Temporal and Spatial Simulation of Atmospheric Pollutant PM2.5 Changes and Risk Assessment of Population Exposure to Pollution Using Optimization Algorithms of the Back Propagation-Artificial Neural Network Model and GIS
Abstract
:1. Introduction
2. Materials and Methods
2.1. Study Area
2.2. PM2.5 Concentration Simulation and Evaluation Based on BP-ANN Model
2.3. BP-ANN Model Optimization and Future Predict of PM2.5 Concentration
2.4. Risk Assessment for Population Exposure to PM2.5
2.5. Principal Component Analysis
2.6. Model Data
3. Results and Discussion
3.1. Influencing Factors and PM2.5 Concentration Linkages
| GDP | Population Density | Average Temperature | Precipitation | Wind Speed | SO2 | NO2 | PM2.5 | |
|---|---|---|---|---|---|---|---|---|
| GDP | 1.000 | 0.659 ** | 0.017 | 0.052 | 0.438 ** | 0.061 | 0.211* | 0.029 |
| Population density | 0.659 ** | 1.000 | 0.009 | 0.027 | 0.230 ** | 0.002 | 0.146 | −0.006 |
| Average temperature | 0.017 | 0.009 | 1.000 | 0.494 ** | 0.601 ** | −0.831 ** | −0.489 ** | −0.831 ** |
| Precipitation | 0.052 | 0.027 | 0.494 ** | 1.000 | 0.310 ** | −0.485 ** | −0.287 ** | −0.504 ** |
| Wind speed | 0.438 ** | 0.230 ** | 0.601 ** | 0.310 ** | 1.000 | −0.469 ** | −0.122 | −0.454 ** |
| SO2 | 0.061 | 0.002 | −0.831 ** | −0.485 ** | −0.469 ** | 1.000 | 0.461 ** | 0.796 ** |
| NO2 | 0.211 * | 0.146 | −0.489 ** | −0.287 ** | −0.122 | 0.461 ** | 1.000 | 0.391 ** |
| PM2.5 | 0.029 | −0.006 | −0.831 ** | −0.504 ** | −0.454 ** | 0.796 ** | 0.391 ** | 1.000 |
3.2. Principal Component Analysis of PM2.5 Concentration and Its Impact Factors
| Component Matrix | ||||
|---|---|---|---|---|
| 1 | 2 | 3 | 4 | |
| GDP | 0.06 | 0.92 | −0.08 | −0.01 |
| Population density | 0.05 | 0.83 | −0.37 | 0.02 |
| Average temperature | 0.94 | −0.03 | 0.08 | −0.14 |
| Precipitation | 0.65 | 0.00 | −0.07 | 0.74 |
| Wind speed | 0.65 | 0.48 | 0.32 | −0.22 |
| SO2 | −0.90 | 0.11 | −0.05 | 0.08 |
| NO2 | −0.56 | 0.38 | 0.65 | 0.22 |
| PM2.5 | −0.89 | 0.08 | −0.11 | 0.01 |
| Cumulative % | 45.35 | 69.39 | 78.06 | 86.39 |
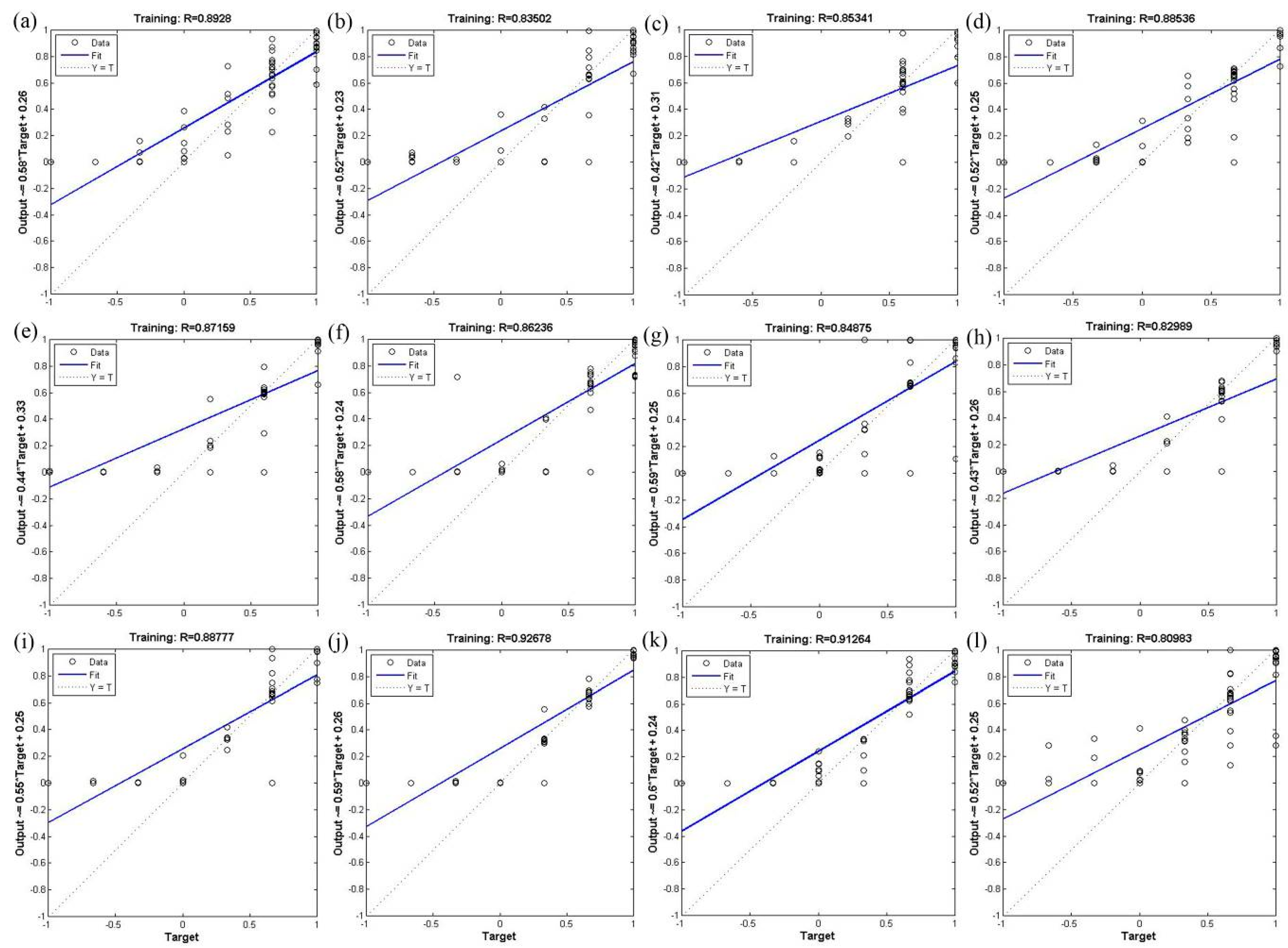
3.3. Validation of BP-ANN Model Based on Optimization Algorithm



| Station | IA | MBE | RMSE | |||
|---|---|---|---|---|---|---|
| Trainlm | Trainrp | Trainlm | Trainrp | Trainlm | Trainrp | |
| High-oltage Switchgear Plant | 0.748 | 0.717 | 1.3333 | 1.4189 | 1.414 | 1.529 |
| Xingqing District | 0.783 | 0.803 | 1.0672 | 1.0087 | 1.071 | 1.009 |
| The Textile City | 0.710 | 0.597 | 0.6667 | 1.0000 | 0.816 | 1.100 |
| Hamlet | 0.759 | 0.708 | 0.3405 | 0.3524 | 0.925 | 0.983 |
| People’s Stadium | 0.797 | 0.733 | 0.5344 | 0.6277 | 0.537 | 0.770 |
| New District | 0.556 | 0.559 | 1.7336 | 1.7357 | 1.786 | 1.775 |
| Economic Development Zone | 0.512 | 0.569 | 1.9280 | 1.6718 | 1.950 | 1.738 |
| Chang’an District | 0.580 | 0.695 | 1.3650 | 1.0003 | 1.390 | 1.081 |
| Lintong District | 0.767 | 0.502 | 0.3333 | 0.7057 | 0.913 | 1.534 |
| Qujiang District | 0.661 | 0.658 | 1.2691 | 1.2852 | 1.386 | 1.407 |
| Guangyuntan | 0.541 | 0.533 | 1.2085 | 0.9277 | 1.490 | 1.263 |
| Marsh | 0.863 | 0.667 | −0.2352 | 0.0003 | 0.602 | 0.816 |
3.4. Analysis of Temporal and Spatial Simulation of Atmospheric Pollutants PM2.5 Concentration




3.5. Risk Assessment of Population Exposure to PM2.5 Pollution




4. Conclusions
Acknowledgments
Author Contributions
Conflicts of Interest
References
- Araújo, I.; Costa, D.; de Moraes, R. Identification and Characterization of Particulate Matter Concentrations at Construction Jobsites. Sustainability 2014, 6, 7666–7688. [Google Scholar] [CrossRef]
- Colacci, A.; Vaccari, M.; Mascolo, M.; Rotondo, F.; Morandi, E.; Quercioli, D.; Perdichizzi, S.; Zanzi, C.; Serra, S.; Poluzzi, V.; et al. Alternative Testing Methods for Predicting Health Risk from Environmental Exposures. Sustainability 2014, 6, 5265–5283. [Google Scholar] [CrossRef]
- Saide, P.E.; Carmichael, G.R.; Spak, S.N.; Gallardo, L.; Osses, A.E.; Mena-Carrasco, M.A.; Pagowski, M. Forecasting urban PM10 and PM2.5 pollution episodes in very stable nocturnal conditions and complex terrain using WRF-Chem CO tracer model. Atmos. Environ. 2011, 45, 2769–2780. [Google Scholar] [CrossRef]
- Chen, J.; Vaughan, J.; Avise, J.; O’Neill, S.; Lamb, B. Enhancement and evaluation of the AIRPACT ozone and PM2.5 forecast system for the Pacific Northwest. J. Geophys. Res.: Atmos. 2008, 113. [Google Scholar] [CrossRef]
- Perez, P.; Reyes, J. An integrated neural network model for PM10 forecasting. Atmos. Environ. 2006, 40, 2845–2851. [Google Scholar] [CrossRef]
- Doraiswamy, P.; Hogrefe, C.; Hao, W.; Civerolo, K.; Ku, J.-Y.; Sistla, G. A retrospective comparison of model-based forecasted PM2.5 concentrations with measurements. J. Air Waste Manag. Assoc. 2010, 60, 1293–1308. [Google Scholar] [CrossRef] [PubMed]
- Moore, D.; Jerrett, M.; Mack, W.; Künzli, N. A land use regression model for predicting ambient fine particulate matter across Los Angeles, CA. J. Environ. Monit. 2007, 9, 246–252. [Google Scholar] [CrossRef] [PubMed]
- Sofowote, U.; Su, Y.; Bitzos, M.M.; Munoz, A. Improving the correlations of ambient tapered element oscillating microbalance PM2.5 data and SHARP 5030 Federal Equivalent Method in Ontario: A multiple linear regression analysis. J. Air Waste Manag. Assoc. 2014, 64, 104–114. [Google Scholar] [CrossRef] [PubMed]
- Sahu, S.K.; Mardia, K.V. A Bayesian kriged Kalman model for short-term forecasting of air pollution levels. J. R. Stat. Soc.: Ser. C (Appl. Stat.) 2005, 54, 223–244. [Google Scholar] [CrossRef]
- Antanasijević, D.Z.; Pocajt, V.V.; Povrenović, D.S.; Ristić, M.Đ.; Perić-Grujić, A.A. PM10 emission forecasting using artificial neural networks and genetic algorithm input variable optimization. Sci. Total Environ. 2013, 443, 511–519. [Google Scholar] [CrossRef] [PubMed]
- Anu, N.; Rangabhashiyam, S.; Rahul, A.; Selvaraju, N. Evaluation of optimization methods for solving the receptor model for chemical mass balance. J. Serbian Chem. Soc. 2015, 80, 253–264. [Google Scholar] [CrossRef]
- Pai, T.-Y.; Ho, C.-L.; Chen, S.-W.; Lo, H.-M.; Sung, P.-J.; Lin, S.-W.; Lai, W.-J.; Tseng, S.-C.; Ciou, S.-P.; Kuo, J.-L. Using seven types of GM (1, 1) model to forecast hourly particulate matter concentration in Banciao City of Taiwan. Water Air Soil Pollut. 2011, 217, 25–33. [Google Scholar] [CrossRef]
- Dong, M.; Yang, D.; Kuang, Y.; He, D.; Erdal, S.; Kenski, D. PM2.5 concentration prediction using hidden semi-Markov model-based times series data mining. Expert Syst. Appl. 2009, 36, 9046–9055. [Google Scholar] [CrossRef]
- Hu, Z. Spatial analysis of MODIS aerosol optical depth, PM2.5, and chronic coronary heart disease. Int. J. Health Geogr. 2009, 8. [Google Scholar] [CrossRef] [PubMed]
- McKendry, I.G. Evaluation of artificial neural networks for fine particulate pollution (PM10 and PM2.5) forecasting. J. Air Waste Manag. Assoc. 2002, 52, 1096–1101. [Google Scholar] [CrossRef] [PubMed]
- Hachicha, W. A simulation metamodelling based neural networks for lot-sizing problem in MTO sector. Int. J. Simul. Model. 2011, 10, 191–203. [Google Scholar] [CrossRef]
- Ordieres, J.; Vergara, E.; Capuz, R.; Salazar, R. Neural network prediction model for fine particulate matter (PM2.5) on the US-Mexico border in El Paso (Texas) and Ciudad Juárez (Chihuahua). Environ. Model. Softw. 2005, 20, 547–559. [Google Scholar] [CrossRef]
- Zhang, D.; Peng, Z. Near-road fine particulate matter concentration estimation using artificial neural network approach. Int. J. Environ. Sci. Technol. 2014, 11, 2403–2412. [Google Scholar] [CrossRef]
- Hossain, K. Predictive Ability of Improved Neural Network Models to Simulate Pollutant Dispersion. Int. J. Atmos. Sci. 2014, 2014. [Google Scholar] [CrossRef]
- Shi, W.; Wong, M.S.; Wang, J.; Zhao, Y. Analysis of airborne particulate matter (PM2.5) over Hong Kong using remote sensing and GIS. Sensors 2012, 12, 6825–6836. [Google Scholar] [CrossRef] [PubMed]
- Merbitz, H.; Buttstädt, M.; Michael, S.; Dott, W.; Schneider, C. GIS-based identification of spatial variables enhancing heat and poor air quality in urban areas. Appl. Geogr. 2012, 33, 94–106. [Google Scholar] [CrossRef]
- Levy, J.I.; Houseman, E.A.; Spengler, J.D.; Loh, P.; Ryan, L. Fine particulate matter and polycyclic aromatic hydrocarbon concentration patterns in Roxbury, Massachusetts: A community-based GIS analysis. Environ. Health Perspect. 2001, 109, 341. [Google Scholar] [CrossRef] [PubMed]
- Tang, L.; Nagashima, T.; Hasegawa, K.; Ohara, T.; Sudo, K.; Itsubo, N. Development of human health damage factors for PM2.5 based on a global chemical transport model. Int. J. Life Cycle Assess. 2015, 1–11. [Google Scholar] [CrossRef]
- Bell, M.L.; Dominici, F.; Ebisu, K.; Zeger, S.L.; Samet, J.M. Spatial and temporal variation in PM2.5 chemical composition in the United States for health effects studies. Environ. Health Perspect. 2007, 115, 989–995. [Google Scholar] [CrossRef] [PubMed]
- Yao, L.; Lu, N. Particulate Matter Pollution and Population Exposure Assessment over Mainland China in 2010 with Remote Sensing. Int. J. Environ. Res. Public Health 2014, 11, 5241–5250. [Google Scholar] [CrossRef] [PubMed]
- Zhang, A.; Qi, Q.; Jiang, L.; Zhou, F.; Wang, J. Population exposure to PM2.5 in the urban area of Beijing. PLoS ONE 2013, 8, e63486. [Google Scholar] [CrossRef] [PubMed]
- Greene, N.A.; Morris, V.R. Assessment of public health risks associated with atmospheric exposure to PM2.5 in Washington, DC, USA. Int. J. Environ. Res. Public Health 2006, 3, 86–97. [Google Scholar] [CrossRef] [PubMed]
- Miyamoto, H.; Kawato, M.; Setoyama, T.; Suzuki, R. Feedback-error-learning neural network for trajectory control of a robotic manipulator. Neural Netw. 1988, 1, 251–265. [Google Scholar] [CrossRef]
- Samsonovich, A.; McNaughton, B.L. Path integration and cognitive mapping in a continuous attractor neural network model. J. Neurosci. 1997, 17, 5900–5920. [Google Scholar] [PubMed]
- Wei, J.; Ruan, S. Stability and bifurcation in a neural network model with two delays. Phys. D: Nonlinear Phenom. 1999, 130, 255–272. [Google Scholar] [CrossRef]
- Willmott, C.J.; Ackleson, S.G.; Davis, R.E.; Feddema, J.J.; Klink, K.M.; Legates, D.R.; O’donnell, J.; Rowe, C.M. Statistics for the evaluation and comparison of models. J. Geophys. Res.: Oceans (1978–2012) 1985, 90, 8995–9005. [Google Scholar] [CrossRef]
- Gunhan, T.; Demir, V.; Hancioglu, E.; Hepbasli, A. Mathematical modelling of drying of bay leaves. Energy Convers. Manag. 2005, 46, 1667–1679. [Google Scholar] [CrossRef]
- Nastos, P.; Paliatsos, A.; Koukouletsos, K.; Larissi, I.; Moustris, K. Artificial neural networks modeling for forecasting the maximum daily total precipitation at Athens, Greece. Atmos. Res. 2014, 144, 141–150. [Google Scholar] [CrossRef]
- Moustris, K.P.; Ziomas, I.C.; Paliatsos, A.G. 3-Day-ahead forecasting of regional pollution index for the pollutants NO2, CO, SO2, and O3 using artificial neural networks in Athens, Greece. Water Air Soil Pollut. 2010, 209, 29–43. [Google Scholar] [CrossRef]
- Moustris, K.; Larissi, I.; Nastos, P.; Koukouletsos, K.; Paliatsos, A. Development and application of artificial neural network modeling in forecasting PM10 levels in a Mediterranean city. Water Air Soil Pollut. 2013, 224, 1–11. [Google Scholar] [CrossRef]
- Ozcelik, B.; Erzurumlu, T. Comparison of the warpage optimization in the plastic injection molding using ANOVA, neural network model and genetic algorithm. J. Mater. Process. Technol. 2006, 171, 437–445. [Google Scholar] [CrossRef]
- Kurtaran, H.; Ozcelik, B.; Erzurumlu, T. Warpage optimization of a bus ceiling lamp base using neural network model and genetic algorithm. J. Mater. Process. Technol. 2005, 169, 314–319. [Google Scholar] [CrossRef]
- USEPE. Exposure Factors Handbook; Risk Assessment Guidance for Superfund; USEPE: Washington, DC, USA, 2004. [Google Scholar]
- Du, X.; Jin, X.; Yang, X.; Yang, X.; Zhou, Y. Spatial Pattern of Land Use Change and Its Driving Force in Jiangsu Province. Int. J. Environ. Res. Public Health 2014, 11, 3215–3232. [Google Scholar] [CrossRef] [PubMed]
- Zeng, H.; Wu, J. Heavy Metal Pollution of Lakes along the Mid-Lower Reaches of the Yangtze River in China: Intensity, Sources and Spatial Patterns. Int. J. Environ. Res. Public Health 2013, 10, 793–807. [Google Scholar] [CrossRef] [PubMed]
- Mangia, C.; Cervino, M.; Gianicolo, E. Secondary Particulate Matter Originating from an Industrial Source and Its Impact on Population Health. Int. J. Environ. Res. Public Health 2015, 12, 7667–7681. [Google Scholar] [CrossRef] [PubMed]
- Zhang, Z.; Zhang, X.; Gong, D.; Quan, W.; Zhao, X.; Ma, Z.; Kim, S.-J. Evolution of surface O3 and PM2.5 concentrations and their relationships with meteorological conditions over the last decade in Beijing. Atmos. Environ. 2015, 108, 67–75. [Google Scholar] [CrossRef]
- Pateraki, S.; Asimakopoulos, D.N.; Bougiatioti, A.; Maggos, T.; Vasilakos, C.; Mihalopoulos, N. Assessment of PM2.5 and PM1 chemical profile in a multiple-impacted Mediterranean urban area: Origin, sources and meteorological dependence. Sci. Total Environ. 2014, 479–480, 210–220. [Google Scholar] [CrossRef] [PubMed]
- Wang, J.; Ogawa, S. Effects of Meteorological Conditions on PM2.5 Concentrations in Nagasaki, Japan. Int. J. Environ. Res. Public Health 2015, 12, 9089–9101. [Google Scholar] [CrossRef] [PubMed]
- Zhou, S.; Yuan, Q.; Li, W.; Lu, Y.; Zhang, Y.; Wang, W. Trace metals in atmospheric fine particles in one industrial urban city: Spatial variations, sources, and health implications. J. Environ. Sci. 2014, 26, 205–213. [Google Scholar] [CrossRef]
- Elbayoumi, M.; Ramli, N.A.; Md Yusof, N.F.F.; Yahaya, A.S.B.; Al Madhoun, W.; Ul-Saufie, A.Z. Multivariate methods for indoor PM10 and PM2.5 modelling in naturally ventilated schools buildings. Atmos. Environ. 2014, 94, 11–21. [Google Scholar] [CrossRef]
- Huang, P.; Zhang, J.; Tang, Y.; Liu, L. Spatial and Temporal Distribution of PM2.5 Pollution in Xi’an City, China. Int. J. Environ. Res. Public Health 2015, 12, 6608–6625. [Google Scholar] [CrossRef] [PubMed]
- Masiol, M.; Benetello, F.; Harrison, R.M.; Formenton, G.; de Gaspari, F.; Pavoni, B. Spatial, seasonal trends and transboundary transport of PM2.5 inorganic ions in the Veneto region (Northeastern Italy). Atmos. Environ. 2015, 117, 19–31. [Google Scholar] [CrossRef]
- Xie, Y.; Zhao, B.; Zhang, L.; Luo, R. Spatiotemporal variations of PM2.5 and PM10 concentrations between 31 Chinese cities and their relationships with SO2, NO2, CO and O3. Particuology 2015, 20, 141–149. [Google Scholar] [CrossRef]
- Sgrigna, G.; Sæbø, A.; Gawronski, S.; Popek, R.; Calfapietra, C. Particulate Matter deposition on Quercus ilex leaves in an industrial city of central Italy. Environ. Pollut. 2015, 197, 187–194. [Google Scholar] [CrossRef] [PubMed]
- Hao, Y.; Flowers, H.; Monti, M.M.; Qualters, J.R. US census unit population exposures to ambient air pollutants. Int. J. Health Geogr. 2012, 11. [Google Scholar] [CrossRef] [PubMed]
- Liu, D.-J.; Li, L. Application Study of Comprehensive Forecasting Model Based on Entropy Weighting Method on Trend of PM2.5 Concentration in Guangzhou, China. Int. J. Environ. Res. Public Health 2015, 12, 7085–7099. [Google Scholar] [CrossRef] [PubMed]
© 2015 by the authors; licensee MDPI, Basel, Switzerland. This article is an open access article distributed under the terms and conditions of the Creative Commons Attribution license (http://creativecommons.org/licenses/by/4.0/).
Share and Cite
Zhang, P.; Hong, B.; He, L.; Cheng, F.; Zhao, P.; Wei, C.; Liu, Y. Temporal and Spatial Simulation of Atmospheric Pollutant PM2.5 Changes and Risk Assessment of Population Exposure to Pollution Using Optimization Algorithms of the Back Propagation-Artificial Neural Network Model and GIS. Int. J. Environ. Res. Public Health 2015, 12, 12171-12195. https://doi.org/10.3390/ijerph121012171
Zhang P, Hong B, He L, Cheng F, Zhao P, Wei C, Liu Y. Temporal and Spatial Simulation of Atmospheric Pollutant PM2.5 Changes and Risk Assessment of Population Exposure to Pollution Using Optimization Algorithms of the Back Propagation-Artificial Neural Network Model and GIS. International Journal of Environmental Research and Public Health. 2015; 12(10):12171-12195. https://doi.org/10.3390/ijerph121012171
Chicago/Turabian StyleZhang, Ping, Bo Hong, Liang He, Fei Cheng, Peng Zhao, Cailiang Wei, and Yunhui Liu. 2015. "Temporal and Spatial Simulation of Atmospheric Pollutant PM2.5 Changes and Risk Assessment of Population Exposure to Pollution Using Optimization Algorithms of the Back Propagation-Artificial Neural Network Model and GIS" International Journal of Environmental Research and Public Health 12, no. 10: 12171-12195. https://doi.org/10.3390/ijerph121012171
APA StyleZhang, P., Hong, B., He, L., Cheng, F., Zhao, P., Wei, C., & Liu, Y. (2015). Temporal and Spatial Simulation of Atmospheric Pollutant PM2.5 Changes and Risk Assessment of Population Exposure to Pollution Using Optimization Algorithms of the Back Propagation-Artificial Neural Network Model and GIS. International Journal of Environmental Research and Public Health, 12(10), 12171-12195. https://doi.org/10.3390/ijerph121012171
