Abstract
Acquired immunodeficiency syndrome (AIDS) is a chronic and potentially fatal ailment caused by the human immunodeficiency virus (HIV) and remains a major health problem worldwide. In recent years, the research focus has shifted to a greater emphasis on complementing treatment regimens involving conventional antiretroviral (ARV) drug therapies with novel lead structures isolated from various marine organisms that have the potential to be utilized as therapeutics for the management of HIV-AIDS. The present review summarizes the recent developments regarding bioactive peptides sourced from various marine organisms. This includes a discussion encompassing the potential of these novel marine bioactive peptides with regard to antiretroviral activities against HIV, preparation, purification, and processing techniques, in addition to insight into the future trends with an emphasis on the potential of exploration and evaluation of novel peptides to be developed into effective antiretroviral drugs.
1. Introduction
Research in recent decades has highlighted the potential of natural bioactive compounds for the clinical management of various diseases, such as acquired immunodeficiency syndrome (AIDS), caused by the human immunodeficiency virus (HIV) [1]. Marine bioactive peptides (MBAPs) that are present in many marine species, including fish, sponges, cyanobacteria, fungi, ascidians, seaweeds, and mollusks, have gained attention for their health-promoting benefits. MBAPs obtained from marine species have ameliorating potential against many health conditions, such as hypertension, diabetes, obesity, HIV, cancer, oxidation, and inflammation. Various research studies have indicated that MBAPs can be utilized for the treatment of HIV in conjunction with pharmaceuticals and functional foods due to their antitherapeutic effect [2].
HIV is a chronic and potentially life-threatening condition, and as per the Joint United Nations Programme on HIV/AIDS (UNAIDS) report of 2020, over 37.7 million people were living with HIV globally [3]. During the life cycle of the disease, the virus attaches itself to the host cells, followed by the cluster of differentiation 4 (CD4) receptor binding, followed by co-receptor binding that ultimately leads to the fusion of the viral and host cell membranes [4,5]. This attachment phase involves the initial interaction of the envelope glycoproteins (Env) to the CD4 receptor followed by the binding of the phenylalanine 43 (Phe43) of CD4 to the gp120 residues inside the gp120 Phe43 cavity, consequently triggering major conformational changes in the viral envelope section, exposing the conserved gp120 region, and therefore facilitating the attachment of chemokine co-receptors, C-C chemokine receptor type 5 (CCR5), and C-X-C Motif Chemokine Receptor 4 (CXCR4) [6]. Subunits of gp41 unwind further, resulting in a six-helix coil formation that fuses gp41 into the cell membrane, thereby permitting the entry of viral genetic makeup into the cytosol [7]. After the entry of genetic material into the cytoplasm, it undergoes reverse transcription with the aid of reverse transcriptase (RT), resulting in the formation of HIV-1 DNA, which later serves as the template for the synthesis of mRNA transcripts of HIV-1 [8]. Enzyme integrase effectively integrates the viral DNA into the host cell genome [9]. After the completion of the translation process in the cytoplasm, new virus infectious particles (virions) are formed, which also undergo trimming inside the capsid and may infect the targeted cells, responding as a mature virus [10] as depicted in Figure 1.
Figure 1.
Depiction of the life cycle of Human Immunodeficiency Virus (HIV). (1) Binding, (2) viral entry, (3) reverse transcription, (4) nuclear import, (5) integration, (6) transcription, (7) translation, (8) assembly, and (9) mutation.
Various research studies highlight the potential of MBAPs against the replication of HIV [11,12,13,14]. The current review considers the existing knowledge regarding the activity of MBAPs against HIV by exploring databases such as PubMed, ScienceDirect, SciFinder-n, and Embase, and using keyword combinations including bioactive peptides, marine bioactive peptides, anti-HIV, marine organisms, and antiretroviral agents. We selected 450 articles due to relevancy with the current theme, and after scrutinization, 165 were selected and reviewed.
2. Marine Bioactive Peptides (MBAPs)
Bioactive peptides (BAPs) from various marine organisms demonstrate extensive structural diversity and have gained popularity for the development of products in pharmaceutical, cosmeceutical [15,16,17], and nutraceutical industries [18,19,20]. MBAPs are largely involved in vital mechanisms such as growth, reproduction, and homeostasis, which are significant for the survival of living organisms [21]. BAPs are composed of between 3–20 diverse types of residual amino acids with functionality largely dependent on the sequential composition of these amino acids [22]. The BAPs with lower molecular weights assimilate through the intestinal wall without any hindrance, thereby increasing the functional and biological potential of BAPs as compared to other bioactive agents [23,24].
Owing to high membrane permeability characteristics, MBAPs exhibit a host of biological activities, including antimicrobial, antiviral [15,25,26,27], antibacterial [28,29,30,31], antifungal [32,33,34], cytotoxic [35], neurotoxic [36], anticoagulant [37,38], antidiabetic [25], antifreezing [39,40], antioxidant [41,42,43,44,45], immune-modulating [46,47], angiotensin I-converting enzyme (ACE)-inhibiting [48,49,50,51], and endotoxin binding capabilities [52,53,54]. The recent discovery of linear and cyclic peptides with novel chemical structural attributes in marine organisms [55] is of considerable significance. These peptides have exhibited strong ion channel-specific blocking potential along with other pathological and pharmacological prospects [56,57,58,59].
One of the primary challenges faced in the production of peptides from algae is the variability of protein content with the change in locality, temperature, and season. Furthermore, the extraction process poses significant complications, as the macroalgal cell wall is complex, rigid, is composed of intricate covalently bound polysaccharides (e.g., alginates), polyphenols, and proteins aligned in a complex covalently bonded structure, which are a major obstacle in the effective extraction and digestibility of BAPs [24,60,61].
Recently, increasing scientific evidence indicates that various hydrolyzed peptides isolated from marine organisms and fishery wastes (skin, intestines, head, and fins) have the potential to contribute to health-promoting effects and the prevention of many chronic diseases [62]. In the context of therapeutic potential, MBAPs offer significant health benefits with respect to complementing treatment regimens involving conventional antiretroviral (ARV) drug therapies for the treatment of chronic disease conditions [63,64].
As discussed above, MBAPs owing to their bioactive characteristics could be used in the development of potential nutraceuticals, functional foods, and food supplements [18]. Out of hundreds of peptides isolated from marine organisms, only a few have been approved for clinical trials and even fewer have been able to reach the market. Additionally, for many, the trials have been discontinued or terminated due to the lack of objective responses, effectiveness, or in worst-case scenarios, adverse outcomes in patients due to poor clinical trials [65,66].
2.1. Techniques Used for the Commercial Preparation and Purification of MBAPs
MBAPs have been extracted from various sources, including fish, algae, crustaceans, and mollusks, in addition to various marine waste products, such as shells, substandard muscles, viscera, trimmings, and skins [67]. The BAPs are either procured from proteins during digestion and food processing, or are already present in the products prior to the processing operations [68]. The latter consist of both ribosomal bioactive peptides, in addition to non-ribosomal bioactive peptides (depsipeptides, cyclic peptides, and non-natural amino acid residues) [69]. Figure 2 is a schematic representation of the stages involved in the preparation and purification of marine peptides.
Figure 2.
Preparation and purification of marine peptides.
Different techniques have been used for the extraction of these peptides, such as organic solvents and acid/alkaline solutions. Extraction is followed by isoelectric precipitation, although, this results in the production of peptides with potentially adverse effects on the environment. Additionally, it is often accompanied by a high cost of production, leading to a longer purification process [14,70]. Recent research on antimicrobial marine peptides, or their fractions thereof, are reported to have a molecular weight <10 kDa and a high degree of antimicrobial activity [71]. Some of the techniques employed for the preparation and purification of MBAPs are listed in Table 1.
Table 1.
Summary of the techniques used for the preparation and purification of marine bioactive peptides commercially [72,73,74,75,76,77,78,79,80,81,82,83,84,85].
2.2. Marine Sponge-Derived Bioactive Peptides against HIV
Marine sponges are soft-structured, filter-feeding, bioactive component-rich, aquatic invertebrate parazoans from the phylum Porifera, and act as diversified habitats for numerous marine species [86]. Sponges contain diverse biomolecules of varying chemical and structural characteristics that exhibit various bioactive attributes [87]. This is proven by the fact that out of nine FDA-approved marine drugs, four are contributed by sponges [88]. Research reports suggest that many of the bioactive metabolites isolated from sponges are generated by their functional enzyme clusters and the microorganisms associated with these sponges [89].
Koshikamides from the sponges of Theonella sp. have been reported to exhibit anti-HIV activity. In this regard, relative to their linear counterparts, the cyclic koshikamides F and H inhibited HIV entry with IC50 values of 2.3 and 5.5 µM, respectively, when tested in a single round HIV-1 infectivity assay against a CCR5-using viral envelope [90,91]. Additionally, the peptides were evaluated for their cytotoxicity against various target cell lines, including a control kidney cell line (BSC-1), a human colon tumor cell line (HCT-116), and the target cell line TZM-bl. Favorably, neither koshikamide F nor koshikamide H exhibited cytotoxicity toward any of the target cell lines at these concentrations [90]. Although, koshikamide H was found to exhibit moderate cytotoxicity against the HCT-116 target cell line with an IC50 value of 10 µM [92]. The anti-HIV activity of the cyclic koshikamides F and H has been attributed to the presence of the 10 AA residue lactone ring in their structures, a characteristic absent in the linear analogs of these peptides [55]. Furthermore, koshikamide F has been proven to be slightly more potent in terms of anti-HIV activity, owing to the distinctive macrolactone conformation induced by the presence of the unsaturated pyrrolidinone residue Apdp [90].
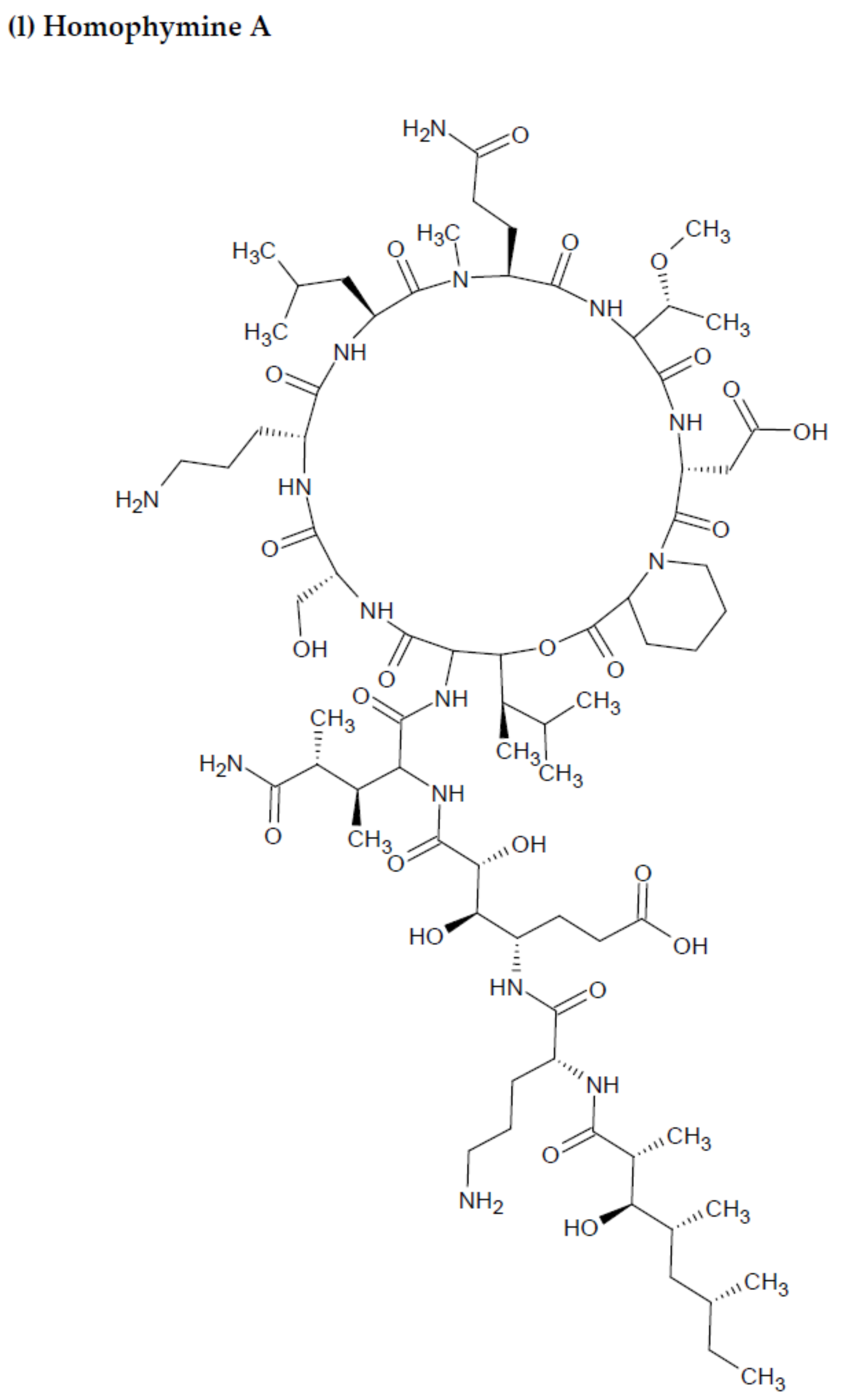
Depsipeptides (also termed cyclodepsipeptides) with unique non-proteinogenic amino acid combinations inherently incorporated into their structures are isolated from various species of marine sponges and are of particular interest as powerful molecules aimed at drug development against HIV [88]. Callipeltin A (source: Callipelta sp. and Latrunculia sp.) and neamphamide A (source: Neamphius huxleyi) have also been proven to prevent the replication of HIV [93]. Callipeltin A, in an 3-(4,5-dimethylthiazol-2-yl)-2,5-diphenyltetrazolium bromide (MTT) cell viability assay, inhibited HIV-1-induced (Lai strain, X4 tropic) cytopathic effects in CEM4 lymphocytic cell lines at an EC50 value of 0.01 μg/mL, and a TC50 value of 0.29 μg/mL [94]. Additionally, the structural similarities to the potent antiviral family of compounds called didemnins might also imply that callipeltin A possesses anti-HIV activity [95]. Similarly, neamphamide A demonstrated HIV-inhibitory activity in a 2,3-Bis-(2-Methoxy-4-Nitro-5-Sulfophenyl)-2H-Tetrazolium-5-Carboxanilide (XTT) cell viability assay in a human T-cell line CEM-SS infected with HIV-1RF at an IC50 value of 28 nM, and a TC50 value of 260 nM [94]. Furthermore, homophymine A, a depsiundecapeptide from a New Caledonian species of marine sponges, Homophymia sp. demonstrated cytoprotective activity against HIV infection. The anti-HIV activity was evaluated by an XTT cell viability assay in HIV-1-infected cells (IIIB strain). An assessment at seven days post-infection indicated that the compound inhibited HIV-1 infection production with an IC50 value of 75 nM [96,97]. Also, a TC50 value of 1.19 μM was recorded against host cells when direct cytotoxic measurements of homophymine A were undertaken [96,97].
Anti-HIV activity has also been recorded for mirabamides E–H derived from the marine sponges Stelletta clavosa, along with the already recognized mirabamides A–D isolated from the sponge Siliquariaspongia mirabilis. The activity of mirabamides was tested using HIV-1 neutralization assays against two viral strains, HXB2 (T-cell-tropic) and SF162 (macrophage-tropic), in addition to an HIV-1 envelope-mediated cell fusion assay to ascertain whether these peptides act to prevent the entry of the virus during the initial stages of the infection [94,98]. Mirabamides A, C, and D exhibited significant inhibitory activity against HXB2 infection of the TZM-bl host cells (involved in the expression of CXCR4, CCR5, and CD4) with IC50 values of 140 nM, 140 nM, and 190 nM, respectively, while mirabamide B was relatively less effective with an IC50 value of >50 μM [94,98]. Comparatively, mirabamides A, C, and D were relatively less potent towards SF162 (IC50 values of 400 nM, 1 μM, and 1 μM, respectively), while mirabamide B once again exhibited weak inhibitory activity toward SF162 [94,98]. As mirabamides A, C, and D have been found to inhibit HIV in both the aforementioned neutralization and fusion assays, it may be surmised that these peptides can act at the initial stages of HIV entry into the host cell, preventing viral entry and subsequent fusion [94,98]. Likewise, pseudotyped viruses with an enveloped HIV-1 strain when tested in single-round infectivity assays against the new cyclodepsipeptides mirabamides E–H (isolated from the hairy olives sponge S. clavosa), in parallel with mirabamide C, exhibited significant antiviral replication activity in genital epithelial cells (expressing CCR5 and CD4 HIV-1 coreceptors) with IC50 values of 121, 62, 68, and 41 nM, for mirabamides E–H, respectively. Therefore, these compounds also seem to be inhibitors of viral entry during the initial stages of infection by virtue of their binding capabilities to the HIV-1 envelope glycoprotein for inhibition of viral fusion into the host cell membrane [99].
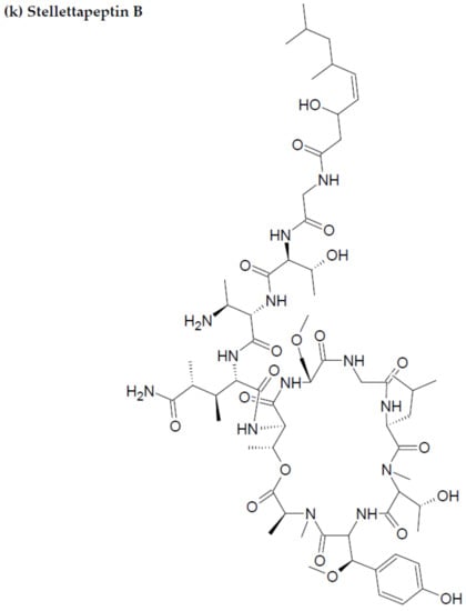
Along with the previously reported depsipeptides with HIV-inhibitory activity (such as mirabamides) from S. clavosa, two new depsipeptides, namely stellettapeptin A (EC50: 23 nmol/L) and stellettapeptin B (EC50: 27 nmol/L) were discovered, exhibiting potent HIV-inhibitory activities [88]. For this study, the anti-HIV activity of stellettapeptins was evaluated in an XTT-based cell viability assay by using the human T-cell line CEM-SS infected with HIV-1RF. After an incubation period of 6 days, the incubated compounds were found effective to inhibit the cytopathic effect of HIV-1. The toxicity of these depsipeptides against the host cells was observed with IC50 values of 367 and 373 nM, respectively [100].
Microspinosamide, a tridecadepsipeptide from the sponge Sidonops microspinosa, is another cyclic depsipeptide with an inhibitory effect against cytopathic action of HIV-1 infection in an in vitro XTT-based assay with an EC50 value of 0.2 μg/mL [101]. Similarly, theopapuamide B, isolated from the bacteria symbiosis sponges Theonella swinhoei and S. mirabilis exhibited anti-HIV activity in an in vitro single-round HIV-1 infectivity assay against HIV-1 SF162 envelope pseudotyped viruses with an IC50 value of 0.8 µg/mL [101]. Celebeside A from S. mirabilis has similarly been attributed with HIV-1 neutralization activity with an IC50 value of 1.9 µg/mL in a single-round infectivity assay [101].
One of the primary reservoirs of latent infection is the CD4+T cell containing integrated and transcriptionally silenced HIV-1 proviruses [102]. The activation of these resting cells, particularly after prolonged periods of dormancy, results in proviral gene expression of HIV-1 and consequent renewal of viral infection [103]. The increasing emphasis has therefore been on exploring therapeutic interventions aimed at complete elimination of the latent proviruses (sterilized cure) [104]. Of particular research interest is what is commonly termed as the ‘shock and kill’ strategies, whereby the transcription of HIV-1 proviruses present in resting CD4+ T reservoir cells is de-repressed with the aid of small molecule drugs for the production of replicating virus, which could be inhibited through simultaneous administration of highly active antiretroviral therapy (HAART) [105]. The identification of various latency reversal agents (LRAs) capable of activating HIV-1 proviral gene expression from marine sponge Phorbas sp. has been a significant development in this context [103]. The latency reversal activity in the majority of LRAs can be attributed to their ability to activate adenosine 3′,5′-monophosphate (AMP), and protein kinase C (PKC) signaling [106]. The structures of sponge-derived peptides are demonstrated in Figure 3.







Figure 3.
Chemical structures of MBAPs derived from marine sponges. (a) koshikamide F, (b) koshikamide H, (c) mirabamide A, (d) mirabamide C, (e) mirabamide D, (f) mirabamide E, (g) mirabamide F, (h) mirabamide G, (i) mirabamide H, (j) stellettapeptin A, (k) stellettapeptin B, (l) homophymine A, (m) callipeltin A, (n) neamphamide A, and (o) mirabamide B.
2.3. Marine Cyanobacteria-Associated Compounds with Anti-HIV Properties
Cyanobacteria are photosynthetic bacteria abundantly observed in nature [107]. They contain a large variety of toxins along with several bioactive compounds with potential bioactive attributes such as antitumor, anticancer, antimicrobial, antifungal, anti-inflammatory, and protease inhibition characteristics.
Cyanovirin-N (CV-N), (Figure 3) an 11 kDa protein derived from the cyanobacteria Nostoc ellipsosporum has been tested as an anti-HIV compound (preclinical development) [108]. The IC50/EC50 values for native CV-N against various HIV-1 isolates range between 0.1 and 36.8 nM, while against HIV-2 isolates, the IC50/EC50 values range between 2.3 and 7.6 nM [109,110]. In a recent research study, all three forms (mixed, dimer, monomer) of a recombinant version of CV-N (rCV-N) (monomeric mass: 11.962 kDa), exhibited significant anti-HIV activity with an IC50 range of 0.5−5 nM, a therapeutic index (TI) of ~1000–10,000 in vitro, negligible cytotoxicity of approximately 5 μM, and low endotoxins (mixed form refers to a mixture of monomer, dimer and higher-order oligomers together). TZM-bl cells were infected with HIV-1NL4-3 for the assessment of anti-HIV activity of the rCV-N forms, while their cytotoxicity was determined by an MTT cell proliferation assay. This anti-HIV activity can be attributed to the capability of CV-N to interfere with the fusion of HIV with the CD4+ cell membrane [111].
CV-N has demonstrated specific and strong interaction capabilities with the viral envelop glycoprotein gp120 through N-linked oligosaccharides with high mannose content, particularly the glycans Man-8 and Man-9 [112]. This consequently prevents the binding of the gp120 to the host CD4 T-cell receptor, in addition to the chemokine CCR5 and CXCR4 co-receptors, thereby inhibiting both the viral entry and the cell-to-cell fusion and transmission [113]. Owing to its excellent stability, lower toxicity, broad-spectrum antiviral activities, and highly specific binding to oligosaccharides, CV-N has the potential to be a class-leading compound for the prevention of sexual transmission of HIV [114].
Similarly, microvirin (MV-N), isolated from the bloom-forming cyanobacterium Microcystis aeruginosa, is another compound with anti-HIV potential [80]. MV-N is a 14.3 kDa protein, and has high specificity for α(1-2)mannobiose at the termini of branched high mannose-type glycans on the viral surface [81]. MV-N, like CV-N, can neutralize a broad range of clinical isolates, and laboratory-adapted strains with low nanomolar potency against most HIV-1 group M clades of various subtypes and tropics [110] with IC50 values ranging between 2.1 and 167 nM. MV-N was much more active against HIV-1 isolates A and B when compared to CV-N [115]. MV-N, therefore, is active in the reduction of initiation markers, including CD25, CD69, and HLA-DR, preventing the formation of syncytium between cells infected with HIV-1, and healthy CD4+ T cells, also inhibiting viral replication [115,116]. Furthermore, as the research study by Huskens et al. evidenced, MV-N induced negligible cytotoxicity in MT4 and peripheral mononuclear blood cells (PMBCs) (CC50 > 35 μM and CC50 > 7 μM, respectively) compared to a much higher CC50 value in the case of CV-N (CC50 of 191 nM and 900 nM in MT-4 cells and PBMCs, respectively) [115]. It can be inferred, therefore, that MV-N has a greater potency against HIV-1 and a higher safety profile when compared to CV-N.
Scytovirin (SV-N) is a 9.71 kDa HIV-neutralizing protein initially isolated from the aqueous extracts of the cultured cyanobacterium, Scytonema varium [117]. The compound has a high affinity for mannose-rich oligosaccharides on the gp120 envelope, inducing blockage of the viral entry into the target cell [118,119]. Potent activity has been recorded for SV-N against various HIV-1 clinical isolates and laboratory strains, with EC50 values ranging between 0.4 and 394 nM, and 0.3 and 7 nM, respectively [120]. Recombinant SV-N (rSV-N) also inhibited cytopathicity induced by HIV in side-by-side in vitro XTT-based anti-HIV assays using CEM-SS host cells with an EC50 of 4.5 nM, while native SV-N EC50 values ranged between 0.3 and 7 nM [120,121]. The structures of the most active cyanobacteria-derived peptides are portrayed in Figure 4.
Figure 4.
Chemical structures of MBAPs derived from marine cyanobacteria. (a) microvirin, and (b) scytovirin.
2.4. Marine Seaweed Originated Bioactive Peptides with Anti-HIV Properties
Seaweeds are a sustainable food resource, rich in proteins, carbohydrates, lipids, various pigments, phenolic compounds, minerals, and vitamins [122]. Marine algae have been widely utilized as a food source for centuries, owing to their functional benefits, both as components of mainstream cuisine (seaweeds e.g., kelps, laver/nori), and as hydrocolloidal food thickening additives (carrageenans, alginates, agars) in the food and beverage industries [123]. Algae are chlorophyll-rich organisms, with a worldwide distribution as both unicellular microalgae (microphytes), as well as multicellular macroalgae (seaweeds) bioforms [124]. Their potential as a bioactive source, however, remains largely untapped.
Lectins as a class of glycoproteins, and di- or polyvalent carbohydrate-binding agents (also called hemagglutinins), are significant in the context of mediating host-pathogen interactions, cell–cell communications [110], intracellular signaling cascades, and cellular development [125,126]. Lectins have been proven effective in binding HIV-1 gp120 to the CD4+ host receptors, in addition to being reportedly effective in inhibiting the glycosylation of the HIV-1 protein [127]. Various lectins derived from macroalgae have been reported to have bioactive activities, such as antinociceptive, anti-inflammatory, antibiotic, anti-HIV, and antiplatelet activities [128]. Furthermore, lectins have the potential to inhibit the virion infection of HIV-1 toward the host CD4+ T-lymphocyte cells by interacting with HIV envelope glycoproteins gp120 and gp41 and binding the CD4+, CXCR4, or CCR5 receptors [129,130].
Griffithsin (G-FN), derived from the red algae, Griffithsia sp., has emerged as a significant HIV inhibitor [131] with a nanomolar to subnanomolar efficacy (EC50 = 0.043–0.63 nM) against a wide range of HIV-1 strains for both native and recombinant G-FN [132,133]. Another promising attribute of G-FN is its broad antiviral spectrum, in addition to its low in vivo and in vitro host toxicity [134]. Because G-FN did not induce mitogenic stimulation of PMBCs exposed to it and exhibited a good safety profile in the rabbit vaginal irritation model, the test is generally regarded as the gold standard for preclinical safety tests for vaginal products. Furthermore, a study conducted to investigate if G-FN exposure elicited any molecular responses in cultured human cervicovaginal cells and PMBCs further validated the safe nature of the drug. An MTT assay indicated no loss of cell viability in ectocervical and endocervical cell lines 3 days post-exposure to up to 1 mg/mL (84 µM) of G-FN, a concentration 10-fold higher than a standard microbicide formulation [135]. Another study also indicated that there was no evidence of direct cytotoxicity in the uninfected control cells upon exposure to the highest tested concentrations of G-FN (783 nM) [133].
Consequently, G-FN is promising for its potential as a general microbicidal agent aimed at the prevention of viral transmission [136]. Furthermore, owing to its specificity for high-mannose arrays present on various pathogenic enveloped viruses, G-FN can be utilized as an effective therapeutic agent in the treatment of diseases mediated by a wide variety of enveloped viruses [137]. Also, G-FN has demonstrated synergistic affinity with many of the currently available HIV-1 antiretroviral drugs, including maraviroc, tenofovir, enfuvirtide, and the broadly neutralizing antibody (bNAb) VRC01 [134].
The green algae Oscillatoria agardhii has been a source of Oscillatoria agardhii agglutinin homolog (OAAH) proteins, primarily OA agglutinins (OAAs) and hybrid OAAH proteins (OPAs), which have demonstrated activity against HIV-1NL4.3 in MT-4 cells with IC50 values of 24 ± 5 and 18 ± 2 nM, respectively. Furthermore, the OAAs and OPAs also exhibited inhibitory activity in PBMCs against X4 HIV-1 laboratory strains IIIB and NL4.3 (proviral clone R9) (IC50 values of ~30 and 7.5 nM, respectively), in addition to R5 and X4/R5 viral strains, and various subtype HIV-1 isolates (groups M and O) (IC50 values ranging between 6 and 57 nM for OAAs and OPAs, respectively). Overall, OAAs and OPAs exhibited activity against the HIV-1 laboratory strains irrespective of the coreceptor used (IC50 value ranges 19–60 nM and 8–31 nM, respectively) [138].
Green algae Boodlea coacta (BCA) also contains lectins with a high potential of inhibiting HIV-1 (EC50 of 8.2 nM), with high specificity for α1-2 linked mannose at the non-reducing terminus [139]. Similarly, the lectin ESA-2, a purified agglutinin obtained from red algae, Eucheuma serra, exhibits unique specificity and a preferential affinity for high mannose N-glycans, and demonstrated activity against HIV-1 X4 strains in MT-4 cells with EC50 of 165 nM [140].
2.5. Marine Mussels, Ascidians, and Oyster-Derived Bioactive Peptides against HIV
Human consumption of mussels has witnessed an increasing trend in recent times owing to their health-promoting biological attributes [141]. The cyclic and linear peptides derived from marine ascidians have been found with anti-HIV potential with many other biological properties. A cyclic heptapeptide, mollamide B (Figure 5), isolated from the colonial tunicate Didemnum molle indicated cytotoxicity against HIV-1 in human PBMCs at an EC50 value of 48.7 μM [142].
Figure 5.
Chemical structure of mollamide B derived from ascidians.
Two peptides, P1 and P2 [sequences LLEYSI (P1), and LLEYSL (P2)] have been isolated from the oyster (Crassostrea gigas) proteins hydrolysate prepared with thermolysin and have exhibited competitive HIV-1 protease inhibition activity (IC50 values of 20 and 15 nM, respectively, and Ki values of 13 and 10 nM, respectively) [143,144,145]. Clavanin B (peptide sequence: VFQFLGRIIHHVGNFVHGFSHVF), an alpha-helical peptide isolated from the tunicate Styela clava also exhibited anti-HIV activity with an EC50 value of 7.1 μM, TC50 value of 37.1 μM, and TI of >5.18 [146,147].
2.6. Anti-HIV Bioactive Peptides Isolated from Marine Bacteria and Fungi
The symbiont microorganisms associated with various marine organisms have been cited as synthesizers of various bioactive molecules, and therefore, sources of these highly significant moieties [55]. Of particular significance among these microorganisms are bacteria (representing as many as 47 phyla) from the bodies of marine sponges, as close to one-third of these have been proven to be the producers of bioactive peptides [148]. However, bacteria isolated from other marine organisms such as algae, plants, cnidarians, and mollusks have also proven to be valuable prospects for the isolation of bioactive compounds [149]. The anti-HIV therapeutic isolates from bacteria include compounds from classes such as polyketides, terpenes, peptides, and some lactones, including macrolactins A-F, exhibiting high anti-HIV potential [150]. For instance, three hexapeptides, isocomplestatin, chloropeptin II (complestatin), and chloropeptin I, have been isolated from Streptomyces sp., and are notable for their anti-HIV potential. In this regard, isocomplestatin exhibited inhibitory action in coupled 3′-end processing/strand transfer (IC50: 200 nM), strand transfer (IC50: 4 µM), and HIV-1 replication (IC50: 200 nM) in virus-infected cells. Similarly, isocomplestatin also exhibited inhibitory activity against the strand transfer of recombinant integrase in staged assays and integration (using isolated HIV-1 preintegration complexes) with IC50 values of 3–4 µM, in addition to HIV-1 replication in cell culture (IC50 of 0.2 µM). Both chloropeptin I and complestatin (or chloropeptin II) are inhibitors of gp120-CD4 binding (IC50: 2–1.3 µM). With regard to HIV-1 integrase activity, complestatin A, chloropeptin, and complestatin B, although less active than isocomplestatin, demonstrated their anti-HIV potential in the coupled and strand transfer assays with IC50 values of 0.4–1.7 and 5–12.5 µM (with reference to the assays), respectively [151,152].
Aspergillus niger SCSIO Jcsw6F30, commonly associated with the marine brown macroalgae Sargassum sp., has been the source of malformin C, a cyclic pentapeptide, and aspernigrin C, which have exhibited anti-HIV potential with IC50 values of 1.4 (SI: 11.4), and 4.7 µM (SI: 7.5), respectively, against infection by CCR5-tropic HIV-1 SF162 in TZM-bl cells [153]. Eutypellazine E and Eutypellazine J, isolated from the deep-sea sediment fungus Eutypella sp. MCCC 3A00281, are also notable for their inhibitory effects against HIV-1 replication (IC50 values of 3.2 and 4.9 µM) in pNL4.3.Env-.Luc co-transfected 293T cells [153]. Eutypellazine J also demonstrated inhibitory action against HIV-1 latency-reactivating agents with an IC50 value of 80 µM, and low cytotoxicity at CC50 > 100 μM in J-Lat A2 cells [153,154]. These compounds, therefore, can be utilized as base materials for the treatment of HIV. The structures of bacteria and fungi-derived peptides are portrayed in Figure 6.


Figure 6.
Chemical structures of MBAPs derived from marine bacteria and fungi. (a) chloropeptin I, (b) chloropeptin II, (c) malformin C, (d) aspernigrin C, (e) eutypellazine E, and (f) eutypellazine J.
3. Processing Techniques for Marine Bioactive Peptides
MBAPs vary based on the species they are being isolated from, in addition to the amino acid composition, amino acid sequencing, structure, and conformations; therefore, they can be prepared by utilizing various techniques [55]. Salient requisite characteristics for such a processing technique include industrial scalability, lower operational costs, biocompatibility, and reproducibility [64]. Enzymatic hydrolysis, induced by digestive enzymes, remains one of the primary methods for producing various marine BAPs embedded and encrypted in the structures of mature parental proteins [14]. Similarly, microbial fermentation is another methodology that employs bacterial hydrolases for breaking down proteins into smaller peptide molecules [55].
Different techniques have been formulated to extract and purify the bioactive peptides from various sources. Organic synthesis is one of the many techniques being progressively applied to marine products, which employs solvents and mass spectrometry to recognize the coarse product. However, this technique is more time-consuming, less environmentally friendly, costly, and requires a clear sequence of peptides [155]. Peptides are also extracted through a microwave extraction technique that utilizes electromagnetic radiations of 300 MHz to 200 GHz to heat solvent and isolate the component of interest [156]. It has been applied to oysters, fish tissues, and shrimps for the extraction of bioactive peptides [157,158]. The technique utilizes less solvent, has lower energy needs, has better yield, is more environment-friendly, and is cost-effective as compared to traditional extraction techniques. However, a high-temperature application may degrade the bioactive compounds [14,159].
Chemical synthesis of MBAPs involves their production from amino acid units in a pre-defined environment (e.g., a solid medium), primarily by way of two major pathways, soluble-phase, and solid-phase syntheses, and sometimes, a third pathway, known as the hybrid synthesis, which is usually employed to produce pharmaceutical peptides of critical significance [160]. The major advantage associated with these methodologies is their cost-effective nature [55]. However, they do present some limitations in the form of undesirable synthesis of intermediates, long processing time, the insolubility of long peptide chains in organic solvents, generation of chemical waste, difficulty to control the process, generation of altered amino acids, and variability in structural and functional properties [161,162].
Acid hydrolysis has found its applications in extraction from fish scales, mackerel, salmon, and catfish [14]. Moreover, enzymatic hydrolysis has also been successfully applied to extract bioactive peptides from certain seaweeds [60]. Better control, reproducibility, and maintenance of nutritional content are some of the core benefits associated with this technique. Bioactive peptides extracted from different marine sources, mainly seaweeds BAPs (red, brown, and green algae), are further purified through membrane filtration, high-performance liquid chromatography, ion-exchange chromatography, and gel filtration chromatography [24].
Recent extraction approaches for marine seaweed and marine mussels include microwave-assisted extraction, supercritical fluid extraction, pressurized solvent extraction, ultrasound-assisted extraction, pulsed electric field extraction, and various enzyme-assisted extraction techniques [14,60]. Extraction is followed by hydrolysis to facilitate the release of the peptide fragment [163]. The extraction and purification techniques commonly employed in this regard are outlined in Table 1. Rawendra [163] isolated the peptides (lysozyme-derived peptide, IW-11) from soft-shelled turtle (Pelodiscus sinensis) egg white using ultrafiltration and reversed-phase high-performance liquid chromatography (HPLC). Moreover, proteolysis in combination with fermentation and enzymatic hydrolysis also extracts short-chain peptides [49].
Recombinant production is another recent development that involves the production of BAPs, whereby the peptide genes are permitted to be expressed in a specific expression system, either in vivo or in vitro (also called the cell-free system) [14,55]. Major advantages of this method include the high operation speed, and that it allows for the mass production of the desired peptides. However, high operation costs remain a veritable constraint, preventing mass industrial application and utilization [160,161].
4. Conclusions, Limitations, and Future Perspectives
The discovery of the MBAPs with anti-HIV properties has opened a new horizon for the drug and pharmaceutical industry, and therefore, MBAPs have extensively been the subject of the latest research. The limitation of using MBAPs as drugs can be attributed to limited research on drug delivery action, and the lack of available harmonized research data related to the extraction of MBAPs and their derivatives.
To use these MBAPs as a therapeutic agent against HIV, the chemical structure, amino acid profile, exact length of peptides, ratio of peptides that can easily pass through the human gastrointestinal tract, and pathway for release at the target site must be known. However, the data is not sufficient in this regard, with only a few clinical and non-clinical trials being reported thus far. Nonetheless, to use these MBAPs on a commercial scale as an anti-HIV drug, more research and clinical studies are required to produce readily available, easy-to-use, and clinically safe products. For using the BAPs from marine sources, it is essential to consider that they may undergo chemical modifications, ultimately losing their activity during processing. Past studies have reported that the harsh environmental conditions during processing cause various modifications in the chemical structures of the MBAPs [164]. Encapsulation and nanoencapsulation can be highly viable and promising techniques for producing MBAP-based drugs, and for overcoming processing-associated problems (pH, temperature, overheating, and exposure to oxygen), thereby ensuring their greater bioavailability and bioaccessibility, in addition to improved efficacy [165].
To strengthen their industrial application, the consumption pattern of MBAPs, the mode of action on the cell cycle, and apoptosis must be profoundly researched. Conversely, in the future, omic technologies (genomics, proteomics, and metabolomics) can be used to discover more novel varieties of BAPs with the potential to be used as anti-HIV drugs, both in blended form and individually. An increasing number of in vitro studies have reported various purification techniques (membrane filtration, gel filtration chromatography, HPLC, and ion exchange technique) for MBAPs (consisting mostly of between 3–30 amino acid units). Despite significant improvements, the low yield and high installation costs associated with the utilization of these techniques remain a major impediment in the context of their application on an industrial and commercial scale. This study can also be expanded in the future by exploring new, cost-efficient, high-yield-producing purification techniques for their use in omics studies. The discovery of MBAPs effective for the treatment of HIV has opened many research domains for future studies.
Author Contributions
W.A., S.K., A.A. and H.A. wrote the initial review draft and search the relevant literature on marine biopeptides. A.A.-S.R. and W.F.S. drafted the Table and provide critical feedback on initial review contents. F.M.A. and M.Q.A.-M. drafted the initial pictorial presentation and wrote processing techniques used in production of marine bioactive peptides and N.K. and J.M.A.-K. conceptualized the title and finalized the review and submitted the final draft, while J.M.A.-K. secured financial grant from King Faisal University, Saudi Arabia. All authors have read and agreed to the published version of the manuscript.
Funding
This work was supported by the Deanship of Scientific Research, Vice Presidency for Graduate Studies and Scientific Research, King Faisal University, Saudi Arabia [Project No. AN000571].
Institutional Review Board Statement
Not applicable.
Informed Consent Statement
Not applicable.
Data Availability Statement
Not applicable.
Acknowledgments
This work was supported by the Scientific Research, Graduate Studies and Scientific Research, King Faisal University, Saudi Arabia.
Conflicts of Interest
The authors declare no conflict of interest.
References
- Noce, A.; Di Lauro, M.; Di Daniele, F.; Pietroboni, Z.A.; Marrone, G.; Borboni, P.; Di Daniele, N. Natural bioactive compounds useful in clinical management of metabolic syndrome. Nutrients 2021, 13, 630. [Google Scholar] [CrossRef] [PubMed]
- Lorenzo, J.M.; Munekata, P.E.; Gomez, B.; Barba, F.J.; Mora, L.; Perez-Santaescolastica, C.; Toldra, F. Bioactive peptides as natural antioxidants in food products—A review. Trends Food Sci. Technol. 2018, 79, 136–147. [Google Scholar] [CrossRef]
- HIV/AIDS, Global HIV & Camp; AIDS Statistics—2018 Fact Sheet, UNAIDS. Available online: http://www.unaids.org/en/resources/fact-sheet (accessed on 8 August 2018).
- Ariën, K.K.; Jespers, V.; Vanham, G. HIV sexual transmission and microbicides. Rev. Med. Virol. 2011, 21, 110–133. [Google Scholar] [CrossRef]
- Maartens, G.; Celum, C.; Lewin, S.R. HIV infection: Epidemiology, pathogenesis, treatment and prevention. Lancet 2014, 384, 258–271. [Google Scholar] [CrossRef]
- Prévost, J.; Tolbert, W.D.; Medjahed, H.; Sherburn, R.T.; Madani, N.; Zoubchenok, D.; Gendron-Lepage, G.; Gaffney, A.E.; Grenier, M.C.; Kirk, S.; et al. The HIV-1 Env gp120 inner domain shapes the Phe43 cavity and the CD4 binding site. MBio 2020, 11, e00280-20. [Google Scholar] [CrossRef] [PubMed]
- Narumi, T.; Arai, H.; Yoshimura, K.; Harada, S.; Nomura, W.; Matsushita, S.; Tamamura, H. Small molecular CD4 mimics as HIV entry inhibitors. Bioorg. Med. Chem. 2011, 19, 6735–6742. [Google Scholar] [CrossRef] [PubMed]
- Hamid, F.B.; Kim, J.; Shin, C.G. Distribution and fate of HIV-1 unintegrated DNA species: A comprehensive update. AIDS Res. Ther. 2017, 14, 9. [Google Scholar] [CrossRef] [PubMed]
- Elliott, J.L.; Kutluay, S.B. Going beyond integration: The emerging role of HIV-1 Integrase in virion morphogenesis. Viruses 2020, 12, 1005. [Google Scholar] [CrossRef]
- Laskey, S.B.; Siliciano, R.F. A mechanistic theory to explain the efficacy of antiretroviral therapy. Nat. Rev. Microbiol. 2014, 12, 772–780. [Google Scholar] [CrossRef]
- Mirani, A.G.; Shah, T.K.; Patravale, V.B. Marine source-derived anti-HIV therapeutics. In Encyclopedia of Marine Biotechnology, 1st ed.; Se-Kwon, K., Ed.; Wiley: Hoboken, NJ, USA, 2020; pp. 2725–2753. [Google Scholar]
- Jo, C.; Khan, F.F.; Khan, M.I.; Iqbal, J. Marine bioactive peptides: Types, structures and physiological functions. Food Rev. Int. 2017, 33, 44–61. [Google Scholar] [CrossRef]
- Anjum, K.; Abbas, S.Q.; Akhter, N.; Shagufta, B.I.; Shah, S.A.A.; Hassan, S.S.U. Emerging biopharmaceuticals from bioactive peptides derived from marine organisms. Chem. Biol. Drug Des. 2017, 90, 12–30. [Google Scholar] [CrossRef]
- Wang, X.; Yu, H.; Xing, R.; Li, P. Characterization, preparation and purification of marine bioactive peptides. Biomed Res. Int. 2017, 2017, 9746720. [Google Scholar] [CrossRef] [PubMed]
- Venkatesan, J.; Anil, S.; Kim, S.K.; Shim, M.S. Marine fish proteins and peptides for cosmeceuticals: A review. Mar. Drugs 2017, 15, 143. [Google Scholar] [CrossRef] [PubMed]
- Hori, K.; Sato, Y.; Ito, K.; Fujiwara, Y.; Iwamoto, Y.; Makino, H.; Kawakubo, A. Strict specificity for high-mannose type N-glycans and primary structure of a red alga Eucheuma serra lectin. Glycobiology 2007, 17, 479–491. [Google Scholar] [CrossRef] [PubMed]
- Sato, Y.; Hirayama, M.; Morimoto, K.; Yamamoto, N.; Okuyama, S.; Hori, K. High mannose binding lectin with preference for the cluster of α1–2-mannose from the green alga Boodlea coacta is a potent entry inhibitor of HIV-1 and influenza viruses. J. Biol. Chem. 2011, 286, 19446–19458. [Google Scholar] [CrossRef] [PubMed]
- Corzo, L.; Fernández Novoa, L.; Carrera, I.; Martínez, O.; Rodríguez, S.; Alejo, R.; Cacabelos, R. Nutrition, health and disease: Role of selected marine and vegetal nutraceuticals. Nutrients 2020, 12, 747. [Google Scholar] [CrossRef]
- Ande, M.P.; Syamala, K.; Rao, P.; Mohan, K.; Lingam, S.S. Marine nutraceuticals. Aquac. Times 2017, 3, 6–9. [Google Scholar]
- Anas, K.; Mathew, S. Marine Nutraceuticals; ICAR-Central Institute of Fisheries Technology: Kerala, India, 2018. [Google Scholar]
- Ovchinnikova, T.V. Structure, function and therapeutic potential of marine bioactive peptides. Mar. Drugs 2019, 17, 505. [Google Scholar] [CrossRef]
- Karami, Z.; Akbari-Adergani, B. Bioactive food derived peptides: A review on correlation between structure of bioactive peptides and their functional properties. J. Food Sci. Technol. 2019, 56, 535–547. [Google Scholar] [CrossRef]
- Pihlanto-Leppälä, A. Bioactive peptides derived from bovine whey proteins: Opioid and ace-inhibitory peptides. Trends Food Sci. Technol. 2000, 11, 347–356. [Google Scholar] [CrossRef]
- Cermeño, M.; Kleekayai, T.; Amigo Benavent, M.; Harnedy Rothwell, P.; Fitz Gerald, R.J. Current knowledge on the extraction, purification, identification and validation of bioactive peptides from seaweed. Electrophoresis 2020, 41, 1694–1717. [Google Scholar] [CrossRef] [PubMed]
- Ma, X.; Nong, X.H.; Ren, Z.; Wang, J.; Liang, X.; Wang, L.; Qi, S.H. Antiviral peptides from marine gorgonian-derived fungus Aspergillus sp. Tetrahedron Lett. 2017, 58, 1151–1155. [Google Scholar] [CrossRef]
- Mayer, A.; Rodríguez, A.D.; Taglialatela-Scafati, O.; Fusetani, N. Marine pharmacology in 2012–2013: Marine compounds with antibacterial, antidiabetic, antifungal, anti-inflammatory, antiprotozoal, antituberculosis, and antiviral activities; affecting the immune and nervous systems, and other miscellaneous mechanisms of action. Mar. Drugs 2017, 15, 273. [Google Scholar]
- Gogineni, V.; Hamann, M.T. Marine natural product peptides with therapeutic potential: Chemistry, biosynthesis, and pharmacology. Biochim. Biophys. Acta Gen. Subj. 2018, 1862, 81–196. [Google Scholar] [CrossRef] [PubMed]
- Ouyang, Q.Q.; Hu, Z.; Lin, Z.P.; Quan, W.Y.; Deng, Y.F.; Li, S.D.; Li, P.W.; Chen, Y. Chitosan hydrogel in combination with marine peptides from tilapia for burns healing. Int. J. Biol. Macromol. 2018, 112, 1191–1198. [Google Scholar] [CrossRef]
- Wang, Z.; Wang, X.; Wang, J. Recent advances in antibacterial and antiendotoxic peptides or proteins from marine resources. Mar. Drugs 2018, 16, 57. [Google Scholar] [CrossRef]
- Lee, Y.; Phat, C.; Hong, S.C. Structural diversity of marine cyclic peptides and their molecular mechanisms for anticancer, antibacterial, antifungal, and other clinical applications. Peptides 2017, 95, 94–105. [Google Scholar] [CrossRef]
- Shannon, E.; Abu-Ghannam, N. Antibacterial derivatives of marine algae: An overview of pharmacological mechanisms and applications. Mar. Drugs 2016, 14, 81. [Google Scholar] [CrossRef]
- Ruiz-Ruiz, F.; Mancera-Andrade, E.I.; Iqbal, M.N.H. Marine derived bioactive peptides for biomedical sectors: A review. Protein Pept. Lett. 2017, 24, 109–117. [Google Scholar] [CrossRef]
- Mayer, A.; Guerrero, A.J.; Rodríguez, A.D.; Taglialatela Scafati, O.; Nakamura, F.; Fusetani, N. Marine pharmacology in 2014–2015: Marine compounds with antibacterial, antidiabetic, antifungal, anti-inflammatory, antiprotozoal, antituberculosis, antiviral and anthelmintic activities; affecting the immune and nervous systems, and other miscellaneous mechanisms of action. Mar. Drugs 2020, 18, 5. [Google Scholar]
- El-Hossary, E.M.; Cheng, C.; Hamed, M.M.; Hamed, A.N.E.S.; Ohlsen, K.; Hentschel, U.; Abdelmohsen, U.R. Antifungal potential of marine natural products. Eur. J. Med. Chem. 2017, 126, 631–651. [Google Scholar] [CrossRef] [PubMed]
- Zhang, H.; Zhao, Z.; Wang, H. Cytotoxic natural products from marine sponge derived microorganisms. Mar. Drugs 2017, 15, 68. [Google Scholar] [CrossRef] [PubMed]
- Lin, J.; Yu, J.; Zhao, J.; Zhang, K.; Zheng, J.; Wang, J.; Huang, C.; Zhang, J.; Yan, X.; Gerwick, W.H. Fucoxanthin, a marine carotenoid, attenuates β-amyloid oligomer induced neurotoxicity possibly via regulating the PI3K/Akt and the ERK pathways in SH-SY5Y cells. Oxid. Med. Cell. Longev. 2017, 2017, 6792543. [Google Scholar] [CrossRef] [PubMed]
- Rajapakse, N.; Jung, W.K.; Mendis, E.; Moon, S.H.; Kim, S.K. A novel anticoagulant purified from fish protein hydrolysate inhibits factor XIIa and platelet aggregation. Life Sci. 2005, 76, 2607–2619. [Google Scholar] [CrossRef] [PubMed]
- Jo, H.Y.; Jung, W.K.; Kim, S.K. Purification and characterization of a novel anticoagulant peptide from marine echiuroid worm, Urechis unicinctus. Process Biochem. 2008, 43, 179–184. [Google Scholar] [CrossRef]
- Wu, R.; Wu, C.; Liu, D.; Yang, X.; Huang, J.; Zhang, J.; Liao, B.; He, H. Antioxidant and anti-freezing peptides from salmon collagen hydrolysate prepared by bacterial extracellular protease. Food Chem. 2018, 248, 346–352. [Google Scholar] [CrossRef] [PubMed]
- Kim, H.J.; Lee, J.H.; Hur, Y.B.; Lee, C.W.; Park, S.H.; Koo, B.W. Marine antifreeze proteins: Structure, function, and application to cryopreservation as a potential cryoprotectant. Mar. Drugs 2017, 15, 27. [Google Scholar] [CrossRef]
- Mendis, E.; Rajapakse, N.; Kim, S.K. Mendis, E.; Rajapakse, N.; Kim, S.K. Antioxidant properties of a radical-scavenging peptide purified from enzymatically prepared fish skin gelatin hydrolysate. J. Agric. Food Chem. 2005, 53, 581–587. [Google Scholar] [CrossRef]
- Kim, S.Y.; Je, J.Y.; Kim, S.K. Purification and characterization of antioxidant peptide from hoki (Johnius belengerii) frame protein by gastrointestinal digestion. J. Nutr. Biochem. 2007, 18, 31–38. [Google Scholar] [CrossRef]
- Barkia, I.; Al-Haj, L.; Abdul Hamid, A.; Zakaria, M.; Saari, N.; Zadjali, F. Indigenous marine diatoms as novel sources of bioactive peptides with antihypertensive and antioxidant properties. Int. J. Food Sci. Technol. 2019, 54, 1514–1522. [Google Scholar] [CrossRef]
- Kang, N.; Ko, S.C.; Kim, H.S.; Yang, H.W.; Ahn, G.; Lee, S.C.; Lee, T.G.; Lee, J.S.; Jeon, Y.J. Structural evidence for antihypertensive effect of an antioxidant peptide purified from the edible marine animal Styela clava. J. Med. Food 2020, 23, 132–138. [Google Scholar] [CrossRef] [PubMed]
- Olatunde, O.O.; Benjakul, S. Antioxidants from crustaceans: A panacea for lipid oxidation in marine-based foods. Food Rev. Int. 2022, 38, 1–31. [Google Scholar] [CrossRef]
- Florean, C.; Dicato, M.; Diederich, M. Immune modulating and anti-inflammatory marine compounds against cancer. Semin. Cancer Biol. 2020, 80, 58–72. [Google Scholar] [CrossRef] [PubMed]
- Suleria, H.A.R.; Gobe, G.; Masci, P.; Osborne, S.A. Marine bioactive compounds and health promoting perspectives; innovation pathways for drug discovery. Trends Food Sci. Technol. 2016, 50, 44–55. [Google Scholar] [CrossRef]
- Byun, H.G.; Kim, S.K. Purification and characterization of angiotensin I converting enzyme (ACE) inhibitory peptides from Alaska pollack (Theragra chalcogramma) skin. Process Biochem. 2001, 36, 1155–1162. [Google Scholar] [CrossRef]
- Je, J.Y.; Park, P.J.; Byun, H.G.; Jung, W.K.; Kim, S.K. Angiotensin I converting enzyme (ACE) inhibitory peptide derived from the sauce of fermented blue mussel, Mytilus edulis. Bioresour. Technol. 2005, 96, 1624–1629. [Google Scholar] [CrossRef] [PubMed]
- Pujiastuti, D.Y.; Ghoyatul Amin, M.N.; Alamsjah, M.A.; Hsu, J.L. Marine organisms as potential sources of bioactive peptides that inhibit the activity of angiotensin I-converting enzyme: A review. Molecules 2019, 24, 2541. [Google Scholar] [CrossRef] [PubMed]
- Lee, S.Y.; Hur, S.J. Antihypertensive peptides from animal products, marine organisms and plants. Food Chem. 2017, 228, 506–517. [Google Scholar] [CrossRef]
- Se-Kwon, K.; Niranjan, R.; Fereidoon, S. Production of bioactive chitosan oligosaccharides and their potential use as nutraceuticals. In Marine Nutraceuticals and Functional Foods; Colin, B., Fereidoon, S., Eds.; CRC Press: Boca Raton, FL, USA, 2007; pp. 183–195. [Google Scholar]
- Elias, R.J.; Kellerby, S.S.; Decker, E.A. Antioxidant activity of proteins and peptides. Crit. Rev. Food Sci. Nutr. 2008, 48, 430–441. [Google Scholar] [CrossRef]
- Clare, D.; Swaisgood, H. Bioactive milk peptides: A prospectus. J. Dairy Sci. 2000, 83, 1187–1195. [Google Scholar] [CrossRef]
- Macedo, M.W.F.S.; Cunha, N.B.; Carneiro, J.A.; Costa, R.A.; Alencar, S.A.; Cardoso, M.H.; Franco, O.L.; Dias, S.C. Marine organisms as a rich source of biologically active peptides. Front. Mar. Sci 2021, 8, 889. [Google Scholar] [CrossRef]
- Chai, Q.Y.; Yang, Z.; Lin, H.W.; Han, B.N. Alkynyl containing peptides of marine origin: A review. Mar. Drugs 2016, 14, 216. [Google Scholar] [CrossRef] [PubMed]
- Ghosh, K.C.; Duttagupta, I.; Bose, C.; Banerjee, P.; Gayen, A.K.; Sinha, S. Synthesis and anticancer activities of proline containing cyclic peptides and their linear analogs and congeners. Synth. Commun. 2019, 49, 221–236. [Google Scholar] [CrossRef]
- Ngo, D.H.; Vo, T.S.; Ngo, D.N.; Wijesekara, I.; Kim, S.K. Biological activities and potential health benefits of bioactive peptides derived from marine organisms. Int. J. Biol. Macromol. 2012, 51, 378–383. [Google Scholar] [CrossRef] [PubMed]
- Hancock, R.E.; Brown, K.L.; Mookherjee, N. Host defence peptides from invertebrates emerging antimicrobial strategies. Immunobiology 2006, 211, 315–322. [Google Scholar] [CrossRef]
- Admassu, H.; Gasmalla, M.A.A.; Yang, R.; Zhao, W. Bioactive peptides derived from seaweed protein and their health benefits: Antihypertensive, antioxidant, and antidiabetic properties. J. Food Sci. 2018, 83, 6–16. [Google Scholar] [CrossRef] [PubMed]
- Bleakley, S.; Hayes, M. Algal proteins: Extraction, application and challenges concerning production. Foods 2017, 6, 33. [Google Scholar] [CrossRef] [PubMed]
- Nirmal, N.; Santivarangkna, C.; Rajput, M.; Benjakul, S.; Maqsood, S. Valorization of fish byproducts: Sources to end product applications of bioactive protein hydrolysate. Compr. Rev. Food Sci. Food Saf. 2022, 21, 1803–1842. [Google Scholar] [CrossRef]
- Nag, M.; Lahiri, D.; Dey, A.; Sarkar, T.; Pati, S.; Joshi, S.; Bunawan, H.; Mohammad, A.; Edinur, H.A.; Ghosh, S.; et al. Seafood discards: A potent source of enzymes and biomacromolecules with nutritional and nutraceutical significance. Front Nutr. 2022, 9, 879929. [Google Scholar] [CrossRef]
- Akbarian, M.; Khani, A.; Eghbalpour, S.; Uversky, V.N. Bioactive peptides: Synthesis, sources, applications, and proposed mechanisms of action. Int. J. Mol. Sci. 2022, 23, 1445. [Google Scholar] [CrossRef]
- Cheung, R.C.F.; Ng, T.B.; Wong, J.H. Marine peptides: Bioactivities and applications. Mar. Drugs 2015, 13, 4006–4043. [Google Scholar] [CrossRef]
- Arumugam, V.; Venkatesan, M.; Ramachandran, S.; Sundaresan, U. Bioactive peptides from marine ascidians and future drug development–A review. Int. J. Pept. Res. Ther. 2018, 24, 13–18. [Google Scholar] [CrossRef]
- Muthu, M.; Gopal, J.; Chun, S.; Devadoss, A.J.P.; Hasan, N.; Sivanesan, I. Crustacean waste-derived chitosan: Antioxidant properties and future perspective. Antioxidants 2021, 10, 228. [Google Scholar] [CrossRef]
- Chakrabarti, S.; Guha, S.; Majumder, K. Food derived bioactive peptides in human health: Challenges and opportunities. Nutrients 2018, 10, 1738. [Google Scholar] [CrossRef]
- Martínez-Núñez, M.A.; López, V.E.L. Nonribosomal peptides synthetases and their applications in industry. Sustain. Chem. Process. 2016, 4, 13. [Google Scholar] [CrossRef]
- Le Gouic, A.; Harnedy, P.; Fitz Gerald, R. Bioactive peptides from fish protein byproducts. In Bioactive Molecules in Food, 1st ed.; Jean-Michel, M., Ramawat, K.G., Eds.; Springer: New York, NY, USA, 2018; pp. 1–35. [Google Scholar]
- Atef, M.; Chait, Y.A.; Ojagh, S.M.; Latifi, A.M.; Esmaeili, M.; Hammami, R.; Udenigwe, C.C. Anti-Salmonella activity and peptidomics profiling of peptide fractions produced from sturgeon fish skin collagen (Huso huso) using commercial enzymes. Nutrients 2021, 13, 2657. [Google Scholar] [CrossRef]
- Kaufmann, B.; Christen, P. Recent extraction techniques for natural products: Microwave-assisted extraction and pressurised solvent extraction. Phytochem Anal. 2002, 13, 105–113. [Google Scholar] [CrossRef]
- Grosso, C.; Valentão, P.; Ferreres, F.; Andrade, P.B. Alternative and efficient extraction methods for marine-derived compounds. Mar. Drugs 2015, 13, 3182–3230. [Google Scholar] [CrossRef] [PubMed]
- Ersson, B.; Rydén, L.; Janson, J.C. Protein Purification: Principles, High Resolution Methods, and Applications, 3rd ed.; John Wiley & Sons Inc.: Hoboken, NJ, USA, 2011; pp. 1–22. [Google Scholar]
- Lee, J.W.; Jeffries, T.W. Efficiencies of acid catalysts in the hydrolysis of lignocellulosic biomass over a range of combined severity factors. Bioresour. Technol. 2011, 102, 5884–5890. [Google Scholar] [CrossRef]
- Chen, J.P.; Mou, H.; Wang, L.K.; Matsuura, T. Membrane Filtration in Advanced Physicochemical Treatment Processes; Humana Press: Totowa, NJ, USA, 2006; pp. 203–259. [Google Scholar]
- Bai, C.; Wei, Q.; Ren, X. Selective extraction of collagen peptides with high purity from cod skins by deep eutectic solvents. ACS Sustain. Chem. Eng. 2017, 5, 7220–7227. [Google Scholar] [CrossRef]
- Anbuchezian, R.; Ravichandran, S.; Karthick Rajan, D.; Tilivi, S.; Prabha-Devi, S. Identification and functional characterization of antimicrobial peptide from the marine crab Dromia dehaani. Microb. Pathog. 2018, 125, 60–65. [Google Scholar] [CrossRef]
- Anand, M.; Alagar, M.; Ranjitha, J.; Selvaraj, V. Total synthesis and anticancer activity of a cyclic heptapeptide from marine sponge using water soluble peptide coupling agent EDC. Arab. J. Chem. 2019, 12, 2782–2787. [Google Scholar] [CrossRef]
- Auwal, S.M.; Zainal Abidin, N.; Zarei, M.; Tan, C.P.; Saari, N. Identification, structure activity relationship and in silico molecular docking analyses of five novel angiotensin I-converting enzyme (ACE)-inhibitory peptides from stone fish (Actinopyga lecanora) hydrolysates. PLoS ONE 2019, 14, e0197644. [Google Scholar] [CrossRef]
- Fan, X.; Cui, Y.; Zhang, R.; Zhang, X. Purification and identification of anti-obesity peptides derived from Spirulina platensis. J. Funct. Foods. 2018, 47, 350–360. [Google Scholar] [CrossRef]
- Harnedy, P.A.; O’Keeffe, M.B.; FitzGerald, R.J. Fractionation and identification of antioxidant peptides from an enzymatically hydrolysed Palmaria palmata protein isolate. Int. Food Res. 2017, 100, 416–422. [Google Scholar] [CrossRef]
- Xia, E.; Zhai, L.; Huang, Z.; Liang, H.; Yang, H.; Song, G.; Li, W.; Tang, H. Optimization and identification of antioxidant peptide from underutilized Dunaliella salina protein: Extraction, in vitro gastrointestinal digestion, and fractionation. Biomed Res. Int. 2019, 2019, 6424651. [Google Scholar] [CrossRef]
- Xu, B.; Ye, L.; Tang, Y.; Zheng, J.; Tian, X.; Yang, Y.; Yang, Z. Preparation and purification of an immunoregulatory peptide from Stolephorus chinensis of the East Sea of China. Process Biochem. 2020, 98, 151–159. [Google Scholar] [CrossRef]
- Sridhar, K.; Inbaraj, B.S.; Chen, B.H. Recent developments on production, purification and biological activity of marine peptides. Int. Food Res. 2021, 147, 110468. [Google Scholar] [CrossRef] [PubMed]
- Anjum, K.; Abbas, S.Q.; Shah, S.A.A.; Akhter, N.; Batool, S.; Hassan, S.S. Marine sponges as a drug treasure. Biomol. Ther. 2016, 24, 347–362. [Google Scholar] [CrossRef]
- Vitali, A. Antimicrobial peptides derived from marine sponges. Am. J. Clin. Microbiol. Antimicrob. 2018, 1, 1006. [Google Scholar]
- Wu, Q.; Nay, B.; Yang, M.; Ni, Y.; Wang, H.; Yao, L.; Li, X. Marine sponges of the genus Stelletta as promising drug sources: Chemical and biological aspects. Acta Pharm. Sin. B. 2019, 9, 237–257. [Google Scholar] [CrossRef]
- Kang, H.K.; Seo, C.H.; Park, Y. Marine peptides and their anti-infective activities. Mar. Drugs 2015, 13, 618–654. [Google Scholar] [CrossRef] [PubMed]
- Plaza, A.; Bifulco, G.; Masullo, M.; Lloyd, J.R.; Keffer, J.L.; Colin, P.L.; Hooper, J.N.; Bell, L.J.; Bewley, C.A. Mutremdamide A and koshikamides C-H, peptide inhibitors of HIV-1 entry from different Theonella species. J. Org. Chem. 2010, 75, 4344–4355. [Google Scholar] [CrossRef] [PubMed]
- Agrawal, S.; Adholeya, A.; Deshmukh, S.K. The pharmacological potential of non-ribosomal peptides from marine sponge and tunicates. Front. Pharmacol. 2016, 7, 333. [Google Scholar] [CrossRef]
- Kang, H.; Choi, M.; Seo, C.; Park, Y. Therapeutic properties and biological benefits of marine-derived anticancer peptides. Int. J. Mol. Sci. 2018, 19, 919. [Google Scholar] [CrossRef] [PubMed]
- Oku, N.; Gustafson, K.R.; Cartner, L.K.; Wilson, J.A.; Shigematsu, N.; Hess, S.; Pannell, L.K.; Boyd, M.R.; McMahon, J.B. Neamphamide A, a new HIV-inhibitory depsipeptide from the Papua New Guinea marine sponge Neamphius huxleyi. J. Nat. Prod. 2004, 67, 1407–1411. [Google Scholar] [CrossRef] [PubMed]
- Andavan, G.S.; Lemmens-Gruber, R. Cyclodepsipeptides from marine sponges: Natural agents for drug research. Mar. Drugs 2010, 8, 810–834. [Google Scholar] [CrossRef]
- Vo, T.; Kim, S. Potential anti-HIV agents from marine resources: An overview. Mar. Drugs 2010, 8, 2871–2892. [Google Scholar] [CrossRef]
- Zampella, A.; Sepe, V.; Bellotta, F.; Luciano, P.; D’Auria, M.; Cresteil, T. Homophymines B–E and A1–E1, a family of bioactive cyclodepsipeptides from the sponge Homophymia sp. Org. Biomol. Chem. 2009, 7, 4037–4044. [Google Scholar] [CrossRef]
- Flores-Holguín, N.; Frau, J.; Glossman-Mitnik, D. Computational pharmacokinetics Report, ADMET study and conceptual DFT-based estimation of the chemical reactivity properties of marine cyclopeptides. Chem. Open 2021, 10, 1142–1149. [Google Scholar] [CrossRef]
- Giordano, D.; Costantini, M.; Coppola, D.; Lauritano, C.; Núñez Pons, L.; Ruocco, N. Biotechnological applications of bioactive peptides from marine sources. Adv. Microb. Physiol. 2018, 73, 171–220. [Google Scholar] [PubMed]
- Sukmarini, L. Antiviral peptides (AVPs) of marine origin as propitious therapeutic drug candidates for the treatment of human viruses. Molecules 2022, 27, 2619. [Google Scholar] [CrossRef] [PubMed]
- Shin, H.J.; Rashid, M.A.; Cartner, L.K.; Bokesch, H.R.; Wilson, J.A.; McMahon, J.B.; Gustafson, K.R. Stellettapeptins A and B, HIV-inhibitory cyclic depsipeptides from the marine sponge Stelletta sp. Tetrahedron Lett. 2015, 56, 4215–4219. [Google Scholar] [CrossRef] [PubMed]
- Ribeiro, R.; Pinto, E.; Fernandes, C.; Sousa, E. Marine cyclic peptides: Antimicrobial activity and synthetic strategies. Mar. Drugs 2022, 20, 397. [Google Scholar] [CrossRef]
- Chun, T.W.; Moir, S.; Fauci, A.S. HIV reservoirs as obstacles and opportunities for an HIV cure. Nat. Immunol. 2015, 16, 584–589. [Google Scholar] [CrossRef] [PubMed]
- Wang, M.; Tietjen, I.; Chen, M.; Williams, D.E.; Daoust, J.; Brockman, M.A.; Andersen, R.J. Sesterterpenoids isolated from the sponge Phorbas sp. activate latent HIV-1 provirus expression. J. Org. Chem. 2016, 81, 11324–11334. [Google Scholar] [CrossRef]
- Maina, E.K.; Adan, A.A.; Mureithi, H.; Muriuki, J.; Lwembe, R.M. A review of current strategies towards the elimination of latent HIV-1 and subsequent HIV-1 cure. Curr. HIV Res. 2021, 19, 14–26. [Google Scholar]
- Vansant, G.; Bruggemans, A.; Janssens, J.; Debyser, Z. Block-and-lock strategies to cure HIV infection. Viruses 2020, 12, 84. [Google Scholar] [CrossRef]
- Richard, K.; Williams, D.E.; De Silva, E.D.; Brockman, M.A.; Brumme, Z.L.; Andersen, R.J.; Tietjen, I. Identification of novel HIV-1 latency-reversing agents from a library of marine natural products. Viruses 2018, 10, 348. [Google Scholar] [CrossRef]
- Silipo, A.; Molinaro, A.; Molteni, M.; Rossetti, C.; Parrilli, M.; Lanzetta, R. Full structural characterization of an extracellular polysaccharide produced by the freshwater cyanobacterium Oscillatoria planktothrix. Eur. J. Org. Chem. 2010, 2010, 5594–5600. [Google Scholar] [CrossRef]
- Fidor, A.; Konkel, R.; Mazur-Marzec, H. Bioactive peptides produced by cyanobacteria of the genus Nostoc: A review. Mar. Drugs 2019, 17, 561. [Google Scholar] [CrossRef] [PubMed]
- Boyd, M.R.; Gustafson, K.R.; McMahon, J.B.; Shoemaker, R.H.; O’Keefe, B.R.; Mori, T.; Gulakowski, R.J.; Wu, L.; Rivera, M.I.; Laurencot, C.M.; et al. Discovery of cyanovirin-N, a novel human immunodeficiency virus inactivating protein that binds viral surface envelope glycoprotein gp120: Potential applications to microbicide development. Antimicrob. Agents Chemother. 1997, 41, 1521–1530. [Google Scholar] [CrossRef] [PubMed]
- Mazalovska, M.; Kouokam, J.C. Lectins as promising therapeutics for the prevention and treatment of HIV and other potential coinfections. Biomed Res. Int. 2018, 2018, 3750646. [Google Scholar] [CrossRef] [PubMed]
- Agarwal, R.; Trivedi, J.; Mitra, D. High yield production of recombinant cyanovirin-N (antiviral lectin) exhibiting significant anti-HIV activity, from a rationally selected Escherichia coli strain. Process Biochem. 2020, 93, 1–11. [Google Scholar] [CrossRef]
- Lotfi, H.; Sheervalilou, R.; Zarghami, N. An update of the recombinant protein expression systems of Cyanovirin-N and challenges of preclinical development. Bioimpacts 2018, 8, 139–151. [Google Scholar] [CrossRef]
- Woodham, A.W.; Skeate, J.G.; Sanna, A.M.; Taylor, J.R.; Da-Silva, D.M.; Cannon, P.M.; Kast, W.M. Human immunodeficiency virus immune cell receptors, coreceptors, and cofactors: Implications for prevention and treatment. AIDS Patient Care STDS 2016, 30, 291–306. [Google Scholar] [CrossRef]
- Vamvaka, E.; Evans, A.; Ramessar, K.; Krumpe, L.R.; Shattock, R.J.; Keefe, B.R.; Christou, P.; Capell, T. Cyanovirin-N produced in rice endosperm offers effective pre-exposure prophylaxis against HIV-1BaL infection in vitro. Plant Cell Rep. 2016, 35, 1309–1319. [Google Scholar] [CrossRef]
- Huskens, D.; Férir, G.; Vermeire, K.; Kehr, J.C.; Balzarini, J.; Dittmann, E.; Schols, D. Microvirin, a novel α (1,2)-mannose-specific lectin isolated from Microcystis aeruginosa, has anti-HIV-1 activity comparable with that of cyanovirin-N but a much higher safety profile. J. Biol. Chem. 2010, 285, 24845–24854. [Google Scholar] [CrossRef]
- Shahid, M.; Qadir, A.; Yang, J.; Ahmad, I.; Zahid, H.; Mirza, S.; Windisch, M.P.; Shahzad-ul-Hussan, S. An engineered microvirin variant with identical structural domains potently inhibits human immunodeficiency virus and hepatitis C virus cellular entry. Viruses 2020, 12, 199. [Google Scholar] [CrossRef]
- Armario-Najera, V.; Blanco-Perera, A.; Shenoy, S.R.; Sun, Y.; Marfil, S.; Muñoz-Basagoiti, J.; Perez-Zsolt, D.; Blanco, J.; Izquierdo-Useros, N.; Capell, T.; et al. Physicochemical characterization of the recombinant lectin scytovirin and microbicidal activity of the SD1 domain produced in rice against HIV-1. Plant Cell Rep. 2022, 41, 1013–1023. [Google Scholar] [CrossRef] [PubMed]
- Garrison, A.R.; Giomarelli, B.G.; Lear-Rooney, C.M.; Saucedo, C.J.; Yellayi, S.; Krumpe, L.R.; Rose, M.; Paragas, J.; Bray, M.; Olinger, G.G.; et al. The cyanobacterial lectin scytovirin displays potent in vitro and in vivo activity against Zaire Ebola virus. Antivi. Res. 2014, 112, 1–7. [Google Scholar] [CrossRef]
- Jones, T.H.; McClelland, E.E.; McFeeters, H.; McFeeters, R.L. Novel antifungal activity for the lectin scytovirin: Inhibition of Cryptococcus neoformans and Cryptococcus gattii. Front. Microbiol. 2017, 8, 755. [Google Scholar] [CrossRef]
- Huskens, D.; Schols, D. Algal lectins as potential HIV microbicide candidates. Mar. Drugs 2012, 10, 1476–1497. [Google Scholar] [CrossRef]
- Xiong, C.; O’Keefe, B.R.; Botos, I.; Wlodawer, A.; McMahon, J.B. Overexpression and purification of scytovirin, a potent, novel anti-HIV protein from the cultured cyanobacterium Scytonema varium. Protein Expr. Purif. 2006, 46, 233–239. [Google Scholar] [CrossRef]
- Gomez-Zavaglia, A.; Prieto Lage, M.A.; Jimenez-Lopez, C.; Mejuto, J.C.; Simal-Gandara, J. The potential of seaweeds as a source of functional ingredients of prebiotic and antioxidant value. Antioxidants 2019, 8, 406. [Google Scholar] [CrossRef]
- Wells, M.L.; Potin, P.; Craigie, J.S.; Raven, J.A.; Merchant, S.S.; Helliwell, K.E.; Smith, A.G.; Camire, M.E.; Brawley, S.H. Algae as nutritional and functional food sources: Revisiting our understanding. J. Appl. Phycol. 2017, 29, 949–982. [Google Scholar] [CrossRef]
- Biris-Dorhoi, E.S.; Michiu, D.; Pop, C.R.; Rotar, A.M.; Tofana, M.; Pop, O.L.; Socaci, S.A.; Farcas, A.C. Macroalgae-A sustainable source of chemical compounds with biological activities. Nutrients 2020, 12, 3085. [Google Scholar] [CrossRef]
- Ziółkowska, N.E.; Wlodawer, A. Structural studies of algal lectins with anti-HIV activity. Acta Biochim. Pol. 2006, 53, 617–626. [Google Scholar] [CrossRef]
- Harnedy, P.A.; Fitz Gerald, R.J. Bioactive proteins, peptides, and amino acids from macroalgae. J. Phycol. 2011, 47, 218–232. [Google Scholar] [CrossRef]
- Serna-Arbeláez, M.S.; Florez-Sampedro, L.; Orozco, L.P.; Ramírez, K.; Galeano, E.; Zapata, W. Natural products with inhibitory activity against human immunodeficiency virus type 1. Adv. Virol. 2021, 2021, 5552088. [Google Scholar] [CrossRef]
- Shannon, E.; Abu-Ghannam, N. Seaweeds as nutraceuticals for health and nutrition. Phycologia 2019, 58, 563–577. [Google Scholar] [CrossRef]
- Falkenhagen, A.; Joshi, S. HIV entry and its inhibition by bifunctional antiviral proteins. Mol. Ther. Nucleic Acids 2018, 13, 347–364. [Google Scholar] [CrossRef]
- Fernando, I.S.; Nah, J.W.; Jeon, Y.J. Potential anti-inflammatory natural products from marine algae. Environ. Toxicol. Pharmacol. 2016, 48, 22–30. [Google Scholar] [CrossRef]
- Lee, C. Griffithsin, a highly potent broad-spectrum antiviral lectin from red algae: From discovery to clinical application. Mar. Drugs 2019, 17, 567. [Google Scholar] [CrossRef]
- Moulaei, T.; Alexandre, K.B.; Shenoy, S.R.; Meyerson, J.R.; Krumpe, L.R.; Constantine, B.; Wilson, J.; Buckheit, R.W.; McMahon, J.B.; Subramaniam, S.; et al. Griffithsin tandemers: Flexible and potent lectin inhibitors of the human immunodeficiency virus. Retrovirology 2015, 12, 6. [Google Scholar] [CrossRef]
- Mori, T.; O’Keefe, B.R.; Sowder, R.C.; Bringans, S.; Gardella, R.; Berg, S.; Cochran, P.; Turpin, J.A.; Buckheit, R.W.; McMahon, J.B.; et al. Isolation and characterization of griffithsin, a novel HIV-inactivating protein, from the red alga Griffithsia sp. J. Biol. Chem. 2005, 280, 9345–9353. [Google Scholar] [CrossRef] [PubMed]
- Fischer, K.; Nguyen, K.; LiWang, P. Griffithsin retains anti-HIV-1 potency with changes in gp120 glycosylation and complements broadly neutralizing antibodies PGT121 and PGT126. Antimicrob. Agents Chemother. 2019, 64, e01084-19. [Google Scholar] [CrossRef] [PubMed]
- Kouokam, J.C.; Huskens, D.; Schols, D.; Johannemann, A.; Riedell, S.K.; Walter, W.; Walker, J.M.; Matoba, N.; O’Keefe, B.R.; Palmer, K.E. Investigation of griffithsin’s interactions with human cells confirms its outstanding safety and efficacy profile as a microbicide candidate. PLoS ONE 2011, 6, e22635. [Google Scholar] [CrossRef]
- Férir, G.; Palmer, K.E.; Schols, D. Synergistic activity profile of griffithsin in combination with tenofovir, maraviroc and enfuvirtide against HIV-1 clade C. Virology 2011, 417, 253–258. [Google Scholar] [CrossRef]
- Hamorsky, K.T.; Grooms-Williams, T.W.; Husk, A.S.; Bennett, L.J.; Palmer, K.E.; Matoba, N. Efficient single tobamoviral vector-based bioproduction of broadly neutralizing anti-HIV-1 monoclonal antibody VRC01 in Nicotiana benthamiana plants and utility of VRC01 in combination microbicides. Antimicrob. Agents Chemother. 2013, 57, 2076–2086. [Google Scholar] [CrossRef]
- Férir, G.; Huskens, D.; Noppen, S.; Koharudin, L.M.; Gronenborn, A.M.; Schols, D. Broad anti-HIV activity of the Oscillatoria agardhii agglutinin homologue lectin family. J. Antimicrob. Chem. 2014, 69, 2746–2758. [Google Scholar] [CrossRef] [PubMed]
- Mammari, N.; Krier, Y.; Albert, Q.; Devocelle, M.; Varbanov, M.; on behalf of the OEMONOM. Plant-derived antimicrobial peptides as potential antiviral agents in systemic viral infections. J. Pharma. 2021, 14, 774. [Google Scholar] [CrossRef]
- Hirayama, M.; Shibata, H.; Imamura, K.; Sakaguchi, T.; Hori, K. High-mannose specific lectin and its recombinants from a carrageenophyta Kappaphycus alvarezii represent a potent anti-HIV activity through high-affinity binding to the viral envelope glycoprotein gp120. Mar. Biotechnol. 2016, 18, 215–223. [Google Scholar] [CrossRef] [PubMed]
- Khan, B.M.; Liu, Y. Marine mollusks: Food with benefits. Compr. Rev. Food Sci. Food Saf. 2019, 18, 548–564. [Google Scholar] [CrossRef] [PubMed]
- Oh, R.; Lee, M.J.; Kim, Y.O.; Nam, B.H.; Kong, H.J.; Kim, J.W.; An, C.M.; Kim, D.G. Isolation and purification of antimicrobial peptide from hard-shelled mussel, Mytilus coruscus. J. Life Sci. 2016, 26, 1259–1268. [Google Scholar] [CrossRef][Green Version]
- Cunha Neves, A. Extraction, Purification and Characterisation of Biofunctional Peptides from Marine Processing Co-Products. Ph.D. Thesis, University of Limerick, Limerick, Ireland, 2015. [Google Scholar]
- Lee, T.G.; Maruyama, S. Isolation of HIV-1 protease-inhibiting peptides from thermolysin hydrolysate of oyster proteins. Biochem. Biophys. Res. Commun. 1998, 253, 604–608. [Google Scholar] [CrossRef]
- Ulagesan, S.; Krishnan, S.; Nam, T.J.; Choi, Y.H. A review of bioactive compounds in oyster shell and tissues. Front. Bioeng. Biotechnol. 2020, 10, 913839. [Google Scholar] [CrossRef]
- Wang, G.; Watson, K.M.; Peterkofsky, A.; Buckheit, R.W. Identification of novel human immunodeficiency virus type 1-Inhibitory peptides based on the antimicrobial peptide database. Antimicrob. Agents Chemotherap. 2010, 54, 1343–1346. [Google Scholar] [CrossRef]
- Vilas-Boas, L.; Campos, M.L.; Berlanda, R.; de Carvalho Neves, N.; Franco, O.L. Antiviral peptides as promising therapeutic drugs. Cell. Mol. Life Sci. 2019, 76, 3525–3542. [Google Scholar] [CrossRef]
- Reveillaud, J.; Maignien, L.; Eren, A.M.; Huber, J.A.; Apprill, A.; Sogin, M.L.; Vanreusel, A. Host-specificity among abundant and rare taxa in the sponge microbiome. ISME J. 2014, 8, 1198–1209. [Google Scholar] [CrossRef]
- Qian, P.Y.; Li, Z.; Xu, Y.; Li, Y.; Fusetani, N. Mini-review: Marine natural products and their synthetic analogs as antifouling compounds: 2009–2014. Biofouling 2015, 31, 101–122. [Google Scholar] [CrossRef]
- Gustafson, K.; Roman, M.; Fenical, W. The macrolactins, a novel class of antiviral and cytotoxic macrolides from a deep-sea marine bacterium. J. Am. Chem. Soc. 1989, 111, 7519–7524. [Google Scholar] [CrossRef]
- Singh, S.B.; Jayasuriya, H.; Salituro, G.M.; Zink, D.L.; Shafiee, A.; Heimbuch, B.; Silverman, K.C.; Lingham, R.B.; Genilloud, O.; Teran, A.; et al. The complestatins as HIV-1 integrase inhibitors. Efficient isolation, structure elucidation and inhibitory activities of isocomplestatin, chloropeptin I, new complestatins, A and B, and acid-hydrolysis products of chloropeptin I. J. Nat. Prod. 2001, 64, 874–882. [Google Scholar] [CrossRef]
- Tanaka, H.; Matsuzaki, K.; Nakashima, H.; Ogino, T.; Matsumoto, A.; Ikeda, H.; Woodruff, H.B.; Omura, S. Chloropeptins, new anti-HIV antibiotics inhibiting gp120-CD4 binding from Streptomyces sp. I. Taxonomy, fermentation, isolation, and physico-chemical properties and biological activities. J. Antibiot. 1997, 50, 58–65. [Google Scholar] [CrossRef]
- Wittine, K.; Saftić, L.; Peršurić, Ž.; Kraljević Pavelić, S. Novel antiretroviral structures from marine organisms. Molecule 2019, 24, 3486. [Google Scholar] [CrossRef]
- Niu, S.; Liu, D.; Shao, Z.; Proksch, P.; Lin, W. Eutypellazines A–M, thiodiketopiperazine-type alkaloids from deep sea derived fungus Eutypella sp. MCCC 3A00281. RSC Adv. 2017, 7, 33580–33590. [Google Scholar] [CrossRef]
- Cruz-Casas, D.E.; Aguilar, C.N.; Ascacio-Valdéz., J.A.; Rodríguez-Herrera, R.; Chávez-González, M.L.; Flores-Gallegos, A. Enzymatic hydrolysis and microbial fermentation: The most favorable biotechnological methods for the release of bioactive peptides. Food Chem. Mol. Sci. 2021, 3, 100047. [Google Scholar] [CrossRef]
- Riss, T.L.; Moravec, R.A.; Niles, A.L.; Duellman, S.; Benink, H.A.; Worzella, T.J.; Minor, L.J. Cell Viability Assays. In Assay Guidance Manual; Markossian, S., Grossman, A., Brimacombe, K., Eds.; National Center for Advancing Translational Sciences: Bethesda, MD, USA, 2016. [Google Scholar]
- Tsiaka, T.; Zoumpoulakis, P.; Sinanoglou, V.J.; Makris, C.; Heropoulos, G.A.; Calokerinos, A.C. Response surface methodology toward the optimization of high-energy carotenoid extraction from Aristeus antennatus shrimp. Anal. Chim. Acta 2015, 877, 100–110. [Google Scholar] [CrossRef]
- Bhattacharya, M.; Srivastav, P.P.; Mishra, H.N. Thin layer modeling of convective and microwave-convective drying of oyster mushroom (Pleurotus ostreatus). J. Food Sci. Technol. 2015, 52, 2013–2022. [Google Scholar] [CrossRef]
- Routray, W.; Orsat, V. Microwave-assisted extraction of flavonoids: A review. Food Bioprocess. Technol. 2012, 5, 409–424. [Google Scholar] [CrossRef]
- Xing, L.; Wang, Z.; Hao, Y.; Zhang, W. Marine products as a promising resource of bioactive peptides: Update of extraction strategies and their physiological regulatory effects. J. Agric. Food Chem. 2022, 70, 3081–3095. [Google Scholar] [CrossRef]
- Kent, S.B. Novel protein science enabled by total chemical synthesis. Protein Sci. 2019, 28, 313–328. [Google Scholar] [CrossRef]
- Vijaykrishnaraj, M.; Prabhasankar, P. Marine protein hydrolysates: Their present and future perspectives in food chemistry-a review. RSC Adv. 2015, 5, 34864–34877. [Google Scholar] [CrossRef]
- Rawendra, R.D.; Aisha; Chang, C.I.; Aulanni Chen, H.H.; Huang, T.C.; Hsu, J.L. A novel angiotensin converting enzyme inhibitory peptide derived from proteolytic digest of Chinese soft-shelled turtle egg white proteins. J. Proteom. 2013, 94, 359–369. [Google Scholar] [CrossRef]
- Cunha, S.A.; Pintado, M.E. Bioactive peptides derived from marine sources: Biological and functional properties. Trends Food Sci. Technol. 2022, 119, 348–370. [Google Scholar] [CrossRef]
- Deng, C.; Pan, B.; Connor, O.A. Brentuximab vedotin. Clin. Cancer Res. 2013, 19, 22–27. [Google Scholar] [CrossRef] [PubMed]
Publisher’s Note: MDPI stays neutral with regard to jurisdictional claims in published maps and institutional affiliations. |
© 2022 by the authors. Licensee MDPI, Basel, Switzerland. This article is an open access article distributed under the terms and conditions of the Creative Commons Attribution (CC BY) license (https://creativecommons.org/licenses/by/4.0/).














