The Effects of Data Collection Method and Monitoring of Workers’ Behavior on the Generation of Demolition Waste
Abstract
1. Introduction
2. Literature Review
2.1. Waste Management Strategies Involving Monitoring and Site Management
2.2. Methods for Collecting WGR Data
3. Methodology
3.1. Target Area and Data Collecting Method
3.2. Calculating DWGRs for Different Building Types and Method Used for Estimating Regional-Level DW Generation
3.3. Strategies for Monitoring the Site and Workers’ Behavior
4. Results and Discussion
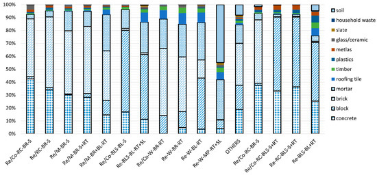
4.1. Generation Rates and Composition of DW
4.2. Comparison of Compositional Data with Demolition Contractors’ Reports
5. Recommendations
6. Conclusions
Acknowledgments
Author Contributions
Conflicts of Interest
References
- Esa, M.R.; Halog, A.; Rigamonti, L. Strategies for minimizing construction and demolition wastes in Malaysia. Resour. Conserv. Recycl. 2017, 120, 219–229. [Google Scholar] [CrossRef]
- Pacheco-Torgal, F.; Tam, V.; Labrincha, J.; Ding, Y.; de Brito, J. Handbook of Recycled Concrete and Demolition Waste; Elsevier: Amsterdam, The Netherlands, 2013. [Google Scholar]
- Cheng, J.C.; Ma, L.Y. A BIM-based system for demolition and renovation waste estimation and planning. Waste Manag. 2013, 33, 1539–1551. [Google Scholar] [CrossRef] [PubMed]
- Bernardo, M.; Gomes, M.C.; De Brito, J. Demolition waste generation for development of a regional management chain model. Waste Manag. 2016, 49, 156–169. [Google Scholar] [CrossRef] [PubMed]
- Lu, W.; Yuan, H.; Li, J.; Hao, J.J.; Mi, X.; Ding, Z. An empirical investigation of construction and demolition waste generation rates in Shenzhen city, South China. Waste Manag. 2011, 31, 680–687. [Google Scholar] [CrossRef] [PubMed]
- Poon, C.S.; Yu, A.T.W.; Wong, S.W.; Cheung, E. Management of construction waste in public housing projects in Hong Kong. Constr. Manag. Econ. 2004, 22, 675–689. [Google Scholar] [CrossRef]
- Wang, J.; Yuan, H.; Kang, X.; Lu, W. Critical success factors for on-site sorting of construction waste: A China study. Resour. Conserv. Recycl. 2010, 54, 931–936. [Google Scholar] [CrossRef]
- Lau, H.H.; Whyte, A.; Law, P.L. Composition and characteristics of construction waste generated by residential housing project. Int. J. Environ. Res. 2008, 2, 261–268. [Google Scholar]
- Mcdonald, B.; Smithers, M. Implementing a waste management plan during the construction phase of a project: A case study. Constr. Manag. Econ. 1998, 16, 71–78. [Google Scholar] [CrossRef]
- Poon, C.; Yu, T.; Ng, L. A Guide for Managing and Minimizing Building and Demolition Waste; Department of Civil & Structural Engineering, Hong Kong Polytechnic University: Hong Kong, China, 2001. [Google Scholar]
- Lin, Z. Model Development for Estimating the Quantity of a Single Building’s Demolition Waste; National Central University: Taoyuan City, Taiwan, 2006. [Google Scholar]
- Tam, V.W.; Tam, C.M.; Zeng, S.; Ng, W.C. Towards adoption of prefabrication in construction. Build. Environ. 2007, 42, 3642–3654. [Google Scholar] [CrossRef]
- Lu, W.; Peng, Y.; Chen, X.; Skitmore, M.; Zhang, X. The S-curve for forecasting waste generation in construction projects. Waste Manag. 2016, 56, 23–34. [Google Scholar] [CrossRef] [PubMed]
- Yuan, H.; Shen, L. Trend of the research on construction and demolition waste management. Waste Manag. 2011, 31, 670–679. [Google Scholar] [CrossRef] [PubMed]
- Coelho, A.; De Brito, J. Influence of construction and demolition waste management on the environmental impact of buildings. Waste Manag. 2012, 32, 532–541. [Google Scholar] [CrossRef] [PubMed]
- Chen, X.; Lu, W. Identifying factors influencing demolition waste generation in Hong Kong. J. Clean. Prod. 2017, 141, 799–811. [Google Scholar] [CrossRef]
- Fatta, D.; Papadopoulos, A.; Avramikos, E.; Sgourou, E.; Moustakas, K.; Kourmoussis, F.; Mentzis, A.; Loizidou, M. Generation and management of construction and demolition waste in Greece—An existing challenge. Resour. Conserv. Recycl. 2003, 40, 81–91. [Google Scholar] [CrossRef]
- Cochran, K.; Townsend, T.; Reinhart, D.; Heck, H. Estimation of regional building-related C&D debris generation and composition: Case study for Florida, US. Waste Manag. 2007, 27, 921–931. [Google Scholar] [PubMed]
- Kleemann, F.; Lederer, J.; Aschenbrenner, P.; Rechberger, H.; Fellner, J. A method for determining buildings’ material composition prior to demolition. Build. Res. Inf. 2016, 44, 51–62. [Google Scholar] [CrossRef]
- Katz, A.; Baum, H. A novel methodology to estimate the evolution of construction waste in construction sites. Waste Manag. 2011, 31, 353–358. [Google Scholar] [CrossRef] [PubMed]
- Teo, M.; Loosemore, M. A theory of waste behaviour in the construction industry. Constr. Manag. Econ. 2001, 19, 741–751. [Google Scholar] [CrossRef]
- Formoso, C.T.; Soibelman, L.; De Cesare, C.; Isatto, E.L. Material waste in building industry: Main causes and prevention. J. Constr. Eng. Manag. 2002, 128, 316–325. [Google Scholar] [CrossRef]
- Poon, C.S. Management and recycling of demolition waste in Hong Kong. Waste Manag. Res. 1997, 15, 561–572. [Google Scholar] [CrossRef]
- Faniran, O.; Caban, G. Minimizing waste on construction project sites. Eng. Constr. Archit. Manag. 1998, 5, 182–188. [Google Scholar] [CrossRef]
- Lingard, H.; Graham, P.; Smithers, G. Employee perceptions of the solid waste management system operating in a large Australian contracting organization: Implications for company policy implementation. Constr. Manag. Econ. 2000, 18, 383–393. [Google Scholar] [CrossRef]
- Kulatunga, U.; Amaratunga, D.; Haigh, R.; Rameezdeen, R. Attitudes and perceptions of construction workforce on construction waste in Sri Lanka. Manag. Environ. Qual. 2006, 17, 57–72. [Google Scholar] [CrossRef]
- Ping, T.S.; Omran, A.; Pakir, A.H.K. Material waste in the malaysian construction industry. In Proceedings of the International Conference on Economics & Administration, Bucharest, Romania, 14–15 November 2009. [Google Scholar]
- Arif, M.; Bendi, D.; Toma-Sabbagh, T.; Sutrisna, M. Construction waste management in India: An exploratory study. Constr. Innov. 2012, 12, 133–155. [Google Scholar] [CrossRef]
- Yean Yng Ling, F.; Song Anh Nguyen, D. Strategies for construction waste management in Ho Chi Minh City, Vietnam. Built Environ. Proj. Asset Manag. 2013, 3, 141–156. [Google Scholar] [CrossRef]
- Wu, Z.; Ann, T.; Shen, L.; Liu, G. Quantifying construction and demolition waste: An analytical review. Waste Manag. 2014, 34, 1683–1692. [Google Scholar] [CrossRef] [PubMed]
- Forsythe, P.; Marsden, P. Modelling construction waste performance—An arising procurement issue. Profitab. Partn. Constr. Procure. 1999, 427, 679–688. [Google Scholar]
- Treloar, G.J.; Gupta, H.; Love, P.E.; Nguyen, B. An analysis of factors influencing waste minimisation and use of recycled materials for the construction of residential buildings. Manag. Environ. Qual. 2003, 14, 134–145. [Google Scholar] [CrossRef]
- Poon, C.S.; Yu, A.T.W.; See, S.C.; Cheung, E. Minimizing demolition wastes in Hong Kong public housing projects. Constr. Manage. Econ. 2004, 22, 799–805. [Google Scholar] [CrossRef]
- Zhao, W.; Ren, H.; Rotter, V. A system dynamics model for evaluating the alternative of type in construction and demolition waste recycling center—The case of Chongqing, China. Resour. Conserv. Recycl. 2011, 55, 933–944. [Google Scholar] [CrossRef]
- Hsiao, T.; Huang, Y.; Yu, Y.; Wernick, I. Modeling materials flow of waste concrete from construction and demolition wastes in Taiwan. Resour. Policy 2002, 28, 39–47. [Google Scholar] [CrossRef]
- Wang, J.Y.; Touran, A.; Christoforou, C.; Fadlalla, H. A systems analysis tool for construction and demolition wastes management. Waste Manag. 2004, 24, 989–997. [Google Scholar] [CrossRef] [PubMed]





| Location | Usage | Structure | Wall Material | Count | GFA (m2) | Building Types |
|---|---|---|---|---|---|---|
| area A | Residential/Commercial | Reinforced concrete | Brick | 16 | 3519 | Re/Co-RC-BR-S |
| Residential | Reinforced concrete | Brick | 12 | 1895 | Re/RC-BR-S | |
| Residential/Commercial | Masonry | Brick | 8 | 931 | Re/M-BR-S | |
| Residential | Masonry | Brick | 73 | 7950 | Re/M-BR-S+RT | |
| Residential | Masonry | Brick +block | 4 | 355 | Re/M-BR+BL-RT | |
| Residential/Commercial | Block | block | 3 | 296 | Re/Co-BLS-BL-S | |
| Residential | Block | block | 127 | 9311 | Re-BLS-BL-RT+SL | |
| Residential/Commercial | Wood | Brick | 2 | 135 | Re/Co-W-BR-RT | |
| Residential | Wood | Brick | 19 | 1948 | Re-W-BR-RT | |
| Residential | Wood | block | 33 | 3324 | Re-W-BL-RT+S | |
| Residential | Wood | MP | 27 | 2104 | Re-W-MP-RT+SL | |
| Others | 18 | 1408 | OTHERS | |||
| area B | Residential/Commercial | Reinforced concrete | Brick | 8 | 1394 | Re/Co-RC-BR-S |
| Residential/Commercial | Reinforced concrete | block | 7 | 1823 | Re/Co-RC-BL-S+RT | |
| Residential | Reinforced concrete | block | 25 | 6501 | Re-RC-BL-S+RT | |
| Residential | Block | block | 41 | 3609 | Re-BLS-BL+RT |
| Material Type | Density Values | Unit | Description |
|---|---|---|---|
| Concrete | 2300 | kg/m3 | construction standard production unit system |
| Block | 1900 | kg/m3 | construction standard production unit system |
| Brick | 2000 | kg/m3 | construction standard production unit system |
| Mortar | 2000 | kg/m3 | construction standard production unit system |
| Timber | 590 | kg/m3 | construction standard production unit system for weight of dry wood |
| Slate | 10.5 | kg/m2 | 10.5 kg/m2 was used for weight per unit surface area of cement asbestos containing 10% asbestos |
| Roofing tile | 198 | kg/m2 | one cement roofing tile: 5.5 kg, calculated for 36 tiles/m2 |
| Glass/ceramic | 2300 | kg/m3 | densities of sheet glass and ceramics range between 2100 and 2500 kg/m3, so an average value of 2300 kg/m3 was used |
| Plastics | 1200 | kg/m3 | density of plastic used in buildings ranges between 900 and 1500 kg/m3, so an average value of 1200 kg/m3 was used |
| Household waste | 300 | kg/m3 | density value of 300 kg/m2 was used for household waste according to a performance guarantee process guideline for processing abandoned waste, Regulation No. 249 by the Ministry of Environment |
| Soil | 1600 | kg/m3 | dry soil weight |
| Building Types | Waste Types | |||||||||||||
|---|---|---|---|---|---|---|---|---|---|---|---|---|---|---|
| Concrete | Block | Brick | Mortar | Roofing Tile | Timber | Plastics | Metals | Glass/Ceramic | Slate | Household Waste | Soil | Total | ||
| Project A | Re/Co-RC-BR-S | 783.8 | 31.0 | 825.3 | 64.8 | 2.1 | 12.7 | 17.7 | 34.7 | 69.9 | - | 0.9 | 0.0 | 1842.9 |
| Re/RC-BR-S | 580.5 | 29.9 | 933.3 | 80.4 | 4.4 | 9.5 | 28.8 | 25.2 | 12.1 | 0.3 | 1.6 | 0.4 | 1706.5 | |
| Re/M-BR-S | 540.9 | 13.3 | 880.1 | 272.4 | 6.3 | 17.1 | 15.6 | 23.5 | 24.1 | 0.2 | 3.7 | - | 1797.1 | |
| Re/M-BR-S+RT | 447.6 | 46.0 | 824.1 | 185.1 | 11.6 | 16.0 | 15.2 | 19.6 | 13.5 | 1.0 | 1.9 | 2.0 | 1583.6 | |
| Re/M-BR+BL-RT | 197.6 | 153.2 | 519.3 | 379.8 | 53.2 | 21.1 | 11.6 | 8.6 | 9.3 | - | 1.6 | - | 1355.3 | |
| Re/Co-BLS-BL-S | 155.4 | 580.5 | 15.2 | 134.0 | - | 16.7 | 1.3 | 6.9 | 7.8 | - | 1.2 | - | 919.0 | |
| Re-BLS-BL-RT+SL | 104.8 | 464.0 | 11.9 | 220.2 | 69.1 | 23.6 | 5.8 | 4.7 | 8.3 | 7.7 | 1.6 | 4.9 | 926.6 | |
| Re/Co-W-BR-RT | - | 116.2 | 427.3 | 187.5 | 55.6 | 23.1 | 0.4 | - | 10.9 | - | 1.1 | - | 822.0 | |
| Re-W-BR-RT | 35.9 | 92.0 | 316.3 | 189.7 | 64.2 | 30.5 | 1.8 | 1.6 | 13.4 | 0.0 | 1.1 | 0.1 | 746.8 | |
| Re-W-BL-RT | 26.8 | 292.9 | 103.1 | 214.0 | 57.8 | 22.7 | 7.2 | 1.2 | 7.9 | 3.6 | 2.2 | 0.1 | 739.4 | |
| Re-W-MP-RT+SL | 36.1 | 57.2 | 3.0 | 272.8 | 49.9 | 31.7 | 7.3 | 1.6 | 10.3 | 11.5 | 3.8 | 394.0 | 879.2 | |
| OTHERS | 224.2 | 224.4 | 385.0 | 171.3 | 15.7 | 20.6 | 16.4 | 9.8 | 9.2 | 14.1 | 2.7 | 96.6 | 1190.0 | |
| Overall mean | 261.1 | 175.1 | 437.0 | 197.7 | 32.5 | 20.4 | 10.8 | 11.4 | 16.4 | 3.2 | 1.9 | 41.5 | 1209.0 | |
| Project B | Re/Co-RC-BR-S | 544.4 | 21.7 | 711.6 | 73.7 | - | 9.5 | 29.6 | 32.7 | - | 2.1 | - | 23.2 | 1448.5 |
| Re/Co-RC-BL-S+RT | 537.0 | 923.5 | 6.5 | 29.9 | 11.2 | 13.1 | 32.7 | 55.8 | - | 2.4 | - | 5.9 | 1618.0 | |
| Re-RC-BL-S+RT | 558.1 | 832.2 | 8.1 | 22.1 | 7.3 | 9.6 | 39.8 | 57.1 | - | 1.0 | - | 2.0 | 1537.4 | |
| Re-BLS-BL-RT | 253.9 | 456.8 | 8.7 | 44.4 | 57.7 | 44.9 | 54.6 | 27.4 | - | 1.1 | 8.1 | 47.6 | 1005.4 | |
| Overall mean | 473.4 | 558.6 | 183.7 | 42.5 | 19.0 | 19.3 | 39.2 | 43.2 | - | 1.7 | 2.0 | 19.7 | 1402.3 | |
| Waste Type | Project A | Project B (Monitored) | |||||
|---|---|---|---|---|---|---|---|
| Estimated in This Study | Reported | Reported | Estimated in This Study | ||||
| mineral waste | concrete | 9563 | 37,645 | 46,842 | 16,381 | 16,880 | 6282 |
| block | 6695 | 8773 | |||||
| brick | 13,908 | 1088 | |||||
| mortar | 6251 | 461 | |||||
| roofing tile | 1228 | 276 | |||||
| timber | 671 | 195 | 256 | 262 | |||
| plastics | 377 | 198 | 24 | 557 | |||
| glass/ceramic | 570 | - | - | no data | |||
| metals | 421 | Not reported | Not reported | 617 | |||
| Soil | 1029 | - | - | 228 | |||
| Slate | 137 | 106.2 | Not reported | 18 | |||
| household waste | 62 | - | - | 29 | |||
| mixed waste | - | 1151 | 1183 | - | |||
| total | 40,911 | 48,492 | 17,844 | 18,591 | |||
| Target Area | Including All Wastes | Excluding Wastes Which Were Not Reported | ||||
|---|---|---|---|---|---|---|
| Estimated Total DW Generation | Reported Total DW Generation | Error Rate (%) | Estimated Total DW Generation | Reported Total DW Generation | Error Rate (%) | |
| Project A | 40,911 | 48,492 | 18.5 | 40,353 | 48,492 | 16.8% |
| Project B | 18,591 | 17,844 | 4.0 | 17,956 | 17,844 | 0.63% |
© 2017 by the authors. Licensee MDPI, Basel, Switzerland. This article is an open access article distributed under the terms and conditions of the Creative Commons Attribution (CC BY) license (http://creativecommons.org/licenses/by/4.0/).
Share and Cite
Cha, G.-W.; Kim, Y.-C.; Moon, H.J.; Hong, W.-H. The Effects of Data Collection Method and Monitoring of Workers’ Behavior on the Generation of Demolition Waste. Int. J. Environ. Res. Public Health 2017, 14, 1216. https://doi.org/10.3390/ijerph14101216
Cha G-W, Kim Y-C, Moon HJ, Hong W-H. The Effects of Data Collection Method and Monitoring of Workers’ Behavior on the Generation of Demolition Waste. International Journal of Environmental Research and Public Health. 2017; 14(10):1216. https://doi.org/10.3390/ijerph14101216
Chicago/Turabian StyleCha, Gi-Wook, Young-Chan Kim, Hyeun Jun Moon, and Won-Hwa Hong. 2017. "The Effects of Data Collection Method and Monitoring of Workers’ Behavior on the Generation of Demolition Waste" International Journal of Environmental Research and Public Health 14, no. 10: 1216. https://doi.org/10.3390/ijerph14101216
APA StyleCha, G.-W., Kim, Y.-C., Moon, H. J., & Hong, W.-H. (2017). The Effects of Data Collection Method and Monitoring of Workers’ Behavior on the Generation of Demolition Waste. International Journal of Environmental Research and Public Health, 14(10), 1216. https://doi.org/10.3390/ijerph14101216

