Abstract
The CH2Cl2-MeOH extract of the Mediterranean sponge Crambe crambe was investigated via UHPLC-HRMS/MS employing manual dereplication and in silico mass spectrometry tools. A deconvolution approach was implemented for the extensive metabolic characterization of the sample, resulting in the annotation of 53 compounds. The analysis of data-dependent HRMS/MS scans was conducted to establish fragmentation patterns characteristic of each crambescin A, B, and C sub-families. Among the 39 compounds identified from these groups, 22 analogues were reported for the first time including 4 new homologous series that differed by the ratio of methylene units in the upper (n + 2) and lower (m + 2) alkyl side chains. More specifically, crambescins presenting m = 5 or 6 and n = 5 (compounds 7, 11, 22 and 24) as well as m = 5 or 6 and n = 4 (compounds 5, 6, 8, 9, 12 and 14) were characterized. Additionally, four new features, potentially corresponding to new crambescidin analogues (compounds 13, 15, 35, and 39), were also reported. The identity of the dereplicated features was further validated by studying crambescins’ spectral similarities through a feature-based molecular networking approach. Overall, this study suggests UHPLC-HRMS/MS—through the integration of manual and computational dereplication approaches—as a valuable tool for the investigation and high-throughput characterization of the C. crambe metabolome.
1. Introduction
Crambe crambe is a red encrusting sponge of the order Poecilosclerida and is widespread along the sublittoral of the western Mediterranean Sea and the Macaronesian archipelagos [1]. Extensive studies have been carried out on this model sponge with regard to its ecology and chemical content [2,3,4].
The species is well known for the accumulation of a large diversity of guanidine-bearing alkaloids, a group of secondary metabolites that might have a microbial origin [5,6]. Although for many years it was believed that C. crambe is virtually free of microsymbionts [7], recent studies of the microbiome of the species have reported the presence of a low number of bacteria and fungi, along with a group of Betaproteobacteria which dominates its microbial community and may be involved in the biosynthesis of guanidine alkaloids [6,8,9]. However, C. crambe is a low microbial abundance sponge harbouring much smaller bacterial communities with a lower bacterial diversity compared to other sponges [10].
The complex guanidine alkaloids derived from the sponge are distributed in two main chemical families, crambescins and crambescidins. The crambescins can be divided into three sub-families: crambescins A, B, and C. The structure of all crambescin A analogues includes a 5,6-fused bicyclic ring system linked to one aliphatic side chain at the C-13 position and a guanidinoalkyl side chain at the C-7 position. The second type is of a crambescin B skeleton, which is characterized by a [4,5] decane spiro-ring system with similar side chains as crambescin A. Crambescin C represents the third sub-family featured by a monocyclic guanidine ring connected to a linear 3-hydroxypropyl chain and two side chains [11,12] (Figure 1). The members of the crambescidin family have a pentacyclic guanidine core and are named according to their molecular weight [13,14,15].
Figure 1.
Structures of crambescin sub-families and the most common crambescidins described in the literature.
These specialized metabolites biosynthesized in C. crambe are chemotaxonomic markers for the Crambeidae family and exhibit an outstanding range of biological activities. Several studies have demonstrated the antifungal, antimalarial, antiviral, and cytotoxic activity against a diverse panel of human tumour cell lines from members of the crambescidin family, while crambescins present a more specific activity on ion channels [14,16,17,18,19,20,21,22,23]. Being one of the strongest organic bases, guanidine might be responsible for the biological activity of these molecules, due to the ionic pocket in the guanidine nucleus, which can interact with biopolymers through hydrogen bonds and/or electrostatic interactions [24]. The unique chemical architectures of polycyclic guanidine alkaloids, along with the broad spectrum of their biological activities, make them particularly attractive as starting points for drug development.
The complexity of the C. crambe metabolic profile lies in the presence of multiple crambescin homologous series constituting a mixture of compounds that display a high degree of structural similarity. In that context, UHPLC-HRMS/MS associated with the dereplication approach represents a valuable tool for the high-throughput characterization of the sponge’s metabolome. Molecular networking and computational processing contribute to the advanced analysis of MS/MS data. Molecular networking was first introduced as a dereplication strategy over a decade ago, with a key publication in 2013 demonstrating its ability to organize mass spectrometry data and facilitate the identification of known compounds in complex biological mixtures based on spectral similarities [25]. Since then, the approach has evolved considerably, with various advancements and applications reported in the literature [26,27]. Regarding sea sponges, molecular networking as a dereplication strategy has been successfully employed across different species, sometimes leading to the discovery of novel compounds, and even entirely new compound classes [28,29].
In the present study, the dichloromethane–methanol (CH2Cl2-MeOH) extract of C. crambe was analyzed using UHPLC-HRMS/MS. The robust mass spectral data were processed and dereplicated with modern mass spectrometry computational tools that utilize machine learning algorithms and in silico fragmentation to aid in structural elucidation and chemical class prediction [30,31,32,33,34]. Molecular networking visualization was conducted in the comprehensive Cytoscape environment [35] by integrating data from both molecular networking and manual dereplication approaches.
2. Results and Discussion
Through this research, the guanidine alkaloid class of natural products was annotated, resulting in the manual dereplication of 53 compounds (Supplementary Material, Table S11). Among these, 22 novel crambescin analogues were reported for the first time (Table 1), along with 4 potentially new crambescidin analogues for which full structural characterization has not yet been achieved.
Table 1.
The proposed structures of 22 new crambescin analogues.
All detected compounds were more abundant both in number and intensity in the ESI(+) mode in comparison to the ESI(−). Consequently, we focused our study only on the ESI(+). The deconvolution process yielded the detection of 53 compounds within the crude extract as presented in Table 2. The two internal standards, yohimbine and reserpine, were detected as intense peaks eluted at 9.80 and 12.59 min, organizing into their own distinct molecular clusters in the MN analysis. The observed m/z corresponded to [M+H]+ ions and were consistent with their molecular formulas, while characteristic fragments ions were detected with a mass error < 5 ppm. These results demonstrated the suitability of the system regarding mass accuracy at both HRMS and HRMS/MS levels, and a mass error of ±5 ppm was further considered for the annotation of deconvoluted peaks. All 53 annotated metabolites belonged to the guanidine alkaloid family, most of them being detected as multiple charged species. Annotation of crambescin analogues was performed according to previous studies suggesting a conventional nomenclature based on sub-family type followed by the molecular weight [11,36]. Accordingly, crambescidin analogues were named according to their molecular weight. Crambescins and, generally, guanidine alkaloids, constitute a major component of the overall chemical profile as demonstrated by the sunburst plots visualizing the LC-MS/MS quantification data (Figure 2).
Figure 2.
Sunburst plot visualization of relative quantification of Natural Product Classes (NPCs), as predicted by CANOPUS ClassyFire, of the total chemical profile’s NPCs (left chart) and subclasses of guanidine alkaloids (right chart).
The 53 annotated metabolites represent the dominant features as illustrated in Figure 2. When visualized via molecular networking, they form the basis for four distinct clusters of crambescin-related compounds (Figure 3). The GNPS2 workflow enabled the construction of a feature-based molecular network (FBMN) comprising 1024 nodes (consensus MS2 spectra) and 2629 edges. Subsequently, integrated SIRIUS results were mapped onto the MN, highlighting the compound classes present in the C. crambe extract, as predicted by the SIRIUS built-in tool CANOPUS. The visualized results indicated the presence of guanidine alkaloid compounds in the C. crambe extract, aligning with both previous findings [37] and the existing literature [11,38]. As shown in Figure 3, the overlay of manually dereplicated data onto the constructed FBMN revealed a compelling clustering pattern. Specifically, multiple guanidine-containing clusters were observed, collectively consisting of 223 nodes and connected with 537 edges.
Figure 3.
Feature-based molecular networking (FBMN) of the Crambecrambe extract visualized in Cytoscape. The legend can be referred to for an explanation of the colours and shapes of the nodes, along with details about the clusters. The MN was visually enhanced using the InkScape vector graphics editor [39].
Analysis of the molecular network suggests that the manually dereplicated A, B, and C crambescins form three primary clusters based on their side chain moieties (“1”, “2”, or “3”), rather than their core structures (monocyclic, bicyclic, or spiro-ring). Three major clusters emerged: the first, mainly composed of crambescins A1, B1, and C1; the second, primarily featuring A2, B2, and C2; and the third predominantly consisting of A3, B3, and C3 crambescins.
One of the clusters, containing 87 nodes connected by 227 edges, encompassed nodes annotated as CANOPUS-predicted guanidine alkaloids, as well as nodes associated primarily with crambescins with “1”-type side chain moieties (crambescins A1, B1, and C1). Another cluster, comprising 55 nodes connected by 149 edges, also included guanidine alkaloids, along with crambescins with “3”-type side chain moieties (crambescins A3, B3 and C3). A third characteristic guanidine-alkaloid-containing cluster (21 nodes and 29 edges) encompassed nodes corresponding to crambescins with “2”-type side chain moieties (crambescins A2, B2, and C2). Finally, two additional clusters were observed, containing features corresponding to crambescidins and other guanidine-like compounds.
The MN inspection confirmed that guanidine-containing clusters, as predicted by CANOPUS, include most nodes linked to the manually dereplicated compounds of interest. This finding paves the way for exploring adjacent “unknown” nodes. Additionally, the visual analysis successfully differentiated clusters of crambescins, crambescidins, and guanidine-related compounds.
Table 2.
Compounds detected in C. crambe extract by ESI(+)-UHPLC-HRMS/MS.
Table 2.
Compounds detected in C. crambe extract by ESI(+)-UHPLC-HRMS/MS.
| # | m/z | Rt | Charge State, z | Mwexp. a | Proposed Formula | Δ(ppm) b | Major MS/MS Fragments: m/z (Charge State, z) | Proposed Identification | Ref. |
|---|---|---|---|---|---|---|---|---|---|
| 1 | 282.1806 | 8.16 | 1 | 281.1728 | C14H23N3O3 | −2.28 | 246.1587 (1); 264.1706 (1); 114.9612 (1); 60.0562 (1) | guanidine-related compound (C14H23N3O3) | |
| 2 | 282.1806 | 9.34 | 1 | 281.1728 | C14H23N3O3 | −2.13 | 114.9611 (1); 60.0562 (1); 223.1323 (1) | guanidine-related compound (C14H23N3O3) | |
| 3 | 264.1704 | 9.66 | 1 | 263.1626 | C14H21N3O2 | −0.99 | 246.1604 (1); 60.0562 (1) | guanidine-related compound (C14H21N3O2) | |
| IS | 355.2012 | 9.80 | 1 | 354.1934 | C21H26N2O3 | −0.75 | 144.0807 (1); 212.1274 (1) | Yohimbine | |
| 4 | 296.1964 | 10.44 | 1 | 295.1886 | C15H25N3O3 | −1.52 | 237.1476 (1); 205.1217 (1); 60.0562 (1); 159.1160 (1) | guanidine-related compound (C15H25N3O3) | |
| 5 | 227.1803 | 10.46 | 2 | 452.3450 | C23H44N6O3 | −3.31 | 174.1600 (1); 148.6021 (2) | crambescin C 452 homologue (m = 5, n = 4) | |
| 6 | 234.1884 | 10.77 | 2 | 466.3612 | C24H46N6O3 | −1.93 | 188.1756 (1); 155.6100 (2) | crambescin C 466 homologue (m = 6, n = 4) | |
| 7 | 174.1600 (1); 148.6021 (2) | crambescin C 466 homologue (m = 5, n = 5) | |||||||
| 8 | 218.1757 | 10.87 | 2 | 434.3357 | C23H42N6O2 | −0.65 | 197.1646 (2); 174.1600 (1); 148.1095 (2); 220.1689 (1) | crambescin A 434 homologue (m = 5, n = 4) | |
| 9 | 227.1803 | 10.88 | 2 | 452.3450 | C23H44N6O3 | −3.32 | 128.1431 (1); 174.1599 (1); 111.0442 (1); 284.1956 (1) | crambescin B 452 homologue (m = 5, n = 4) | |
| 10 | 234.1884 | 10.98 | 2 | 466.3612 | C24H46N6O3 | −1.91 | 160.1441 (1); 141.5942 (2) | crambescin C1 466 (m = 4, n = 6) | [11] |
| 11 | 241.1961 | 11.14 | 2 | 480.3765 | C25H48N6O3 | −2.42 | 188.1756 (1); 155.6096 (2) | crambescin C 480 homologue (m = 6, n = 5) | |
| 12 | 225.1835 | 11.16 | 2 | 448.3514 | C24H44N6O2 | −0.45 | 204.1722 (2); 188.1756 (1); 155.1178 (2); 220.1689 (1) | crambescin A 448 homologue (m = 6, n = 4) | |
| 13 | 292.8887 | 11.18 | 3 | 875.6426 | C44H87N6O11 | 1.73 | 246.1587 (1); 139.0751 (1); 162.1598 (1); 381.3460 (1) | crambescidin 875 | |
| 14 | 234.1884 | 11.18 | 2 | 466.3612 | C24H46N6O3 | −1.93 | 128.1432 (1); 111.0443 (1); 188.1757 (1); 298.2129 (1) | crambescin B 466 homologue (m = 6, n = 4) | |
| 15 | 279.2133 | 11.19 | 3 | 834.6166 | C45H82N6O8 | −1.01 | 246.1586 (1); 264.1707 (1); 70.0657 (1); 139.0750 (1) d | crambescidin 834 | |
| 16 | 241.1961 | 11.24 | 2 | 480.3765 | C25H48N6O3 | −2.46 | 174.1600 (1); 148.6021 (2) | crambescin C1 480 (m = 5, n = 6) | [11] |
| 17 | 218.1757 | 11.27 | 2 | 434.3357 | C23H42N6O2 | −0.58 | 127.0864 (2); 197.1646 (2); 132.1130 (1); 262.2150 (1) | crambescin A2 434 (m = 2, n = 7) | |
| 18 | 249.1829 | 11.33 | 2 | 496.3502 | C28H44N6O2 | −2.79 | 114.1028 (1); 384.2650 (1); 132.1131 (1); 228.1724 (2) | crambescin A3 496 (m = 2) (cis) | |
| 19 | 225.1834 | 11.36 | 2 | 448.3513 | C24H44N6O2 | −0.78 | 204.1722 (2); 141.1018 (2); 160.1441 (1); 248.2002 (1) | crambescin A1 448 (m = 4, n = 6) | |
| 20 | 234.1884 | 11.43 | 2 | 466.3612 | C24H46N6O3 | −1.93 | 132.1131 (1); 127.5783 (2) | crambescin C2 466 (m = 2, n = 8) | |
| 21 | 156.1748 (1); 111.0443 (1); 160.1441 (1) | crambescin B1 466 (m = 4, n = 6) | [11] | ||||||
| 22 | 248.2038 | 11.49 | 2 | 494.3921 | C26H50N6O3 | −2.46 | 188.1756 (1); 155.6091 (2) | crambescin C1 494 (m = 6, n = 6) | [11] |
| 23 | 238.1909 | 11.51 | 2 | 474.3662 | C26H46N6O2 | −2.02 | 188.1756 (1); 217.1806 (2); 155.1178 (2); 170.1650 (1) | didehydrocrambescin A1 474 (m = 6, n = 6) | |
| 24 | 241.1960 | 11.55 | 2 | 480.3765 | C25H48N6O3 | −2.58 | 142.1585 (1); 111.0443 (1); 188.1756 (1); 298.2106 (1) | crambescin B 480 homologue (m = 6, n = 5) | |
| 25 | 256.1910 | 11.55 | 2 | 510.3664 | C29H46N6O2 | −1.57 | 128.1178 (1); 384.2652 (1); 235.1809 (2); 146.1287 (1) | crambescin A3 510 (m = 3) (cis) | |
| 26 | 249.1829 | 11.62 | 2 | 496.3502 | C28H44N6O2 | −2.73 | 132.1131 (1); 114.1028 (1); 127.0864 (2); 384.2638 (1) | crambescin A3 496 (m = 2) (trans) | |
| 27 | 232.1909 | 11.62 | 2 | 462.3663 | C25H46N6O2 | −1.99 | 211.1798 (2); 174.1599 (1); 148.1093 (1); 248.2003 (1) | crambescin A1 462 (m = 5, n = 6) | [11] |
| 28 | 241.1961 | 11.68 | 2 | 480.3765 | C25H48N6O3 | −2.46 | 156.1749 (1); 111.0443 (1); 174.1600 (1); 284.1957 (1) | crambescin B1 480 (m = 5, n = 6) | [11] |
| 29 | 248.2039 | 11.68 | 2 | 494.3921 | C26H50N6O3 | −2.40 | 132.1131 (1); 127.0865 (2); 114.1026 (1) | crambescin C2 494 (m = 2, n = 10) | |
| 30 | 225.1835 | 11.70 | 2 | 448.3513 | C24H44N6O2 | −0.64 | 127.0863 (2); 204.1721 (2); 132.1130 (1); 276.2321 (1) | crambescin A2 448 (m = 2, n = 8) | [11] |
| 31 | 272.2038 | 11.71 | 2 | 542.3920 | C30H50N6O3 | −2.40 | 160.1441 (1); 142.1335 (1) | crambescin C3 542 (m = 4) | [12] |
| 32 | 267.8778 | 11.73 | 3 | 800.6100 | C45H80N6O6 | −2.50 | 70.0657 (1); 349.2648 (2); 206.1536 (1); 392.3078 (2) d | crambescidin 800 or isocrambescidin 800 | [13,14] |
| 33 | 263.1990 | 11.79 | 2 | 524.3824 | C30H48N6O2 | −0.76 | 142.1334 (1); 384.2649 (1); 160.1440 (1); 242.1875 (2) | crambescin A3 524 (m = 4) (cis) | [12] |
| 34 | 256.1910 | 11.81 | 2 | 510.3664 | C29H46N6O2 | −1.65 | 146.1287 (1); 134.0943 (2); 128.1178 (1); 235.1805 (2) | crambescin A3 510 (m = 3) (trans) | |
| 35 | 286.8851 | 11.83 | 3 | 857.6318 | C44H85N6O10 | 1.41 | 264.1703 (1); 139.0749 (1); 246.1602 (1); 381.3456 (1) | crambescidin 857 | |
| 36 | 273.2094 | 11.84 | 3 | 816.6048 | C45H80N6O7 | −2.53 | 264.1707 (1); 246.1587 (1); 139.0751 (1); 70.0657 (1) d | crambescidin 816 | [14] |
| 37 | 234.1884 | 11.88 | 2 | 466.3613 | C24H46N6O3 | −1.77 | 184.2054 (1); 132.1131 (1); 114.1028 (1); 242.1484 (1) | crambescin B2 466 (m = 2, n = 8) | |
| 38 | 239.1989 | 11.90 | 2 | 476.3821 | C26H48N6O2 | −1.39 | 188.1756 (1); 156.174 (1); 111.0443 (1); 218.1873 (2) | crambescin A1 476 (m = 6, n = 6) | |
| 39 | 281.5530 | 11.94 | 3 | 841.6355 | C44H85N6O9 | −0.20 | 263.1982 (1); 70.0657 (1); 116.1071 (1); 139.0751 (1) | crambescidin 841 | |
| 40 | 267.8778 | 11.94 | 3 | 800.6099 | C45H80N6O6 | −2.58 | 70.0657 (1); 349.2647 (2); 392.3078 (2); 206.1537 (1) d | crambescidin 800 or isocrambescidin 800 | [13,14] |
| 41 | 248.2039 | 11.94 | 2 | 494.3921 | C26H50N6O3 | −2.34 | 156.1749 (1); 111.0444 (1); 188.1756 (1); 298.2130 (1) | crambescin B1 494 (m = 6, n = 6) | [11] |
| 42 | 232.1910 | 11.98 | 2 | 462.3664 | C25H46N6O2 | −1.73 | 211.1799 (2); 134.0942 (2); 146.1287 (1); 276.2325 (1) | crambescin A 462 homologue (m = 3, n = 8) | |
| 43 | 238.1908 | 11.98 | 2 | 474.3659 | C26H46N6O2 | −2.74 | 127.0864 (2); 132.1131 (1); 217.1807 (2); 114.1028 (1) | didehydrocrambescin A2 474 (m = 2, n = 10) | |
| 44 | 270.2066 | 12.03 | 2 | 538.3977 | C31H50N6O2 | −1.36 | 497.3828 (1); 384.2652 (1); 522.3766 (1); 174.1602 (1) c | crambescin A3 538 (m = 5) (cis) | [12] |
| 45 | 263.1990 | 12.03 | 2 | 524.3825 | C30H48N6O2 | −0.63 | 160.1441 (1); 141.1018 (2); 242.1877 (2); 384.2650 (1) | crambescin A3 524 (m = 4) (trans) | [12] |
| 46 | 232.1910 | 12.11 | 2 | 462.3664 | C25H46N6O2 | −1.82 | 127.0864 (2); 211.1799 (2); 132.113 (1); 290.2473 (1) | crambescin A2 462 (m = 2, n = 9) | [11] |
| 47 | 416.3195 | 12.16 | 2 | 830.6233 | C46H82N6O7 | 0.98 | 264.1707 (1); 246.1587 (1); 70.0657 (1); 139.0751 (1) | crambescidin 830 | [14] |
| 48 | 272.2037 | 12.18 | 2 | 542.3917 | C30H50N6O3 | −2.92 | 160.1441 (1); 111.0443 (1); 232.2046 (1); 274.2275 (1) | crambescin B3 542 (m = 4) | [12] |
| 49 | 270.2066 | 12.27 | 2 | 538.3976 | C31H50N6O2 | −1.49 | 174.1597 (1); 148.1098 (2); 249.1955 (2); 156.1493 (1) | crambescin A3 538 ( m = 5) (trans) | [12] |
| 50 | 404.2534 | 12.32 | 1 | 403.2463 | C22H33O4N3 | −1.74 | 360.2640 (1); 206.1536 (1); 342.2542 (1); 60.0562 (1) | crambescidin acid | [37] |
| 51 | 239.1988 | 12.51 | 2 | 476.3820 | C26H48N6O2 | −1.65 | 127.0864 (2); 218.1873 (2); 132.113 (1); 304.2617 (1) | crambescin A2 476 (m = 2, n = 10) | [11] |
| 52 | 254.2221 | 12.51 | 1 | 253.2148 | C14H27N3O | −1.97 | 195.1740 (1); 97.0651 (1); 60.0562 (1); 111.0442 (1) | crambescin 253 | [37] |
| IS | 609.2800 | 12.59 | 1 | 608.2722 | C33H40N2O9 | −0.22 | 195.0642 (1); 174.0913; 397.2098 (1); 448.1952 (1) | reserpine | |
| 53 | 282.2534 | 13.77 | 1 | 281.2460 | C16H31N3O | −1.42 | 114.9612 (1); 223.2051 (1); 97.0651 (1); 60.0562 (1) | crambescin 281 | [37] |
a Experimental molecular weight was calculated from the observed m/z as follows: where MH = 1.0078 Da. b Mass error between the molecular weight was calculated from the experimental m/z and from the theoretical formula as follows: . For determination of the theoretical molecular weight, the following monoisotopic mass values were considered for each element of H, C, n, and O: MH = 1.0078 Da, MC = 12 Da, MN = 14.0031 Da, and MO = 15.9949 Da. [40].c MS/MS data-dependent scans were not triggered on the [M+2H]2 ion. Data from the MS/MS fragmentation of the [M+H]+ion are reported. d Data from the MS/MS fragmentation of the [M+2H]2+ ion are reported.
2.1. Crambescin A
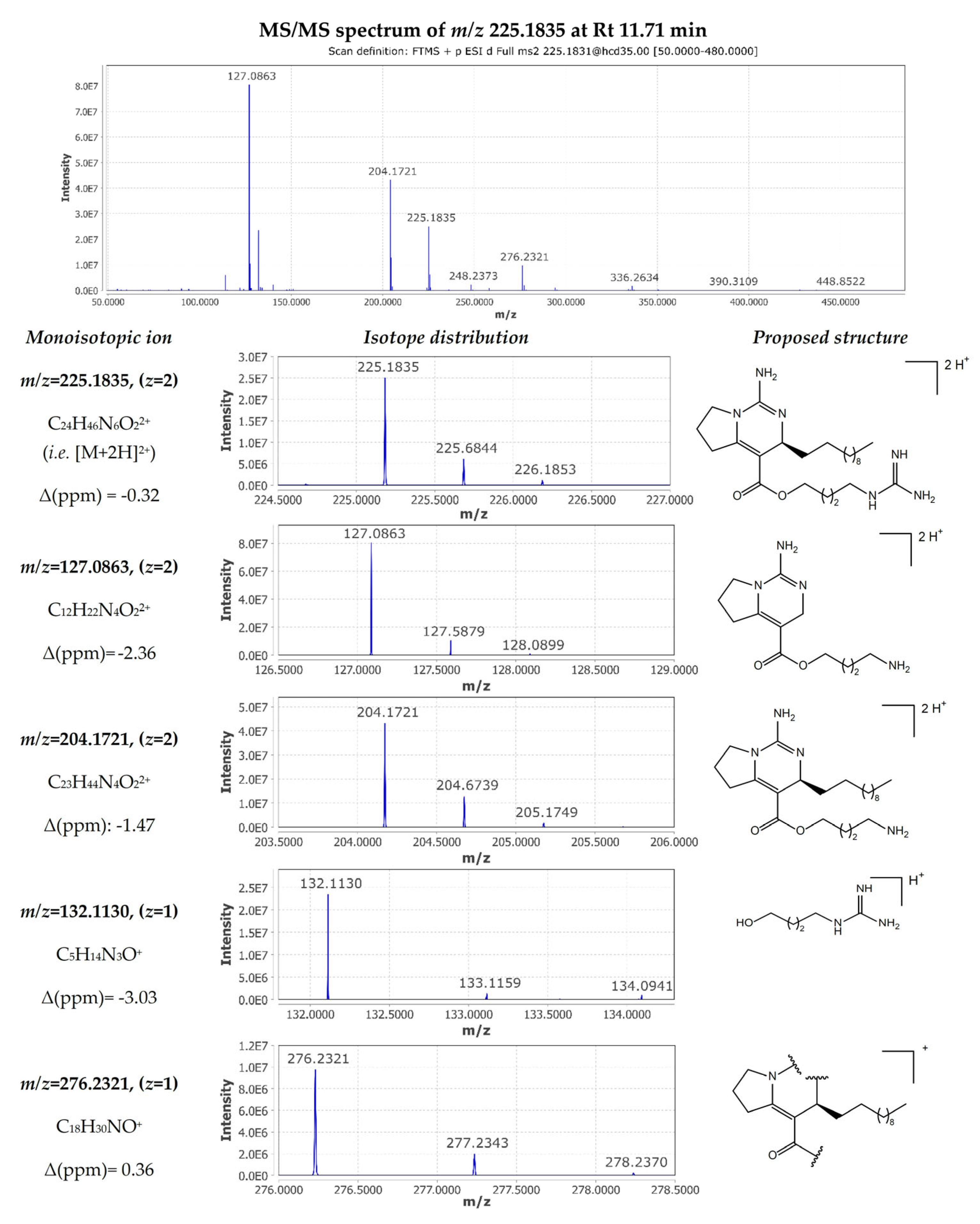
The most abundant metabolite of the extract (compound 30) was detected at 11.71 min with m/z 225.1835 corresponding to [M+2H]2+ consistent with a molecular formula of C24H44N6O2. In the MN analysis, the corresponding feature node is a part of the crambescin “2”-type sidechain moiety cluster, connected with another A2 crambescin (compound 51) and an annotated node congruent with CANOPUS-derived predictions for guanidine compounds. The single-charged ion [M+H]+ was also observed at m/z 449.3600 (Δ 1.34 ppm) with an intensity 50 times lower than that of the double-charged ion. The MS/MS spectrum of the [M+2H]2+ ion displayed characteristic fragments which provided insights on both alkyl and guanidinoalkyl side chains (Figure 4). More specifically, the loss of methylenediamine (−42 Da, CH2N2) yielded in the m/z 204.1721 fragment ion ([C23H44N4O2]2+, Δ −1.47 ppm), and further dissociation of the aliphatic side chain (−154 Da, C11H22) resulted in m/z 127.0863 ([C12H22N4O2]2+, Δ −2.36 ppm). Therefore, double-charged fragments can serve to determine the length of the aliphatic side chain at C-13. On the other hand, single-charged fragment m/z 132.1130 ([C5H14N3O]+, Δ −3.03 ppm) provided a direct characterization of the guanidinoalkyl side chain. Finally, the fragment ion m/z 276.2321 ([C18H30NO]+, Δ 0.36 ppm) could be related to the cleavage of both the guanidine cyclic core and guanidine ester. Consequently, compound 30 was identified as crambescin A2 448.
Figure 4.
MS/MS fragmentation of crambescin A2 448 (compound 30).
Interestingly, this fragmentation pattern led to the characterization of new homologues from the crambescin A family, which displayed different ratios regarding the number of methylene units composing the alkyl side chains. MS/MS spectra of compound 8 were consistent with a crambescin A 434 homologue with m = 5 and n = 4. Double-charged fragments with m/z 197.1646 and 148.1095 corresponded to [C22H42N4O2]2+ and [C15H28N4O2]2+, respectively (Δ, −0.76 and −2.70 ppm). As mentioned previously, neutral loss between these two fragments corresponded to the dissociation of the C-13 alkyl side chain, i.e., C7H14, while the guanidinoalkyl chain was characterized by the fragment m/z 174.1600 ([C8H20N3O]+, Δ −1.15 ppm).
Analogous to this fragmentation pattern, 10 compounds of the crambescin A group were annotated. Compounds 17 and 19 were identified as crambescin A2 434 and crambescin A1 448. Crambescin A1 462 and crambescin A2 462 were assigned to compounds 27 and 46 while compounds 38 and 51, respectively, corresponded to crambescin A1 476 and crambescin A2 476. The oxidized forms of 38 and 51, which were consistent with a formula of C24H46N6O2, were detected at 11.51 min (didehydrocrambescin A1 474, compound 23) and at 11.98 min (didehydrocrambescin A2 474, compound 43).
Additionally, another two new crambescin A homologues were characterized, compounds 12 and 42, which were identified as crambescin A 448 (m = 6, n = 4) and crambescin A 462 (m = 3, n = 8), respectively.
A series of compounds presenting empirical molecular formulae of the type CnH2n-12N6O2 were found to belong to the crambescin A3 sub-family, and were first introduced by Genta-Jouve et al. [41]. These metabolites exhibited Rings and Double Bond Equivalents (RDBEs) of 10 which indicates an extra four degrees of unsaturation compared to other crambescin A types (CnH2n-4N6O2, RDBE 6). Following a similar fragmentation pathway, a neutral loss of 202 Da (-C15H22) between double-charged fragment ions enabled us to confirm that these additional unsaturated bonds were located on the upper aliphatic side chain. Consequently, compounds 18 and 26 were determined to be crambescin A3 496 isomers, compounds 25 and 34 were found to be crambescin A3 510 isomers, compounds 44 and 49 were identified as crambescin A3 538 isomers, and compounds 33 and 35 were assigned to crambescin A3 524 isomers. To the authors’ knowledge, it is the first time that crambescin A3 isomerism has been reported. The same characteristic fragment ions were observed for each pair of isomers, differing only by their intensity as shown in Figure 5. The annotation of cis and trans isomers was based on their expected relative polarity.
Figure 5.
Comparison of MS/MS spectra of cis and trans isomers of crambescin A3 524 (compound 33 and 45, respectively).
2.2. Crambescins B and C
In addition to crambescin A, the investigation of the C. crambe metabolic profile revealed the presence of 16 compounds belonging to crambescin B and C families, which exhibited a different fragmentation pattern. These analogues display empirical molecular formulae of the type CnH2n-2N6O3, and their discrimination was based on the intensity of specific fragment ions. Due to the presence of two conjugated double bonds in the guanidine ring, members of the crambescin C family may undergo a retro-Diels–Alder reaction less easily compared to crambescin B, which possesses only one intracyclic bond [42].
A pair of isomers consistent with a molecular formula of C25H48N6O3 were detected at 11.24 min and 11.68 min (compounds 16 and 28). Following the analysis of the MS/MS spectrum presented in Figure 6, the double-charged ion [M+2H]2+ with m/z 241.1961 observed at 11.68 min was identified as the known metabolite crambescin B1 480 (compound 28). The guanidine cyclic core underwent a pericyclic reaction via a retro-Diels–Alder mechanism yielding two fragment ions m/z 198.1965 ([C11H24N3]+, Δ 0.00 ppm) and m/z 284.1957 ([C14H26N3O3]+, Δ −3.87 ppm). Consequently, the loss of methylenediamine from the first fragment resulted in m/z 156.1749 ([C10H22N]+, Δ 1.28 ppm), while dissociation of the guanidine ester from the second fragment produced the m/z 111.0443 ([C6H7O2]+, Δ −0.90 ppm) and m/z 174.1600 ([C8H20N3O]+ Δ −1.15 ppm) assigned to the spiroaminal ring and the lower guanidoalkyl chain, respectively. The constructed FBMN clustered crambescin B1 480 with crambescins B1 494, C1 466, and C1 480, creating a larger constellation. The manual dereplication method indicated that the majority of these compounds feature “1”-type moieties or side chains, regardless of the central cyclic guanidine core. Additionally, all these nodes are positioned within the previously mentioned subnetwork that includes CANOPUS-predicted guanidine compounds.
Figure 6.
MS/MS fragmentation of crambescin B1 480 (compound 28).
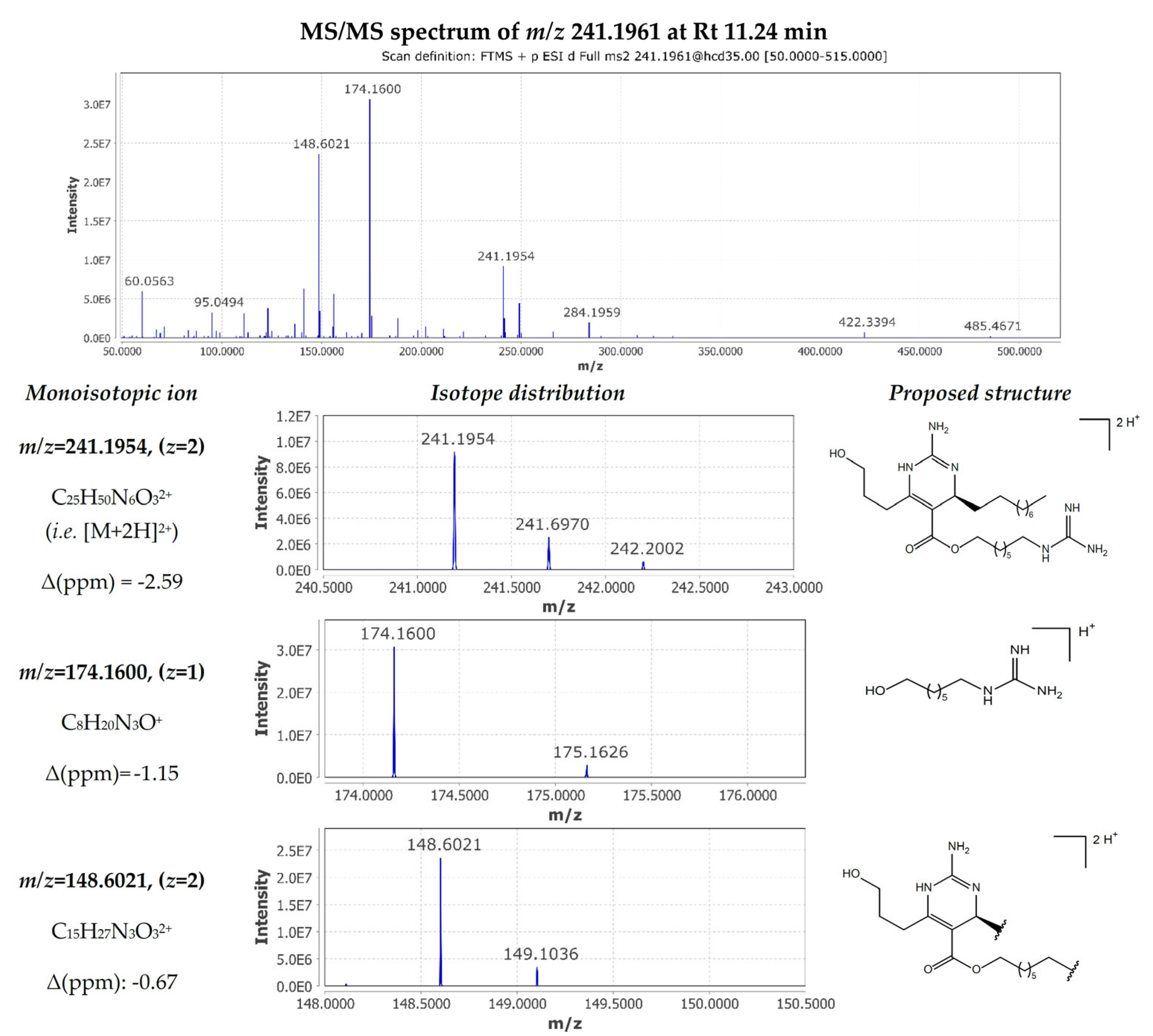
The fragmentation pattern observed for the metabolite corresponded to the double-charged ion [M+2H]2+ with m/z 241.1961 at 11.24 min and was very similar to that of crambescin B1 480. MS/MS spectrum inspection revealed the presence of the same fragments at significantly lower intensities. However, the difference lies in the presence of an intense double-charged fragment ion m/z 148.6021 ([C15H27N3O3]2+ Δ −0.67 ppm), implying the losses of the upper aliphatic chain and the guanidine moiety of the lower chain. Moreover, the other major fragment with m/z 174.1600 ([C8H20N3O]+ Δ −1.15 ppm) allowed the determination of the length of the lower aliphatic chain (Figure 7). Based on these observations, compound 16 was identified as crambescin C1 480.
Figure 7.
MS/MS fragmentation of crambescin C1 480 (compound 16).
Another pair of isomers eluting at 11.14 min (compound 11) and 11.55 min (compound 24) presented the same molecular formula with crambescins B1 and C1 480. MS/MS spectra of these metabolites displayed the same fragmentation motives, varying only in the length of the side chains. As a result, two new analogues were identified belonging to the crambescin B and C groups, which bore the same number of methylene units in the lower and upper aliphatic chain (m = 6, n = 5).
Based on the characteristic fragmentation scheme of crambescins B and C, other analogues were annotated accordingly. Compounds 22, 29, and 41 were identified as crambescins C1, C2, and B1 494, respectively, compounds 10 and 21 were assigned to crambescins C1 and B1 466, and compounds 20 and 37 corresponded to crambescins C2 and B2 466. Moreover, five new analogues were reported for the first time including two crambescin C 466 homologues (m = 6, n = 4; compound 6 and m = 5, n = 5; compound 7), one crambescin B 466 homologue with m = 6, n = 4 (compound 14), and one crambescin C 452 homologue (m = 5, n = 4; compound 5), as well as one crambescin B 452 homologue with m = 5, n = 4 (compound 9). Mass spectra and detailed fragmentation patterns for these new analogues are presented in the Supplementary Information (Supplementary Material, Figures S1–S10, Tables S1–S10).
Finally, two compounds presenting a molecular formula of C30H50N6O3 indicating 9 degrees of unsaturation were found to be the known crambescins C3 and B3 542 (compounds 31 and 48, respectively) [41] along with two minor metabolites, crambescins B 253 and 281 (compounds 52 and 53) [37].
2.3. Crambescidins and Other Guanidine Alkaloids
A triple-charged ion m/z 273.2094 eluting at 11.84 min was accounted for among the major metabolites detected in the extract. This feature was consistent with a molecular formula of C45H80N6O7 and was assigned to be crambescidin 816 (compound 37), a member of the crambescidin family that was introduced by Jares-Erijman et al. [14]. Other crambescidin metabolites present at lower concentrations were also identified including isomeric forms of crambescidin 800 (compounds 32 and 40) and crambescidin 830 (compound 47). Moreover, four new crambescidin analogues were detected, compound 13 (crambescidin 875, molecular formula C44H87N6O11), compound 15 (crambescidin 834, molecular formula C45H82N6O8), compound 35 (crambescidin 857, molecular formula C44H85N6O10), and compound 39 (crambescidin 841, molecular formula C44H85N6O9).
At the MS level, the base peak ion of all crambescidin analogues typically corresponded to the [M+3H]3+ form, with the [M+2H]2+ ion being present at lower intensities. At the MS/MS level, characteristic fragment ions were observed for all the compounds mentioned here above. More specifically, the fragment ion m/z 264.17 ([C14H22N3O2]+, Δ −1.51 to 0.00 ppm) corresponded to the guanidine core after the loss of the ethyl oxepine moiety and further dehydration yielded m/z 246.16. Another common fragment ion, m/z 70.0657 ([C4H8N]+, Δ 2.85 ppm), was produced by the fragmentation of the hydroxyspermidine unit and subsequent cleavage of the hydroxyl group. However, the structural elucidation of these new crambescidin analogues was not feasible due to the high complexity of the MS/MS spectra and the insufficient ion abundance, which limited the reliability of fragmentation pattern analysis.
Additionally, four guanidine-related compounds of lower molecular weights were observed as single-charged ions potentially belonging to the crambescidin family (compounds 1–4) along with the known crambescidin acid (compound 50).
In the context of molecular networking, the manually dereplicated crambescidins, as well as guanidine-related compounds, form their own distinct clusters.
3. Materials and Methods
3.1. Chemicals
Analytical grade dichloromethane and methanol that were used for sample extraction were purchased from Sigma-Aldrich (Steinheim, Germany). For sample reconstitution of the crude extract and further UHPLC-HRMS analysis, LC-MS grade solvents were used. More specifically, acetonitrile (LC-MS grade) was purchased from Fluka/Riedel-de Haën (Seelze, Germany), methanol (LC-MS grade) was acquired from Sigma-Aldrich (Steinheim, Germany), and formic acid (LC-MS grade) was obtained from Thermo Fisher Scientific (Geel, Belgium). High-purity water was provided by a Millipore Milli-Q Plus water purification system (Millipore, Milford, MA, USA). Reserpine and yohimbine were purchased from Sigma-Aldrich (Steinheim, Germany).
3.2. Sample Preparation
A sample (wet weight 277g) from the C. crambe species (class: Demospongiae; order: Poecilosclerida) [43] was collected from the Mediterranean Sea, La Herradura, Spain, 36°43′23.149″ N 3°43′35.91″ W. It was then lyophilized and further extracted using the Accelerated Solvent Extraction (ASE) method with a mixture of dichloromethane and methanol (50:50, v/v). The crude extract was obtained after evaporation of the solvents under reduced pressure and was reconstituted in MeOH in order to obtain a concentration of 1 mg.mL−1. The reconstituted sample was vortexed thoroughly for 10 min and further subjected to centrifugation at 12,000 rpm for 10 min at 4 °C. The supernatant was diluted and spiked with a mixture of reserpine and yohimbine, used as internal standards. The final concentration was 0.1 μg/mL crude C. crambe extract and 270 μg/mL for each internal standard.
3.3. UHPLC-HRMS/MS Analysis
Liquid chromatography analysis was performed on a Dionex Ultimate 3000 UHPLC system and detection was carried out on a Q-Exactive Orbitrap mass spectrometer equipped with an HESI source (Thermo Scientific, Bremen, Germany). More specifically, separation was achieved on a Hypersil Gold UPLC C18 (2.1 × 100 mm, 1.9 μm) (Thermo Scientific) column heated at 40 °C. Solvent A was Milli-Q water with 0.1% (v/v) formic acid and solvent B was acetonitrile. Gradient elution started with 95% A, decreasing to 5% A in 24 min. These conditions were kept for 4 min before returning to the initial conditions for a 2 min re-equilibration. Auto-sampler tray temperature was maintained at 8 °C and the injection volume was 10 μL. HRMS data were acquired in both negative and positive modes, in the full scan m/z range of 110–1000, with a resolution of 70,000 FWHM in profile mode. Data-dependent acquisition was simultaneously performed using HCD fragmentation with a normalized collision energy of 35% and a mass resolution of 35,000. Capillary temperature was set at 320 °C in both polarities, whereas source voltage was 3.6 kV in ESI+ and 3.2 kV in ESI-. Probe Heater Temperature was 200 °C and the S-Lens RF Level was set at 55. Finally, nitrogen was used as the sheath gas (40 arbitrary units) and auxiliary gas (8 arbitrary units).
3.4. Molecular Networking/Computational Chemical Dereplication
UHPLC-HRMS/MS chromatograms were acquired using Xcalibur version 2.1 (Thermo Fisher Scientific).
For the MN-based dereplication, the obtained Thermo Fisher *.raw data were first converted to the *.mzML format with the use of MSConvert, a tool from the ProteoWizard suite [44,45], in order to be processed in the MZmine2 environment [30]. During the conversion, the data are centroided (transforming profile data into a format that represents peak intensities at discrete m/z values) by applying a peak-picking filter. Data processing involved the following steps and parametrizations: (a) Mass detection was based on a defined threshold of 100 for MS1 and 10 for MS2. (b) Chromatogram building was achieved by implementing the GridMass–2D module [46]. More specifically, the algorithm was set to generate a grid of equally spaced probes of 0.05 min and 0.05 Da in the entire time range (1st dimension) and the m/z range (2nd dimension) of the chromatogram. (c) Chromatogram deconvolution was achieved through a local minimum search module, with a chromatographic threshold of 1%, a minimum RT of 0.05, a minimum relative height of 1%, a minimum absolute height of 200, and a minimum ratio of peak to edge of 1. (d) Lastly, we applied feature filtering to only keep the ones with MS2-containing scans. Following MZmine processing, data were forwarded to the GNPS2 online platform for molecular network construction and feature prediction through library matching [34]. FBMN workflow parameters in the GNPS2 environment included the following: general parameters—precursor ion tolerance 0.02 Da; fragment ion tolerance 0.02; networking parameters—minimum cosine score 0.7; minimum matched peaks 6; library search parameters—minimum cosine score 0.7; minimum matched peaks 6; search for analogues enabled. Furthermore, the data were imported into the SIRIUS [31] environment to predict the identity and chemical classes of the compounds based on the implemented CSI: FingerID [32] and the Support Vector Machine algorithms of CANOPUS and ClassyFire [33,47]. The NPC ClassyFire results were visualized in sunburst plots through Plotly Python [48] and were also integrated into the GNPS2-constructed FBMN [27,34] by utilizing the robust Cytoscape environment [35]. The Cytoscape platform was utilized for the visualization of FBMN with a significant advantage being its ability to display any tabular data as attributes of the network, applicable to both nodes and edges. For the MN layout, the yfiles [49] organic style was chosen since it reveals inherent symmetric and clustered structures within undirected graphs while ensuring a balanced distribution of nodes and minimizing edge crossings. The acquired data and workflows are available under the Findability, Accessibility, Interoperability, and Reuse (FAIR) principles. Specifically, MS/MS data are stored in the MassIVE repository (massive.ucsd.edu) with the identifier MSV000096117. The MN output and its parametrization can be found on the GNPS repository (https://gnps2.org/status?task=2e9e2fe9d05743118d93cbb64f30acb0, accessed on 18 November 2024).
4. Conclusions
An in-depth qualitative investigation of the Mediterranean sponge Crambecrambe was performed using UHPLC-HRMS/MS. The study of the CH2Cl2-MeOH extract led to the annotation of 53 compounds belonging to the crambescin and crambescidin families. A computational mass spectrometry approach, based on molecular networking studies and Natural Product Class predictions (NPC), enabled the further study of the crambescin guanidine alkaloid family and the prioritization of compounds for future isolation. A detailed fragmentation pattern is proposed for the characterization of crambescin compounds, which enabled the identification of 22 analogues reported for the first time. Interestingly, MS/MS data analysis highlighted the presence of four new homologous series of crambescins, regarding the ratio of methylene units that compose the upper (n + 2) and lower (m + 2) alkyl side chains. These new homologues included crambescins B/C 452 (compounds 9/5) and crambescin A 434 (compound 8) with m = 5, n = 4; crambescin C 466 (compound 7) with m = 5, n = 5; crambescins B/C 466 (compounds 14/6) and crambescin A 448 (compound 12) with m = 6, n = 4; and crambescins B/C 480 (compounds 24/11) with m = 6, n = 5. Moreover, the presence of eight crambescidin compounds is reported, among which four of them constitute new analogues. Due to its sensitivity, the high mass accuracy at both MS and MS/MS levels, and the extensive structural information provided through HCD fragmentation, the implemented UHPLC-HRMS/MS methodology demonstrated its fitness for purpose regarding the characterization of both major and minor guanidine alkaloids from C. crambe sponge.
Supplementary Materials
The following supporting information can be downloaded at https://www.mdpi.com/article/10.3390/md22110522/s1: Figure S1. MS spectrum of crambescin B 452 homologue (m = 5, n = 4), compound 9; Table S1. Proposed structure of compound 9; Figure S2. MS/MS spectrum of compound 9; Table S2. Fragmentation of compound 9; Figure S3. MS spectrum crambescin B 466 homologue (m = 6, n = 4), compound 14; Table S3. Proposed structure of compound 14; Figure S4. MS/MS spectrum of compound 14; Table S4. Fragmentation of compound 14; Figure S5. MS spectrum of crambescin C 452 homologue (m = 5, n = 4), compound 5; Table S5. Proposed structure of compound 5; Figure S6. MS/MS spectrum of compound 5; Table S6. Fragmentation of compound 5; Figure S7. MS spectrum of crambescin C 466 homologue (m = 6, n = 4), compound 6; Table S7. Proposed structure of compound 6; Figure S8. MS/MS spectrum of compound 6; Table S8. Fragmentation of compound 6; Figure S9. MS spectrum of crambescin C 466 homologue (m = 5, n = 5), compound 7; Table S9. Proposed structure of compound 7; Figure S10. MS/MS spectrum of compound 7; Table S10. Fragmentation of compound 7; Table S11. Structures of 53 annotated crambescin-, crambescidin-, and other guanidine-related compounds.
Author Contributions
Conceptualization, data analysis and interpretation, writing—original draft, P.V.; writing—review and editing, N.T.; sample preparation, UHPLC-HRMS/MS data acquisition, E.B. and A.T.; sample preparation, writing—review and editing, G.L.G.; computational data analysis, writing—review and editing N.M. and A.P.; writing—review and editing, J.O.; review and editing, coordination and supervision, N.F. All authors have read and agreed to the published version of the manuscript.
Funding
This research was supported and conducted in the frame of the H2020 TASCMAR project, which was funded by the European Union under grant agreement number 634674 (https://cordis.europa.eu/project/id/634674/reporting, accessed on 18 November 2024 ). This research was co-financed by Greece and the European Union (European Social Fund) through the Operational Programme “Human Resources Development, Education and Lifelong Learning” in the context of the Project “Strengthening Human Resources Research Potential via Doctorate Research” (Project No. MIS-5000432), implemented by the State Scholarships Foundation (ΙΚΥ).
Institutional Review Board Statement
Not applicable.
Data Availability Statement
The acquired data and workflows are stored as mentioned above in the MassIVE repository (massive.ucsd.edu) with the identifier MSV000096117, whereas the MN output can be found on the GNPS repository (https://gnps2.org/status?task=2e9e2fe9d05743118d93cbb64f30acb0).
Acknowledgments
iMare Nature S.L. is acknowledged for its contribution and assistance in the sponge collection process.
Conflicts of Interest
The authors declare no conflicts of interest.
References
- Duran, S.; Pascual, M.; Estoup, A.; Turon, X. Strong population structure in the marine sponge Crambe crambe (Poecilosclerida) as revealed by microsatellite markers. Mol. Ecol. 2004, 13, 511–522. [Google Scholar] [CrossRef] [PubMed]
- Sfecci, E.; Lacour, T.; Amade, P.; Mehiri, M. Polycyclic guanidine alkaloids from Poecilosclerida marine sponges. Mar. Drugs 2016, 14, 77. [Google Scholar] [CrossRef] [PubMed]
- Silva, S.B.L.; Oberhänsli, F.; Tribalat, M.-A.; Genta-Jouve, G.; Teyssié, J.-L.; Dechraoui-Bottein, M.-Y.; Gallard, J.-F.; Evanno, L.; Poupon, E.; Thomas, O.P. Insights into the biosynthesis of cyclic guanidine alkaloids from Crambeidae marine sponges. Angew. Chem. 2019, 131, 530–535. [Google Scholar] [CrossRef]
- Ternon, E.; Perino, E.; Manconi, R.; Pronzato, R.; Thomas, O.P. How environmental factors affect the production of guanidine alkaloids by the Mediterranean sponge Crambe crambe. Mar. Drugs 2017, 15, 181. [Google Scholar] [CrossRef] [PubMed]
- Makarieva, T.; Shubina, L.; Kurilenko, V.; Isaeva, M.; Chernysheva, N.; Popov, R.; Bystritskaya, E.; Dmitrenok, P.; Stonik, V. Marine Bacterium Vibrio Sp. CB1-14 Produces guanidine alkaloid 6-epi-monanchorin, previously isolated from marine polychaete and sponges. Mar. Drugs 2019, 17, 213. [Google Scholar] [CrossRef]
- Öztürk, B.; de Jaeger, L.; Smidt, H.; Sipkema, D. Culture-dependent and independent approaches for identifying novel halogenasesencoded by Crambe crambe (marine sponge) microbiota. Sci. Rep. 2013, 3, 2780. [Google Scholar] [CrossRef]
- Becerro, M.A.; Lopez, N.I.; Turon, X.; Uriz, M.J. Antimicrobial activity and surface bacterial film in marine sponges. J. Exp. Mar. Biol. Ecol. 1994, 179, 195–205. [Google Scholar] [CrossRef]
- Bovio, E.; Sfecci, E.; Poli, A.; Gnavi, G.; Prigione, V.; Lacour, T.; Mehiri, M.; Varese, G.C. The culturable mycobiotaassociated with the Mediterranean Sponges Aplysina Cavernicola, Crambe Crambe and Phorbas Tenacior. FEMS Microbiol. Lett. 2019, 366, fnaa014. [Google Scholar] [CrossRef] [PubMed]
- Croué, J.; West, N.J.; Escande, M.-L.; Intertaglia, L.; Lebaron, P.; Suzuki, M.T. A single betaproteobacterium dominates the microbial community of the crambescidine-containing sponge Crambe crambe. Sci. Rep. 2013, 3, 2583. [Google Scholar] [CrossRef]
- Sipkema, D.; de Caralt, S.; Morillo, J.A.; Al-Soud, W.A.; Sørensen, S.J.; Smidt, H.; Uriz, M.J. Similar sponge-associated bacteria can be acquired via both vertical and horizontal transmission. Environ. Microbiol. 2015, 17, 3807–3821. [Google Scholar] [CrossRef]
- Bondu, S.; Genta-Jouve, G.; Leirόs, M.; Vale, C.; Guigonis, J.-M.; Botana, L.M.; Thomas, O.P. Additional bioactive guanidine alkaloids from the mediterranean sponge Crambe crambe. RSC Adv. 2012, 2, 2828–2835. [Google Scholar] [CrossRef]
- Ternon, E.; Zarate, L.; Chenesseau, S.; Croué, J.; Dumollard, R.; Suzuki, M.T.; Thomas, O.P. Spherulization as a process for the exudation of chemical cues by the encrusting sponge C. crambe. Sci. Rep. 2016, 6, 29474. [Google Scholar] [CrossRef] [PubMed]
- Jares-Erijman, E.; Ingrum, A.L.; Carney, J.; Rinehart, K.; Sakai, R. Polycyclic guanidine-containing compounds from the Mediterranean sponge Crambe crambe: The structure of 13,14,15-isocrambescidin 800 and the absolute stereochemistry of the pentacyclic guanidine moieties of the crambescidins. J. Org. Chem. 1993, 58, 4805–4808. [Google Scholar] [CrossRef]
- Jares-Erijman, E.A.; Sakai, R.; Rinehart, K.L. Crambescidins: New antiviral and cytotoxic compounds from the sponge Crambe crambe. J. Org. Chem. 1991, 56, 5712–5715. [Google Scholar] [CrossRef]
- Rinehart, K.L.; Jares-Erijman, E.A. Antiviral and Cytotoxic Compounds from the Sponge Crambe crambe. U.S. Patent No. 5756734, 14 September 1999. [Google Scholar]
- Aoki, S.; Kong, D.; Matsui, K.; Kobayashi, M. Erythroid differentiation in K562 chronic myelogenous cells induced by crambescidin 800, a pentacyclic guanidine alkaloid. Anticancer. Res. 2004, 24, 2325–2330. [Google Scholar]
- El-Demerdash, A.; Metwaly, A.M.; Hassan, A.; Abd El-Aziz, T.M.; Elkaeed, E.B.; Eissa, I.H.; Arafa, R.K.; Stockand, J.D. Comprehensive virtual screening of the antiviral potentialities of marine polycyclic guanidine alkaloids against SARS-CoV-2 (COVID-19). Biomolecules 2021, 11, 460. [Google Scholar] [CrossRef]
- El-Demerdash, A.; Petek, S.; Debitus, C.; Al-Mourabit, A. Crambescidin acid from the French Polynesian Monanchora n. Sp. Marine Sponge. Chem. Nauralt Compd. 2020, 56, 1180–1182. [Google Scholar] [CrossRef]
- Kasmiati, K.; Yoshioka, Y.; Okamoto, T.; Ojika, M. New crambescidin-type alkaloids from the Indonesian marine sponge Clathria bulbotoxa. Mar. Drugs 2018, 16, 84. [Google Scholar] [CrossRef]
- Martín, V.; Vale, C.; Bondu, S.; Thomas, O.P.; Vieytes, M.R.; Botana, L.M. Differential effects of crambescins and crambescidin 816 in voltage-gated sodium, potassium and calcium channels in neurons. Chem. Res. Toxicol. 2013, 26, 169–178. [Google Scholar] [CrossRef]
- Mendez, A.G.; Juncal, A.B.; Silva, S.B.L.; Thomas, O.P.; Martín Vázquez, V.; Alfonso, A.; Vieytes, M.R.; Vale, C.; Botana, L.M. The marine guanidine alkaloid crambescidin 816 induces calcium influx and cytotoxicity in primary cultures of cortical neurons through glutamate receptors. ACS Chem. Neurosci. 2017, 8, 1609–1617. [Google Scholar] [CrossRef]
- Roel, M.; Rubiolo, J.A.; Guerra-Varela, J.; Silva, S.B.L.; Thomas, O.P.; Cabezas-Sainz, P.; Sánchez, L.; López, R.; Botana, L.M. Marine guanidine alkaloids crambescidins inhibit tumor growth and activate intrinsic apoptotic signaling inducing tumor regression in a colorectal carcinoma zebrafish xenograft model. Oncotarget 2016, 7, 83071–83087. [Google Scholar] [CrossRef] [PubMed]
- Shrestha, S.; Sorolla, A.; Fromont, J.; Blancafort, P.; Flematti, G.R. Crambescidin 800, isolated from the marine sponge Monanchora Viridis, induces cell cycle arrest and apoptosis in triple-negative breast cancer cells. Mar. Drugs 2018, 16, 53. [Google Scholar] [CrossRef]
- Lazaro, J.E.H.; Nitcheu, J.; Mahmoudi, N.; Ibana, J.A.; Mangalindan, G.C.; Black, G.P.; Howard-Jones, A.G.; Moore, C.G.; Thomas, D.A.; Mazier, D.; et al. Antimalarial activity of crambescidin 800 and synthetic analogues against liver and blood stage of Plasmodium sp. J. Antibiot. 2006, 59, 583–590. [Google Scholar] [CrossRef] [PubMed]
- Yang, J.Y.; Sanchez, L.M.; Rath, C.M.; Liu, X.; Boudreau, P.D.; Bruns, N.; Glukhov, E.; Wodtke, A.; De Felicio, R.; Fenner, A.; et al. Molecular networking as a dereplication strategy. J. Nat. Prod. 2013, 76, 1686–1699. [Google Scholar] [CrossRef] [PubMed]
- Aron, A.T.; Gentry, E.C.; McPhail, K.L.; Nothias, L.-F.; Nothias-Esposito, M.; Bouslimani, A.; Petras, D.; Gauglitz, J.M.; Sikora, N.; Vargas, F.; et al. Reproducible molecular networking of untargeted mass spectrometry data using GNPS. Nat. Protoc. 2020, 15, 1954–1991. [Google Scholar] [CrossRef] [PubMed]
- Nothias, L.-F.; Petras, D.; Schmid, R.; Dührkop, K.; Rainer, J.; Sarvepalli, A.; Protsyuk, I.; Ernst, M.; Tsugawa, H.; Fleischauer, M.; et al. Feature-based molecular networking in the GNPS analysis environment. Nat. Methods 2020, 17, 905–908. [Google Scholar] [CrossRef]
- Freire, V.F.; Gubiani, J.R.; Spencer, T.M.; Hajdu, E.; Ferreira, A.G.; Ferreira, D.A.S.; De Castro Levatti, E.V.; Burdette, J.E.; Camargo, C.H.; Tempone, A.G.; et al. Feature-based molecular networking discovery of bromopyrrole alkaloids from the marine sponge Agelas dispar. J. Nat. Products 2022, 85, 1340–1350. [Google Scholar] [CrossRef]
- Khushi, S.; Salim, A.A.; Capon, R.J. Case studies in molecular network-guided marine biodiscovery. Mar. Drugs 2023, 21, 413. [Google Scholar] [CrossRef]
- Pluskal, T.; Castillo, S.; Villar-Briones, A.; Orešič, M. MZmine 2: Modular framework for processing, visualizing, and analyzing mass spectrometry-based molecular profile data. BMC Bioinform. 2010, 11, 395. [Google Scholar] [CrossRef]
- Dührkop, K.; Fleischauer, M.; Ludwig, M.; Aksenov, A.A.; Melnik, A.V.; Meusel, M.; Dorrestein, P.C.; Rousu, J.; Böcker, S. SIRIUS 4: A rapid tool for turning tandem mass spectra into metabolite structure information. Nat. Methods 2019, 16, 299–302. [Google Scholar] [CrossRef]
- Dührkop, K.; Shen, H.; Meusel, M.; Rousu, J.; Böcker, S. Searching molecular structure databases with tandem mass spectra using CSI: FingerID. Proc. Natl. Acad. Sci. USA 2015, 112, 12580–12585. [Google Scholar] [CrossRef]
- Dührkop, K.; Nothias, L.-F.; Fleischauer, M.; Reher, R.; Ludwig, M.; Hoffmann, M.A.; Petras, D.; Gerwick, W.H.; Rousu, J.; Dorrestein, P.C.; et al. Systematic classification of unknown metabolites using high-resolution fragmentation mass spectra. Nat. Biotechnol. 2021, 39, 462–471. [Google Scholar] [CrossRef]
- Wang, M.; Carver, J.J.; Phelan, V.V.; Sanchez, L.M.; Garg, N.; Peng, Y.; Nguyen, D.D.; Watrous, J.; Kapono, C.A.; Luzzatto-Knaan, T.; et al. Sharing and community curation of mass spectrometry data with global natural products social molecular networking. Nat. Biotechnol. 2016, 34, 828–837. [Google Scholar] [CrossRef]
- Shannon, P.; Markiel, A.; Ozier, O.; Baliga, N.S.; Wang, J.T.; Ramage, D.; Amin, N.; Schwikowski, B.; Ideker, T. Cytoscape: A software environment for integrated models of biomolecular interaction networks. Genome Res. 2003, 13, 2498–2504. [Google Scholar] [CrossRef]
- Jamison, M.T.; Molinski, T.F. Antipodal crambescin A2 homologues from the marine sponge Pseudaxinella reticulata. Antifungal structure–activity relationships. J. Natural. Prod. 2015, 78, 557–561. [Google Scholar] [CrossRef]
- Vlachou, P.; Le Goff, G.; Alonso, C.; Álvarez, P.A.; Gallard, J.-F.; Fokialakis, N.; Ouazzani, J. Innovative Approach to Sustainable marine invertebrate chemistry and a scale-up technology for open marine ecosystems. Mar. Drugs 2018, 16, 152. [Google Scholar] [CrossRef]
- Coffey, D.S.; McDonald, A.I.; Overman, L.E.; Rabinowitz, M.H.; Renhowe, P.A. A practical entry to the crambescidin family of guanidine alkaloids. Enantioselective total syntheses of ptilomycalin A, crambescidin 657 and its methyl ester (neofolitispates 2), and crambescidin 800. J. Am. Chem. Soc. 2000, 122, 4893–4903. [Google Scholar] [CrossRef]
- Inkscape Team. Inkscape Vector Graphics Editor; Version 1.4; Inkscape Project. 2024. Available online: https://inkscape.org (accessed on 26 September 2024).
- De Laeter, J.R.; Böhlke, J.K.; De Bièvre, P.; Hidaka, H.; Peiser, H.S.; Rosman, K.J.R.; Taylor, P.D.P. Atomic weights of the elements. Review 2000 (IUPAC Technical Report). Pure Appl. Chem. 2003, 75, 683–800. [Google Scholar] [CrossRef]
- Genta-Jouve, G.; Croué, J.; Weinberg, L.; Cocandeau, V.; Holderith, S.; Bontemps, N.; Suzuki, M.; Thomas, O.P. Two-dimensional ultra high pressure liquid chromatography quadrupole/time-of-flight mass spectrometry for semi-targeted natural compounds identification. Phytochem. Lett. 2014, 10, 318–323. [Google Scholar] [CrossRef]
- Smith, R.M. Understanding Mass Spectra: A basic Approach, 2nd ed.; Wiley Interscience: Hoboken, NJ, USA, 2004; ISBN 978-0-471-42949-4. [Google Scholar]
- WoRMS Editorial Board World Register of Marine Species. 2024. Available online: www.marinespecies.org (accessed on 11 June 2024).
- Chambers, M.C.; Maclean, B.; Burke, R.; Amodei, D.; Ruderman, D.L.; Neumann, S.; Gatto, L.; Fischer, B.; Pratt, B.; Egertson, J.; et al. A cross-platform toolkit for mass spectrometry and proteomics. Nat. Biotechnol. 2012, 30, 918–920. [Google Scholar] [CrossRef]
- Adusumilli, R.; Mallick, P. Data Conversion with ProteoWizard msConvert. In Proteomics; Comai, L., Katz, J.E., Mallick, P., Eds.; Methods in Molecular Biology; Springer: New York, NY, USA, 2017; Volume 1550, pp. 339–368. ISBN 978-1-4939-6745-2. [Google Scholar]
- Treviño, V.; Yañez-Garza, I.-L.; Rodriguez-López, C.E.; Urrea-López, R.; Garza-Rodriguez, M.-L.; Barrera-Saldaña, H.-A.; Tamez-Peña, J.G.; Winkler, R.; Díaz de-la-Garza, R.-I. GridMass: A fast two-dimensional feature detection method for LC/MS. J. Mass Spectrom. 2015, 50, 165–174. [Google Scholar] [CrossRef]
- Kim, H.W.; Wang, M.; Leber, C.A.; Nothias, L.-F.; Reher, R.; Kang, K.B.; Van Der Hooft, J.J.J.; Dorrestein, P.C.; Gerwick, W.H.; Cottrell, G.W. NPClassifier: A deep neural network-based structural classification tool for natural products. J. Nat. Prod. 2021, 84, 2795–2807. [Google Scholar] [CrossRef]
- Plotly Technologies Inc. Collaborative Data Science; Plotly Technologies Inc. Montréal, QC, 2015. Available online: https://plot.ly (accessed on 11 June 2024).
- yWorks GmbH. yFiles Layout Algorithms for Cytoscape; yWorks GmbH: Tübingen, Germany, 2017; Available online: https://www.yworks.com/products/yfiles-layout-algorithms-for-cytoscape (accessed on 26 September 2024).
Disclaimer/Publisher’s Note: The statements, opinions and data contained in all publications are solely those of the individual author(s) and contributor(s) and not of MDPI and/or the editor(s). MDPI and/or the editor(s) disclaim responsibility for any injury to people or property resulting from any ideas, methods, instructions or products referred to in the content. |
© 2024 by the authors. Licensee MDPI, Basel, Switzerland. This article is an open access article distributed under the terms and conditions of the Creative Commons Attribution (CC BY) license (https://creativecommons.org/licenses/by/4.0/).





