The Association between Ambient Air Pollution and Allergic Rhinitis: Further Epidemiological Evidence from Changchun, Northeastern China
Abstract
:1. Introduction
2. Materials and Methods
2.1. Air Pollution and Meteorological Data
2.2. Daily Number of AR Outpatients
2.3. Data Analysis
3. Results
3.1. General Statistical Analysis
3.2. Temporal Patterns of Outpatients and Air Pollutants
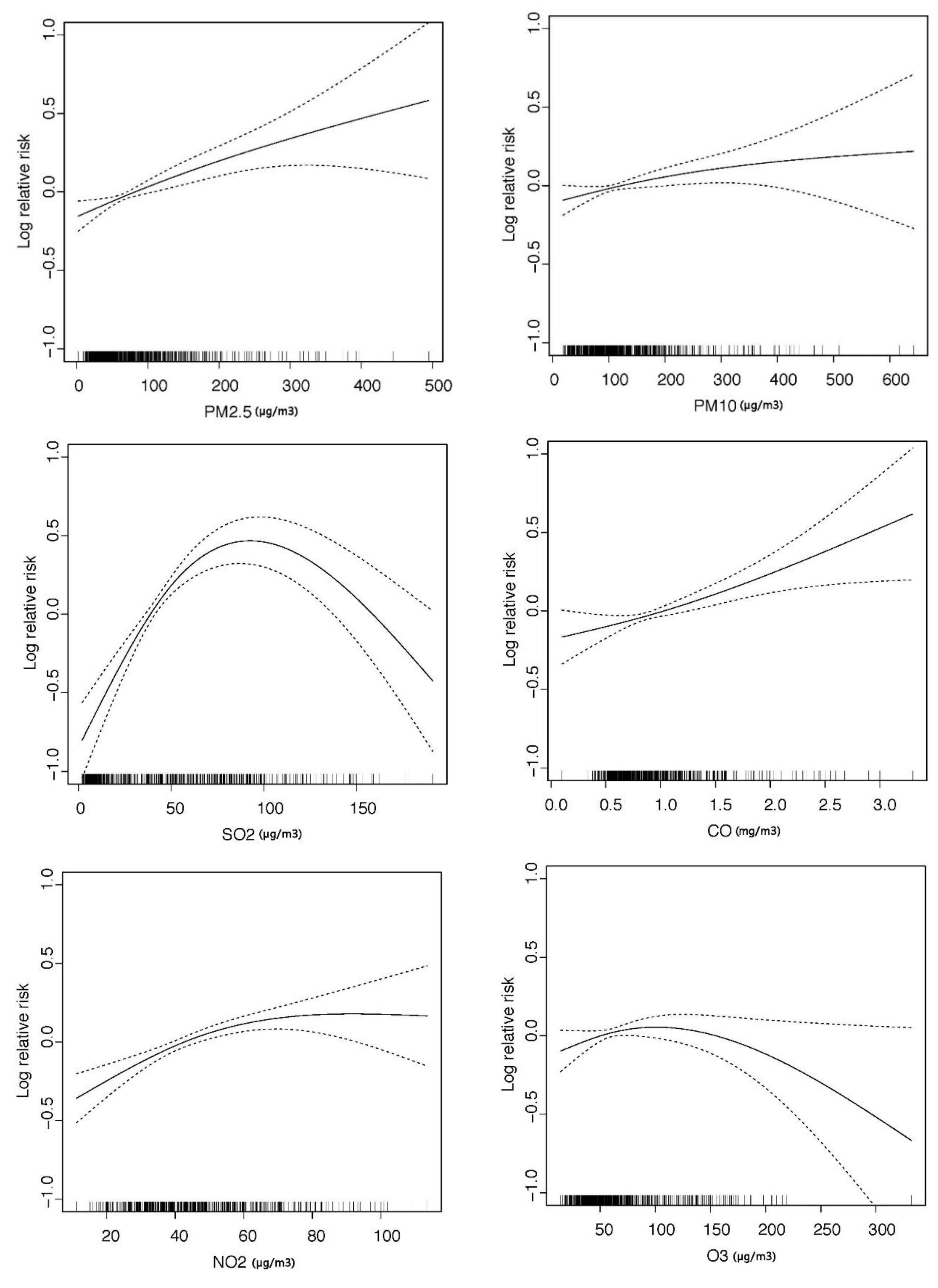
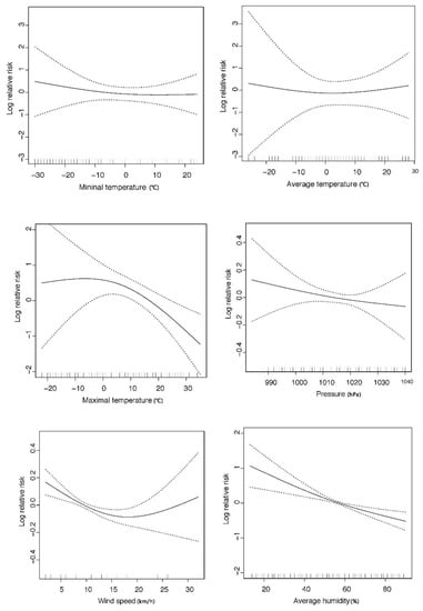
3.3. Exposure-Response Associations
3.4. Lag Effects of Air Pollutants on AR
4. Discussion
5. Conclusions
Supplementary Materials
Acknowledgments
Author Contributions
Conflicts of Interest
References
- Zhang, Q.; Qiu, M.; Lai, K.; Zhong, N. Cough and environmental air pollution in China. Pulm. Pharmacol. Ther. 2015, 35, 132–136. [Google Scholar] [CrossRef] [PubMed]
- Greiner, A.N.; Meltzer, E.O. Overview of the treatment of allergic rhinitis and nonallergic rhinopathy. Proc. Am. Thorac. Soc. 2011, 8, 121–131. [Google Scholar] [CrossRef] [PubMed]
- Adriana, I.D.; Valero, A.L.; Mullol, J. Comparative analysis of allergic rhinitis in children and adults. Curr. Allergy Asthma Rep. 2013, 13, 142–151. [Google Scholar]
- Schoenwetter, W.F.; Dupclay, L.; Appajosyula, S.; Botteman, M.F.; Pashos, C.L. Economic impact and quality-of-life burden of allergic rhinitis. Curr. Med. Res. Opin. 2004, 20, 305–317. [Google Scholar] [CrossRef] [PubMed]
- Katelaris, C.H.; Lee, B.W.; Potter, P.C.; Maspero, J.F.; Cingi, C.; Lopatin, A.; Saffer, M.; Xu, G.; Walters, R.D. Prevalence and diversity of allergic rhinitis in regions of the world beyond Europe and North America. Clin. Experiment. Allergy 2012, 42, 186–207. [Google Scholar] [CrossRef] [PubMed]
- Zhang, Y.; Zhang, L. Prevalence of allergic rhinitis in China. Allergy Asthma Immunol. Res. 2014, 6, 105–113. [Google Scholar] [CrossRef] [PubMed]
- Zhang, Y.P.; Li, B.Z.; Huang, C.; Yang, X.; Qian, H.; Deng, Q.; Zhao, Z.H.; Li, A.G.; Zhao, J.N.; Sundell, J.; et al. Ten cities cross-sectional questionnaire survey of children asthma and other allergies in China. Chin. Sci. Bull. 2013, 58, 4182–4189. [Google Scholar] [CrossRef]
- Lindgren, A.; Stroh, E.; Nihlén, U.; Montnémery, P.; Axmon, A.; Jakobsson, K. Traffic exposure associated with allergic asthma and allergic rhinitis in adults. A cross-sectional study in southern Sweden. Int. J. Health Geogr. 2009, 8, 25. [Google Scholar] [CrossRef] [PubMed]
- Kim, B.; Kwon, W.; Seo, H.; Kim, H.B.; Lee, S.Y.; Park, K.S.; Yu, J.; Kim, H.C.; Leem, J.H.; Sakong, J.; et al. Association of ozone exposure with asthma, allergic rhinitis, and allergic sensitization. Ann. Allergy Asthma Immunol. 2011, 107, 214–219. [Google Scholar] [CrossRef] [PubMed]
- Pénard-Morand, C.; Charpin, D.; Raherison, C.; Kopferschmitt, C.; Caillaud, D.; Lavaud, F.; Annesi-Maesano, I. Long-term exposure to background air pollution related to respiratory and allergic health in schoolchildren. Clin. Exp. Allergy 2005, 35, 1279–1287. [Google Scholar] [CrossRef] [PubMed]
- Kim, H.H.; Lee, C.S.; Jeon, J.M.; Yu, S.D.; Lee, C.W.; Park, J.H.; Shin, D.C.; Lim, Y.W. Analysis of the association between air pollution and allergic diseases exposure from nearby sources of ambient air pollution within elementary school zones in four Korean cities. Environ. Sci. Pollut. Res. 2013, 20, 4831–4846. [Google Scholar] [CrossRef] [PubMed]
- Ramadour, M.; Burel, C.; Lanteaume, A.; Vervloet, D.; Charpin, D.; Brisse, F.; Dutau, H.; Charpin, D. Prevalence of asthma and rhinitis in relation to long-term exposure to gaseous air pollutants. Allergy 2000, 55, 1163–1169. [Google Scholar] [CrossRef] [PubMed]
- Nordling, E.; Berglind, N.; Melén, E.; Emenius, G.; Hallberg, J.; Nyberg, F.; Pershagen, G.; Svartengren, M.; Wickman, M.; Bellander, T. Traffic-related air pollution and childhood respiratory symptoms, function and allergies. Epidemiology 2008, 19, 401–408. [Google Scholar] [CrossRef] [PubMed]
- Wang, K.Y.; Chau, T.T. An association between air pollution and daily outpatient visits for respiratory disease in a heavy industry area. PLoS ONE 2013, 8, e75220. [Google Scholar] [CrossRef] [PubMed]
- D’amato, G.; Cecchi, L.; D’amato, M.; Liccardi, G. Urban air pollution and climate change as environmental risk factors of respiratory allergy: An update. J. Investig. Allergol. Clin. Immunol 2010, 20, 95–102. [Google Scholar] [PubMed]
- Leung, T.F.; Wai-san Ko, F.; Wong, G.W. Roles of pollution in the prevalence and exacerbations of allergic diseases in Asia. J. Allergy Clin. Immunol. 2012, 129, 42–47. [Google Scholar] [CrossRef] [PubMed]
- Hwang, B.F.; Jaakkola, J.J.; Lee, Y.L.; Lin, Y.C.; Guo, Y.L. Relation between air pollution and allergic rhinitis in Taiwanese schoolchildren. Respir. Res. 2006, 7, 23. [Google Scholar] [CrossRef] [PubMed]
- Lee, Y.L.; Shaw, C.K.; Su, H.J.; Lai, J.S.; Ko, Y.C.; Huang, S.L.; Sung, F.C.; Guo, Y.L. Climate, traffic-related air pollutants and allergic rhinitis prevalence in middle-school children in Taiwan. Eur. Respir. J. 2003, 21, 964–970. [Google Scholar] [CrossRef] [PubMed]
- Ng, T.P.; Tan, W.C. Epidemiology of allergic rhinitis and its associated risk factors in Singapore. Int. J. Epidemiol. 1994, 23, 553–558. [Google Scholar] [CrossRef] [PubMed]
- Zhang, F.; Wang, W.; Lv, J.; Krafft, T.; Xu, J. Time-series studies on air pollution and daily outpatient visits for allergic rhinitis in Beijing, China. Sci. Total Environ. 2011, 409, 2486–2492. [Google Scholar] [CrossRef] [PubMed]
- Liu, M.M.; Wang, D.; Zhao, Y.; Liu, Y.Q.; Huang, M.M.; Liu, Y.; Sun, J.; Ren, W.H.; Zhao, Y.D.; He, Q.C.; et al. Effects of outdoor and indoor air pollution on respiratory health of Chinese children from 50 kindergartens. J. Epidemiol. 2013, 23, 280–287. [Google Scholar] [CrossRef] [PubMed]
- Lu, C.; Deng, Q.H.; Ou, C.Y.; Liu, W.W.; Sundell, J. Effects of ambient air pollution on allergic rhinitis among preschool children in Changsha, China. Chin. Sci. Bull. 2013, 58, 4252–4258. [Google Scholar] [CrossRef]
- Peng, R.D.; Dominici, F.; Pastor-Barriuso, R.; Zeger, S.L.; Samet, J.M. Seasonal analyses of air pollution and mortality in 100 U.S. cities. Am. J. Epidemiol. 2005, 161, 585–594. [Google Scholar] [CrossRef] [PubMed]
- Ito, K.; Mathes, R.; Ross, Z.; Nádas, A.; Thurston, G.; Matte, T. Fine particulate matter constituents associated with cardiovascular hospitalizations and mortality in New York City. Environ. Health Perspect. 2011, 119, 467. [Google Scholar] [CrossRef] [PubMed]
- Zhang, F.; Krafft, T.; Ye, B.; Zhang, J.; Luo, H.; Li, M.; Zhang, Y.; Zhou, L.; Xu, J.; Wang, W. The lag effects and seasonal differences of air pollutants on allergic rhinitis in Beijing. Sci. Total Environ. 2013, 442, 172–176. [Google Scholar] [CrossRef] [PubMed]
- Hajat, S.; Haines, A.; Atkinson, R.W.; Bremner, S.A.; Anderson, H.R.; Emberlin, J. Association between air pollution and daily consultations with general practitioners for allergic rhinitis in London, United Kingdom. Am. J. Epidemiol. 2001, 153, 704–714. [Google Scholar] [CrossRef] [PubMed]
- Dominici, F.; McDermott, A.; Zeger, S.L.; Samet, J.M. On the use of generalized additive models in time-series studies of air pollution and health. Am. J. Epidemiol. 2002, 156, 193–203. [Google Scholar] [CrossRef] [PubMed]
- Wood, S. Generalized Additive Models: An Introduction with R; CRC Press: Boca Raton, FL, USA, 2006. [Google Scholar]
- Qian, Z.; He, Q.; Lin, H.M.; Kong, L.; Liao, D.; Dan, J.; Bentley, C.M.; Wang, B. Association of daily cause-specific mortality with ambient particle air pollution in Wuhan, China. Environ. Res. 2007, 105, 380–389. [Google Scholar] [CrossRef] [PubMed]
- Welty, L.; Zeger, S.L. Are the acute effects of particulate matter on mortality in the National Morbidity, Mortality, and Air Pollution Study the result of inadequate control for weather and season? A sensitivity analysis using flexible distributed lag models. Am. J. Epidemiol. 2005, 162, 80–88. [Google Scholar] [CrossRef] [PubMed]
- Gasparrini, A.; Armstrong, B.; Kenward, M.G. Distributed lag non-linear models. Stat. Med. 2010, 29, 2224–2234. [Google Scholar] [CrossRef] [PubMed]
- Chan, C.K.; Yao, X. Air pollution in mega cities in China. Atmos. Environ. 2008, 42, 1–42. [Google Scholar] [CrossRef]
- Zhang, F.; Krafft, T.; Zhang, D.; Xu, J.; Wang, W. The association between daily outpatient visits for allergic rhinitis and pollen levels in Beijing. Sci. Total Environ. 2012, 417, 39–44. [Google Scholar] [CrossRef] [PubMed]
- Zhao, J.; Bai, J.; Shen, K.; Xiang, L.; Huang, S.; Chen, A.; Huang, Y.; Wang, J.; Ye, R. Self-reported prevalence of childhood allergic diseases in three cities of China: A multicenter study. BMC Public Health 2010, 10, 551. [Google Scholar] [CrossRef] [PubMed]
- Zhang, F.Y.; Xu, J.; Wang, L.; Lu, J.M.; Li, Y.H.; Ni, Y.; Wang, W.Y.; Thomas, K. Air Quality, Patterns and Otolaryngology Health Effects of Air Pollutants in Beijing in 2013. Aerosol Air Qual. Res. 2016, 16, 1464–1472. [Google Scholar] [CrossRef]
- Ma, Y.; Chen, R.; Pan, G.; Xu, X.; Song, W.; Chen, B.; Kan, H. Fine particulate air pollution and daily mortality in Shenyang, China. Sci. Total Environ. 2011, 409, 2473–2477. [Google Scholar] [CrossRef] [PubMed]
- Kan, H.; Chen, B.; Hong, C. Health impact of outdoor air pollution in China: Current knowledge and future research needs. Environ. Health Perspect. 2009, 117, A187. [Google Scholar] [CrossRef] [PubMed]
- Chen, W.; Tong, D.; Zhang, S.; Dan, M.; Zhang, X.; Zhao, H. Temporal variability of atmospheric particulate matter and chemical composition during a growing season at an agricultural site in northeastern China. J. Environ. Sci. 2015, 38, 133–141. [Google Scholar] [CrossRef] [PubMed]
- Shang, Y.; Sun, Z.; Cao, J.; Wang, X.; Zhong, L.; Bi, X.; Li, H.; Liu, W.; Zhu, T.; Huang, W. Systematic review of Chinese studies of short-term exposure to air pollution and daily mortality. Environ. Int. 2013, 54, 100–111. [Google Scholar] [CrossRef] [PubMed]
- Chen, T.M.; Gokhale, J.; Shofer, S.; Kuschner, W.G. Outdoor air pollution: Ozone health effects. Am. J. Med. Sci. 2007, 333, 244–248. [Google Scholar] [CrossRef]
- De Marco, R.; Poli, A.; Ferrari, M.; Accordini, S.; Giammanco, G.; Bugiani, M.; Villani, S.; Ponzio, M.; Bono, R.; Carrozzi, L.; et al. The impact of climate and traffic-related NO2 on the prevalence of asthma and allergic rhinitis in Italy. Clin. Experiment. Allergy 2002, 32, 1405–1412. [Google Scholar] [CrossRef]
- Villeneuve, P.; Doiron, M.S.; Stieb, D.; Dales, R.; Burnett, R.T.; Dugandzic, R. Is outdoor air pollution associated with physician visits for allergic rhinitis among the elderly in Toronto, Canada? Allergy 2006, 61, 750–758. [Google Scholar] [CrossRef] [PubMed]
- Pope, C.A.; Burnett, R.T.; Krewski, D.; Jerrett, M.; Shi, Y.; Calle, E.E.; Thun, M.J. Cardiovascular mortality and exposure to airborne fine particulate matter and cigarette smoke shape of the exposure-response relationship. Circulation 2009, 120, 941–948. [Google Scholar] [CrossRef] [PubMed]
- Wang, H.; Devalia, L.; Duddle, M.; Hamilton, S.A.; Davies, R.J. Effect of six-hour exposure to nitrogen dioxide on early-phase nasal response to allergen challenge in patients with a history of seasonal allergic rhinitis. J. Allergy Clin. Immunol. 1995, 96, 669–676. [Google Scholar] [CrossRef]
- Glück, U.; Gebbers, O. Epithelial changes in seasonal allergic rhinitis throughout the year: Evidence of coexistent air pollution and local secretory IgA deficiency? ORL 2000, 62, 68–75. [Google Scholar] [CrossRef] [PubMed]
- Peden, D.B.; Setzer, R.R.W.; Devlin, R.B. Ozone exposure has both a priming effect on allergen–induced responses and an intrinsic inflammatory action in the nasal airways of perennially allergic asthmatics. Am. J. Respir. Crit. Care Med. 1995, 151, 1336–1345. [Google Scholar] [CrossRef] [PubMed]
- Hwang, B.F.; Jaakkola, J.J. Ozone and other air pollutants and the risk of oral clefts. Environ. Health Perspect. 2008, 116, 1411. [Google Scholar] [CrossRef] [PubMed]
- Ichinose, T.; Hiyoshi, K.; Yoshida, S.; Takano, H.; Inoue, K.; Nishikawa, M.; Mori, I.; Kawazato, H.; Yasuda, A.; Shibamoto, T. Asian sand dust aggravates allergic rhinitis in guinea pigs induced by apanese cedar pollen. Inhal. Toxicol. 2009, 21, 985–993. [Google Scholar] [CrossRef] [PubMed]
- Fukuoka, A.; Matsushita, K.; Morikawa, T.; Takano, H.; Yoshimoto, T. Diesel exhaust particles exacerbate allergic rhinitis in mice by disrupting the nasal epithelial barrier. Clin. Exp. Allergy 2016, 46, 142–152. [Google Scholar] [CrossRef] [PubMed]
- Mösges, R.; Klimek, L. Today’s allergic rhinitis patients are different: New factors that may play a role. Allergy 2007, 62, 969–975. [Google Scholar] [CrossRef] [PubMed]




| Variables | Mean | SD | Max. | Min. | Median | IQR |
|---|---|---|---|---|---|---|
| Number of AR Patients | 21.7 | 24.5 | 177 | 0 | 15 | 12 |
| PM2.5 (μg/m3) | 66.5 | 59 | 495 | 2 | 47.3 | 48.4 |
| PM10 (μg/m3) | 114.4 | 74.4 | 642.4 | 19.5 | 96.5 | 70.4 |
| SO2 (μg/m3) | 37 | 36.9 | 191.3 | 2.4 | 19.1 | 50.6 |
| CO (mg/m3) | 0.93 | 0.4 | 3.3 | 0.1 | 0.8 | 0.46 |
| NO2 (μg/m3) | 43.6 | 16.1 | 113.5 | 11.2 | 40.9 | 20.4 |
| O3 (μg/m3) | 71.1 | 37 | 332.2 | 14.2 | 62.3 | 44.4 |
| MAXT (°C) | 12 | 14.5 | 35 | −22 | 15 | 26 |
| AVET (°C) | 6.3 | 14.3 | 28 | −26 | 9 | 27 |
| MINT (°C) | 0.7 | 14.5 | 24 | −30 | 2 | 26 |
| Dew (°C) | −1.5 | 13.9 | 22 | −31 | −2 | 25 |
| Press (hPa) | 1015 | 9.5 | 1040 | 984 | 1014 | 14 |
| Wind (km/h) | 10.9 | 5.1 | 32 | 2 | 10 | 8 |
| AVEH (%) | 58.5 | 15.3 | 90 | 13 | 60 | 22 |
| PM2.5 | PM10 | SO2 | CO | NO2 | O3 | MAXT | AVET | MINT | DEWP | Press | Wind | AVEH | |
|---|---|---|---|---|---|---|---|---|---|---|---|---|---|
| PM2.5 | 1 | 0.89 ** | 0.64 ** | 0.93 ** | 0.85 ** | −0.23 ** | −0.17 * | −0.23 | −0.27 ** | −0.23 ** | 0.35 ** | −0.14 ** | 0.09 ** |
| 1 | 0.89 ** | 0.17 * | 0.84 ** | 0.21 ** | 0.48 ** | 0.34 ** | 0.36 | 0.35 ** | 0.30 * | 0.06 ** | 0.01 ** | −0.00 ** | |
| PM10 | 1 | 0.38 ** | 0.80 ** | 0.69 ** | −0.018 | 0.073 | 0.01 ** | −0.06 | −0.09 ** | 0.28 ** | −0.03 ** | −0.15 | |
| 1 | 0.39 ** | 0.81 ** | 0.47 ** | 0.42 ** | 0.46 ** | 0.38 ** | 0.28 | 0.18 ** | 0.19 ** | −0.10 ** | −0.26 ** | ||
| SO2 | 1 | 0.68 ** | 0.68 ** | −0.58 ** | −0.64 ** | −0.67 ** | −0.65 ** | −0.53 | 0.41 ** | −0.28 ** | 0.46 ** | ||
| 1 | 0.22 ** | 0.52 ** | 0.26 ** | 0.05 | −0.08 * | −0.19 ** | −0.42 | 0.10 ** | 0.08 ** | −0.64 ** | |||
| CO | 1 | 0.90 ** | −0.30 ** | −0.19 ** | −0.24 ** | −0.27 ** | −0.25 ** | 0.36 | −0.12 ** | 0.07 ** | |||
| 1 | 0.35 ** | 0.42 ** | 0.32 ** | 0.31 ** | 0.28 ** | 0.31 ** | 0.21 | −0.17 ** | 0.10 ** | ||||
| NO2 | 1 | −0.36 ** | −0.18 ** | −0.23 ** | −0.27 ** | −0.27 ** | 0.35 ** | −0.12 | 0.01 ** | ||||
| 1 | −0.14 | 0.22 ** | 0.09 ** | −0.05 ** | −0.12 ** | 0.29 ** | −0.49 | −0.34 | |||||
| O3 | 1 | 0.40 ** | 0.38 ** | 0.34 | 0.31 ** | −0.15 ** | 0.13 ** | −0.22 | |||||
| 1 | 0.54 ** | 0.60 ** | 0.60 ** | 0.40 ** | −0.31 ** | 0.51 | −0.18 | ||||||
| MAXT | 1 | 0.97 * | 0.89 | 0.83 ** | −0.41 * | 0.44 * | −0.54 ** | ||||||
| 1 | 0.93 ** | 0.77 ** | 0.65 | −0.17 ** | −0.02 ** | −0.22 ** | |||||||
| AVET | 1 | 0.97 | 0.87 ** | −0.48 ** | 0.50 ** | −0.51 ** | |||||||
| 1 | 0.94 ** | 0.82 | −0.35 ** | 0.10 | 0.02 ** | ||||||||
| MINT | 1 | 0.84 ** | −0.54 ** | 0.53 ** | −0.46 ** | ||||||||
| 1 | 0.90 * | −0.48 ** | 0.19 | 0.23 ** | |||||||||
| DEWP | 1 | −0.53 ** | 0.38 ** | −0.06 ** | |||||||||
| 1 | −0.37 ** | −0.01 | 0.56 ** | ||||||||||
| Press | 1 | −0.51 ** | 0.10 | ||||||||||
| 1 | −0.39 ** | −0.17 ** | |||||||||||
| Wind | 1 | −0.39 | |||||||||||
| 1 | −0.17 ** | ||||||||||||
| AVEH | 1 | ||||||||||||
| 1 |
| Pollutant | Coefficient β (95% CI) | Relative Risk RR (95% CI) | Percent Change, % (95% CI) |
|---|---|---|---|
| PM2.5 | 0.097 (0.053, 0.140) | 1.102 (1.055, 1.151) | 10.2 (5.5, 15.1) |
| PM10 | 0.048 (0.008, 0.088) | 1.049 (1.008, 1.092) | 4.9 (0.8, 9.2) |
| SO2 | 0.081 (−0.018, 0.181) | 1.085 (0.982, 1.198) | 8.5 (−1.8, 19.8) |
| NO2 | 0.105 (0.057, 0.153) | 1.111 (1.058, 1.165) | 11.1 (5.8, 16.5) |
| CO | −0.023 (−0.098, 0.052) | 0.977 (0.907, 1.053) | −2.3 (−9.3, 5.3) |
| O3 | −0.007 (−0.060, 0.047) | 0.993 (0.941, 1.048) | −0.7 (−5.9, 4.8) |
| Lag | PM2.5 | PM10 | SO2 | NO2 | CO | O3 | ||||||
|---|---|---|---|---|---|---|---|---|---|---|---|---|
| RR | 95% CI | RR | 95% CI | RR | 95% CI | RR | 95% CI | RR | 95% CI | RR | 95% CI | |
| L0 | 1.102 | 1.055–1.151 | 1.049 | 1.008–1.092 | 1.085 | 0.982–1.198 | 1.111 | 1.058–1.165 | 0.977 | 0.907–1.053 | 0.993 | 0.941–1.048 |
| L1 | 1.071 | 1.027–1.117 | 1.029 | 0.991–1.069 | 1.036 | 0.940–1.142 | 1.048 | 1.007–1.091 | 1.008 | 0.938–1.083 | 0.975 | 0.934–1.017 |
| L2 | 1.085 | 1.042–1.130 | 1.048 | 1.011–1.087 | 1.004 | 0.915–1.103 | 1.043 | 1.004–1.083 | 1.026 | 0.956–1.101 | 0.983 | 0.946–1.023 |
| L3 | 1.081 | 1.039–1.125 | 1.049 | 1.012–1.087 | 0.984 | 0.8899–1.078 | 1.047 | 1.009–1.086 | 1.024 | 0.954–1.099 | 0.996 | 0.958–1.035 |
| L4 | 1.08 | 1.038–1.123 | 1.049 | 1.012–1.088 | 1.017 | 0.929–1.113 | 1.049 | 1.011–1.087 | 1.044 | 0.971–1.121 | 1.005 | 0.967–1.044 |
| L5 | 1.081 | 1.039–1.126 | 1.039 | 1.002–1.078 | 1.021 | 0.931–1.120 | 1.05 | 1.012–1.089 | 1.006 | 0.933–1.085 | 0.994 | 0.956–1.033 |
| L6 | 1.078 | 1.035–1.121 | 1.037 | 1.000–1.076 | 1.024 | 0.934–1.124 | 1.025 | 0.988–1.064 | 0.993 | 0.920–1.073 | 1.006 | 0.967–1.045 |
| L0–1 | 1.113 | 1.060–1.169 | 1.053 | 1.006–1.102 | 1.086 | 0.969–1.218 | 1.109 | 1.052–1.168 | 0.992 | 0.912–1.079 | 0.971 | 0.915–1.030 |
| L0–2 | 1.138 | 1.080–1.200 | 1.073 | 1.021–1.127 | 1.075 | 0.950–1.217 | 1.115 | 1.055–1.178 | 1.008 | 0.920–1.105 | 0.965 | 0.908–1.026 |
| L0–3 | 1.156 | 1.094–1.222 | 1.089 | 1.033–1.149 | 1.059 | 0.929–1.207 | 1.129 | 1.066–1.197 | 1.02 | 0.924–1.125 | 0.968 | 0.908–1.032 |
| L0–4 | 1.171 | 1.105–1.241 | 1.104 | 1.044–1.168 | 1.065 | 0.930–1.220 | 1.143 | 1.076–1.214 | 1.037 | 0.934–1.150 | 0.974 | 0.911–1.041 |
| L0–5 | 1.186 | 1.117–1.260 | 1.114 | 1.049–1.182 | 1.072 | 0.931–1.235 | 1.158 | 1.088–1.233 | 1.037 | 0.929–1.157 | 0.971 | 0.906–1.040 |
| L0–6 | 1.199 | 1.127–1.277 | 1.122 | 1.054–1.194 | 1.082 | 0.936–1.252 | 1.164 | 1.089–1.243 | 1.033 | 0.920–1.160 | 0.973 | 0.905–1.046 |
| Variables | Toronto [42] | London [26] | Taiwan [17] | Beijing [25] | Changchun | |||||
|---|---|---|---|---|---|---|---|---|---|---|
| Concentration | RR | Concentration | RR | Concentration | RR | Concentration | RR | Concentration | RR | |
| SO2 (μg/m3) | 12.3 (7.3) | 1.041 | 21.2 (7.8) | −0.003 | 9.2 (5.23) | 1.43 | 44.1 (21.0) | −0.022 | 37.0 (36.9) | 1.023 |
| NO2 (μg/m3) | 47.8 (14.5) | 1.018 | 63.2 (19.7) | 1.017 | 51.9 (15.7) | 1.11 | 52.7 (22.5) | 4.804 | 43.6 (16.1) | 1.069 |
| CO (mg/m3) | 1.3 (0.5) | 1 | 0.9 (0.5) | 1.008 | 0.7 (0.2) | 1.05 | - | - | 1.5 (0.4) | −0.023 |
| O3 (μg/m3) | 59.1 (30.3) | −0.002 | 34.5 (22.7) | −0.005 | 45.5 (6.5) | 1.05 | - | - | 71.1 (37.0) | −0.007 |
| PM2.5 (μg/m3) | 7.7 (3.3) | −0.001 | 12.7 (7.9) | 1.037 | - | - | - | - | 66.5 (59.0) | 1.017 |
| PM10 (μg/m3) | 16.4 (4.9) | −0.004 | 28.5 (13.7) | 1.016 | 55.6 (16.6) | 1 | 116.1 (67.7) | 1.367 | 114.4 (74.4) | 1.007 |
| Temperature | 8.4 (10.5) | 11.9 (5.0) | 23.7 (0.8) | 12.0 (12.3) | 6.3 (14.3) | |||||
| Humidity | 70.2 (12.1) | 70.4 (10.9) | 74.0 (3.0) | 53.3 (19.3) | 58.5 (15.3) | |||||
| Period | 1995−2000 | 1992−1994 | 2000 | 2009.03–2010.03 | 2012–2015 | |||||
| Population | Elderly (≥64 years) | Adults (15−64 years) | Children (6−15 years) | General (all aged) | General (all aged) | |||||
© 2017 by the authors. Licensee MDPI, Basel, Switzerland. This article is an open access article distributed under the terms and conditions of the Creative Commons Attribution (CC BY) license ( http://creativecommons.org/licenses/by/4.0/).
Share and Cite
Teng, B.; Zhang, X.; Yi, C.; Zhang, Y.; Ye, S.; Wang, Y.; Tong, D.Q.; Lu, B. The Association between Ambient Air Pollution and Allergic Rhinitis: Further Epidemiological Evidence from Changchun, Northeastern China. Int. J. Environ. Res. Public Health 2017, 14, 226. https://doi.org/10.3390/ijerph14030226
Teng B, Zhang X, Yi C, Zhang Y, Ye S, Wang Y, Tong DQ, Lu B. The Association between Ambient Air Pollution and Allergic Rhinitis: Further Epidemiological Evidence from Changchun, Northeastern China. International Journal of Environmental Research and Public Health. 2017; 14(3):226. https://doi.org/10.3390/ijerph14030226
Chicago/Turabian StyleTeng, Bo, Xuelei Zhang, Chunhui Yi, Yan Zhang, Shufeng Ye, Yafang Wang, Daniel Q. Tong, and Binfeng Lu. 2017. "The Association between Ambient Air Pollution and Allergic Rhinitis: Further Epidemiological Evidence from Changchun, Northeastern China" International Journal of Environmental Research and Public Health 14, no. 3: 226. https://doi.org/10.3390/ijerph14030226
APA StyleTeng, B., Zhang, X., Yi, C., Zhang, Y., Ye, S., Wang, Y., Tong, D. Q., & Lu, B. (2017). The Association between Ambient Air Pollution and Allergic Rhinitis: Further Epidemiological Evidence from Changchun, Northeastern China. International Journal of Environmental Research and Public Health, 14(3), 226. https://doi.org/10.3390/ijerph14030226
