Genome-Based Mining of Carpatamides I–M and Their Candidate Biosynthetic Gene Cluster
Abstract
1. Introduction
2. Results and Discussion
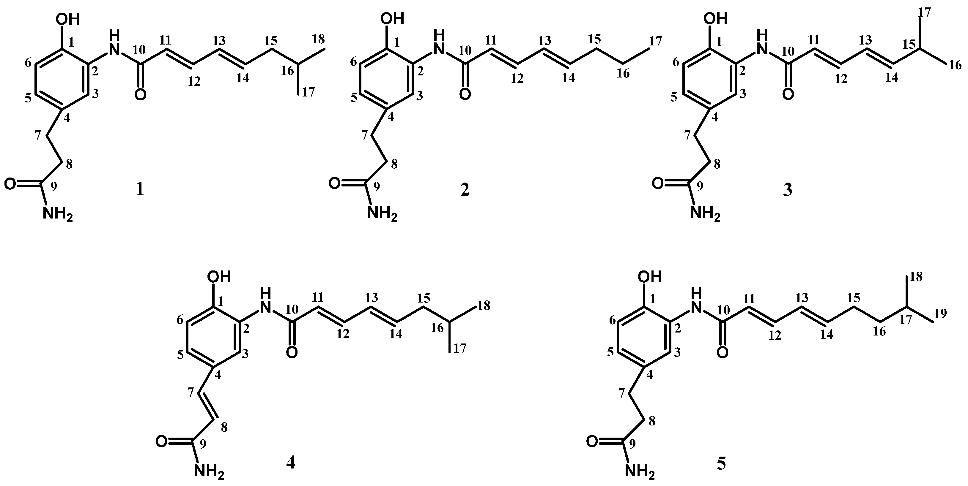
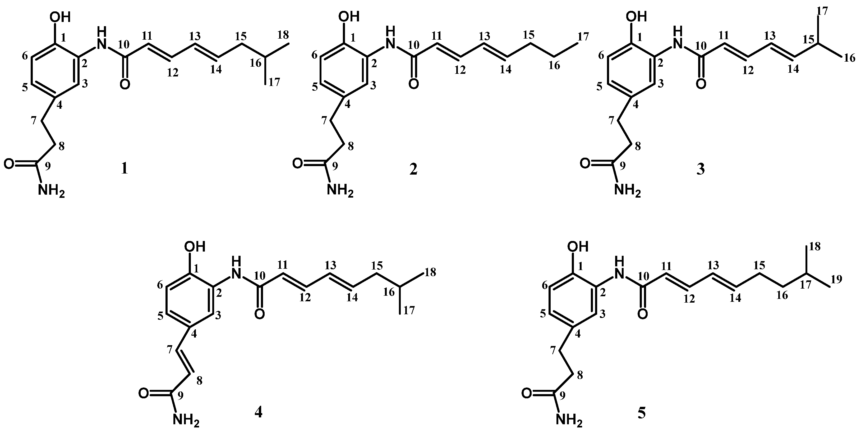
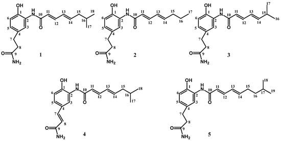
2.1. Isolation and Identification of a New Compound of Carpatamide I
2.2. Genome Sequencing and Biosynthetic Gene Cluster Analysis
2.3. Overexpression of ctd14 In Vivo to Enhance the Diversity of Carpatamides
2.4. Isolation of Carpatamides J–M and Their Structure Elucidation
2.5. Bioassay of Compounds 1–5
3. Materials and Methods
3.1. General Experimental Procedures
3.2. BGC Bioinformatic Analysis
3.3. Bacterial Strains, Plasmids and DNA Manipulation
3.4. Culture and Fermentation Conditions
3.5. Overexpression of ctd14 In Vivo
3.6. HPLC Analysis of the Extracts of Wild-Type and Transformant
3.7. Extraction and Isolation
3.7.1. Carpatamide I (1)
3.7.2. Carpatamide J (2)
3.7.3. Carpatamide K (3)
3.7.4. Carpatamide L (4)
3.7.5. Carpatamide M (5)
3.8. Anti-Inflammatory Activity
3.9. Cytotoxic Assay
3.10. Gene Expression Analysis of ctd14
4. Conclusions
Supplementary Materials
Author Contributions
Funding
Institutional Review Board Statement
Data Availability Statement
Conflicts of Interest
References
- Sattler, I.; Thiericke, R.; Zeeck, A. The manumycin-group metabolites. Nat. Prod. Rep. 1998, 15, 221–240. [Google Scholar] [CrossRef] [PubMed]
- Kim, S.H.; Shin, Y.; Lee, S.H.; Oh, K.B.; Lee, S.K.; Shin, J.; Oh, D.C. Salternamides A–D from a halophilic Streptomyces sp. Actinobacterium. J. Nat. Prod. 2015, 78, 836–843. [Google Scholar] [CrossRef] [PubMed]
- Silva, L.R.; da Silva-Júnior, E.F. Inhibiting the “undruggable” RAS/Farnesyltransferase (FTase) cancer target by manumycin-related natural products. Curr. Med. Chem. 2022, 29, 189–211. [Google Scholar] [CrossRef] [PubMed]
- Cecrdlova, E.; Petrickova, K.; Kolesar, L.; Petricek, M.; Sekerkova, A.; Svachova, V.; Striz, I. Manumycin A downregulates release of proinflammatory cytokines from TNF alpha stimulated human monocytes. Immunol. Lett. 2016, 169, 8–14. [Google Scholar] [CrossRef] [PubMed]
- Isobe, Y.; Okumura, M.; McGregor, L.M.; Brittain, S.M.; Jones, M.D.; Liang, X.; White, R.; Forrester, W.; McKenna, J.M.; Tallarico, J.A.; et al. Manumycin polyketides act as molecular glues between UBR7 and P53. Nat. Chem. Biol. 2020, 16, 1189–1198. [Google Scholar] [CrossRef] [PubMed]
- Fu, P.; Johnson, M.; Chen, H.; Posner, B.A.; MacMillan, J.B. Carpatamides A–C, cytotoxic arylamine derivatives from a marine-derived Streptomyces sp. J. Nat. Prod. 2014, 77, 1245–1248. [Google Scholar] [CrossRef] [PubMed]
- Fu, P.; La, S.; MacMillan, J.B. Daryamide analogues from a marine-derived Streptomyces species. J. Nat. Prod. 2017, 80, 1096–1101. [Google Scholar] [CrossRef] [PubMed]
- Petříčková, K.; Pospíšil, S.; Kuzma, M.; Tylová, T.; Jágr, M.; Tomek, P.; Chroňáková, A.; Brabcová, E.; Anděra, L.; Krištůfek, V.; et al. Biosynthesis of colabomycin E, a new manumycin-family metabolite, involves an unusual chain-length factor. ChemBioChem 2014, 15, 1334–1345. [Google Scholar] [CrossRef] [PubMed]
- Rui, Z.; Petrícková, K.; Skanta, F.; Pospísil, S.; Yang, Y.; Chen, C.Y.; Tsai, S.F.; Floss, H.G.; Petrícek, M.; Yu, T.W. Biochemical and genetic insights into asukamycin biosynthesis. J. Biol. Chem. 2010, 285, 24915–24924. [Google Scholar] [CrossRef] [PubMed]
- van der Heul, H.U.; Bilyk, B.L.; McDowall, K.J.; Seipke, R.F.; van Wezel, G.P. Regulation of antibiotic production in actinobacteria: New perspectives from the post-genomic era. Nat. Prod. Rep. 2018, 35, 575–604. [Google Scholar] [CrossRef] [PubMed]
- Ji, C.H.; Je, H.W.; Kim, H.; Kang, H.S. Promoter engineering of natural product biosynthetic gene clusters in actinomycetes: Concepts and applications. Nat. Prod. Rep. 2024, 41, 672–699. [Google Scholar] [CrossRef] [PubMed]
- Blin, K.; Shaw, S.; Augustijn, H.E.; Reitz, Z.L.; Biermann, F.; Alanjary, M.; Fetter, A.; Terlouw, B.R.; Metcalf, W.W.; Helfrich, E.J.N.; et al. AntiSMASH 7.0: New and improved predictions for detection, regulation, chemical structures and visualization. Nucleic Acids Res. 2023, 51, W46–W50. [Google Scholar] [CrossRef]
- Hu, Y.; Floss, H.G. Further studies on the biosynthesis of the manumycin-type antibiotic, asukamycin, and the chemical synthesis of protoasukamycin. J. Am. Chem. Soc. 2004, 126, 3837–3844. [Google Scholar] [CrossRef] [PubMed]
- Yan, X.; Zhang, J.; Tan, H.; Liu, Z.; Jiang, K.; Tian, W.; Zheng, M.; Lin, Z.; Deng, Z.; Qu, X. A pair of atypical KAS III homologues with initiation and elongation functions program the polyketide biosynthesis in asukamycin. Angew. Chem. Int. Ed. 2022, 61, e202200879. [Google Scholar] [CrossRef] [PubMed]
- Rui, Z.; Sandy, M.; Jung, B.; Zhang, W. Tandem enzymatic oxygenations in biosynthesis of epoxyquinone pharmacophore of manumycin-type metabolites. Chem. Biol. 2013, 20, 879–887. [Google Scholar] [CrossRef] [PubMed]
- Xie, Y.; Li, Q.; Song, Y.; Ma, J.; Ju, J. Involvement of SgvP in carbon-sulfur bond formation during griseoviridin biosynthesis. ChemBioChem 2014, 15, 1183–1189. [Google Scholar] [CrossRef] [PubMed]
- Guo, B.; Zhao, C.; Zhang, C.; Xiao, Y.; Yan, G.; Liu, L.; Pan, H. Elucidation of the anti-inflammatory mechanism of Er Miao San by integrative approach of network pharmacology and experimental verification. Pharmacol. Res. 2022, 175, 106000. [Google Scholar] [CrossRef] [PubMed]




| Position | δH, Multi. (J in Hz) | ||||
|---|---|---|---|---|---|
| Carpatamide I (1) 1 | Carpatamide J (2) 1 | Carpatamide K (3) 1 | Carpatamide L (4) 1 | Carpatamide M (5) 2 | |
| 1 | |||||
| 2 | |||||
| 3 | 7.52, d (2.0) | 7.51, d (2.0) | 7.52, d (2.0) | 8.13, d (2.4) | 7.51, d (2.0) |
| 4 | |||||
| 5 | 6.89, dd (8.4, 2.0) | 6.89, dd (8.4, 2.0) | 6.89, dd (8.4, 2.0) | 7.22, dd (8.4, 2.4) | 6.89, dd (8.0, 2.0) |
| 6 | 6.79, d (8.4) | 6.79, d (8.4) | 6.79, d (8.4) | 6.89, d (8.4) | 6.79, d (8.0) |
| 7 | 2.83, t (7.2) | 2.83, t (7.2) | 2.83, t (7.2) | 7.47, d (15.6) | 2.83, t (7.5) |
| 8 | 2.47, t (7.2) | 2.47, t (7.2) | 2.47, t (7.2) | 6.46, d (15.6) | 2.47, t (7.5) |
| 9 | |||||
| 10 | |||||
| 11 | 6.22, d (15.2) | 6.20, d (15.2) | 6.22, d (15.2) | 6.24, d (15.6) | 6.20, d (15.0) |
| 12 | 7.28, dd (15.2, 10.4) | 7.28, dd (15.2, 10.4) | 7.28, dd (15.0, 10.4) | 7.30, dd (15.2, 10.4) | 7.27, dd (15.0, 10.5) |
| 13 | 6.28, dd (15.2, 10.4) | 6.29, dd (15.2, 10.4) | 6.26, dd (15.2, 10.4) | 6.29, dd (15.2, 10.4) | 6.30, dd (15.0, 10.5) |
| 14 | 6.16, dd (15.2, 7.2) | 6.19, dd (15.2, 6.8) | 6.15, dd (15.2, 6.8) | 6.17, dd (14.8, 7.2) | 6.18, dd (15.0, 7.5) |
| 15 | 2.10, t (7.2) | 2.19, q (7.2) | 2.45, m | 2.10, t (7.2) | 2.22, q (7.5) |
| 16 | 1.73, m | 1.49, dt (7.2) | 1.07, d (6.8) | 1.73, m | 1.35, q (7.5) |
| 17 | 0.94, d (6.7) | 0.95, t (7.2) | 1.07, d (6.8) | 0.94, d (6.8) | 1.59, m |
| 18 | 0.94, d (6.7) | 0.94, d (6.8) | 0.93, d (7.0) | ||
| 19 | 0.93, d (7.0) | ||||
| Position | Carpatamide I (1) 1 | Carpatamide J (2) 1 | Carpatamide K (3) 1 | Carpatamide L (4) 1 | Carpatamide M(5) 2 |
|---|---|---|---|---|---|
| 1 | 148.1, C | 148.0, C | 147.9, C | 151.8, C | 148.1, C |
| 2 | 127.4, C | 127.2, C | 127.2, C | 128.2, C | 127.2, C |
| 3 | 123.5, CH | 123.4, CH | 123.4, CH | 122.4, CH | 123.4, CH |
| 4 | 133.7, C | 133.5, C | 133.5, C | 127.7, C | 133.5, C |
| 5 | 126.9, CH | 126.7, CH | 126.7, CH | 127.2, CH | 126.7, CH |
| 6 | 117.7, CH | 117.6, CH | 117.6, CH | 117.3, CH | 117.6, CH |
| 7 | 32.3, CH2 | 32.2, CH2 | 32.2, CH2 | 143.0, CH | 32.2, CH2 |
| 8 | 38.7, CH2 | 38.6, CH2 | 38.6, CH2 | 118.6, CH | 38.6, CH2 |
| 9 | 178.4, C | 178.3, C | 178.3, C | 171.6, C | 178.3, C |
| 10 | 167.7, C | 167.6, C | 167.6, C | 167.7, C | 167.6, C |
| 11 | 123.0, CH | 122.8, CH | 122.9, CH | 123.1, CH | 122.7, CH |
| 12 | 143.9, CH | 143.8, CH | 144.1, CH | 144.0, CH | 143.9, CH |
| 13 | 131.1, CH | 130.0, CH | 127.0, CH | 131.1, CH | 129.7, CH |
| 14 | 144.1, CH | 144.9, CH | 151.7, CH | 144.2, CH | 145.3, CH |
| 15 | 43.5, CH2 | 36.1, CH2 | 32.8, CH | 43.5, CH2 | 32.0, CH2 |
| 16 | 29.7, CH | 23.1, CH2 | 22.3, CH3 | 29.7, CH | 39.2, CH |
| 17 | 22.9, CH3 | 14.0, CH3 | 22.3, CH3 | 22.9, CH3 | 28.8, CH |
| 18 | 22.9, CH3 | 22.9, CH3 | 22.8, CH3 | ||
| 19 | 22.8, CH3 |
| Compounds | Inflammatory Inhibition Rate (%) | Cell Lines (IC50 μM) | ||
|---|---|---|---|---|
| A549 | HT-29 | HepG2 | ||
| Carpatamide I (1) | 17.37 | 45.17 ± 2.01 | 32.17 ± 1.24 | 35.22 ± 1.98 |
| Carpatamide J (2) | 13.84 | 42.15 ± 1.04 | 37.19 ± 1.11 | 42.11 ± 0.21 |
| Carpatamide K (3) | 11.45 | 41.51 ± 1.95 | 31.15 ± 2.02 | 29.33 ± 2.14 |
| Carpatamide L (4) | 1.22 | 39.37 ± 0.99 | 38.45 ± 0.99 | 25.12 ± 0.98 |
| Carpatamide M (5) | 20.48 | 35.47 ± 1.01 | 22.59 ± 1.55 | 31.42 ± 1.44 |
| Cisplatin | 69.32 | 1.53 ± 0.44 | 3.55 ± 0.31 | 1.39 ± 0.21 |
Disclaimer/Publisher’s Note: The statements, opinions and data contained in all publications are solely those of the individual author(s) and contributor(s) and not of MDPI and/or the editor(s). MDPI and/or the editor(s) disclaim responsibility for any injury to people or property resulting from any ideas, methods, instructions or products referred to in the content. |
© 2024 by the authors. Licensee MDPI, Basel, Switzerland. This article is an open access article distributed under the terms and conditions of the Creative Commons Attribution (CC BY) license (https://creativecommons.org/licenses/by/4.0/).
Share and Cite
Shen, S.-M.; Xie, Y.-C.; Tu, L.-R.; Wu, M.-E.; Wang, Y.-M.; Song, C.-H.; Sun, Y.-H.; Luo, M.-H. Genome-Based Mining of Carpatamides I–M and Their Candidate Biosynthetic Gene Cluster. Mar. Drugs 2024, 22, 521. https://doi.org/10.3390/md22110521
Shen S-M, Xie Y-C, Tu L-R, Wu M-E, Wang Y-M, Song C-H, Sun Y-H, Luo M-H. Genome-Based Mining of Carpatamides I–M and Their Candidate Biosynthetic Gene Cluster. Marine Drugs. 2024; 22(11):521. https://doi.org/10.3390/md22110521
Chicago/Turabian StyleShen, Shu-Mei, Yun-Chang Xie, Li-Rong Tu, Miao-Er Wu, Yan-Min Wang, Chun-Hui Song, Yu-Hui Sun, and Ming-He Luo. 2024. "Genome-Based Mining of Carpatamides I–M and Their Candidate Biosynthetic Gene Cluster" Marine Drugs 22, no. 11: 521. https://doi.org/10.3390/md22110521
APA StyleShen, S.-M., Xie, Y.-C., Tu, L.-R., Wu, M.-E., Wang, Y.-M., Song, C.-H., Sun, Y.-H., & Luo, M.-H. (2024). Genome-Based Mining of Carpatamides I–M and Their Candidate Biosynthetic Gene Cluster. Marine Drugs, 22(11), 521. https://doi.org/10.3390/md22110521

