Assessment of Foetal Exposure to the Homogeneous Magnetic Field Harmonic Spectrum Generated by Electricity Transmission and Distribution Networks
Abstract
:1. Introduction
2. Material and Methods
2.1. Harmonic Spectrum
| Order h | Frequency [Hz] | LV&MV Relative Amplitude | HV Relative Amplitude | 
|---|---|---|---|
| 3 | 150 | 5.0% | 3.0% | 
| 5 | 250 | 6.0% | 5.0% | 
| 7 | 350 | 5.0% | 4.0% | 
| 11 | 550 | 3.5% | 3.0% | 
| 13 | 650 | 3.0% | 2.5% | 
2.2. Computational Modelling
- -
 - Bfront, for the 3 months GA (mGA) foetus;
 - -
 - Blat, for the 7 mGA foetus;
 - -
 - Bfront, for 9 mGA foetus.
 

- -
 - The skin conductivity was set to 0.1 S/m for all frequencies to take into account the higher conductivity of deeper granular tissue, i.e., dermis [45].
 - -
 - Placenta and umbilical cord were modelled as blood because of their high perfusion [39].
 - -
 - -
 - An average value between grey matter and white matter conductivities was assigned to medulla oblongata, pons and midbrain tissues (as in [33]).
 - -
 - The lowest conductivity among the ones of the woman’s brain tissues was assigned to the foetal brain from a conservative point of view, to obtain higher electrical conductivity contrast with the embedding cerebrospinal fluid (CSF) (as in [33])
 - -
 - The foetal bone conductivity was set to 0.35 S/m as in [33] taken as a weighted average of bone and blood (to take into consideration the infiltration of bone marrow at a very young age). It was also kept constant across all frequencies because of the relative stability of bone and blood conductivities values within the maximum harmonic frequency (i.e., 650 Hz).
 - -
 - Similarly, fat conductivity was set at 0.12 S/m, estimated as a blend between fat and muscle conductivities, according to the suggestion of Peyman et al. [47], related to the higher water content and blood presence at very young age.
 
2.3. Exposure Assessment
| Frequency (Hz) | Reference Level | Basic Restrictions | |
|---|---|---|---|
| B (μT) | ECNS (mV/m) | Eothertissues (mV/m) | |
| 50 | 200 | 20 | 400 | 
| 150 | 200 | 60 | 400 | 
| 250 | 200 | 100 | 400 | 
| 350 | 200 | 140 | 400 | 
| 550 | 145 | 220 | 400 | 
| 650 | 123 | 260 | 400 | 
| Bj | LV&MV Bj [μT] | HV Bj [μT] | 
|---|---|---|
| B50 | 159.1 | 166.4 | 
| B150 | 8.0 | 5.0 | 
| B250 | 9.5 | 8.3 | 
| B350 | 8.0 | 6.7 | 
| B550 | 5.6 | 5.0 | 
| B650 | 4.8 | 4.2 | 
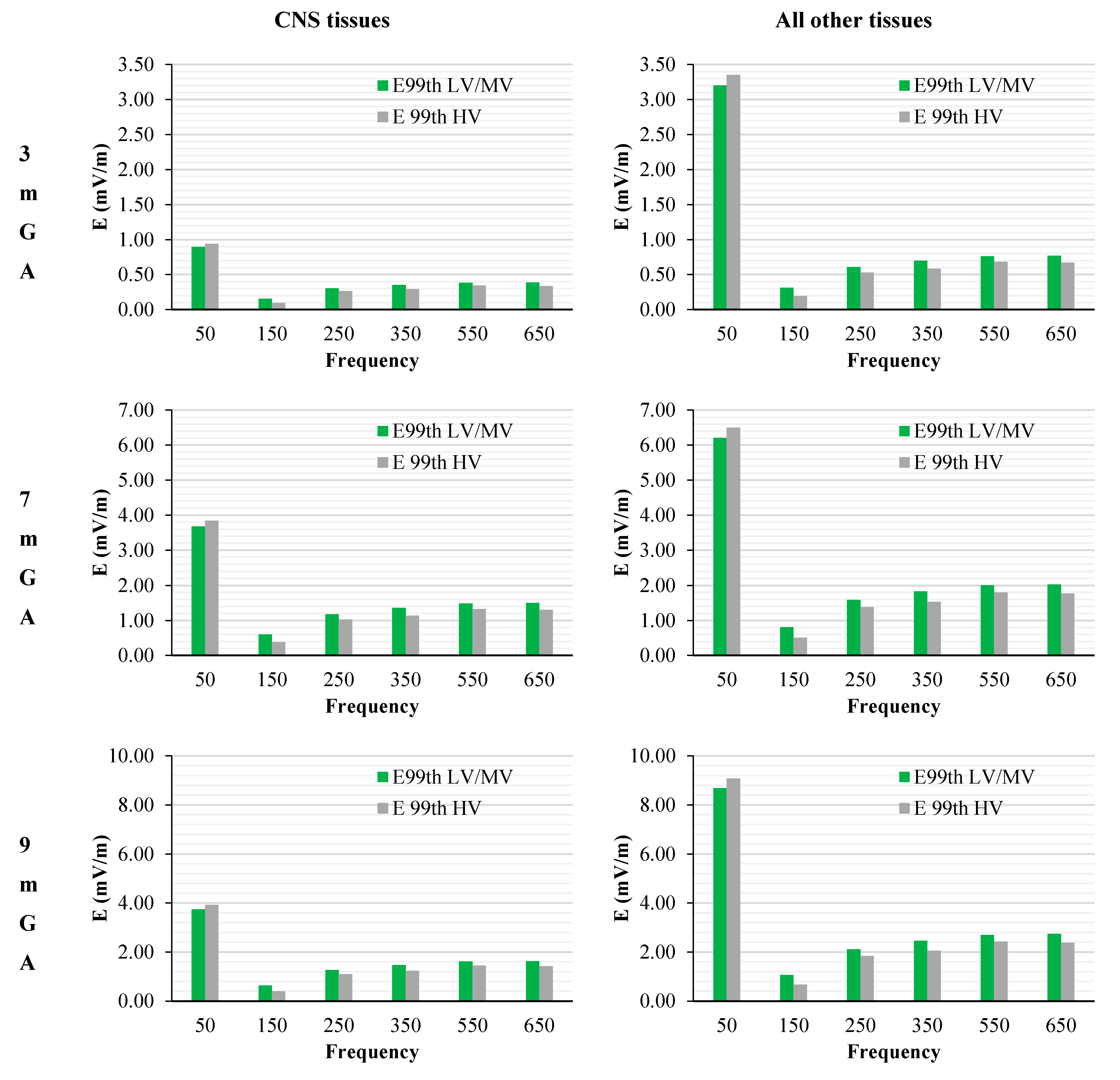
3. Results
| LV&MV | 3 mGA | 7 mGA | 9 mGA | ||||||
|---|---|---|---|---|---|---|---|---|---|
| Frequency (Hz) | Epeak (μV/m/μT) | E99th (μV/m/μT) | E50th (μV/m/μT) | Epeak (μV/m/μT) | E99th (μV/m/μT) | E50th (μV/m/μT) | Epeak (μV/m/μT) | E99th (μV/m/μT) | E50th (μV/m/μT) | 
| 50 | 19.3 | 14.2 | 9.0 | 40.6 | 27.6 | 10.8 | 56.9 | 38.6 | 16.5 | 
| 150 | 2.3 | 1.4 | 1.0 | 5.5 | 3.6 | 1.6 | 7.4 | 4.7 | 2.2 | 
| 250 | 4.6 | 2.7 | 2.0 | 10.7 | 7.0 | 3.1 | 14.7 | 9.4 | 4.5 | 
| 350 | 5.3 | 3.1 | 2.3 | 12.4 | 8.2 | 3.6 | 17.2 | 10.9 | 5.2 | 
| 550 | 5.8 | 3.4 | 2.5 | 13.6 | 8.9 | 3.9 | 18.9 | 12.0 | 5.7 | 
| 650 | 5.9 | 3.4 | 2.6 | 13.8 | 9.0 | 4.0 | 19.2 | 12.2 | 5.8 | 
| HV | 3 mGA | 7 mGA | 9 mGA | ||||||
|---|---|---|---|---|---|---|---|---|---|
| Frequency (Hz) | Epeak (μV/m/μT) | E99th (μV/m/μT) | E50th (μV/m/μT) | Epeak (μV/m/μT) | E99th (μV/m/μT) | E50th (μV/m/μT) | Epeak (μV/m/μT) | E99th (μV/m/μT) | E50th (μV/m/μT) | 
| 50 | 19.3 | 14.2 | 9.0 | 40.6 | 27.6 | 10.8 | 56.9 | 38.6 | 16.5 | 
| 150 | 1.4 | 0.8 | 0.6 | 3.3 | 2.2 | 0.9 | 4.4 | 2.8 | 1.3 | 
| 250 | 3.8 | 2.2 | 1.7 | 8.9 | 5.9 | 2.6 | 12.3 | 7.8 | 3.7 | 
| 350 | 4.3 | 2.5 | 1.9 | 9.9 | 6.5 | 2.9 | 13.8 | 8.7 | 4.2 | 
| 550 | 5.0 | 2.9 | 2.2 | 11.7 | 7.6 | 3.4 | 16.2 | 10.3 | 4.9 | 
| 650 | 4.9 | 2.9 | 2.1 | 11.5 | 7.5 | 3.3 | 16.0 | 10.1 | 4.8 | 








4. Discussion and Conclusions
| Ebone, f /Ebone, 50 | 3 mGA | 7 mGA | 9 mGA | |||||||||
|---|---|---|---|---|---|---|---|---|---|---|---|---|
| LV & MV | HV | LV & MV | HV | LV & MV | HV | |||||||
| f (Hz) | 99th (%) | 50th (%) | 99th (%) | 50th (%) | 99th (%) | 50th (%) | 99th (%) | 50th (%) | 99th (%) | 50th (%) | 99th (%) | 50th (%) | 
| 150 | 10.6 | 11.6 | 6.4 | 7.0 | 16.0 | 13.0 | 9.6 | 7.8 | 15.1 | 14.6 | 10.2 | 11.0 | 
| 250 | 20.8 | 23.4 | 17.4 | 19.5 | 31.3 | 25.7 | 26.1 | 21.4 | 29.9 | 29.1 | 28.2 | 30.5 | 
| 350 | 24.1 | 27.4 | 19.3 | 21.9 | 36.2 | 29.8 | 29.0 | 23.9 | 34.8 | 34.0 | 31.4 | 34.1 | 
| 550 | 26.4 | 30.2 | 22.6 | 25.9 | 39.5 | 32.7 | 33.9 | 28.0 | 38.2 | 37.3 | 36.9 | 40.2 | 
| 650 | 26.7 | 30.6 | 22.2 | 25.5 | 40.0 | 33.1 | 33.3 | 27.6 | 38.7 | 37.8 | 36.4 | 39.6 | 
Acknowledgments
Author Contributions
Conflicts of Interest
References
- Reilly, J.P. Comments concerning guidelines for limiting exposure to time-varying electric, magnetic and electromagnetic fields (up to 300 GHz). Health Phys. 1999, 76, 314–315. [Google Scholar] [CrossRef] [PubMed]
 - Reilly, J.P. Neuroelectric mechanisms applied to low frequency electric and magnetic field exposure guidelines—Part I: Sinusoidal waveforms. Health Phys. 2002, 83, 341–355. [Google Scholar] [CrossRef] [PubMed]
 - Saunders, R.D.; Jefferys, J.G. A neurobiological basis for ELF guidelines. Health Phys. 2007, 92, 596–603. [Google Scholar] [CrossRef] [PubMed]
 - ICNIRP—International Commission on Non-Ionizing Radiation Protection. Guidelines for limiting exposure to time-varying electric and magnetic fields (1 Hz to 100 kHz). Health Phys. 2010, 99, 818–836. [Google Scholar]
 - Wertheimer, N.; Leeper, E. Electrical wiring configurations and childhood cancer. Am. J. Epidemiol. 1979, 109, 273–284. [Google Scholar] [PubMed]
 - Tomenius, L. 50-Hz Electromagnetic environment and the incidence of childhood tumors in Stockholm County. Bioelectromagnetics 1986, 7, 191–207. [Google Scholar] [CrossRef] [PubMed]
 - Savitz, D.; Wachtel, H.; Barnes, F.; John, E.; Tvrdik, J. Case-control study of childhood cancer and exposure to 60-Hz magnetic fields. Am. J. Epidemiol. 1988, 128, 21–38. [Google Scholar] [PubMed]
 - London, S.; Thomas, D.; Bowman, J.; Sobel, E.; Cheng, T.; Peters, J. Exposure to residential electric and magnetic fields and risk of childhood leukemia. Am. J. Epidemiol. 1991, 134, 923–937. [Google Scholar]
 - Feychting, M.; Ahlbom, A. Magnetic fields and cancer in children residing near Swedish high-voltage power lines. Am. J. Epidemiol. 1993, 138, 467–481. [Google Scholar] [PubMed]
 - McBride, M.; Gallagher, R.; Theriault, H.; Armstrong, B.; Tamaro, S.; Spinelli, J.; Deadman, J.; Fincham, S.; Robson, D.; Choi, W. Power-frequency electric and magnetic fields and risk of childhood leukemia in Canada. Am. J. Epidemiol. 1999, 149, 831–842. [Google Scholar] [CrossRef] [PubMed]
 - Ahlbom, A.; Day, N.; Feytching, M. A pooled analysis of magnetic fields and childhood leukemia. Br. J. Cancer 2000, 83, 692–698. [Google Scholar] [CrossRef] [PubMed]
 - Greenland, S.; Sheppard, A.; Kaune, W.; Poole, C.; Kelsh, M. A pooled analysis of magnetic fields, wire codes, and childhood leukemia. Epidemiology 2000, 11, 624–634. [Google Scholar] [CrossRef] [PubMed]
 - Schuz, J.; Grigat, J.; Brinkmann, K.; Michaelis, J. Residential magnetic fields as a risk factor for childhood acute leukaemia: Results from a German population-based casecontrol study. Int. J. Cancer 2001, 91, 728–735. [Google Scholar] [CrossRef] [PubMed]
 - Draper, G.; Vincent, T.; Kroll, M.E.; Swanson, J. Childhood cancer in relation to distance from high voltage power lines in England and Wales: A case-control study. BMJ 2005, 330, 1290–1292. [Google Scholar] [CrossRef] [PubMed]
 - Kabuto, M.; Hiroshi, N.; Yamamoto, S.; Yamaguchi, N.; Akiba, S.; Honda, Y.; Hagihara, J.; Isaka, K.; Saito, T.; Ojima, T.; et al. A Japanese case-control study of childhood leukaemia and residential power-frequency magnetic fields. Int. J. Cancer 2006, 119, 643–650. [Google Scholar]
 - Kheifets, L.; Ahlbom, A.; Crespi, C.M.; Draper, G.; Hagihara, J.; Lowenthal, R.M.; Mezei, G.; Oksuzyan, S.; Schüz, J.; Swanson, J.; et al. Pooled analysis of recent studies on magnetic fields and childhood leukaemia. Br. J. Cancer 2010, 103, 1128–1135. [Google Scholar]
 - Kroll, M.E.; Swanson, J.; Vincent, T.J.; Draper, G.J. Childhood cancer and magnetic fields from high-voltage power lines in England and Wales: A case-control study. Br. J. Cancer 2010, 103, 1122–1127. [Google Scholar] [CrossRef] [PubMed]
 - Sermage-Faure, C.; Demoury, C.; Rudant, J.; Goujon-Bellec, S.; Guyot-Goubin, A.; Deschamps, F.; Hemon, D.; Clavel, J. Childhood leukaemia close to high-voltage power lines—The Geocap study, 2002–2007. Br. J. Cancer 2013, 108, 1899–1906. [Google Scholar] [CrossRef] [PubMed]
 - Pedersen, C.; Raaschou-Nielsen, O.; Rod, N.H.; Frei, P.; Poulsen, A.H.; Johansen, C.; Schüz, J. Distance from residence to power line and risk of childhood leukemia: A population-based case-control study in Denmark. Cancer Causes Control 2014, 25, 171–177. [Google Scholar] [CrossRef] [PubMed]
 - IARC Working Group on the Evaluation of Carcinogenic Risks to Humans. Non-ionizing radiation, Part 1: Static and extremely low-frequency (ELF) electric and magnetic fields. In Monographs on the Evaluation of Carcinogenic Risks to Humans; IARC press: Lyon, France, 2002; Volume 80. [Google Scholar]
 - Valberg, P.; Kaune, W.T.; Wilson, B. Designing EMF experiments: What is required to characterize ‘exposure’? Bioelectromagnetics 1995, 16, 396–406. [Google Scholar] [CrossRef] [PubMed]
 - Portier, C.J.; Wolfe, M.S. Assessment of Health Effects from Exposure to Power-line Frequency Electric and Magnetic Fields. NIEHS Working Group Report; NIH Publication No. 98-3981; National Institute of Environmental Health Sciences: Research Triangle Park, NC, USA, 1998. [Google Scholar]
 - McKinlay, A.F.; Repacholi, M.H. Exposure metrics and dosimetry for EMF epidemiology. In Proceedings of an International Workshop, NRPB, Chilton, UK, 7–9 September 1998.
 - Bowman, J.D.; Methner, M.M. Hazard surveillance for industrial magnetic fields: II. Field characteristics from waveform measurements. Ann. Occup. Hyg. 2000, 44, 615–633. [Google Scholar]
 - Kaune, W.T.; Dovan, T.; Kavel, R.I.; Savitz, D.A.; Neutra, R.R. Study of high- and low-current-configuration homes from the 1988 Transformer Station Exposures Denver childhood cancer study. Bioelectromagnetics 2002, 23, 177–188. [Google Scholar] [CrossRef] [PubMed]
 - Szabó, J.; Jánossy, G.; Thuróczy, G. Survey of residential 50 Hz EMF exposure from transformer stations. Bioelectromagnetics 2007, 28, 48–52. [Google Scholar] [CrossRef] [PubMed]
 - Bernard, N.; Alberdi, A.J.; Tanguy, M.L.; Brugere, H.; Helissey, P.; Hubert, C.; Gendrey, N.; Guillosson, J.J.; Nafziger, J. Assessing the potential leukemogenic effects of 50 Hz magnetic fields and their harmonics using an animal leukemia model. J. Radiat. Res. 2008, 49, 565–577. [Google Scholar] [CrossRef] [PubMed]
 - Khan, A.; Silva, G.D. Measurement and Analysis of Extremely Low Frequency Magnetic Field exposure in Swedish Residence. Master of Science Thesis; Department of Signal & Systems Chalmers, University of Technology: Goteborg, Sweden, 2010. Available online: http://publications.lib.chalmers.se/records/fulltext/136881.pdf (accessed on 3 November 2014).
 - Dimbylow, P.J. Development of pregnant female, hybrid voxel-mathematical models and their application to the dosimetry of applied magnetic and electric fields at 50 Hz. Phys. Med. Biol. 2006, 51, 2383–2394. [Google Scholar] [CrossRef] [PubMed]
 - Cech, R.; Leitgeb, N.; Pediaditis, M. Fetal exposure to low frequency electric and magnetic fields. Phys. Med. Biol 2007, 52, 879–888. [Google Scholar] [CrossRef]
 - Dimbylow, P.J.; Findlay, R. The effects of body posture, anatomy, age and pregnancy on the calculation of induced current densities at 50 Hz. Radiat. Prot. Dosim. 2010, 139, 532–535. [Google Scholar] [CrossRef]
 - Bakker, J.F.; Paulides, M.M.; Neufeld, E.; Christ, A.; Chen, X.L.; Kuster, N.; van Rhoon, G.C. Children and adults exposed to low-frequency magnetic fields at the ICNIRP reference levels: Theoretical assessment of the induced electric fields. Phys. Med. Biol. 2011, 57, 1815–1829. [Google Scholar] [CrossRef]
 - Liorni, I.; Parazzini, M.; Fiocchi, S.; Douglas, M.; Capstick, M.; Gosselin, M.C.; Kuster, N.; Ravazzani, P. Dosimetric study of fetal exposure to uniform magnetic fields at 50 Hz. Bioelectromagnetics 2014, 35, 580–597. [Google Scholar] [CrossRef] [PubMed]
 - Garrido, C.; Otero, A.F.; Cidras, J. Low-frequency magnetic fields from electrical appliances and power lines. IEEE Trans. Power Deliv. 2003, 18, 1310–1319. [Google Scholar] [CrossRef]
 - Paniagua, J.M.; Jiménez, A.; Rufo, M.; Antolin, A. Exposure assessment of ELF magnetic fields in urban environments in Extremadura (Spain). Biolectromagnetics 2004, 25, 58–62. [Google Scholar] [CrossRef]
 - CENELEC European Committee for Electrotechnical Standardization. Voltage Characteristics of Electricity Supplied by Public Distribution Networks; EN 50160:2010; CENELEC: Brussels, Belgium, 2010. [Google Scholar]
 - SEMCAD X v.14.8.4 by SPEAG Schmid & Partner Engineering AG, Zurich, Switzerland. Available online: http://www.speag.com (accessed on 28 October 2014).
 - Christ, A.; Kainz, W.; Hahn, E.G.; Honegger, K.; Zefferer, M.; Neufeld, E.; Rascher, W.; Janka, R.; Bautz, W.; Chen, J.; et al. The virtual family-development of surface-based anatomical models of two adults and two children for dosimetric simulations. Phys. Med. Biol. 2010, 55, 23–38. [Google Scholar]
 - Cabot, E.; Christ, A.; Bühlmann, B.; Zefferer, M.; Chavannes, N.; Bakker, J.F.; van Rhoon, G.C.; Kuster, N. Quantification of RF-exposure of the fetus using anatomical CAD-models in three different gestational stages. Health Phys. 2014, 107, 369–381. [Google Scholar] [CrossRef] [PubMed]
 - Hasgall, P.A.; Neufeld, E.; Gosselin, M.C.; Klingenbock, A.; Kuster, N. IT’IS Database for Thermal and Electromagnetic Parameters of Biological Tissues. Version 2.2. 11 July 2012. Available online: www.itis.ethz.ch/database (accessed on 28 October 2014).
 - Gabriel, C.; Gabriel, S.; Corthout, E. The dielectric properties of biological tissues: 1. Literature survey. Phys. Med. Biol. 1996, 41, 2231–2249. [Google Scholar] [CrossRef]
 - Gabriel, S.; Lau, R.W.; Gabriel, C. The dielectric properties of biological tissues: 2. Measurements in the frequency range 10 Hz to 20 GHz. Phys. Med. Biol. 1996, 41, 2251–2269. [Google Scholar]
 - Gabriel, S.; Lau, R.W.; Gabriel, C. The dielectric properties of biological tissues: 3. Parametric models for the dielectric spectrum of tissues. Phys. Med. Biol. 1996, 41, 2271–2293. [Google Scholar]
 - Gabriel, C.; Peyman, A.; Grant, E.H. Electrical conductivity of tissue at frequencies below 1 MHz. Phys. Med. Biol. 2009, 54, 4863–4878. [Google Scholar] [CrossRef] [PubMed]
 - Dimbylow, P.J. Development of the female voxel phantom, NAOMI, and its application to calculations of induced current densities and electric fields from applied low frequency magnetic and electric fields. Phys. Med. Biol. 2005, 50, 1047–1070. [Google Scholar] [CrossRef] [PubMed]
 - De Luca, F.; Cametti, C.; Zimatore, G.; Maraviglia, B.; Pachi, A. Use of low-frequency electrical impedance measurements to determine phospholipid content in amniotic fluid. Phys. Med. Biol. 1996, 41, 1863–1869. [Google Scholar] [CrossRef] [PubMed]
 - Peyman, A.; Gabriel, C.; Grant, E.H.; Vermeeren, G.; Martens, L. Variation of the dielectric properties of tissues with age: The effect on the values of SAR in children when exposed to walkie-talike devices. Phys. Med. Biol. 2009, 54, 227–241. [Google Scholar] [CrossRef] [PubMed]
 - Enslin, J.H.R.; Heskes, J.M. Harmonic interaction between a large number of distributed power inverters and the distribution network. IEEE Trans. Power Electron. 2004, 19, 1586–1593. [Google Scholar] [CrossRef]
 - Nikolic, A.; Naumovic-Vukovic, D.; Skundric, S.; Kovacevic, D.; Milenkovic, V. Methods for power quality analysis according to EN 50160. In Proceedings of the 9th International Conference on Electrical Power Quality and Utilisation, EPQU, Barcelona, Spain, 9–11 October 2007.
 - Leitgeb, N. Assessment of multiple frequency ELF electric and magnetic field exposure. Phys. Med. Biol. 2008, 53, 431–443. [Google Scholar] [CrossRef] [PubMed]
 - Leitgeb, N.; Cech, R.; Schröttner, J.; Lehofer, P.; Schmidpeter, U.; Rampetsreiter, M. Magnetic emission ranking of electrical appliances. A comprehensive market survey. Radiat. Prot. Dosimetry 2008, 129, 439–445. [Google Scholar] [CrossRef]
 - Jokela, K. Restricting exposure to pulsed and broadband magnetic fields. Health Phys. 2000, 79, 373–388. [Google Scholar] [CrossRef] [PubMed]
 - Fiocchi, S.; Parazzini, M.; Liorni, I.; Samaras, T.; Ravazzani, P. Temperature increase in fetus exposed to UHF RFID readers. IEEE Trans. Biomed. Eng. 2014, 61, 2011–2019. [Google Scholar] [CrossRef] [PubMed]
 - Gabriel, C.; Peyman, A. Dielectric measurement: Error analysis and assessment of uncertainty. Phys. Med. Biol. 2006, 51, 6033–6046. [Google Scholar] [CrossRef] [PubMed]
 - Christ, A.; Guldimann, R.; Bühlmann, B.; Zefferer, M.; Bakker, J.F.; van Rhoon, G.C.; Kuster, N. Exposure of the human body to professional and domestic induction cooktops compared to the basic restrictions. Bioelectromagnetics 2012, 33, 695–705. [Google Scholar] [CrossRef] [PubMed]
 
© 2015 by the authors; licensee MDPI, Basel, Switzerland. This article is an open access article distributed under the terms and conditions of the Creative Commons Attribution license (http://creativecommons.org/licenses/by/4.0/).
Share and Cite
Fiocchi, S.; Liorni, I.; Parazzini, M.; Ravazzani, P. Assessment of Foetal Exposure to the Homogeneous Magnetic Field Harmonic Spectrum Generated by Electricity Transmission and Distribution Networks. Int. J. Environ. Res. Public Health 2015, 12, 3667-3690. https://doi.org/10.3390/ijerph120403667
Fiocchi S, Liorni I, Parazzini M, Ravazzani P. Assessment of Foetal Exposure to the Homogeneous Magnetic Field Harmonic Spectrum Generated by Electricity Transmission and Distribution Networks. International Journal of Environmental Research and Public Health. 2015; 12(4):3667-3690. https://doi.org/10.3390/ijerph120403667
Chicago/Turabian StyleFiocchi, Serena, Ilaria Liorni, Marta Parazzini, and Paolo Ravazzani. 2015. "Assessment of Foetal Exposure to the Homogeneous Magnetic Field Harmonic Spectrum Generated by Electricity Transmission and Distribution Networks" International Journal of Environmental Research and Public Health 12, no. 4: 3667-3690. https://doi.org/10.3390/ijerph120403667
APA StyleFiocchi, S., Liorni, I., Parazzini, M., & Ravazzani, P. (2015). Assessment of Foetal Exposure to the Homogeneous Magnetic Field Harmonic Spectrum Generated by Electricity Transmission and Distribution Networks. International Journal of Environmental Research and Public Health, 12(4), 3667-3690. https://doi.org/10.3390/ijerph120403667
        
                                                
