Heavy Metal Contamination and Health Risk Assessment in the Vicinity of a Tailing Pond in Guangdong, China
Abstract
1. Introduction
2. Samples and Methods
2.1. Study Area
2.2. Sample Collection and Pre-Treatment
2.3. Analysis and Quality Control
2.4. Risk Assessment Methods
2.4.1. Calculation of Heavy Metal Intake
2.4.2. Human Health Risk Assessment
3. Results and Discussion
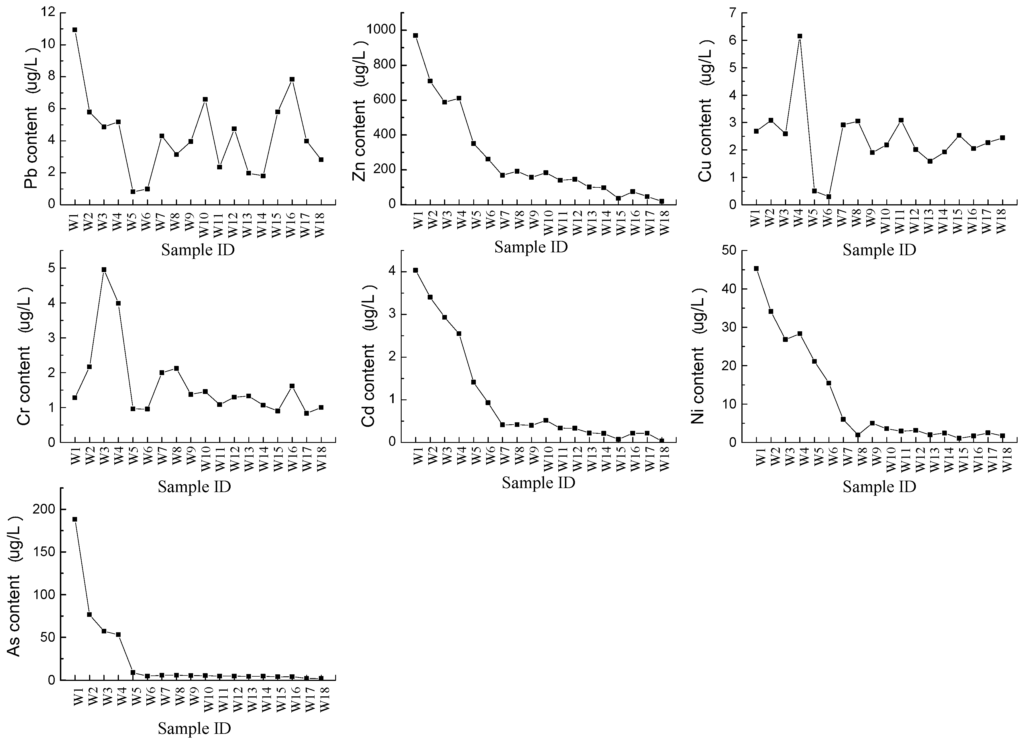
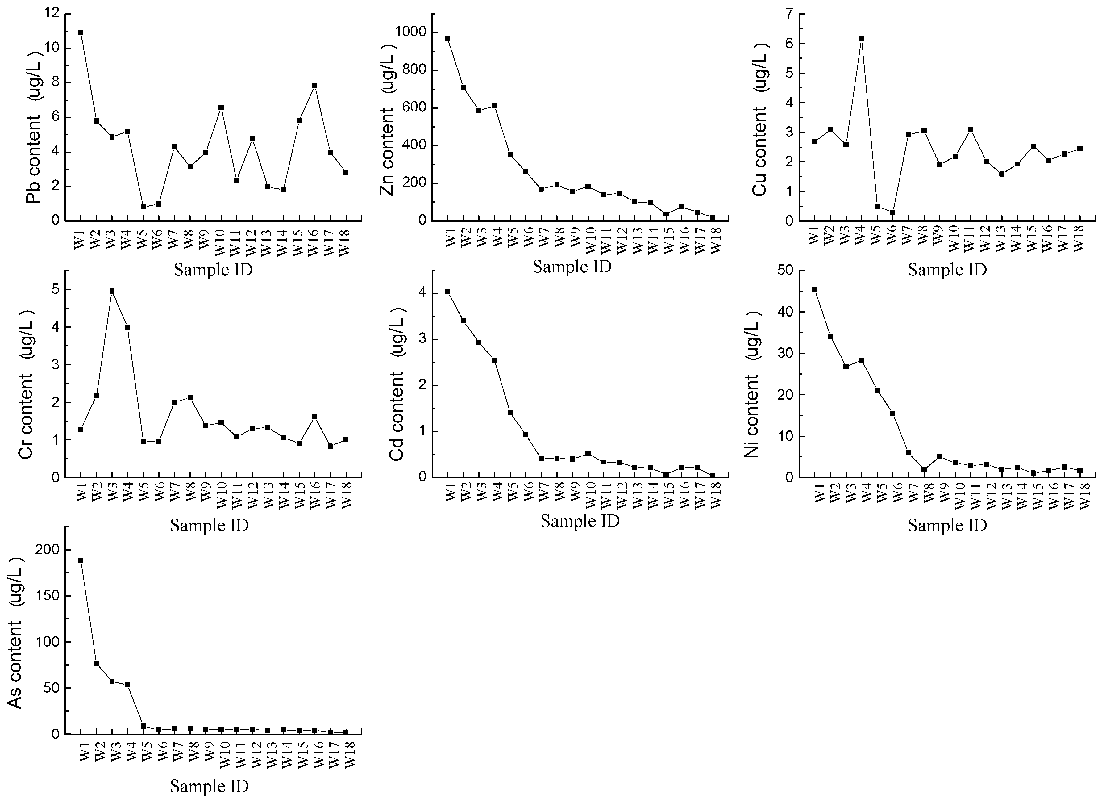
3.1. Concentration of Heavy Metals in Surface Water and Groundwater
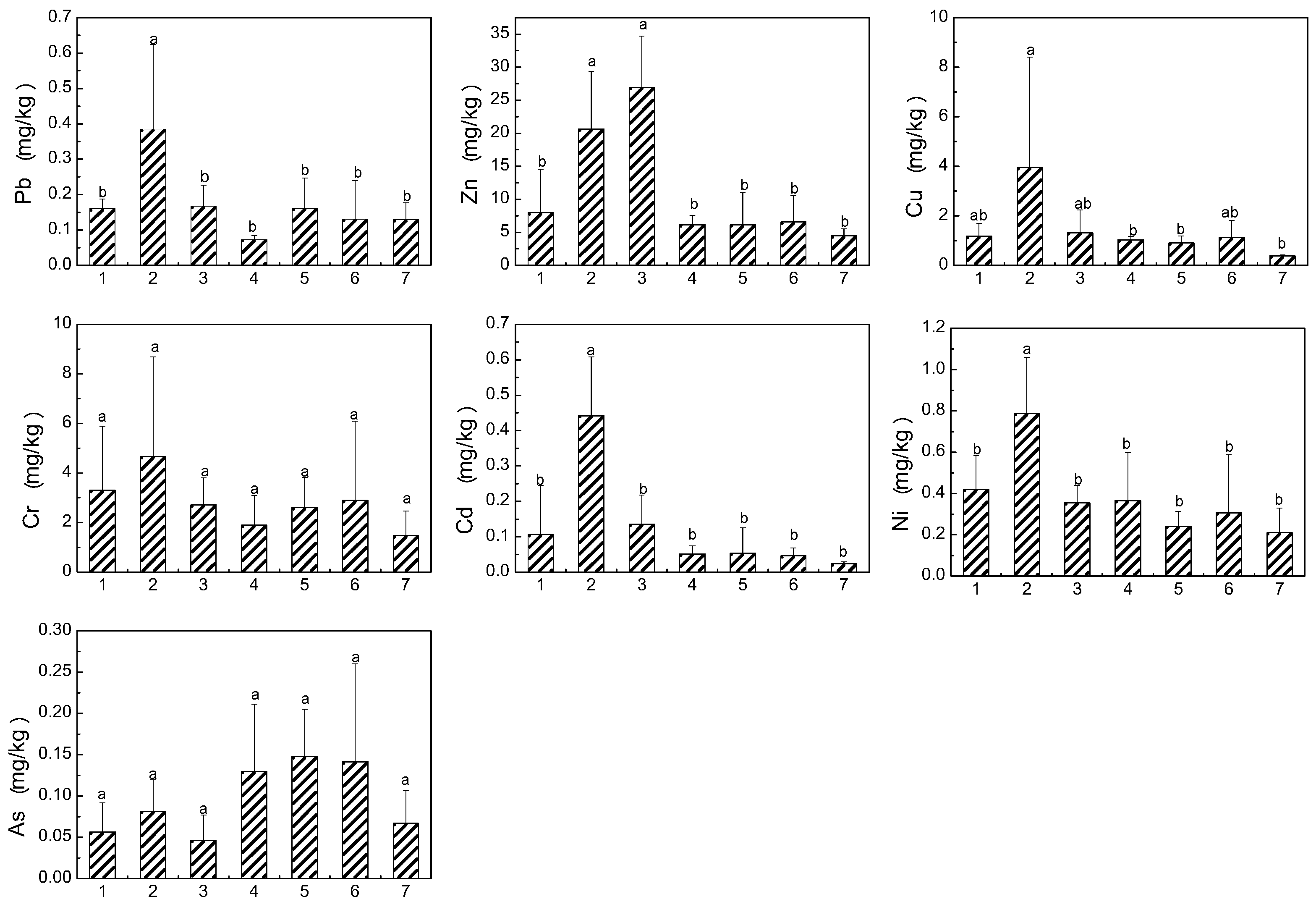
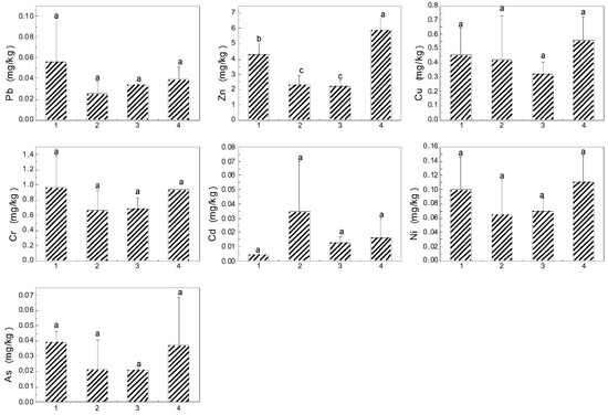
3.2. Heavy Metals in Soils
3.2.1. Physicochemical Parameters
3.2.2. Heavy Metal Levels in Soil
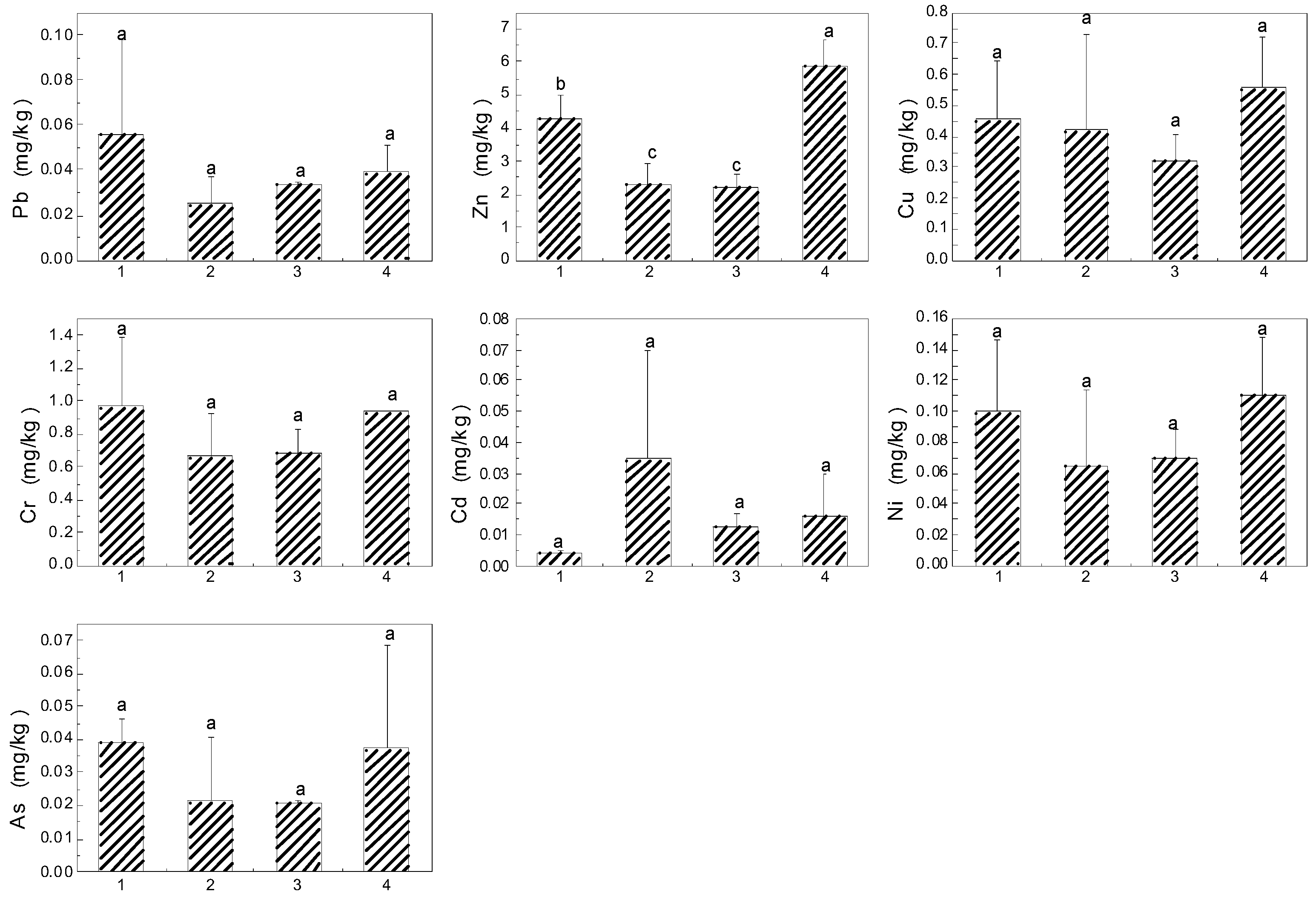
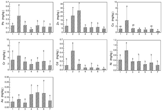
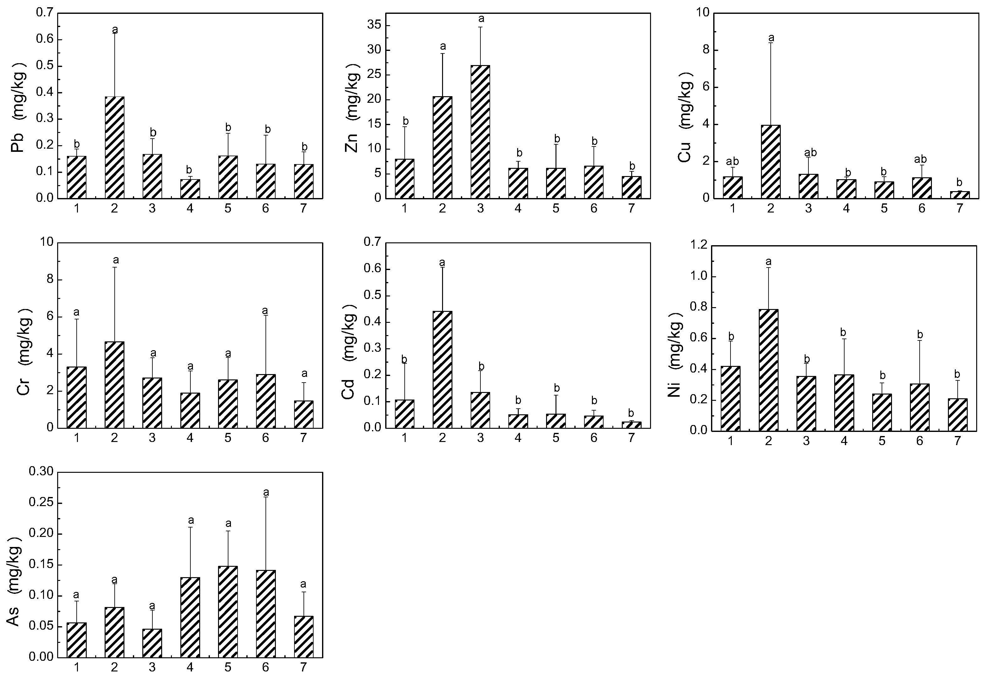
3.3. Heavy Metals in Edible Parts of Vegetables and Rice
3.4. Health Risk Assessment
3.4.1. The Daily Intake of Heavy Metals
3.4.2. Health Risk Assessment
4. Conclusions
Acknowledgments
Author Contributions
Conflicts of Interest
References
- Li, Z.; Ma, Z.; van der Kuijp, T.J.; Yuan, Z.; Huang, L. A review of soil heavy metal pollution from mines in China: Pollution and health risk assessment. Sci. Total Environ. 2014, 468–469, 843–853. [Google Scholar] [CrossRef] [PubMed]
- Liu, H.; Probst, A.; Liao, B. Metal contamination of soils and crops affected by the Chenzhou lead/zinc mine spill (Hunan, China). Sci. Total Environ. 2005, 339, 153–166. [Google Scholar] [CrossRef] [PubMed]
- Sun, H.F.; Li, Y.H.; Ji, Y.F.; Yang, L.S.; Wang, W.Y.; Li, H.R. Environmental contamination and health hazard of lead and cadmium around Chatian mercury mining deposit in western Hunan province, China. Trans. Nonferr. Met. Soc. China 2010, 20, 308–314. [Google Scholar] [CrossRef]
- Zhuang, P.; Zou, B.; Li, N.Y.; Li, Z.A. Heavy metal contamination in soils and food crops around Dabaoshan mine in Guangdong, China: Implication for human health. Environ. Geochem. Health 2009, 31, 707–715. [Google Scholar] [CrossRef] [PubMed]
- Amari, T.; Ghnaya, T.; Abdelly, C. Nickel, cadmium and lead phytotoxicity and potential of halophytic plants in heavy metal extraction. S. Afr. J. Bot. 2017, 111, 99–110. [Google Scholar] [CrossRef]
- World Health Organization (WHO). Evaluation of Certain Food Additives and Contaminants; 41st Report of the Joint FAO/WHO Expert Committee on Food Additives, NO. 837; WHO Technical Report Series; WHO: Geneva, Switzerland, 1993. [Google Scholar]
- Liu, X.M.; Song, Q.J.; Tang, Y.; Li, W.L.; Xu, J.M.; Wu, J.J. Human health risk assessment of heavy metals in soil-vegetable system: A multi-medium analysis. Sci. Total Environ. 2013, 463–464, 530–540. [Google Scholar] [CrossRef] [PubMed]
- United States Environmental Protection Agency (U.S. EPA). Risk Assessment Guidance for Superfund, Volume I: Human Health Evaluation Manual; Office of Emergency and Remedial Response: Washington, DC, USA, 1989.
- Cai, L.M.; Xu, Z.C.; Qi, J.Y.; Feng, Z.Z.; Xiang, T.S. Assessment of exposure to heavy metals and health risks among residents near Tonglushan mine in Hubei, China. Chemosphere 2015, 127, 127–135. [Google Scholar] [CrossRef] [PubMed]
- Christou, A.; Theologides, C.P.; Costa, C.; Kalavrouziotis, I.K.; Varnavas, S.P. Assessment of toxic heavy metals concentrations in soils and wild and cultivated plant species in Limni abandoned copper mining site, Cyprus. J. Geochem. Explor. 2017, 178, 16–22. [Google Scholar] [CrossRef]
- Singh, A.; Sharma, R.K.; Agrawal, M.; Marshall, F.M. Health risk assessment of heavy metals via dietary intake of foodstuffs from the wastewater irrigated site of a dry tropical area of India. Food Chem. Toxicol. 2010, 48, 611–619. [Google Scholar] [CrossRef] [PubMed]
- Song, D.; Zhuang, D.; Jiang, D.; Fu, J.; Wang, Q. Integrated health risk assessment of heavy metals in Suxian county, South China. Int. J. Environ. Res. Public Health 2015, 12, 7100–7117. [Google Scholar] [CrossRef] [PubMed]
- Lim, H.S.; Lee, J.S.; Chon, H.T.; Sager, M. Heavy metal contamination and health risk assessment in the vicinity of the abandoned Songcheon Au-Ag mine in Korea. J. Geochem. Explor. 2008, 96, 223–230. [Google Scholar] [CrossRef]
- Nelson, D.W.; Sommers, L.E. Total carbon, organic carbon, and organic matter. In Methods of Soil Analysis. Part 2; American Society of Agronomy: Madison, WI, USA, 1982; pp. 539–579. [Google Scholar]
- Lu, R.K. Agriculture Chemical Analysis Methods of Soil; China Agriculture Scientech Press: Beijing, China, 2000. [Google Scholar]
- Xiao, R.; Wang, S.; Li, R.; Wang, J.J.; Zhang, Z. Soil heavy metal contamination and health risks associated with artisanal gold mining in Tongguan, Shaanxi, China. Ecotoxicol. Environ. Saf. 2017, 141, 17–24. [Google Scholar] [CrossRef] [PubMed]
- Chary, N.S.; Kamala, C.T.; Raj, D.S. Assessing risk of heavy metals from consuming food grown on sewage irrigated soils and food chain transfer. Ecotoxicol. Environ. Saf. 2008, 69, 513–524. [Google Scholar] [CrossRef] [PubMed]
- Zhou, H.; Yang, W.T.; Zhou, X.; Liu, L.; Gu, J.F.; Wang, W.L.; Zou, J.L.; Tian, T.; Peng, P.Q.; Liao, B.H. Accumulation of heavy metals in vegetable species planted in contaminated soils and the health risk assessment. Int. J. Environ. Res. Public Health 2016, 13, 289. [Google Scholar] [CrossRef] [PubMed]
- Mahmood, A.; Malik, R.N. Human health risk assessment of heavy metals via consumption of contaminated vegetables collected from different irrigation sources in Lahore, Pakistan. Arab. J. Chem. 2014, 7, 91–99. [Google Scholar] [CrossRef]
- United States Environmental Protection Agency (U.S. EPA). Guidelines for Exposure Assessment, Risk Assessment Forum; Office of Emergency and Remedial Response: Washington, DC, USA, 1992.
- United States Environmental Protection Agency (U.S. EPA). Exposure Factors Handbook 2011 Edition (Final); Office of Emergency and Remedial Response: Washington, DC, USA, 2011.
- United States Environmental Protection Agency (U.S. EPA). Supplemental Guidance for Developing Soil Screening Levels for Superfund Sites; Office of Emergency and Remedial Response: Washington, DC, USA, 2002.
- National Environmental Protection Agency of China (NEPAC). Exposure Factors Handbook of Chinese Population (Adults); NEPAC: Beijing, China, 2013.
- National Environmental Protection Agency of China (NEPAC). Technical Guidance for Risk Assessment to Contaminated Sites; HJ25.3-2014; NEPAC: Beijing, China, 2014.
- Ferreira-Baptista, L.; De Miguel, E. Geochemistry and risk assessment of street dust in Luanda, Angola: A tropical urban environment. Atmos. Environ. 2005, 39, 4501–4512. [Google Scholar] [CrossRef]
- Lu, X.; Zhang, X.; Li, L.Y.; Chen, H. Assessment of metals pollution and health risk in dust from nursery schools in Xi’an, China. Environ. Res. 2014, 128, 27–34. [Google Scholar] [CrossRef] [PubMed]
- Chen, H.; Teng, Y.; Lu, S.; Wang, Y.; Wang, J. Contamination features and health risk of soil heavy metals in China. Sci. Total Environ. 2015, 512–513, 143–153. [Google Scholar] [CrossRef] [PubMed]
- National Environmental Protection Agency of China (NEPAC). Environmental Quality Standard for Surface Water; GB3838-2002; NEPAC: Beijing, China, 2002.
- National Environmental Protection Agency of China (NEPAC). Environmental Quality Standard for Groundwater; GB/T14848-93; NEPAC: Beijing, China, 1993.
- McLean, J.E.; Bledsoe, B.E. Behavior of Metals in Soil; EPA/540/S-92/018; U.S. EPA: Cincinnati, OH, USA, 1992.
- Kabata-Pendias, A.; Pendias, H. Trace Elements in Soils, 3rd ed.; CRC Press: Boca Raton, FL, USA, 2001. [Google Scholar]
- Kabata-Pendias, A.; Pendias, H. Trace Elements in Soils and Plants, 2nd ed.; CRC Press: Boca Raton, FL, USA, 1992. [Google Scholar]
- Du, X.L.; Qu, J.H.; Liu, H.J.; Qi, W.X. Analysis of the distribution and the occurrence state of heavy metals in the Wenyu River water. J. Environ. Sci. 2012, 32, 37–42. [Google Scholar]
- National Environmental Protection Agency of China (NEPAC). Environmental Quality Standard for Soils; GB15618-1995; NEPAC: Beijing, China, 1995.
- China Environmental Monitoring Station. Natural Background Values of Soil Elements in China; China Environmental Science Press: Beijing, China, 1990. [Google Scholar]
- Liang, J.; Feng, C.; Zeng, G.; Gao, X.; Zhong, M.; Li, X.; Li, X.; He, X.; Fang, Y. Spatial distribution and source identification of heavy metals in surface soils in a typical coal mine city, Lianyuan, China. Environ. Pollut. 2017, 225, 681–690. [Google Scholar] [CrossRef] [PubMed]
- Zhuang, P.; McBride, M.B.; Xia, H.; Li, N.; Li, Z. Health risk from heavy metals via consumption of food crops in the vicinity of Dabaoshan mine, South China. Sci. Total Environ. 2009, 407, 1551–1561. [Google Scholar] [CrossRef] [PubMed]
- Chang, P.; Kim, J.Y.; Kim, K.W. Concentrations of arsenic and heavy metals in vegetation at two abandoned mine tailings in South Korea. Environ. Geochem. Health 2005, 27, 109–119. [Google Scholar] [CrossRef] [PubMed]
- Ministry of Health of the People’s Republic of China (MHPRC). The Maximum Levels of Contaminants in Foods; GB2762-2012; MHPRC: Beijing, China, 2012.
- Fu, Y.G.; Hu, X.; Yu, S.X. Research on health standrad of nickel in food. J. Zhejiang Prov. Acad. Med. Sci. 1999, 37, 9–11. [Google Scholar]
- Khan, A.; Khan, S.; Khan, M.A.; Qamar, Z.; Waqas, M. The uptake and bioaccumulation of heavy metals by food plants, their effects on plants nutrients, and associated health risk: A review. Environ. Sci. Pollut. Res. Int. 2015, 22, 13772–13799. [Google Scholar] [CrossRef] [PubMed]
- Fan, Y.; Li, H.; Xue, Z.; Zhang, Q.; Cheng, F. Accumulation characteristics and potential risk of heavy metals in soil-vegetable system under greenhouse cultivation condition in Northern China. Ecol. Eng. 2017, 102, 367–373. [Google Scholar] [CrossRef]
- Arao, T.; Takeda, H.; Nishihara, E. Reduction of cadmium translocation from roots to shoots in eggplant (Solanum melongena) by grafting ontosolanum torvumrootstock. Soil Sci. Plant Nutr. 2008, 54, 555–559. [Google Scholar] [CrossRef]
- Li, M.Y. Migrating rule of Pb in soil-vegetable system. Guangzhou Chem. 2015, 43, 145–146. [Google Scholar]
- Yang, Y.L.; Li, Y.L.; Chen, Q.Y.; Guo, W.Z. Reaearch progress on effects of lead, cadmium and chromium on vegetable development and migrartion. Acta Agric. Boreali-Sin. 2015, 30, 511–517. [Google Scholar]
- Gay, J.R.; Korre, A. A spatially-evaluated methodology for assessing risk to a population from contaminated land. Environ. Pollut. 2006, 142, 227–234. [Google Scholar] [CrossRef] [PubMed]






| Exposure Pathway | Exposure Calculations |
|---|---|
| ingestion of soil | |
| inhalation of soil | |
| dermal absorption of soil | |
| oral intake of crop |
| Parameter | Definition | Value of Parameter | Reference |
|---|---|---|---|
| CS | Heavy metal content in soil (mg/kg) | observed value | - |
| IR | Soil ingestion rate (mg/day) | 100 | [21] |
| CF | Conversion factor (kg/mg) | 10−6 | [22] |
| EF | Exposure frequency (day/a) | 350 | [22] |
| ED | Exposure duration (a) | 30 | [22] |
| BW | Body weight (kg) | 60.6 | [23] |
| AT | Average time (day) | 365 × 70 (carcinogens) 365 × ED (non-carcinogens) | [21] |
| PM10 | Content of inhalable particulates in ambient air (mg/m3) | 0.15 | [24] |
| DAIR | Daily air inhalation rate (m3/day) | 14.5 | [24] |
| PIAF | Retention fraction of inhaled particulates in body | 0.75 | [24] |
| FSPO | Fraction of soil-borne particulates in air | 0.5 | [24] |
| AF | Skin adherence factor (mg/cm2) | 0.2 | [21] |
| SA | Exposed surface area of skin (cm2) | 5408 | [21] |
| ABS | Dermal absorption factor | 0.001 | [21] |
| Ccrop | Heavy metal content in crops (mg/kg) | observed value | - |
| IRcrop | Ingestion rate (g/day) | 402 (vegetables) 348.44 (rice) | [23] |
| Water | pH | Heavy Metal Concentration (μg/L) | |||||||
|---|---|---|---|---|---|---|---|---|---|
| Pb | Zn | Cu | Cr | Cd | Ni | As | |||
| surface water | Mean ± stdev. | 7.50 ± 0.34 | 4.33 ± 2.54 | 269.90 ± 269.52 | 2.40 ± 1.22 | 1.69 ± 1.10 | 1.04 ± 1.27 | 11.40 ± 13.72 | 24.62 ± 46.54 |
| range | (6.97–7.81) | (0.82–10.93) | (20.24–969.74) | (0.30–6.15) | (0.83–4.95) | (0.04–4.04) | (1.11–45.31) | (2.13–188.25) | |
| groundwater | mean ± stdev. | 6.22 ± 0.50 | 7.71 ± 10.62 | 102.66 ± 80.32 | 13.63 ± 17.26 | 3.69 ± 3.73 | 0.45 ± 0.32 | 3.56 ± 3.43 | 1.36 ± 1.66 |
| range | (5.41–7.04) | (0.56–31.26) | (24.89–263.77) | (0.26–39.77) | (0.57–11.08) | (0.03–0.92) | (0.70–10.55) | (0.03–4.70) | |
| Grad V 1 | 6.0–9.0 | 100 | 2000 | 1000 | 100 | 10 | 20 | 100 | |
| Grad III 2 | 6.5–8.5 | 50 | 1000 | 1000 | 50 | 10 | 50 | 50 | |
| Soil Type | Heavy Metals | Pb | Zn | Cu | Cr | Cd | Ni | As |
|---|---|---|---|---|---|---|---|---|
| Tailing | Mean ± stdev. | 6349.7 ± 724.1 | 1552.0 ± 530.6 | 206.3 ± 126.6 | 140.2 ± 55.7 | 11.4 ± 7.8 | 117.2 ± 49.1 | 3021.2 ± 298.7 |
| Median | 2409.8 | 1432.1 | 143.1 | 130.1 | 14.5 | 140.4 | 3146.5 | |
| Range | 1932.6–8340.6 | 1091.7–2132.4 | 123.7–352.1 | 90.2–200.2 | 2.6–17.1 | 60.9–150.4 | 2680.3–3236.9 | |
| Paddy soil | Mean ± stdev. | 245.6 ± 200.1 | 491.0 ± 319.7 | 35.6 ± 23.4 | 59.8 ± 19.4 | 2.6 ± 1.6 | 37.1 ± 29.7 | 54.8 ± 32.8 |
| Median | 154.5 | 406.1 | 27.2 | 57.9 | 2.3 | 28.7 | 44.9 | |
| Range | 59.6–992.6 | 70.4–1362.2 | 10.5–101.5 | 29.7–97.7 | 0.6–7.5 | 3.1–135.4 | 10.5–156.6 | |
| Vegetable soil | Mean ± stdev. | 138.2 ± 210.4 | 321.8 ± 547.6 | 27.4 ± 19.7 | 30.5 ± 17.1 | 1.8 ± 3.2 | 11.7 ± 10.9 | 25.2 ± 33.4 |
| Median | 79.2 | 184.0 | 21.4 | 23.3 | 0.9 | 7.2 | 19.6 | |
| Range | 29.9–1119.0 | 45.9–2847.5 | 9.8–98.0 | 12.3–77.3 | 0.1–16.7 | 3.5–55.6 | 6.4–189.9 |
| Metals | Pb | Zn | Cu | Cr | Cd | Ni | As | |
|---|---|---|---|---|---|---|---|---|
| rice | mean | 0.45 | 17.34 | 2.84 | 5.21 | 0.44 | 1.00 | 0.32 |
| stdev. | 0.21 | 5.38 | 1.17 | 3.04 | 0.34 | 1.17 | 0.15 | |
| min | 0.23 | 8.94 | 1.11 | 0.01 | 0.02 | 0.18 | 0.13 | |
| max | 1.14 | 32.10 | 5.73 | 12.67 | 1.39 | 4.96 | 0.75 | |
| standard value 1 | 0.2 | - | - | 1.0 | 0.2 | 0.4 | 0.5 | |
| Pathway | Pb | Zn | Cu | Cr | Cd | Ni | As |
| Soil ingestion | 2.93 × 10−1 | 6.23 × 10−1 | 4.88 × 10−2 | 6.98 × 10−2 | 3.30 × 10−3 | 3.72 × 10−2 | 6.11 × 10−2 |
| Soil dermal absorption | 3.17 × 10−3 | 6.73 × 10−3 | 5.28 × 10−4 | 7.55 × 10−4 | 3.57 × 10−5 | 4.02 × 10−4 | 6.60 × 10−4 |
| Soil inhalation | 2.39 × 10−3 | 5.08 × 10−3 | 3.98 × 10−4 | 5.69 × 10−4 | 2.69 × 10−5 | 3.03 × 10−4 | 4.98 × 10−4 |
| Vegetable diet | 0.72 | 46.5 | 5.99 | 12.5 | 0.46 | 1.59 | 0.43 |
| Rice diet | 2.47 | 95.6 | 15.7 | 28.7 | 2.42 | 5.50 | 1.77 |
© 2017 by the authors. Licensee MDPI, Basel, Switzerland. This article is an open access article distributed under the terms and conditions of the Creative Commons Attribution (CC BY) license (http://creativecommons.org/licenses/by/4.0/).
Share and Cite
Liang, Y.; Yi, X.; Dang, Z.; Wang, Q.; Luo, H.; Tang, J. Heavy Metal Contamination and Health Risk Assessment in the Vicinity of a Tailing Pond in Guangdong, China. Int. J. Environ. Res. Public Health 2017, 14, 1557. https://doi.org/10.3390/ijerph14121557
Liang Y, Yi X, Dang Z, Wang Q, Luo H, Tang J. Heavy Metal Contamination and Health Risk Assessment in the Vicinity of a Tailing Pond in Guangdong, China. International Journal of Environmental Research and Public Health. 2017; 14(12):1557. https://doi.org/10.3390/ijerph14121557
Chicago/Turabian StyleLiang, Yaya, Xiaoyun Yi, Zhi Dang, Qin Wang, Houmei Luo, and Jie Tang. 2017. "Heavy Metal Contamination and Health Risk Assessment in the Vicinity of a Tailing Pond in Guangdong, China" International Journal of Environmental Research and Public Health 14, no. 12: 1557. https://doi.org/10.3390/ijerph14121557
APA StyleLiang, Y., Yi, X., Dang, Z., Wang, Q., Luo, H., & Tang, J. (2017). Heavy Metal Contamination and Health Risk Assessment in the Vicinity of a Tailing Pond in Guangdong, China. International Journal of Environmental Research and Public Health, 14(12), 1557. https://doi.org/10.3390/ijerph14121557
