Comparative Transcriptomic Analysis on the Effect of Sesamol on the Two-Stages Fermentation of Aurantiochytrium sp. for Enhancing DHA Accumulation
Abstract
1. Introduction
2. Results
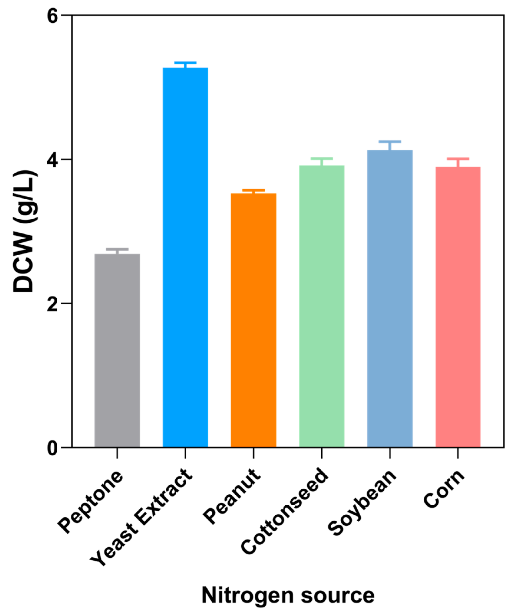
2.1. Screening of Different Nitrogen Source Components
2.2. Response Surface Methodology (RSM) to Optimize the Biomass Yield
2.3. Effect of Sesamol on the Fatty Acid Production Capacity of Aurantiochytrium sp. DECR-KO
2.4. Biomass Concentration and Fatty Production Analysis of Fermentation-Optimized
2.5. Transcriptome Profiling of Aurantiochytrium sp. DECR-KO with Sesamol Treatment
2.6. Detection of the Gene Expression through qRT-PCR
3. Discussion
3.1. Effect of Fermentation Optimization for Growth
3.2. The Effect of Sesamol Additionon Lipid Accumulation
4. Materials and Methods
4.1. Nitrogen Content Determination
4.2. Strain and Cultural Methods
4.3. Determination of Cell Dry Weight and Neutral Lipids
4.4. Experimental Design
4.5. Lipid Extraction and Fatty Acid Analysis
4.6. RNA Extraction, Transcriptomic Analysis, and Real-Time Quantitative PCR (RT-qPCR) Analysis
4.7. Statistical Analysis
5. Conclusions
Supplementary Materials
Author Contributions
Funding
Institutional Review Board Statement
Data Availability Statement
Acknowledgments
Conflicts of Interest
References
- Wang, Y.; Liu, W.J.; Chen, X.D.; Selomulya, C. Micro-encapsulation and stabilization of DHA containing fish oil in protein-based emulsion through mono-disperse droplet spray dryer. J. Food Eng. 2016, 175, 74–84. [Google Scholar] [CrossRef]
- Wang, C.C.; Wang, J.Y.; Shi, H.H.; Zhao, Y.C.; Yang, J.Y.; Wang, Y.M.; Yanagita, T.; Xue, C.H.; Zhang, T.T. DHA-Enriched Phospholipids Exhibit Anti-Depressant Effects by Immune and Neuroendocrine Regulation in Mice: A Study on Dose- and Structure-Activity Relationship. Mol. Nutr. Food Res. 2023, 67, e2200089. [Google Scholar] [CrossRef] [PubMed]
- Lee, J.H.; O’Keefe, J.H.; Lavie, C.J.; Harris, W.S. Omega-3 fatty acids: Cardiovascular benefits, sources and sustainability. Nat. Rev. Cardiol. 2009, 6, 753–758. [Google Scholar] [CrossRef]
- Che, H.; Li, H.; Song, L.; Dong, X.; Yang, X.; Zhang, T.; Wang, Y.; Xie, W. Orally Administered DHA-Enriched Phospholipids and DHA-Enriched Triglyceride Relieve Oxidative Stress, Improve Intestinal Barrier, Modulate Inflammatory Cytokine and Gut Microbiota, and Meliorate Inflammatory Responses in the Brain in Dextran Sodium Sulfate Induced Colitis in Mice. Mol. Nutr. Food Res. 2021, 65, e2000986. [Google Scholar] [CrossRef]
- Liu, L.; Hu, Q.; Wu, H.; Xue, Y.; Cai, L.; Fang, M.; Liu, Z.; Yao, P.; Wu, Y.; Gong, Z. Protective role of n6/n3 PUFA supplementation with varying DHA/EPA ratios against atherosclerosis in mice. J. Nutr. Biochem. 2016, 32, 171–180. [Google Scholar] [CrossRef]
- Anderson, R.E. Lipids of ocular tissues. IV. A comparison of the phospholipids from the retina of six mammalian species. Exp. Eye Res. 1970, 10, 339–344. [Google Scholar] [CrossRef]
- Williams, C.D.; Whitley, B.M.; Hoyo, C.; Grant, D.J.; Iraggi, J.D.; Newman, K.A.; Gerber, L.; Taylor, L.A.; McKeever, M.G.; Freedland, S.J. A high ratio of dietary n-6/n-3 polyunsaturated fatty acids is associated with increased risk of prostate cancer. Nutr. Res. 2011, 31, 1–8. [Google Scholar] [CrossRef]
- Zhou, Q.; Wei, Z. Food-grade systems for delivery of DHA and EPA: Opportunities, fabrication, characterization and future perspectives. Crit. Rev. Food Sci. Nutr. 2023, 63, 2348–2365. [Google Scholar] [CrossRef] [PubMed]
- Patel, A.; Liefeldt, S.; Rova, U.; Christakopoulos, P.; Matsakas, L. Co-production of DHA and squalene by thraustochytrid from forest biomass. Sci. Rep. 2020, 10, 1992. [Google Scholar] [CrossRef]
- Prabhakaran, P.; Nazir, M.Y.M.; Thananusak, R.; Hamid, A.A.; Vongsangnak, W.; Song, Y. Uncovering global lipid accumulation routes towards docosahexaenoic acid (DHA) production in Aurantiochytrium sp. SW1 using integrative proteomic analysis. Biochim. Biophys. Acta (BBA) Mol. Cell Biol. Lipids 2023, 1868, 159381. [Google Scholar] [CrossRef]
- Xu, X.; Huang, C.; Xu, Z.; Xu, H.; Wang, Z.; Yu, X. The strategies to reduce cost and improve productivity in DHA production by Aurantiochytrium sp.: From biochemical to genetic respects. Appl. Microbiol. Biotechnol. 2020, 104, 9433–9447. [Google Scholar] [CrossRef]
- Aasen, I.M.; Ertesvåg, H.; Heggeset, T.M.; Liu, B.; Brautaset, T.; Vadstein, O.; Ellingsen, T.E. Thraustochytrids as production organisms for docosahexaenoic acid (DHA), squalene, and carotenoids. Appl. Microbiol. Biotechnol. 2016, 100, 4309–4321. [Google Scholar] [CrossRef]
- Kadalag, N.L.; Pawar, P.R.; Prakash, G. Co-cultivation of Phaeodactylum tricornutum and Aurantiochytrium limacinum for polyunsaturated omega-3 fatty acids production. Bioresour. Technol. 2022, 346, 126544. [Google Scholar] [CrossRef] [PubMed]
- Fossier Marchan, L.; Lee Chang, K.J.; Nichols, P.D.; Mitchell, W.J.; Polglase, J.L.; Gutierrez, T. Taxonomy, ecology and biotechnological applications of thraustochytrids: A review. Biotechnol. Adv. 2018, 36, 26–46. [Google Scholar] [CrossRef] [PubMed]
- Chi, G.; Xu, Y.; Cao, X.; Li, Z.; Cao, M.; Chisti, Y.; He, N. Production of polyunsaturated fatty acids by Schizochytrium (Aurantiochytrium) spp. Biotechnol. Adv. 2022, 55, 107897. [Google Scholar] [CrossRef]
- Humhal, T.; Kastanek, P.; Jezkova, Z.; Cadkova, A.; Kohoutkova, J.; Branyik, T. Use of saline waste water from demineralization of cheese whey for cultivation of Schizochytrium limacinum PA-968 and Japonochytrium marinum AN-4. Bioprocess Biosyst. Eng. 2017, 40, 395–402. [Google Scholar] [CrossRef]
- Du, F.; Wang, Y.-Z.; Xu, Y.-S.; Shi, T.-Q.; Liu, W.-Z.; Sun, X.-M.; Huang, H. Biotechnological production of lipid and terpenoid from thraustochytrids. Biotechnol. Adv. 2021, 48, 107725. [Google Scholar] [CrossRef]
- Jakobsen, A.N.; Aasen, I.M.; Josefsen, K.D.; Strøm, A.R. Accumulation of docosahexaenoic acid-rich lipid in thraustochytrid Aurantiochytrium sp. strain T66: Effects of N and P starvation and O2 limitation. Appl. Microbiol. Biotechnol. 2008, 80, 297–306. [Google Scholar] [CrossRef]
- Zhao, Y.; Wang, H.P.; Yu, C.; Ding, W.; Han, B.; Geng, S.; Ning, D.; Ma, T.; Yu, X. Integration of physiological and metabolomic profiles to elucidate the regulatory mechanisms underlying the stimulatory effect of melatonin on astaxanthin and lipids coproduction in Haematococcus pluvialis under inductive stress conditions. Bioresour. Technol. 2021, 319, 124150. [Google Scholar] [CrossRef] [PubMed]
- Bao, Z.; Zhu, Y.; Zhang, K.; Feng, Y.; Chen, X.; Lei, M.; Yu, L. High-value utilization of the waste hydrolysate of Dioscorea zingiberensis for docosahexaenoic acid production in Schizochytrium sp. Bioresour. Technol. 2021, 336, 125305. [Google Scholar] [CrossRef]
- Ramachandran, S.; Rajendra Prasad, N.; Karthikeyan, S. Sesamol inhibits UVB-induced ROS generation and subsequent oxidative damage in cultured human skin dermal fibroblasts. Arch. Dermatol. Res. 2010, 302, 733–744. [Google Scholar] [CrossRef]
- Bao, Z.; Zhu, Y.; Feng, Y.; Zhang, K.; Zhang, M.; Wang, Z.; Yu, L. Enhancement of lipid accumulation and docosahexaenoic acid synthesis in Schizochytrium sp. H016 by exogenous supplementation of sesamol. Bioresour. Technol. 2022, 345, 126527. [Google Scholar] [CrossRef]
- Liang, S.; Yang, X.; Zhu, X.; Ibrar, M.; Liu, L.; Li, S.; Li, X.; Tian, T.; Li, S. Metabolic Engineering to Improve Docosahexaenoic Acid Production in Marine Protist Aurantiochytrium sp. by Disrupting 2,4-Dienoyl-CoA Reductase. Front. Mar. Sci. 2022, 9, 939716. [Google Scholar] [CrossRef]
- Ou, Y.; Li, Y.; Feng, S.; Wang, Q.; Yang, H. Transcriptome Analysis Reveals an Eicosapentaenoic Acid Accumulation Mechanism in a Schizochytrium sp. Mutant. Microbiol. Spectr. 2023, 11, e00130-23. [Google Scholar] [CrossRef] [PubMed]
- Krivoruchko, A.; Zhang, Y.; Siewers, V.; Chen, Y.; Nielsen, J. Microbial acetyl-CoA metabolism and metabolic engineering. Metab. Eng. 2015, 28, 28–42. [Google Scholar] [CrossRef]
- Song, Y.; Hu, Z.; Xiong, Z.; Li, S.; Liu, W.; Tian, T.; Yang, X. Comparative transcriptomic and lipidomic analyses indicate that cold stress enhanced the production of the long C18–C22 polyunsaturated fatty acids in Aurantiochytrium sp. Front. Microbiol. 2022, 13, 915773. [Google Scholar] [CrossRef]
- Du, H.; Liao, X.; Gao, Z.; Li, Y.; Lei, Y.; Chen, W.; Chen, L.; Fan, X.; Zhang, K.; Chen, S.; et al. Effects of Methanol on Carotenoids as Well as Biomass and Fatty Acid Biosynthesis in Schizochytrium limacinum B4D1. Appl. Environ. Microbiol. 2019, 85, e01243-19. [Google Scholar] [CrossRef]
- Chatterjee, A.; Gupta, S. The multifaceted role of glutathione S-transferases in cancer. Cancer Lett. 2018, 433, 33–42. [Google Scholar] [CrossRef]
- Song, X.; Zang, X.; Zhang, X. Production of High Docosahexaenoic Acid by Schizochytrium sp. Using Low-cost Raw Materials from Food Industry. J. Oleo Sci. 2015, 64, 197–204. [Google Scholar] [CrossRef] [PubMed]
- Morabito, C.; Bournaud, C.; Maës, C.; Schuler, M.; Aiese Cigliano, R.; Dellero, Y.; Maréchal, E.; Amato, A.; Rébeillé, F. The lipid metabolism in thraustochytrids. Prog. Lipid Res. 2019, 76, 101007. [Google Scholar] [CrossRef]
- Zeng, Y.; Ji, X.-J.; Lian, M.; Ren, L.-J.; Jin, L.-J.; Ouyang, P.-K.; Huang, H. Development of a Temperature Shift Strategy for Efficient Docosahexaenoic Acid Production by a Marine Fungoid Protist, Schizochytrium sp. HX-308. Appl. Biochem. Biotechnol. 2011, 164, 249–255. [Google Scholar] [CrossRef]
- Sun, X.-M.; Ren, L.-J.; Bi, Z.-Q.; Ji, X.-J.; Zhao, Q.-Y.; Jiang, L.; Huang, H. Development of a cooperative two-factor adaptive-evolution method to enhance lipid production and prevent lipid peroxidation in Schizochytrium sp. Biotechnol. Biofuels 2018, 11, 65. [Google Scholar] [CrossRef]
- Yokochi, T.; Honda, D.; Higashihara, T.; Nakahara, T. Optimization of docosahexaenoic acid production by Schizochytrium limacinum SR21. Appl. Microbiol. Biotechnol. 1998, 49, 72–76. [Google Scholar] [CrossRef]
- Wang, L.R.; Zhang, Z.X.; Wang, Y.Z.; Li, Z.J.; Huang, P.W.; Sun, X.M. Assessing the potential of Schizochytrium sp. HX-308 for microbial lipids production from corn stover hydrolysate. Biotechnol. J. 2022, 17, e2100470. [Google Scholar] [CrossRef]
- Jiang, X.; Zhang, J.; Zhao, J.; Gao, Z.; Zhang, C.; Chen, M. Regulation of lipid accumulation in Schizochytrium sp. ATCC 20888 in response to different nitrogen sources. Eur. J. Lipid Sci. Technol. 2017, 119, 1700025. [Google Scholar] [CrossRef]
- Sun, L.; Ren, L.; Zhuang, X.; Ji, X.; Yan, J.; Huang, H. Differential effects of nutrient limitations on biochemical constituents and docosahexaenoic acid production of Schizochytrium sp. Bioresour. Technol. 2014, 159, 199–206. [Google Scholar] [CrossRef] [PubMed]
- Nazir, Y.; Shuib, S.; Kalil, M.S.; Song, Y.; Hamid, A.A. Optimization of Culture Conditions for Enhanced Growth, Lipid and Docosahexaenoic Acid (DHA) Production of Aurantiochytrium SW1 by Response Surface Methodology. Sci. Rep. 2018, 8, 8909. [Google Scholar] [CrossRef]
- Zhou, S.; Zou, H.; Huang, G.; Chen, G. Preparations and antioxidant activities of sesamol and it’s derivatives. Bioorganic Med. Chem. Lett. 2021, 31, 127716. [Google Scholar] [CrossRef] [PubMed]
- Liu, B.; Liu, J.; Sun, P.; Ma, X.; Jiang, Y.; Chen, F. Sesamol Enhances Cell Growth and the Biosynthesis and Accumulation of Docosahexaenoic Acid in the Microalga Crypthecodinium cohnii. J. Agric. Food Chem. 2015, 63, 5640–5645. [Google Scholar] [CrossRef] [PubMed]
- Ratledge, C. Fatty acid biosynthesis in microorganisms being used for Single Cell Oil production. Biochimie 2004, 86, 807–815. [Google Scholar] [CrossRef]
- Song, Y.; Yang, X.; Li, S.; Luo, Y.; Chang, J.S.; Hu, Z. Thraustochytrids as a promising source of fatty acids, carotenoids, and sterols: Bioactive compound biosynthesis, and modern biotechnology. Crit. Rev. Biotechnol. 2023, 44, 618–640. [Google Scholar] [CrossRef]
- Cui, G.-Z.; Ma, Z.; Liu, Y.-J.; Feng, Y.; Sun, Z.; Cheng, Y.; Song, X.; Cui, Q. Overexpression of glucose-6-phosphate dehydrogenase enhanced the polyunsaturated fatty acid composition of Aurantiochytrium sp. SD116. Algal Res. 2016, 19, 138–145. [Google Scholar] [CrossRef]
- Cui, G.; Wang, Z.; Hong, W.; Liu, Y.-J.; Chen, Z.; Cui, Q.; Song, X. Enhancing tricarboxylate transportation-related NADPH generation to improve biodiesel production by Aurantiochytrium. Algal Res. 2019, 40, 101505. [Google Scholar] [CrossRef]
- Wynn, J.P.; Kendrick, A.; Ratledge, C. Sesamol as an inhibitor of growth and lipid metabolism in Mucor circinelloides via its action on malic enzyme. Lipids 1997, 32, 605–610. [Google Scholar] [CrossRef]
- Meesapyodsuk, D.; Qiu, X. Biosynthetic mechanism of very long chain polyunsaturated fatty acids in Thraustochytrium sp. 26185. J. Lipid Res. 2016, 57, 1854–1864. [Google Scholar] [CrossRef]
- Xie, Y.; Wang, G. Mechanisms of fatty acid synthesis in marine fungus-like protists. Appl. Microbiol. Biotechnol. 2015, 99, 8363–8375. [Google Scholar] [CrossRef] [PubMed]
- Johansson, M.; Chen, X.; Milanova, S.; Santos, C.; Petranovic, D. PUFA-induced cell death is mediated by Yca1p-dependent and -independent pathways, and is reduced by vitamin C in yeast. FEMS Yeast Res. 2016, 16, fow007. [Google Scholar] [CrossRef]
- Bi, Z.-Q.; Ren, L.-J.; Hu, X.-C.; Sun, X.-M.; Zhu, S.-Y.; Ji, X.-J.; Huang, H. Transcriptome and gene expression analysis of docosahexaenoic acid producer Schizochytrium sp. under different oxygen supply conditions. Biotechnol. Biofuels 2018, 11, 249. [Google Scholar] [CrossRef]
- Zou, Y.; Cao, S.; Zhao, B.; Sun, Z.; Liu, L.; Ji, M. Increase in glutathione S-transferase activity and antioxidant damage ability drive resistance to bensulfuron-methyl in Sagittaria trifolia. Plant Physiol. Biochem. 2022, 190, 240–247. [Google Scholar] [CrossRef]
- Liu, L.; Hu, Z.; Li, S.; Yang, H.; Li, S.; Lv, C.; Zaynab, M.; Cheng, C.H.K.; Chen, H.; Yang, X. Comparative Transcriptomic Analysis Uncovers Genes Responsible for the DHA Enhancement in the Mutant Aurantiochytrium sp. Microorganisms 2020, 8, 529. [Google Scholar] [CrossRef]
- Wang, X.; Liu, S.F.; Qin, Z.H.; Balamurugan, S.; Li, H.Y.; Lin, C.S.K. Sustainable and stepwise waste-based utilisation strategy for the production of biomass and biofuels by engineered microalgae. Environ. Pollut. 2020, 265, 114854. [Google Scholar] [CrossRef] [PubMed]
- Folch, J.; Lees, M.; Sloane Stanley, G.H. A simple method for the isolation and purification of total lipides from animal tissues. J. Biol. Chem. 1957, 226, 497–509. [Google Scholar] [CrossRef] [PubMed]
- Li, S.; Hu, Z.; Yang, X.; Li, Y. Effect of Nitrogen Sources on Omega-3 Polyunsaturated Fatty Acid Biosynthesis and Gene Expression in Thraustochytriidae sp. Mar. Drugs 2020, 18, 612. [Google Scholar] [CrossRef] [PubMed]
- Anders, S.; Huber, W. Differential expression analysis for sequence count data. Genome Biol. 2010, 11, R106. [Google Scholar] [CrossRef]






| Run | A: Temperature (°C) | B: Salinity (%) | C: N Ratio | D: N Concentration (g/L) | DCW (g/L) |
|---|---|---|---|---|---|
| 1 | 26 (−1) | 10 (0) | 3 (+1) | 0.9 (0) | 5.12 |
| 2 | 29 (0) | 20 (+1) | 1 (−1) | 0.9 (0) | 5.20 |
| 3 | 32 (+1) | 10 (0) | 1 (−1) | 0.9 (0) | 4.92 |
| 4 | 29 (0) | 0 (−1) | 2 (0) | 0.7 (−1) | 4.73 |
| 5 | 29 (0) | 10 (0) | 2 (0) | 0.9 (0) | 5.75 |
| 6 | 29 (0) | 20 (+1) | 3 (+1) | 0.9 (0) | 4.79 |
| 7 | 29 (0) | 10 (0) | 2 (0) | 0.9 (0) | 5.49 |
| 8 | 29 (0) | 0 (−1) | 2 (0) | 1.1 (+1) | 5.17 |
| 9 | 29 (0) | 0 (−1) | 1 (−1) | 0.9 (0) | 4.58 |
| 10 | 29 (0) | 20 (+1) | 2 (0) | 0.7 (−1) | 4.90 |
| 11 | 26 (−1) | 10 (0) | 2 (0) | 1.1 (+1) | 5.33 |
| 12 | 29 (0) | 10 (0) | 2 (0) | 0.9 (0) | 5.69 |
| 13 | 32 (+1) | 0 (−1) | 2 (0) | 0.9 (0) | 4.22 |
| 14 | 29 (0) | 10 (0) | 2 (0) | 0.9 (0) | 5.49 |
| 15 | 29 (0) | 10 (0) | 3 (+1) | 1.1 (+1) | 5.79 |
| 16 | 32 (+1) | 10 (0) | 2 (0) | 1.1 (+1) | 4.92 |
| 17 | 26 (−1) | 0 (−1) | 2 (0) | 0.9 (0) | 4.78 |
| 18 | 29 (0) | 0 (−1) | 3 (+1) | 0.9 (0) | 4.59 |
| 19 | 29 (0) | 10 (0) | 1 (−1) | 0.7 (−1) | 5.03 |
| 20 | 29 (0) | 20 (+1) | 2 (0) | 1.1 (+1) | 5.01 |
| 21 | 32 (+1) | 10 (0) | 3 (+1) | 0.9 (0) | 5.44 |
| 22 | 29 (0) | 10 (0) | 2 (0) | 0.9 (0) | 5.65 |
| 23 | 26 (−1) | 20 (+1) | 2 (0) | 0.9 (0) | 4.94 |
| 24 | 29 (0) | 10 (0) | 3 (+1) | 0.7 (−1) | 5.17 |
| 25 | 32 (+1) | 20 (+1) | 2 (0) | 0.9 (0) | 4.86 |
| 26 | 26 (−1) | 10 (0) | 1 (−1) | 0.9 (0) | 5.47 |
| 27 | 26 (−1) | 10 (0) | 2 (0) | 0.7 (−1) | 5.17 |
| 28 | 32 (+1) | 10 (0) | 2 (0) | 0.7 (−1) | 4.99 |
| 29 | 29 (0) | 10 (0) | 1 (−1) | 1.1 (+1) | 5.38 |
| Source | Sum of Squares | df | Mean Square | F-Value | p-Value | |
|---|---|---|---|---|---|---|
| Model | 3.5100 | 11 | 0.3191 | 9.45 | <0.0001 | significant |
| A—temperature | 0.1757 | 1 | 0.1757 | 5.20 | 0.0357 | |
| B—salinity | 0.2172 | 1 | 0.2172 | 6.43 | 0.0213 | |
| C—the ratio of two nitrogen sources | 0.0085 | 1 | 0.0085 | 0.2508 | 0.6229 | |
| D—nitrogen source concentration | 0.2184 | 1 | 0.2184 | 6.47 | 0.0210 | |
| AB | 0.0589 | 1 | 0.0589 | 1.74 | 0.2042 | |
| AC | 0.1888 | 1 | 0.1888 | 5.59 | 0.0302 | |
| AD | 0.0123 | 1 | 0.0123 | 0.3646 | 0.5539 | |
| A2 | 0.6196 | 1 | 0.6196 | 18.34 | 0.0005 | |
| B2 | 2.3700 | 1 | 2.37 | 70.27 | <0.0001 | |
| C2 | 0.1335 | 1 | 0.1335 | 3.95 | 0.0631 | |
| D2 | 0.1073 | 1 | 0.1073 | 3.18 | 0.0926 | |
| Residual | 0.5742 | 17 | 0.0338 | |||
| Lack of Fit | 0.5176 | 13 | 0.0398 | 2.82 | 0.1640 | not significant |
| Pure Error | 0.0566 | 4 | 0.0141 | |||
| Cor Total | 4.0800 | 28 |
| Gene ID | Name | Description | YSS vs. YS (log2 Fold Change) |
|---|---|---|---|
| Fatty Acid Synthesis | |||
| TRINITY_DN338_c0_g1_i2-SM4 | ACC | acetyl-CoA carboxylase | 0.81 |
| TRINITY_DN7076_c0_g1_i1-SM4 | MCAT | malonyl-CoA:ACP transacylase | 1.07 |
| TRINITY_DN14219_c0_g1_i1-SM4 | ME | malate dehydrogenase (oxaloacetate-decarboxylating) | 1.00 |
| TRINITY_DN11008_c0_g1_i1-YS | FAS | fatty acid synthase | 0.92 |
| TRINITY_DN15725_c0_g1_i1-YSS | KS | 3-ketoacyl-synthase | 0.68 |
| TRINITY_DN4969_c0_g2_i1-YS | KR | ketoreductase | 1.33 |
| TRINITY_DN2556_c0_g1_i1-YSS | PFK | 6-phosphofructokinase | 1.07 |
| TRINITY_DN897_c2_g1_i1-YSS | TPI | triosephosphate isomerase | 1.00 |
| TRINITY_DN10506_c0_g1_i1-YSS | GAPDH | glyceraldehyde 3-phosphate dehydrogenase | 1.21 |
| Fatty Acid Degradation | |||
| TRINITY_DN2005_c6_g1_i1-YSS | HADH | 3-hydroxyacyl-CoA dehydrogenase | 1.45 |
| TRINITY_DN13554_c0_g1_i1-AM4 | ECH | enoyl-CoA hydratase | 1.38 |
| TRINITY_DN11028_c0_g1_i1-YS | ACD | acyl-CoA dehydrogenase | 1.17 |
| TRINITY_DN2439_c0_g1_i1-YSS | KAT | 3-ketoacyl-CoA thiolase | 0.90 |
| antioxidant system | |||
| TRINITY_DN12527_c0_g1_i1-YSS | GST | glutathione S-transferase | 1.18 |
| TRINITY_DN11074_c0_g1_i1-AM4 | SOD | superoxide dismutase | 1.27 |
| A | B | C | D | |
|---|---|---|---|---|
| Level | Temperature (°C) | Salinity (‰) | nitrogen concentration (g/L) | nitrogen ratio * |
| −1 | 26 | 0 | 0.7 | 1:1 |
| 0 | 29 | 10 | 0.9 | 2:1 |
| 1 | 32 | 20 | 1.1 | 3:1 |
Disclaimer/Publisher’s Note: The statements, opinions and data contained in all publications are solely those of the individual author(s) and contributor(s) and not of MDPI and/or the editor(s). MDPI and/or the editor(s) disclaim responsibility for any injury to people or property resulting from any ideas, methods, instructions or products referred to in the content. |
© 2024 by the authors. Licensee MDPI, Basel, Switzerland. This article is an open access article distributed under the terms and conditions of the Creative Commons Attribution (CC BY) license (https://creativecommons.org/licenses/by/4.0/).
Share and Cite
Yang, X.; Wei, L.; Liang, S.; Wang, Z.; Li, S. Comparative Transcriptomic Analysis on the Effect of Sesamol on the Two-Stages Fermentation of Aurantiochytrium sp. for Enhancing DHA Accumulation. Mar. Drugs 2024, 22, 371. https://doi.org/10.3390/md22080371
Yang X, Wei L, Liang S, Wang Z, Li S. Comparative Transcriptomic Analysis on the Effect of Sesamol on the Two-Stages Fermentation of Aurantiochytrium sp. for Enhancing DHA Accumulation. Marine Drugs. 2024; 22(8):371. https://doi.org/10.3390/md22080371
Chicago/Turabian StyleYang, Xuewei, Liyang Wei, Shitong Liang, Zongkang Wang, and Shuangfei Li. 2024. "Comparative Transcriptomic Analysis on the Effect of Sesamol on the Two-Stages Fermentation of Aurantiochytrium sp. for Enhancing DHA Accumulation" Marine Drugs 22, no. 8: 371. https://doi.org/10.3390/md22080371
APA StyleYang, X., Wei, L., Liang, S., Wang, Z., & Li, S. (2024). Comparative Transcriptomic Analysis on the Effect of Sesamol on the Two-Stages Fermentation of Aurantiochytrium sp. for Enhancing DHA Accumulation. Marine Drugs, 22(8), 371. https://doi.org/10.3390/md22080371
