Genus Litophyton: A Hidden Treasure Trove of Structurally Unique and Diversely Bioactive Secondary Metabolites
Abstract
:1. Introduction
2. Classification of Secondary Metabolites from the Genus Litophyton
3. Sesquiterpenes
3.1. Bicyclogermacrane Sesquiterpenes
3.2. Sec-Germacrane Sesquiterpenes
3.3. Guaiane Sesquiterpenes
3.4. Pseudoguaiane Sesquiterpenes
3.5. Himachalene Sesquiterpenes
3.6. Eudesmane Sesquiterpenes
3.7. Seco-Eudesmane Sesquiterpenes
3.8. Tri-Nor-Eudesmane Sesquiterpenes
3.9. Eremophilane Sesquiterpenes
3.10. Nardosinane Sesquiterpenes
3.11. Nornardosinane Sesquiterpenes
3.12. Neolemnane Sesquiterpenes
3.13. Seconeolemnane Sesquiterpenes
3.14. Kelsoane Sesquiterpenes
4. Bis-Sesquiterpenes
4.1. Bis-Kelsoane Dimers
4.2. Eremophilane-Nardosinane Bis-Sesquiterpenes
5. Diterpenes
5.1. Cembrane Diterpenes
5.2. Eunicellane Diterpenes
5.3. Serrulatane Diterpenes
5.4. 5,9-Cyclized Serrulatane Diterpenes
5.5. Chabrolane Diterpenes
5.6. Prenylbicyclogermacrane Diterpenes
6. Norditerpenes
7. Tetraterpenes
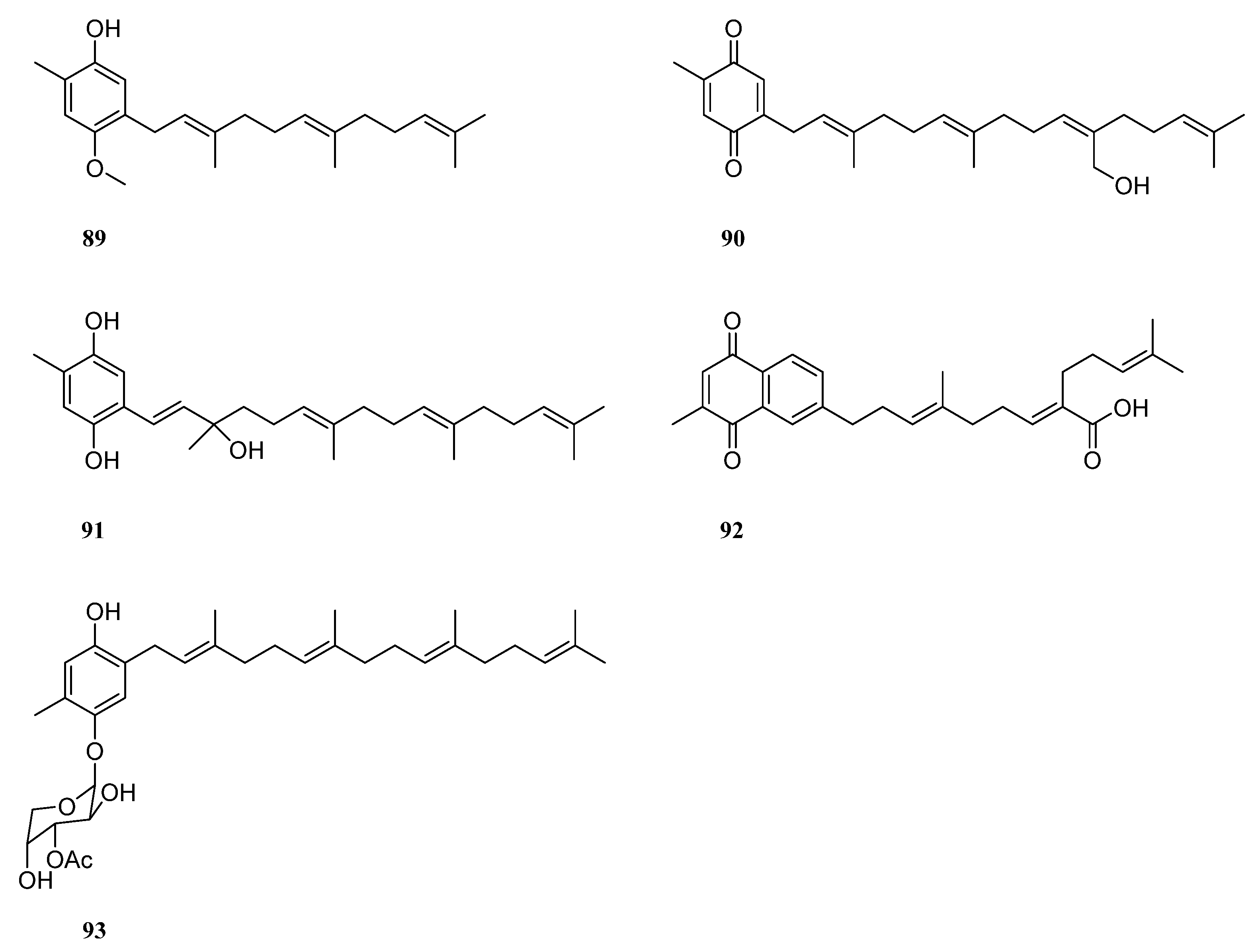
8. Meroterpenes
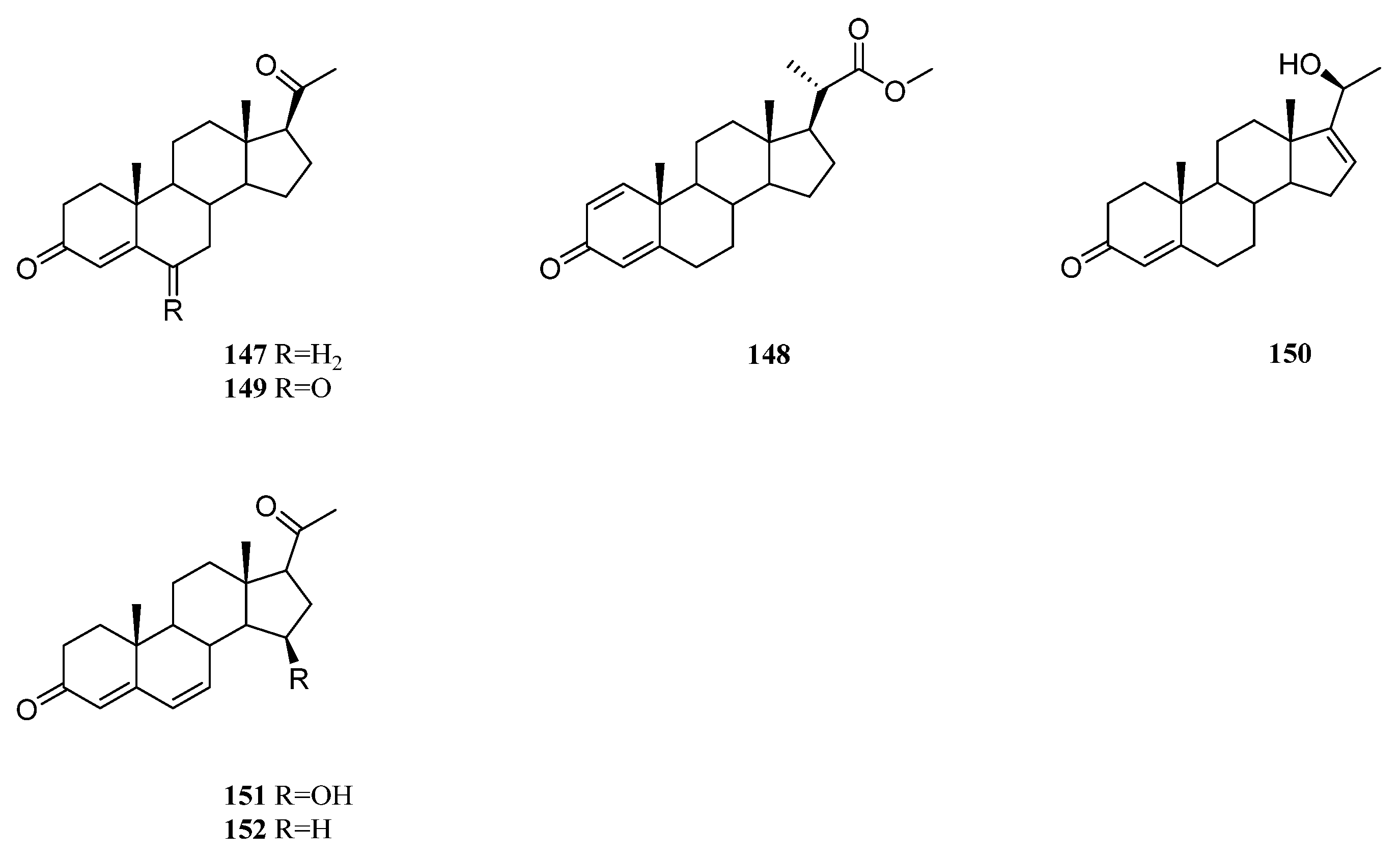
9. Steroids
9.1. 4α-Methylated Steroids
9.2. Ergostane-Type and Related Steroids
9.3. Cholestane-Type and Related Steroids
9.4. Pregnane-Type and Related Steroids
10. Nitrogen-Containing Metabolites
10.1. Ceramides
10.2. Pyrimidines
10.3. Peptides
11. Lipids
11.1. Prostaglandins
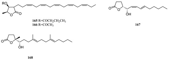
11.2. γ-Lactones
11.3. Fatty Acids
11.4. Glycerol Ethers
12. Other Metabolites
13. Discussion
14. Conclusions
Supplementary Materials
Author Contributions
Funding
Institutional Review Board Statement
Data Availability Statement
Conflicts of Interest
References
- Chakraborty, K.; Joy, M. High-value compounds from the molluscs of marine and estuarine ecosystems as prospective functional food ingredients: An overview. Food Res. Int. 2020, 137, 109637. [Google Scholar] [CrossRef] [PubMed]
- Fonseca, S.; Amaral, M.N.; Reis, C.P.; Custódio, L. Marine natural products as innovative cosmetic ingredients. Mar. Drugs 2023, 21, 170. [Google Scholar] [CrossRef] [PubMed]
- Banerjee, P.; Mandhare, A.; Bagalkote, V. Marine natural products as source of new drugs: An updated patent review (July 2018–July 2021). Expert Opin. Ther. Pat. 2022, 32, 317–363. [Google Scholar] [CrossRef]
- Liu, M.; Zhang, X.; Li, G. Structural and biological insights into the hot-spot marine natural products reported from 2012 to 2021. Chin. J. Chem. 2022, 40, 1867–1889. [Google Scholar] [CrossRef]
- Carroll, A.R.; Copp, B.R.; Davis, R.A.; Keyzers, R.A.; Prinsep, M.R. Marine natural products. Nat. Prod. Rep. 2023, 40, 275–325. [Google Scholar] [CrossRef] [PubMed]
- Chhetri, B.K.; Tedbury, P.R.; Sweeney-Jones, A.M.; Mani, L.; Soapi, K.; Manfredi, C.; Sorscher, E.; Sarafianos, S.G.; Kubanek, J. Marine natural products as leads against SARS-CoV-2 infection. J. Nat. Prod. 2022, 85, 657–665. [Google Scholar] [CrossRef] [PubMed]
- El-Desoky, A.H.H.; Tsukamoto, S. Marine natural products that inhibit osteoclastogenesis and promote osteoblast differentiation. J. Nat. Med. 2022, 76, 575–583. [Google Scholar] [CrossRef]
- Deng, Y.; Liu, Y.; Li, J.; Wang, X.; He, S.; Yan, X.; Shi, Y.; Zhang, W.; Ding, L. Marine natural products and their synthetic analogs as promising antibiofilm agents for antibiotics discovery and development. Eur. J. Med. Chem. 2022, 239, 114513. [Google Scholar] [CrossRef]
- Ren, X.; Xie, X.; Chen, B.; Liu, L.; Jiang, C.; Qian, Q. Marine natural products: A potential source of anti-hepatocellular carcinoma drugs. J. Med. Chem. 2021, 64, 7879–7899. [Google Scholar] [CrossRef]
- Haque, N.; Parveen, S.; Tang, T.; Wei, J.; Huang, Z. Marine natural products in clinical use. Mar. Drugs 2022, 20, 528. [Google Scholar] [CrossRef]
- van Ofwegen, L.P. The genus Litophyton Forskål, 1775 (Octocorallia, Alcyonacea, Nephtheidae) in the Red Sea and the western Indian Ocean. Zookeys 2016, 567, 1–128. [Google Scholar] [CrossRef] [PubMed]
- van Ofwegen, L.; Groenenberg, D.S.J. A centuries old problem in nephtheid taxonomy approached using DNA data (Coelenterata: Alcyonacea). Contrib. Zool. 2007, 76, 153–178. [Google Scholar] [CrossRef]
- World List of Octocorallia. Litophyton Forskål, 1775. World Register of Marine Species. Available online: https://www.marinespecies.org/aphia.php?p=taxdetails&id=204523 (accessed on 28 August 2023).
- Yang, F.; Li, S.-W.; Zhang, J.; Liang, L.-F.; Lu, Y.-H.; Guo, Y.-W. Uncommon nornardosinane, seconeolemnane and related sesquiterpenoids from Xisha soft coral Litophyton nigrum. Bioorg. Chem. 2020, 96, 103636. [Google Scholar] [CrossRef] [PubMed]
- van Ofwegen, L.P. The genus Litophyton Forskål, 1775 (Octocorallia: Alcyonacea: Nephtheidae) from Australia. Zootaxa 2020, 4764, 1–131. [Google Scholar] [CrossRef] [PubMed]
- Li, S.-W.; Mudianta, I.W.; Cuadrado, C.; Li, G.; Yudasmara, G.A.; Setiabudi, G.I.; Daranas, A.H.; Guo, Y.-W. Litosetoenins A–E, diterpenoids from the soft coral Litophyton setoensis, backbone-rearranged through divergent cyclization achieved by epoxide reactivity inversion. J. Org. Chem. 2021, 86, 11771–11781. [Google Scholar] [CrossRef] [PubMed]
- Iwagawa, T.; Kusatsu, D.; Tsuha, K.; Hamada, T.; Okamura, H.; Furukawa, T.; Akiyama, S.-I.; Doe, M.; Morimoto, Y.; Iwase, F.; et al. Cytotoxic eunicellin-type diterpenes from the soft coral Litophyton viscudium. Heterocycles 2011, 83, 2149–2155, Erratum in Heterocycles 2012, 85, 2615–2615. [Google Scholar] [CrossRef]
- Tursch, B. Chemical protection of a fish (Abudefduf leucogaster Bleeker) by a soft coral (Litophyton viridis May). J. Chem. Ecol. 1982, 8, 1421–1428. [Google Scholar] [CrossRef]
- Ashry, M.; Askar, H.; Alian, A.; Zidan, S.A.H.; El-Sahra, D.G.; Abdel-Wahhab, K.G.; Lamlom, S.F.; Abdelsalam, N.R.; Abd El-Hack, M.E.; Gomaa, H.F. The antioxidant and antitumor efficiency of Litophyton sp. extract in DMH-induced colon cancer in male rats. Life 2022, 12, 1470. [Google Scholar] [CrossRef]
- Hawas, U.W.; Abou El-Kassem, L.T.; Fahmy, M.A.; Farghaly, A.A.; Hassan, Z.M. A new pseudoguaiane-type sesquiterpene and potential genotoxicity and antigenotoxicity effect of the soft coral Litophyton arboreum extract. Lett. Org. Chem. 2018, 15, 1060–1064. [Google Scholar] [CrossRef]
- Ellithey, M.S.; Lall, N.; Hussein, A.A.; Meyer, D. Cytotoxic and HIV-1 enzyme inhibitory activities of Red Sea marine organisms. BMC Complem. Altern. Med. 2014, 14, 77. [Google Scholar] [CrossRef]
- Abdel-Tawab, A.M.; Fayad, W.; Shreadah, M.A.; Nassar, M.I.; Abou-Elzaha, M.M.; Abdel-Mogib, M. GC/MS identification and biological evaluation of the Red Sea soft coral Nephthea molle extracts. Res. J. Pharm. Biol. Chem. Sci. 2018, 9, 595–602. [Google Scholar]
- Tanod, W.A.; Yanuhar, U.; Maftuch; Putra, M.Y.; Risjani, Y. Screening of NO inhibitor release activity from soft coral extracts origin Palu Bay, Central Sulawesi, Indonesia. Anti-Inflamm. Anti-Allergy Agents Med. Chem. 2019, 18, 126–141. [Google Scholar] [CrossRef] [PubMed]
- Hassan, N.H.; El-Hawary, S.S.; Emam, M.; Rabeh, M.A.; Abdelmohsen, U.R.; Selim, N.M. Potential inhibitors of CYP51 enzyme in dermatophytes by Red Sea soft coral Nephthea sp.: In silico and molecular networking studies. ACS Omega 2022, 7, 13808–13817. [Google Scholar] [CrossRef] [PubMed]
- Hassan, N.H.; El-Hawary, S.S.; Emam, M.; Rabeh, M.A.; Tantawy, M.A.; Seif, M.; Abd-Elal, R.M.A.; Bringmann, G.; Abdelmohsen, U.R.; Selim, N.M. Pectin nanoparticle-loaded soft coral Nephthea sp. extract as in situ gel enhances chronic wound healing: In vitro, in vivo, and in silico studies. Pharmaceuticals 2023, 16, 957. [Google Scholar] [CrossRef]
- Amir, F.; Koay, Y.C.; Yam, W.S. Chemical constituents and biological properties of the marine soft coral Nephthea: A review (Part 1). Trop. J. Pharm. Res. 2012, 11, 485–498. [Google Scholar] [CrossRef]
- Amir, F.; Koay, Y.C.; Yam, W.S. Chemical constituents and biological properties of the marine soft coral Nephthea: A review (Part 2). Trop. J. Pharm. Res. 2012, 11, 499–517. [Google Scholar] [CrossRef]
- Schmitz, F.J.; Vanderah, D.J.; Ciereszko, L.S. Marine natural products: Nephthenol and epoxynephthenol acetate, cembrene derivatives from a soft coral. J. Chem. Soc. Chem. Commun. 1974, 5, 407–408. [Google Scholar] [CrossRef]
- Tursch, B.; Braekman, J.C.; Daloze, D. Chemical studies of marine invertebrates—XIII 2-Hydroxynephtenol, a novel cembrane diterpene from the soft coral Litophyton viridis (Coelenterata, Octocorallia, Alcyonacea). Bull. Soc. Chim. Belg. 1975, 84, 767–774. [Google Scholar] [CrossRef]
- Cheng, S.-Y.; Shih, N.-L.; Hou, K.-Y.; Ger, M.-J.; Yang, C.-N.; Wang, S.-K.; Duh, C.-Y. Kelsoenethiol and dikelsoenyl ether, two unique kelsoane-type sesquiterpenes, from the Formosan soft coral Nephthea erecta. Bioorg. Med. Chem. Lett. 2014, 24, 473–475. [Google Scholar] [CrossRef]
- Yang, F.; Hua, Q.; Yao, L.-G.; Liang, L.-F.; Lou, Y.-X.; Lu, Y.-H.; An, F.-L.; Guo, Y.-W. One uncommon bis-sesquiterpenoid from Xisha soft coral Litophyton nigrum. Tetrahedron Lett. 2022, 88, 153571. [Google Scholar] [CrossRef]
- Grote, D.; Dahse, H.-M.; Seifert, K. Furanocembranoids from the soft corals Sinularia asterolobata and Litophyton arboreum. Chem. Biodivers. 2008, 5, 2449–2456. [Google Scholar] [CrossRef] [PubMed]
- Ahmed, M.M.A.; Ragab, E.A.; Zayed, A.; El-Ghaly, E.M.; Ismail, S.K.; Khan, S.I.; Ali, Z.; Chittiboyina, A.G.; Khan, I.A. Litoarbolide A: An undescribed sesquiterpenoid from the Red Sea soft coral Litophyton arboreum with an in vitro anti-malarial activity evaluation. Nat. Prod. Res. 2023, 37, 542–550. [Google Scholar] [CrossRef] [PubMed]
- Ellithey, M.S.; Lall, N.; Hussein, A.A.; Meyer, D. Cytotoxic, cytostatic and HIV-1 PR inhibitory activities of the soft coral Litophyton arboreum. Mar. Drugs 2013, 11, 4917–4936. [Google Scholar] [CrossRef] [PubMed]
- Ellithey, M.S.; Ahmed, H.H. Bioactive marine-derived compounds as potential anticancer candidates. Asian J. Pharm. Clin. Res. 2018, 11, 464–466. [Google Scholar] [CrossRef]
- Abou El-Kassem, L.T.; Hawas, U.W.; El-Desouky, S.K.; Al-Farawati, R. Sesquiterpenes from the Saudi Red Sea: Litophyton arboreum with their cytotoxic and antimicrobial activities. Z. Naturforsch. C-J. Biosci. 2018, 73, 9–14. [Google Scholar] [CrossRef]
- Mahmoud, A.H.; Zidan, S.A.H.; Samy, M.N.; Alian, A.; Abdelmohsen, U.R.; Fouad, M.A.; Kamel, M.S.; Matsunami, K. Cytotoxicity and chemical profiling of the Red Sea soft corals Litophyton arboreum. Nat. Prod. Res. 2022, 36, 4261–4265. [Google Scholar] [CrossRef]
- Hegazy, M.-E.F.; Gamal-Eldeen, A.M.; Mohamed, T.A.; Alhammady, M.A.; Hassanien, A.A.; Shreadah, M.A.; Abdelgawad, I.I.; Elkady, E.M.; Paré, P.W. New cytotoxic constituents from the Red Sea soft coral Nephthea sp. Nat. Prod. Res. 2016, 30, 1266–1272. [Google Scholar] [CrossRef]
- Ghandourah, M.A.; Alarif, W.M.; Abdel-Lateff, A.; Al-Lihaibi, S.S.; Ayyad, S.-E.N.; Basaif, S.A.; Badria, F.A. Two new terpenoidal derivatives: A himachalene-type sesquiterpene and 13,14-secosteroid from the soft coral Litophyton arboreum. Med. Chem. Res. 2015, 24, 4070–4077. [Google Scholar] [CrossRef]
- Yang, F.; Hua, Q.; Yao, L.-G.; Liang, L.-F.; Lu, Y.-H.; An, F.-L.; Guo, Y.-W. Further new nardosinane-type sesquiterpenoids from the Xisha soft coral Litophyton nigrum. Fitoterapia 2021, 151, 104906. [Google Scholar] [CrossRef]
- Abdelhafez, O.H.; Fahim, J.R.; Mustafa, M.; AboulMagd, A.M.; Desoukey, S.Y.; Hayallah, A.M.; Kamel, M.S.; Abdelmohsen, U.R. Natural metabolites from the soft coral Nephthea sp. as potential SARS-CoV-2 main protease inhibitors. Nat. Prod. Res. 2022, 36, 2893–2896. [Google Scholar] [CrossRef]
- Ishii, T.; Kamada, T.; Phan, C.-S.; Vairappan, C.S. Chabrolene, a novel norditerpene from the bornean soft coral Nephthea sp. Sains Malays. 2018, 47, 319–322. [Google Scholar] [CrossRef]
- Shaker, K.H.; Müller, M.; Ghani, M.A.; Dahse, H.-M.; Seifert, K. Terpenes from the soft corals Litophyton arboreum and Sarcophyton ehrenbergi. Chem. Biodivers. 2010, 7, 2007–2015. [Google Scholar] [CrossRef] [PubMed]
- Hsiao, T.-H.; Sung, C.-S.; Lan, Y.-H.; Wang, Y.-C.; Lu, M.-C.; Wen, Z.-H.; Wu, Y.-C.; Sung, P.-J. New anti-inflammatory cembranes from the cultured soft coral Nephthea columnaris. Mar. Drugs 2015, 13, 3443–3453. [Google Scholar] [CrossRef] [PubMed]
- Hsiao, T.-H.; Cheng, C.-H.; Wu, T.-Y.; Lu, M.-C.; Chen, W.-F.; Wen, Z.-H.; Dai, C.-F.; Wu, Y.-C.; Sung, P.-J. New cembranoid diterpenes from the cultured octocoral Nephthea columnaris. Molecules 2015, 20, 13205. [Google Scholar] [CrossRef] [PubMed]
- Ishii, T.; Kamada, T.; Vairappan, C.S. Three new cembranoids from the Bornean soft coral Nephthea sp. J. Asian Nat. Prod. Res. 2016, 18, 415–422. [Google Scholar] [CrossRef]
- Tani, K.; Kamada, T.; Phan, C.-S.; Vairappan, C.S. New cembrane-type diterpenoids from Bornean soft coral Nephthea sp. with antifungal activity against Lagenidium thermophilum. Nat. Prod. Res. 2019, 33, 3343–3349. [Google Scholar] [CrossRef]
- Ochi, M.; Futatsugi, K.; Kotsuki, H.; Ishii, M.; Shibata, K. Litophynin A and B, two new insect growth inhibitory diterpenoids from the soft coral Litophyton sp. Chem. Lett. 1987, 16, 2207–2210. [Google Scholar] [CrossRef]
- Ochi, M.; Futatsugi, K.; Kume, Y.; Kotsuki, H.; Asao, K.; Shibata, K. Litophynin C, a new insect growth inhibitory diterpenoid from a soft coral Litophyton sp. Chem. Lett. 1988, 17, 1661–1662. [Google Scholar] [CrossRef]
- Ochi, M.; Yamada, K.; Futatsugi, K.; Kotsuki, H.; Shibata, K. Litophynin D and E, two new diterpenoids from a soft coral Litophyton sp. Chem. Lett. 1990, 19, 2183–2186. [Google Scholar] [CrossRef]
- Ochi, M.; Yamada, K.; Futatsugi, K.; Kotsuki, H.; Shibata, K. Litophynins F, G, and H, three new diterpenoids from a soft coral Litophyton sp. Heterocycles 1991, 32, 29–32. [Google Scholar] [CrossRef]
- Ochi, M.; Yamada, K.; Kataoka, K.; Kotsuki, H.; Shibata, K. Litophynins I and J, two new biologically active diterpenoids from the soft coral Litophyton sp. Chem. Lett. 1992, 21, 155–158. [Google Scholar] [CrossRef]
- Miyamoto, T.; Yamada, K.; Ikeda, N.; Komori, T.; Higuchi, R. Bioactive terpenoids from Octocorallia, I. Bioactive diterpenoids: Litophynols A and B from the mucus of the soft coral Litophyton sp. J. Nat. Prod. 1994, 57, 1212–1219. [Google Scholar] [CrossRef] [PubMed]
- Lee, Y.-S.; Duh, T.-H.; Siao, S.-S.; Chang, R.-C.; Wang, S.-K.; Duh, C.-Y. New cytotoxic terpenoids from soft corals Nephthea chabroli and Paralemnalia thyrsoides. Mar. Drugs 2017, 15, 392. [Google Scholar] [CrossRef] [PubMed]
- Bortolotto, M.; Braekman, J.C.; Daloze, D.; Losman, D.; Tursch, B. Chemical studies of marine invertebrates. XXIII. A novel polyhydroxylated sterol from the soft coral Litophyton viridis (coelenterata, octocorallia, alcyonacea). Steroids 1976, 28, 461–466. [Google Scholar] [CrossRef] [PubMed]
- Bortolotto, M.; Braekman, J.C.; Daloze, D.; Tursch, B.; Karlsson, R. Chemical studies of marine invertebrates. XXIX: 4α-methyl-3β,8β-dihydroxy-5α-ergost-24(28)-en-23-one, a novel polyoxygenated sterol from the soft coral Litophyton viridis, (Coelenterata, Octocorallia, Alcyonacea). Steroids 1977, 30, 159–164. [Google Scholar] [CrossRef]
- Končić, M.Z.; Ioannou, E.; Sawadogo, W.R.; Abdel-Razik, A.F.; Vagias, C.; Diederich, M.; Roussis, V. 4α-Methylated steroids with cytotoxic activity from the soft coral Litophyton mollis. Steroids 2016, 115, 130–135. [Google Scholar] [CrossRef]
- Wright, J.L.C.; Mcinnes, A.G.; Shimizu, S.; Smith, D.G.; Walter, J.A.; Idler, D.; Khalil, W. Identification of C-24 alkyl epimers of marine sterols by 13C nuclear magnetic resonance spectroscopy. Can. J. Chem. 1978, 56, 1898–1903. [Google Scholar] [CrossRef]
- Gong, J.; Sun, P.; Jiang, N.; Riccio, R.; Lauro, G.; Bifulco, G.; Li, T.-J.; Gerwick, W.H.; Zhang, W. New steroids with a rearranged skeleton as (h)P300 inhibitors from the sponge Theonella swinhoei. Org. Lett. 2014, 16, 2224–2227. [Google Scholar] [CrossRef]
- Cao, V.A.; Kwon, J.-H.; Kang, J.S.; Lee, H.-S.; Heo, C.-S.; Shin, H.J. Aspersterols A–D, ergostane-type sterols with an unusual unsaturated side chain from the deep-sea-derived fungus Aspergillus unguis. J. Nat. Prod. 2022, 85, 2177–2183. [Google Scholar] [CrossRef]
- Mohamed, T.A.; Elshamy, A.I.; Ibrahim, M.A.A.; Atia, M.A.M.; Ahmed, R.F.; Ali, S.K.; Mahdy, K.A.; Alshammari, S.O.; Al-Abd, A.M.; Moustafa, M.F.; et al. Gastroprotection against rat ulcers by Nephthea sterol derivative. Biomolecules 2021, 11, 1247. [Google Scholar] [CrossRef]
- Shaker, K.H.; Al-Wahaibi, L.H. 13C-NMR of steroids from the soft coral Litophyton arboretum. Int. J. Pharm. Sci. Rev. Res. 2016, 36, 149–152. [Google Scholar]
- Lin, C.-C.; Whuang, T.-Y.; Su, J.-H.; Hwangd, T.-L.; Wu, Y.-C.; Sung, P.-J. 4α-Methylergosta-22(E),24(28)-dien-3β-ol, a new marine sterol from the octocoral Nephthea columnaris. Nat. Prod. Commun. 2017, 12, 345–346. [Google Scholar] [CrossRef]
- Losman, D.; Karlsson, R. 24-Methylenecholest-5-ene-3β,7β,19-triol. A case of pseudotranslation. Calculation of structure invariants from partial structure information. Acta Crystallogr. Sect. B 1978, 34, 2586–2589. [Google Scholar] [CrossRef]
- Iguchi, K.; Saitoh, S.; Yamada, Y. Novel 19-oxygenated sterols from the Okinawan soft coral Litophyton viridis. Chem. Pharm. Bull. 1989, 37, 2553–2554. [Google Scholar] [CrossRef]
- Li, R.; Wang, S.; Tan, G.; Long, K. Two polyhydroxylated steroids from the Chinese soft coral Litophyton arboreum. Steroids 1994, 59, 503–505. [Google Scholar] [CrossRef] [PubMed]
- Wang, S.-K.; Puu, S.-Y.; Duh, C.-Y. New 19-oxygenated steroids from the soft coral Nephthea chabrolii. Mar. Drugs 2012, 10, 1288–1296. [Google Scholar] [CrossRef]
- Wang, S.-K.; Puu, S.-Y.; Duh, C.-Y. New steroids from the soft coral Nephthea chabrolii. Mar. Drugs 2013, 11, 571–580. [Google Scholar] [CrossRef]
- Leng, T.; Liu, A.; Wang, Y.; Chen, X.; Zhou, S.; Li, Q.; Zhu, W.; Zhou, Y.; Su, X.; Huang, Y.; et al. Naturally occurring marine steroid 24-methylenecholestane-3β,5α,6β,19-tetraol functions as a novel neuroprotectant. Steroids 2016, 105, 96–105. [Google Scholar] [CrossRef]
- Sheng, L.; Lu, B.; Chen, H.; Du, Y.; Chen, C.; Cai, W.; Yang, Y.; Tian, X.; Huang, Z.; Chi, W.; et al. Marine-steroid derivative 5α-androst-3β, 5α, 6β-triol protects retinal ganglion cells from ischemia–reperfusion injury by activating Nrf2 pathway. Mar. Drugs 2019, 17, 267. [Google Scholar] [CrossRef]
- Whuang, T.-Y.; Tsai, W.-C.; Chen, N.-F.; Chen, Z.-C.; Tsui, K.-H.; Wen, Z.-H.; Su, Y.-D.; Chang, Y.-C.; Chen, Y.-H.; Lu, M.-C.; et al. Columnaristerol A, a novel 19-norsterol from the Formosan octocoral Nephthea columnaris. Bioorg. Med. Chem. Lett. 2016, 26, 4966–4969. [Google Scholar] [CrossRef]
- Whuang, T.-Y.; Tsai, H.-C.; Su, Y.-D.; Hwang, T.-L.; Sung, P.-J. Sterols from the octocoral Nephthea columnaris. Mar. Drugs 2017, 15, 212. [Google Scholar] [CrossRef] [PubMed]
- Tsai, T.-C.; Huang, Y.-T.; Chou, S.-K.; Shih, M.-C.; Chiang, C.-Y.; Su, J.-H. Cytotoxic oxygenated steroids from the soft coral Nephthea erecta. Chem. Pharm. Bull. 2016, 64, 1519–1522. [Google Scholar] [CrossRef] [PubMed]
- Chung, T.-W.; Su, J.-H.; Lin, C.-C.; Li, Y.-R.; Chao, Y.-H.; Lin, S.-H.; Chan, H.-L. 24-Methyl-cholesta-5,24(28)-diene-3β,19-diol-7β-monoacetate inhibits human small cell lung cancer growth in vitro and in vivo via apoptosis induction. Mar. Drugs 2017, 15, 210. [Google Scholar] [CrossRef] [PubMed]
- Wang, C.; Liang, Y.; Liao, X.; Xu, S. Isolation and identification of two new compounds linear tetrapeptide and monohydroxysteroid. Chin. J. Org. Chem. 2012, 32, 727–731. [Google Scholar] [CrossRef]
- Zhang, J.; Liao, X.-J.; Wang, K.-L.; Deng, Z.; Xu, S.-H. Cytotoxic cholesta-1,4-dien-3-one derivatives from soft coral Nephthea sp. Steroids 2013, 78, 396–400. [Google Scholar] [CrossRef]
- Zhang, J.; Li, L.-C.; Wang, K.-L.; Liao, X.-J.; Deng, Z.; Xu, S.-H. Pentacyclic hemiacetal sterol with antifouling and cytotoxic activities from the soft coral Nephthea sp. Bioorg. Med. Chem. Lett. 2013, 23, 1079–1082. [Google Scholar] [CrossRef]
- Li, S.; Deng, Z.; Peng, C.-Y.; Deng, M.-Y.; Zhang, L.-Q.; Liao, X.-J.; Xu, S.-H. Pregnane steroids from Nephthea sp. Zhongyaocai 2014, 37, 63–66. [Google Scholar] [CrossRef]
- Mahmoud, A.H.; Zidan, S.A.H.; Samy, M.N.; Alian, A.; Fouad, M.A.; Kamel, M.S.; Matsunami, K. Phytochemical and biological investigation of Litophyton arboreum. J. Pharmacogn. Phytochem. 2022, 11, 12–15. [Google Scholar] [CrossRef]
- Wang, C.; Liao, X.; Xu, S. Studies on alkaloids of secondary metabolites from soft coral Nephthea sp. Chem. Res. Appl. 2011, 23, 619–621. [Google Scholar]
- Řezanka, T.; Dembitsky, V.M. γ-Lactones from the soft corals Sarcophyton trocheliophorum and Lithophyton arboreum. Tetrahedron 2001, 57, 8743–8749. [Google Scholar] [CrossRef]
- Ochi, M.; Futatsugi, K.; Kume, Y.; Kotsuki, H.; Asao, K.; Shibata, K. Litophytolides A and B, two new lipid metabolites of a soft coral Litophyton sp. Heterocycles 1989, 29, 39–41. [Google Scholar] [CrossRef]
- Scesa, P.D.; Lin, Z.; Schmidt, E.W. Ancient defensive terpene biosynthetic gene clusters in the soft corals. Nat. Chem. Biol. 2022, 18, 659–663. [Google Scholar] [CrossRef] [PubMed]
- Burkhardt, I.; de Rond, T.; Chen, P.Y.-T.; Moore, B.S. Ancient plant-like terpene biosynthesis in corals. Nat. Chem. Biol. 2022, 18, 664–669. [Google Scholar] [CrossRef] [PubMed]











































Disclaimer/Publisher’s Note: The statements, opinions and data contained in all publications are solely those of the individual author(s) and contributor(s) and not of MDPI and/or the editor(s). MDPI and/or the editor(s) disclaim responsibility for any injury to people or property resulting from any ideas, methods, instructions or products referred to in the content. |
© 2023 by the authors. Licensee MDPI, Basel, Switzerland. This article is an open access article distributed under the terms and conditions of the Creative Commons Attribution (CC BY) license (https://creativecommons.org/licenses/by/4.0/).
Share and Cite
Yan, X.-Y.; Zhang, L.; Yang, Q.-B.; Ge, Z.-Y.; Liang, L.-F.; Guo, Y.-W. Genus Litophyton: A Hidden Treasure Trove of Structurally Unique and Diversely Bioactive Secondary Metabolites. Mar. Drugs 2023, 21, 523. https://doi.org/10.3390/md21100523
Yan X-Y, Zhang L, Yang Q-B, Ge Z-Y, Liang L-F, Guo Y-W. Genus Litophyton: A Hidden Treasure Trove of Structurally Unique and Diversely Bioactive Secondary Metabolites. Marine Drugs. 2023; 21(10):523. https://doi.org/10.3390/md21100523
Chicago/Turabian StyleYan, Xian-Yun, Ling Zhang, Qi-Bin Yang, Zeng-Yue Ge, Lin-Fu Liang, and Yue-Wei Guo. 2023. "Genus Litophyton: A Hidden Treasure Trove of Structurally Unique and Diversely Bioactive Secondary Metabolites" Marine Drugs 21, no. 10: 523. https://doi.org/10.3390/md21100523
APA StyleYan, X.-Y., Zhang, L., Yang, Q.-B., Ge, Z.-Y., Liang, L.-F., & Guo, Y.-W. (2023). Genus Litophyton: A Hidden Treasure Trove of Structurally Unique and Diversely Bioactive Secondary Metabolites. Marine Drugs, 21(10), 523. https://doi.org/10.3390/md21100523

