Incentive Strategies for Low-Carbon Supply Chains with Asymmetric Information of Carbon Reduction Efficiency
Abstract
1. Introduction
2. Literature Review
3. Preliminaries and the Basic Model
3.1. Preliminaries
3.2. Basic Model with Information Symmetry
4. Information Asymmetry
4.1. Pooling Equilibrium Model under Information Asymmetry of Carbon Reduction Efficiency
4.2. Separating Equilibrium Model under the Information Asymmetry of Carbon Reduction Efficiency
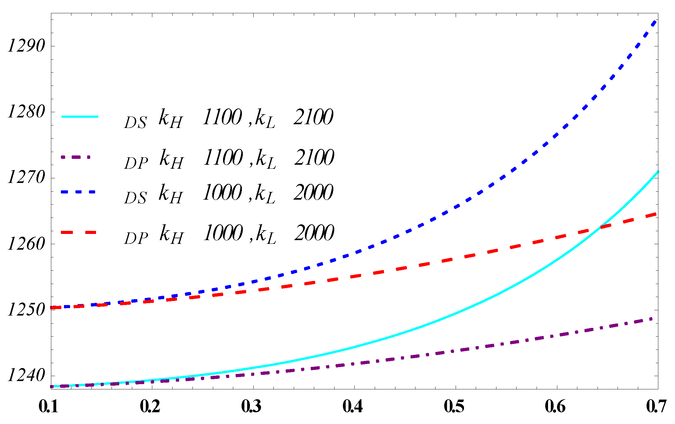
5. Numerical Analysis
5.1. Influence of on the Profits of the Designer and Manufacturer
5.2. The Impact of on the Level of Carbon Reduction
5.3. Influence of on the Carbon Reduction Level
6. Conclusions
Author Contributions
Funding
Acknowledgments
Conflicts of Interest
Appendix A
Appendix A.1. Proof for Proposition 1
Appendix A.2. Proof for Proposition 2
Appendix A.3. Proof for Proposition 4
References
- Magazzino, C. The relationship among economic growth, CO2 emissions, and energy use in the APEC countries: A panel VAR approach. Environ. Syst. Decis. 2017, 37, 1–14. [Google Scholar] [CrossRef]
- Benjaafar, S.; Li, Y.; Daskin, M. Carbon Footprint and the Management of Supply Chains: Insights from Simple Models. IEEE Trans. Autom. Sci. Eng. 2013, 10, 99–116. [Google Scholar] [CrossRef]
- Lee, K.H. Integrating carbon footprint into supply chain management: The case of Hyundai Motor Company (HMC) in the automobile industry. J. Clean. Prod. 2011, 19, 1216–1223. [Google Scholar] [CrossRef]
- Du, S.; Hu, L.; Wang, L. Low-carbon supply policies and supply chain performance with carbon concerned demand. Ann. Oper. Res. 2015, 255, 1–22. [Google Scholar] [CrossRef]
- Du, S.; Hu, L.; Song, M. Production optimization considering environmental performance and preference in the cap-and-trade system. J. Clean. Prod. 2016, 112, 1600–1607. [Google Scholar] [CrossRef]
- He, L.; Zhao, D.; Xia, L. Game Theoretic Analysis of Supply Chains Emission Abatement Considering Vertical Incentives and Channel Structures. Sustainability 2015, 7, 4280–4309. [Google Scholar] [CrossRef]
- He, L.; Xu, Z.; Niu, Z. Joint Optimal Production Planning for Complex Supply Chains Constrained by Carbon Emission Abatement Policies. Discret. Dyn. Nat. Soc. 2014. [Google Scholar] [CrossRef]
- He, L.; Zhang, X.; Wang, Q.; Hu, C. Game theoretic analysis of supply chain based on mean-variance model in cap-and-trade system. Adv. Prod. Eng. Manag. 2018, 13, 333–344. [Google Scholar]
- Huawei-Sustainability-Report. Supplier Environmental Performance. Available online: https://www.huawei.com/en/about-huawei/sustainability/sustainability-report (accessed on 10 August 2018).
- Liang, Y. Apple Applauds China’s Support and Commitment to Clean Energy. Available online: http://news.xinhuanet.com/english/2017-06/07/c_136347451.htm (accessed on 10 August 2018).
- Siemens-Sustainability-Information. Sustainability at Siemens. Available online: https://www.siemens.com/investor/pool/en/investor_relations/siemens_sustainability_information2016.pdf (accessed on 10 August 2018).
- Thomsen, M. Lenovo: For Sustainable Development, We Are Not Just Talking About It. Available online: http://www.sohu.com/a/136095766_351332 (accessed on 10 August 2018).
- Rodrigo, E.; Víctor Hugo, M.; Constanza, S.; Cecilia, W. Willingness to pay for carbon footprint on foods. Br. Food J. 2014, 116, 186–196. [Google Scholar]
- Cao, E.; Ma, Y.; Wan, C.; Lai, M. Contracting with asymmetric cost information in a dual-channel supply chain. Oper. Res. Lett. 2013, 41, 410–414. [Google Scholar] [CrossRef]
- Du, S.; Tang, W.; Song, M. Low-carbon production with low-carbon premium in cap-and-trade regulation. J. Clean. Prod. 2016, 134, 652–662. [Google Scholar] [CrossRef]
- Huang, S.; Yang, J. Information acquisition and transparency in a supply chain with asymmetric production cost information. Int. J. Prod. Econ. 2016, 182, 449–464. [Google Scholar] [CrossRef]
- Ma, P.; Shang, J.; Wang, H. Enhancing corporate social responsibility: Contract design under information asymmetry. Omega 2016, 67, 19–30. [Google Scholar] [CrossRef]
- Agrell, P.J.; Bogetoft, P. Decentralization Policies for Supply Chain Investments under Asymmetric Information. Managerial Decis. Econ. 2017, 38, 394–408. [Google Scholar] [CrossRef]
- Mahadevan, B.; Hazra, J.; Jain, T. Services outsourcing under asymmetric cost information. Eur. J. Oper. Res. 2017, 257, 456–467. [Google Scholar] [CrossRef]
- Ma, X.; Ho, W.; Ji, P.; Talluri, S. Contract Design with Information Asymmetry in a Supply Chain under an Emissions Trading Mechanism. Decis. Sci. 2017, 49, 121–153. [Google Scholar] [CrossRef]
- Krishnan, S.A.; Manu, G. Strategic Information Management under Leakage in a Supply Chain. Manag. Sci. 2009, 55, 438–452. [Google Scholar]
- Kong, G.; Rajagopalan, S.; Zhang, H. Revenue Sharing and Information Leakage in a Supply Chain. Manag. Sci. 2012, 59, 556–572. [Google Scholar] [CrossRef]
- Qin, Y.; Wei, G.; Dong, J.X. The signaling game model under asymmetric fairness-concern information. Cluster Comput. 2017, 1–16. [Google Scholar] [CrossRef]
- Beer, R.; Ahn, H.S.; Leider, S. Can Trustworthiness in a Supply Chain Be Signaled? Manag. Sci. 2017, 131, 19–34. [Google Scholar]
- UNFCCC. Available online: https://en.wikipedia.org/wiki/United_Nations_Framework_Convention_on_Climate_Change (accessed on 10 August 2018).
- Taticchi, P.; Garengo, P.; Nudurupati, S.S.; Tonelli, F.; Pasqualino, R. A review of decision-support tools and performance measurement and sustainable supply chain management. Int. J. Prod. Res. 2014, 53, 6473–6494. [Google Scholar] [CrossRef]
- Eskandarpour, M.; Dejax, P.; Miemczyk, J.; Péton, O. Sustainable supply chain network design: An optimization-oriented review. Omega 2015, 54, 11–32. [Google Scholar] [CrossRef]
- Dubey, R.; Gunasekaran, A.; Papadopoulos, T.; Childe, S.J.; Shibin, K.T.; Wamba, S.F. Sustainable supply chain management: Framework and further research directions. J. Clean. Prod. 2017, 142, 1119–1130. [Google Scholar] [CrossRef]
- Reefke, H.; Sundaram, D. Key themes and research opportunities in sustainable supply chain management—Identification and evaluation. Omega 2017, 66, 195–211. [Google Scholar] [CrossRef]
- Das, C.; Jharkharia, S. Low carbon supply chain: A state-of-the-art literature review. J. Manuf. Technol. Manag. 2018, 29, 398–428. [Google Scholar] [CrossRef]
- Nematollahi, M.; Hosseini-Motlagh, S.M.; Heydari, J. Coordination of social responsibility and order quantity in a two-echelon supply chain: A collaborative decision-making perspective. Int. J. Prod. Econ. 2017, 184, 107–121. [Google Scholar] [CrossRef]
- Panda, S.; Modak, N.M.; Pradhan, D. Corporate social responsibility, channel coordination and profit division in a two-echelon supply chain. Int. J. Manag. Sci. Eng. Manag. 2016, 11, 22–33. [Google Scholar] [CrossRef]
- Li, J.; Su, Q.; Ma, L. Production and transportation outsourcing decisions in the supply chain under single and multiple carbon policies. J. Clean. Prod. 2017, 141, 1109–1122. [Google Scholar] [CrossRef]
- Park, S.J.; Cachon, G.P.; Lai, G.; Seshadri, S. Supply Chain Design and Carbon Penalty: Monopoly vs. Monopolistic Competition. Prod. Oper. Manag. 2015, 24, 1494–1508. [Google Scholar]
- Wang, Q.; Zhao, D.; He, L. Contracting emission reduction for supply chains considering market low-carbon preference. J. Clean. Prod. 2016, 120, 72–84. [Google Scholar] [CrossRef]
- Bazan, E.; Jaber, M.Y.; Zanoni, S. Carbon emissions and energy effects on a two-level manufacturer-retailer closed-loop supply chain model with remanufacturing subject to different coordination mechanisms. Int. J. Prod. Econ. 2016, 183, 394–408. [Google Scholar] [CrossRef]
- Echeverrı’a, R.; Moreira, V.C.H.; Sepu’lveda, C.; Wittwer, C. Willingness to pay for carbon footprint on foods. Br. Food J. 2014, 116, 186–196. [Google Scholar] [CrossRef]
- Loo, E.J.V.; Caputo, V.; Nayga, R.M.N., Jr. Sustainability labels on coffee: Consumer preferences, willingness-to-pay and visual attention to attributes. Ecol. Econ. 2015, 118, 215–225. [Google Scholar]
- Vecchio, R.; Annunziata, A. Willingness-to-pay for sustainability-labelled chocolate: An experimental auction approach. J. Clean. Prod. 2015, 86, 335–342. [Google Scholar] [CrossRef]
- Nordhaus, W.D. To Slow or Not to Slow: The Economics of The Greenhouse Effect. Econ. J. 1991, 101, 920–937. [Google Scholar] [CrossRef]
- Liuabc, Z. Consumer environmental awareness and competition in two-stage supply chains. Eur. J. Oper. Res. 2012, 218, 602–613. [Google Scholar]
- D’Aspremont, C.; Jacquemin, A. Cooperative and Noncooperative R & D in Duopoly with Spillovers. Am. Econ. Rev. 1988, 78, 1133–1137. [Google Scholar]
- Laffont, J.-J.; Martimort, D. The Theory of Incentives: The Principal Agent Model; Princeton University Press: Princeton, NJ, USA, 2009. [Google Scholar]
- Chen, F. Information sharing and supply chain coordination. Handb. Oper. Res. Manag. Sci. 2003, 11, 341–421. [Google Scholar]






| Notations | Description |
| The base demand market size | |
| The price-sensitive coefficient | |
| The influence of carbon reduction level on the demand | |
| Investment coefficient of carbon reduction | |
| High-efficiency manufacturer of carbon reduction | |
| Low-efficiency manufacturer of carbon reduction | |
| The probability that the manufacturer belongs to the high-efficiency | |
| Decision Variables | Description |
| Retail price per unit product of manufacturer | |
| Wholesale price per unit product of designer | |
| Carbon emission level of manufacturer | |
| The fixed payment charged by designer |
© 2018 by the authors. Licensee MDPI, Basel, Switzerland. This article is an open access article distributed under the terms and conditions of the Creative Commons Attribution (CC BY) license (http://creativecommons.org/licenses/by/4.0/).
Share and Cite
Wang, Q.; He, L. Incentive Strategies for Low-Carbon Supply Chains with Asymmetric Information of Carbon Reduction Efficiency. Int. J. Environ. Res. Public Health 2018, 15, 2736. https://doi.org/10.3390/ijerph15122736
Wang Q, He L. Incentive Strategies for Low-Carbon Supply Chains with Asymmetric Information of Carbon Reduction Efficiency. International Journal of Environmental Research and Public Health. 2018; 15(12):2736. https://doi.org/10.3390/ijerph15122736
Chicago/Turabian StyleWang, Qinpeng, and Longfei He. 2018. "Incentive Strategies for Low-Carbon Supply Chains with Asymmetric Information of Carbon Reduction Efficiency" International Journal of Environmental Research and Public Health 15, no. 12: 2736. https://doi.org/10.3390/ijerph15122736
APA StyleWang, Q., & He, L. (2018). Incentive Strategies for Low-Carbon Supply Chains with Asymmetric Information of Carbon Reduction Efficiency. International Journal of Environmental Research and Public Health, 15(12), 2736. https://doi.org/10.3390/ijerph15122736
