Amphidinolide C2, New Macrolide from Marine Dinoflagellate Amphidinium Species
Abstract
:Introduction

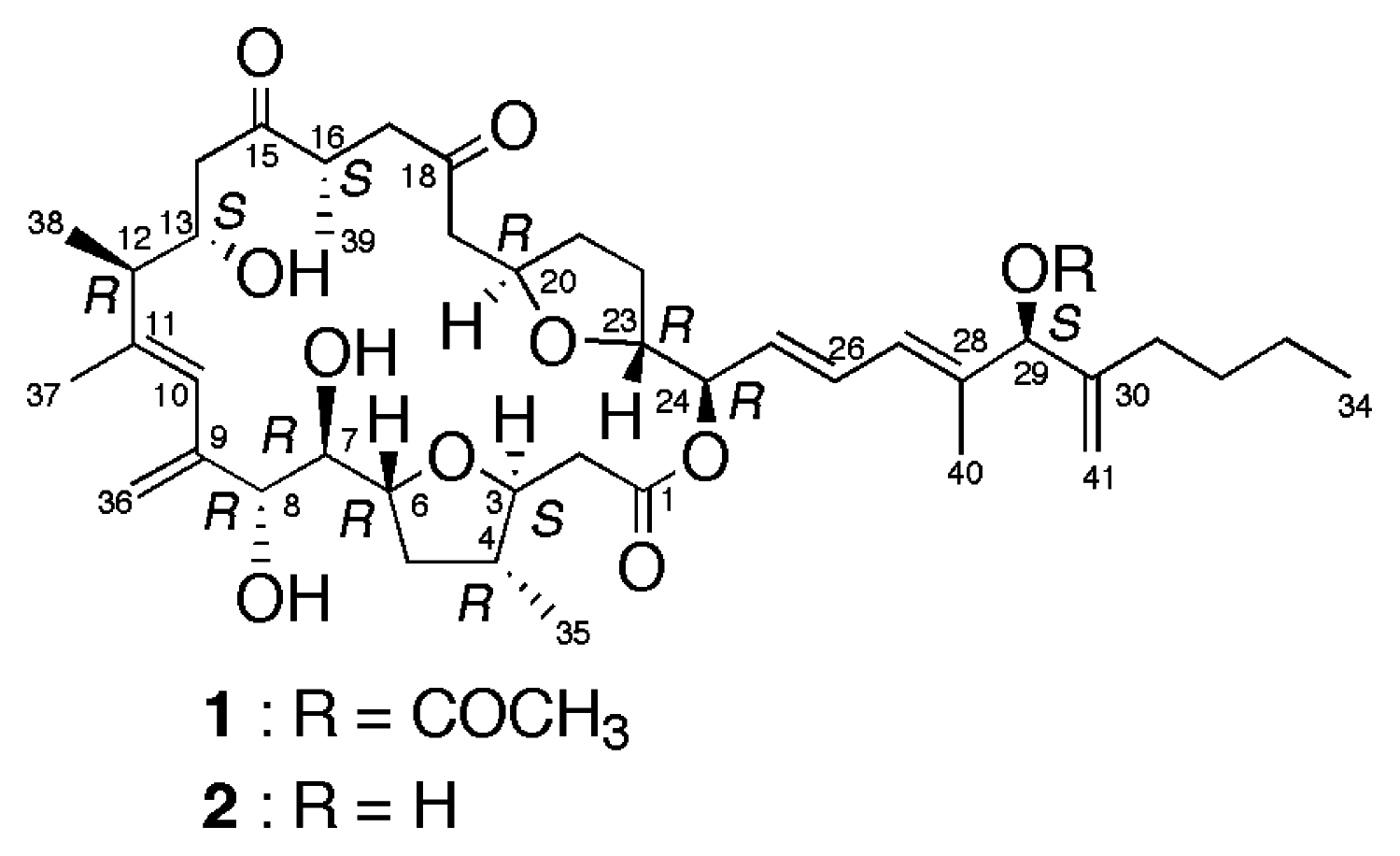
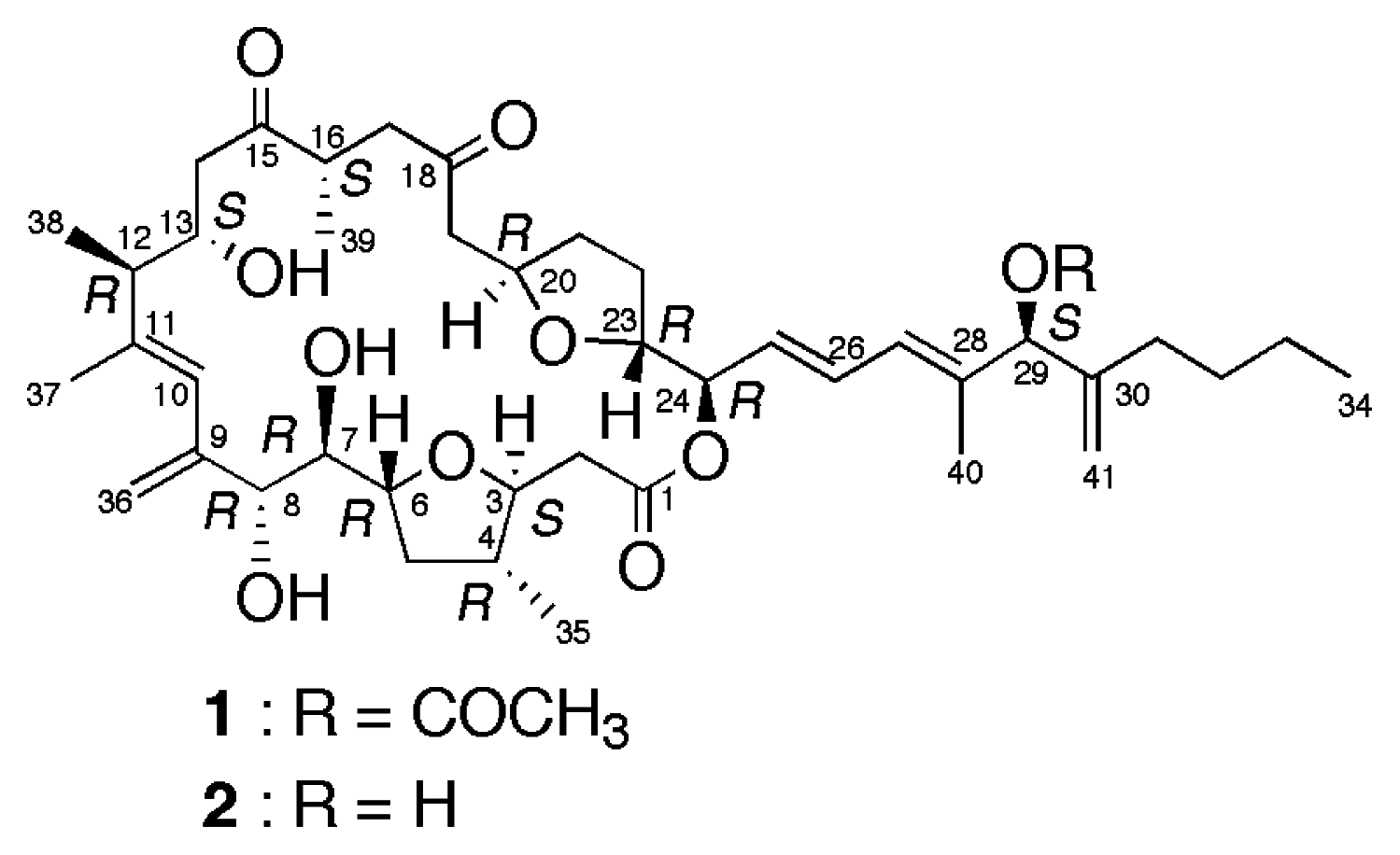
Results and Discussion
Experimental
General
Cultivation and Isolation
Spectral Data
Acknowledgments
- Sample Availability: Samples are available from the authors.
Reference and Notes
- Tsuda, M.; Izui, N.; Shimbo, K.; Sato, M.; Fukushi, E.; Kawabata, J.; Kobayashi, J. Amphidinolide Y, a novel 17-membered macrolide from dinoflagellate Amphidinium sp.; plausible biogenetic precursor of amphidinolide X. J. Org. Chem 2003, 68, 9109–9112. [Google Scholar]
- Kobayashi, J.; Tsuda, M. Amphidinolides, bioactive macrolides from symbiotic marine dinoflagellates. Nat. Prod. Rep 2004, 21, 77–93. [Google Scholar]
- Kobayashi, J.; Ishibashi, M.; Walchli, M. R.; Nakamura, H.; Hirata, Y.; Sasaki, T.; Ohizumi, Y. Amphidinolide C, the first 25-membered macrocyclic lactone with potent antineoplastic activity from the cultured dinoflagellate Amphidinium sp. J. Am. Chem. Soc 1988, 110, 490–494. [Google Scholar]
- Kubota, T.; Tsuda, M.; Kobayashi, J. Absolute stereochemistry of amphidinolide C. Org. Lett 2001, 3, 1363–1366. [Google Scholar]
- Kubota, T.; Tsuda, M.; Kobayashi, J. Biosynthetic study of amphidinolide C. Tetrahedron 2001, 57, 5975–5977. [Google Scholar]
- Kobayashi, J.; Tsuda, M.; Ishibashi, M.; Shigemori, H.; Yamasu, T.; Hirota, H.; Sasaki, T. Amphidinolide F, a new cytotoxic macrolide from the marine dinoflagellate Amphidinium sp. J. Antibiot 1991, 44, 1259–1261. [Google Scholar]
- Tsuda, M.; Endo, T.; Kobayashi, J. Amphidinolide U, novel 20-membered macrolide from marine dinoflagellate Amphidinium sp. Tetrahedron 1999, 55, 14565–14570. [Google Scholar]
- Ishibashi, M.; Ohizumi, Y.; Hamashima, M.; Nakamura, H.; Hirata, Y.; Sasaki, T.; Kobayashi, J. Amphidinolide-B, a novel macrolide with potent antineoplastic activity from the marine dinoflagellate Amphidinium sp. J. Chem. Soc., Chem. Commun 1987, 1127–1129. [Google Scholar]
- Bauer, I.; Maranda, L.; Shimizu, Y.; Peterson, R. W.; Cornell, L.; Steiner, J. R.; Clardy, J. The structures of amphidinolide B isomers: strongly cytotoxic macrolides produced by a free-swimming dinoflagellate Amphidinium sp. J. Am. Chem. Soc 1994, 116, 2657–2658. [Google Scholar]
- Ishibashi, M.; Ishiyama, H.; Kobayashi, J. Absolute stereochemistry of amphidinolide B. Tetrahedron Lett 1994, 35, 8241–8242. [Google Scholar]
- Tsuda, M.; Endo, T.; Kobayashi, J. Amphidinolide T, novel 19-membered macrolide from marine dinoflagellate Amphidinium sp. J. Org. Chem 2000, 65, 1349–1352. [Google Scholar]
- Kobayashi, J.; Kubota, T.; Endo, T.; Tsuda, M. Amphidinolides T2, T3, and T4, new 19-menbered macrolides from dinoflagellate Amphidinium sp. and biosynthesis of amphidinolide T1. J. Org. Chem 2001, 66, 134–142. [Google Scholar]
- Kubota, T.; Endo, T.; Tsuda, M.; Shiro, M.; Kobayashi, J. Amphidinolide T5, a new 19-membered macrolide from a dinoflagellate and X-ray structure of amphidinolide T1. Tetrahedron 2001, 57, 6175–6179. [Google Scholar]
© 2004 by MDPI Reproduction is permitted for noncommercial purposes.
Share and Cite
Kubota, T.; Sakuma, Y.; Tsuda, M.; Kobayashi, J. Amphidinolide C2, New Macrolide from Marine Dinoflagellate Amphidinium Species. Mar. Drugs 2004, 2, 83-87. https://doi.org/10.3390/md203083
Kubota T, Sakuma Y, Tsuda M, Kobayashi J. Amphidinolide C2, New Macrolide from Marine Dinoflagellate Amphidinium Species. Marine Drugs. 2004; 2(3):83-87. https://doi.org/10.3390/md203083
Chicago/Turabian StyleKubota, Takaaki, Yusuke Sakuma, Masashi Tsuda, and Jun’ichi Kobayashi. 2004. "Amphidinolide C2, New Macrolide from Marine Dinoflagellate Amphidinium Species" Marine Drugs 2, no. 3: 83-87. https://doi.org/10.3390/md203083
APA StyleKubota, T., Sakuma, Y., Tsuda, M., & Kobayashi, J. (2004). Amphidinolide C2, New Macrolide from Marine Dinoflagellate Amphidinium Species. Marine Drugs, 2(3), 83-87. https://doi.org/10.3390/md203083
