EPS matrix: The “house of biofilm cells”. J. Bacteriol. 2007, 189, 7945–7947. [Google Scholar] [CrossRef] [PubMed]
- Zhang, P. Compositions and Surface Characteristic of Microbial Extracellular Polymeric Substances in Wastewater Treatment. Ph.D. Thesis, Chongqing University, Chongqing, China, 2016. [Google Scholar]
- Sun, H.W.; Chen, C.Z.; Wu, C.F.; Zhao, H.N.; Yu, X.; Fang, X.H. Influence of operating modes for the alternating anoxic/oxic process on biological nitrogen removal and extracellular polymeric substances of activated sludge. Environ. Sci. 2018, 39, 256–262. [Google Scholar]
- Ye, F.X.; Ye, Y.F.; Li, Y. Effect of C/N ratio on extracellular polymeric substances (EPS) and physicochemical properties of activated sludge flocs. J. Hazard. Mater. 2011, 188, 37–43. [Google Scholar] [CrossRef] [PubMed]
- Wang, L.L.; Zhao, L.; Tan, X.; Yan, B. Influence of different carbon source and ratio of carbon and nitrogen for water denitrification. Environ. Protec. Sci. 2004, 30, 15–18. [Google Scholar]
- Wei, F.S. The Standard Methods for the Examination of Water and Wastewater, 4th ed.; China Environmental Science Press: Beijing, China, 2002. [Google Scholar]
- Li, Z.G.; Luo, Y.M.; Teng, Y. The Research Methods of Soil and Environmental Microorganism; Science Press: Beijing, China, 2008. [Google Scholar]
- Gu, C.C.; Guo, Y.H.; Sun, X.C.; Liu, Z.H.; Xue, G.; Jia, H.Z.; Gao, P. Comparative study on extracellular polymeric substance extraction method for biofilms in biological aerated filter. J. Donghua Univ. (Nat. Sci.) 2017, 43, 720–726. [Google Scholar]
- Herbert, D.; Philipps, P.J.; Strange, R.E. Carbonhydrate analysis. Methods Enzymol. 1971, 5B, 265–277. [Google Scholar]
- Wang, F.; Luo, L.X.; Liu, H.; Li, X.N.; Lu, L.B.; Yang, X.M. Study on the contaminant removal efficiency of rapid infiltration pond in constructed rapid infiltration system. Environ. Pollut. Control 2013, 35, 58–63. [Google Scholar]
- Zhang, J.; Huang, X.; Wei, J.; Hu, H.Y.; Shi, H.C. Nitrogen and phosphorus removal mechanism in subsurface wastewater infiltration system. China Environ. Sci. 2002, 22, 438–441. [Google Scholar]
- Hou, L.; Xia, L.; Ma, T.; Zhang, Y.Q.; Zhou, Y.Y.; He, X.G. Achieving short-cut nitrification and denitrification in modified intermittently aerated constructed wetland. Bioresour. Technol. 2017, 232, 10–17. [Google Scholar] [CrossRef] [PubMed]
- Fan, J.; Wang, W.; Zhang, B.; Guo, Y.; Ngo, H.H.; Guo, W.; Zhang, J.; Wu, H. Nitrogen removal in intermittently aerated vertical flow constructed wetlands: Impact of influent COD/N ratios. Bioresour. Technol. 2013, 143, 461–466. [Google Scholar] [CrossRef] [PubMed]
- Zhang, Z.L. Selection of External Carbon Sources for Denitrification. Master’s Thesis, Harbin Institute of Technology, Harbin, China, 2009. [Google Scholar]
- Yan, N.; Jin, X.B.; Zang, J.Q. A comparison between the processes of denitrification with glucose and methanol as carbon sourse. J. Shanghai Teach. Univ. Nat. Sci. 2002, 31, 41–44. [Google Scholar]
- Xie, Y.X. Analysis of Running State and Distribution of the Microbial Strain in the Three Stages Constructed Rapid Infiltration System. Master’s Thesis, University of Geosciences, Beijing, China, 2010. [Google Scholar]
- Wang, S.Y.; Qian, F.Y.; Wang, J.F.; Shen, Y.L. Impact of Biodegradable Organic Matter on the Functional Microbe Activities in Partial Nitrification Granules. Environ. Sci. 2017, 38, 269–275. [Google Scholar]
- Lv, J.P.; Wang, Y.Q.; Zhong, C.; Li, Y.C.; Hao, W.; Zhu, J.R. The effect of quorum sensing and extracellular proteins on the microbial attachment of aerobic granular activated sludge. Bioresour. Technol. 2014, 152, 53–58. [Google Scholar] [CrossRef] [PubMed]
- Danese, P.N.; Pratt, L.A.; Kolter, R. Exopolysaccharide production is required for development of Escherichia coli K-12 biofilm architecture. J. Bacteriol. 2000, 182, 3593–3596. [Google Scholar] [CrossRef] [PubMed]








| Water Quality Parameters | Mean Concentration (mg/L) |
|---|---|
| Chemical Oxygen Demand (COD) | 268.3 ± 20.0 |
| NH4+-N | 50.4 ± 3.5 |
| NO3−-N | 2.6 ± 0.3 |
| NO2−-N | 0.039 ± 0.06 |
| Total nitrogen (TN) | 60.8 ± 2.0 |
| pH | 8.2 |
© 2018 by the authors. Licensee MDPI, Basel, Switzerland. This article is an open access article distributed under the terms and conditions of the Creative Commons Attribution (CC BY) license (http://creativecommons.org/licenses/by/4.0/).
Share and Cite
Fang, Q.; Xu, W.; Xia, G.; Pan, Z. Effect of C/N Ratio on the Removal of Nitrogen and Microbial Characteristics in the Water Saturated Denitrifying Section of a Two-Stage Constructed Rapid Infiltration System. Int. J. Environ. Res. Public Health 2018, 15, 1469. https://doi.org/10.3390/ijerph15071469
Fang Q, Xu W, Xia G, Pan Z. Effect of C/N Ratio on the Removal of Nitrogen and Microbial Characteristics in the Water Saturated Denitrifying Section of a Two-Stage Constructed Rapid Infiltration System. International Journal of Environmental Research and Public Health. 2018; 15(7):1469. https://doi.org/10.3390/ijerph15071469
Chicago/Turabian StyleFang, Qinglin, Wenlai Xu, Gonghan Xia, and Zhicheng Pan. 2018. "Effect of C/N Ratio on the Removal of Nitrogen and Microbial Characteristics in the Water Saturated Denitrifying Section of a Two-Stage Constructed Rapid Infiltration System" International Journal of Environmental Research and Public Health 15, no. 7: 1469. https://doi.org/10.3390/ijerph15071469
APA StyleFang, Q., Xu, W., Xia, G., & Pan, Z. (2018). Effect of C/N Ratio on the Removal of Nitrogen and Microbial Characteristics in the Water Saturated Denitrifying Section of a Two-Stage Constructed Rapid Infiltration System. International Journal of Environmental Research and Public Health, 15(7), 1469. https://doi.org/10.3390/ijerph15071469
