Next Article in Journal
An In-Silico Comparative Study of Lipases from the Antarctic Psychrophilic Ciliate Euplotes focardii and the Mesophilic Congeneric Species Euplotes crassus: Insight into Molecular Cold-Adaptation
Previous Article in Journal
Caged Dexamethasone/Quercetin Nanoparticles, Formed of the Morphogenetic Active Inorganic Polyphosphate, are Strong Inducers of MUC5AC
Previous Article in Special Issue
Effects of Chitosan–Gentamicin Conjugate Supplement on Non-Specific Immunity, Aquaculture Water, Intestinal Histology and Microbiota of Pacific White Shrimp (Litopenaeus vannamei)
 
 
Font Type:
Arial Georgia Verdana
Font Size:
Aa Aa Aa
Line Spacing:
Column Width:
Background:
Article

Two New Phomaligols from the Marine-Derived Fungus Aspergillus flocculosus and Their Anti-Neuroinflammatory Activity in BV-2 Microglial Cells

1
Marine Natural Products Chemistry Laboratory, Korea Institute of Ocean Science and Technology, 385 Haeyang-ro, Yeongdo-gu, Busan 49111, Korea
2
Department of Applied Life Science, Graduate School, BK21 Program, Konkuk University, Chungju 27478, Korea
3
Nhatrang Institute of Technology Research and Application, Vietnam Academy of Science and Technology, 02 Hung Vuong, Nha Trang 650000, Vietnam
*
Author to whom correspondence should be addressed.
Mar. Drugs 2021, 19(2), 65; https://doi.org/10.3390/md19020065
Submission received: 22 December 2020 / Revised: 21 January 2021 / Accepted: 21 January 2021 / Published: 27 January 2021
(This article belongs to the Special Issue Marine-Derived Compounds Applied in Infectious Diseases)

Abstract

Two new phomaligols, deketo-phomaligol A (1) and phomaligol E (2), together with six known compounds (38) were isolated from the culture broth of the marine-derived fungus Aspergillus flocculosus. Compound 1 was first isolated as a phomaligol derivative possessing a five-membered ring. The structures and absolute configurations of the new phomaligols were determined by detailed analyses of mass spectrometry (MS), nuclear magnetic resonance (NMR) data, optical rotation values and electronic circular dichroism (ECD). In addition, the absolute configurations of the known compounds 3 and 4 were confirmed by chemical oxidation and comparison of optical rotation values. Isolated compounds at a concentration of 100 μM were screened for inhibition of nitric oxide (NO) production in lipopolysaccharide (LPS)-induced BV-2 microglial cells. Among the compounds, 4 showed moderate anti-neuroinflammatory effects with an IC50 value of 56.6 μM by suppressing the production of pro-inflammatory mediators in activated microglial cells without cytotoxicity.

1. Introduction

Marine environment is considered as a rich source of novel compounds having chemically diverse and complex structures, as it is not only extremely broad and untapped area, but also diverse and unique habitats such as salinity, temperature, and extreme pressure [1,2]. Marine microorganisms have evolved the ability to produce secondary metabolites to adapt to various environments, to protect themselves from predators, to communicate (quorum sensing) each other, and so on [3,4]. Over the past decade, various chemical sources from marine microbes have been researched for drug discovery and development [5]. Among the marine organisms, marine-derived fungi produce bioactive compounds that can be considered to display a wide range of bioactivities including antimicrobial, anti-inflammatory, antiplasmodial and anticancer [6,7].
Neurodegenerative diseases such as Alzheimer’s disease and Parkinson’s disease are associated with chronic neuroinflammation caused by a high production of several inflammatory factors including nitric oxide (NO), reactive oxygen species (ROS), tumor necrosis factor alpha (TNF-α), interleukin-1 beta (IL-1β) and interleukin-6 (IL-6) [8,9,10]. Microglia are the resident macrophages of the brain to respond to brain injury or infection [11]. Pathological microglial activation triggers the inflammatory response, which is believed to be involved in neuroinflammatory processes [12]. Therefore, the suppression of pro-inflammatory mediators in activated microglia may lead the development of therapeutic agents for various neuronal diseases [13]. During our ongoing investigation for new metabolites and biological activities from marine microorganisms, we encountered a fungal strain 168ST-16.1 which produces diverse secondary metabolites. The fungal strain was fermented and extracted with EtOAc, and then the extract was evaporated under reduced pressure to yield a crude extract, which was fractionated by flash column chromatography on ODS using mixtures of MeOH/H2O. The fractions were purified by reversed-phase HPLC to afford two new compounds (1 and 2) together with six known compounds, sydowione A (3) [14], 2,6-dimethyl-3-O-methyl-4-(2-methylbutyryl) phloroglucinol (4) [15], phomaligol A (5) [16], phomaligol A1 (6) [16], saccharonol A (7) [17], and phomaligol D (8) [18] (Figure 1). Their structures were elucidated by spectroscopic methods (1D, 2D NMR and HRESIMS), modified Mosher’s method, acid hydrolysis and comparison of specific rotation values with the literature data as shown in Figure 1. All the isolated compounds were evaluated for their effects on nitric oxide production in lipopolysaccharide (LPS)-stimulated murine microglia BV-2 cells. Herein, the isolation and structural elucidation of compounds 18 and their biological activities are described.

2. Results and Discussion

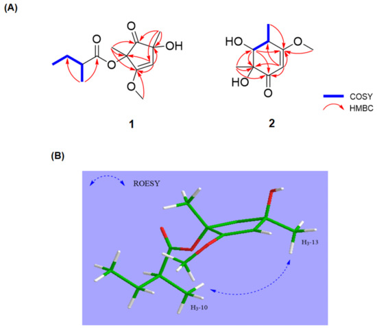
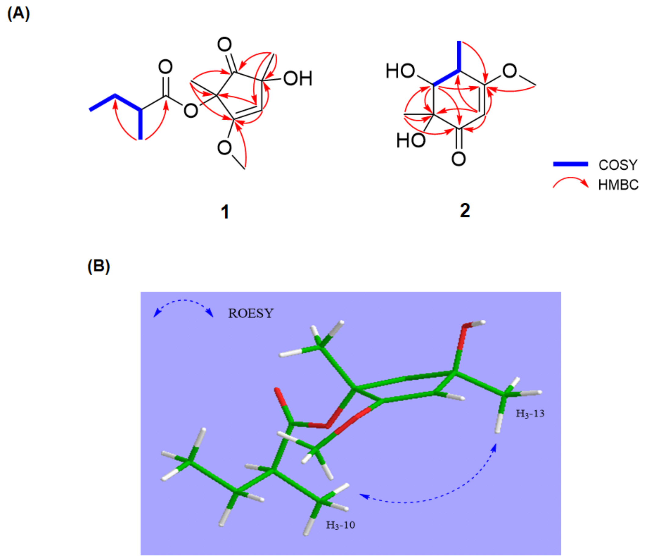
Compound 1 was isolated as a pale yellow oil and its molecular formula was determined to be C13H20O5 based on HRESIMS (279.1209, [M + Na]+). The 1H NMR spectrum of 1 showed the signals of a singlet olefinic proton at δH 4.99 (s, 1H), a methine at δH 2.37 (m, 1H), a methylene at δH 1.46, 1.63 (m, 2H), and five methyl protons at δH 4.16 (s, 3H), 1.66 (s, 3H), 1.29 (s, 3H), 1.11 (d, J = 7.0 Hz, 3H), and 0.93 (t, J = 7.0 Hz, 3H) (Table 1). The combination of 13C NMR and HSQC spectra exhibited 13 carbon signals, indicating the presence of one ketone at δC 200.2 (C-1), one carbonyl at δC 175.9 (C-6), three quaternary carbons at δC 178.4 (C-4), 114.1 (C-5), and 84.9 (C-2), one sp2 carbon at δC 72.1 (C-3), one methine, methylene and five methyl carbons at δC 40.7 (C-7), δC 26.4 (C-8), δC 10.4 (C-9), δC 15.4 (C-10), δC 57.7 (C-11), δC 4.6 (C-12), and δC 18.1 (C-13), respectively (Table 1). The planar structure of 1 was elucidated by analysis of the 2D NMR data, including the COSY and HMBC spectra (Figure 2A). The HMBC correlations from δH 1.29 (H-13) to C-1, C-2, and C-3, δH 1.66 (H-12) to C-1, C-4, and C-5, δH 4.99 (H-3) to C-2, C-4, and C-5 and δH 4.16 (H-11) to C-4 confirmed the presence of a five-membered ring system with a ketone group. A sec-butyl moiety connecting to the carbonyl unit at C-7 was determined by the COSY correlations of H-7/H2-8/H3-9/H3-10 and the HMBC correlations from H3-10 and H2-8 to C-10. Although there was no HMBC correlation between the five-membered ring and the side chain, the ROESY correlation of H3-10/H3-13 and the molecular formula determined by HRESIMS analysis suggested that two partial structures are connected by an ester linkage. The planar structure of 1 was closely similar to phomaligols A and A1, except for the absence of one ketone and having a five-membered ring system.
The stereochemistry of 1 was determined by the analysis of ROESY spectra, electronic circular dichroism (ECD) and acid hydrolysis. To elucidate the absolute configuration of C-7, compound 1 was subjected to a chemical degradation. The acid hydrolysis of 1 afforded 2-methylbutanoic acid, and a specific rotation value of the hydrolysate was compared with reference compounds, (+) and (−)-2-methylbutanoic acids (Supplementary Materials Figure S8). The positive optical rotation value ( [ α ] D 25 +20.0 (c 0.1, MeOH) of 2-methylbutanoic acid in 1 suggested the absolute configuration of C-7 is (S), same as the isolated phomaligols 5 and 6.
Afterward, the relative configurations of C-2 and C-5 were established by ROESY correlations. The strong correlation signals of H3-10/H3-13 suggested that the sec-butyl moiety and H3-13 were on the same face, which was also supported by the lack of ROESY correlation of H3-12/H3-13 (Figure 2B). Based on the above correlations, there are only two possible conformers (1a: 2R, 5R, 7S, 1b: 2S, 5S, 7S). Finally, to determine the absolute stereochemistry of 1, ECD calculation of the possible conformers was carried out at B3LYP/6-311+G(d,p) level. As shown in Figure 3, the calculated ECD spectra of 1a and 1b displayed the opposite pattern even though two possible structures are not enantiomers. The calculated ECD spectrum of 1 was in a better agreement with the experimental CD spectrum of 1a, suggesting the absolute configuration of 1 is defined as 2R, 5R, 7S. To the best of our knowledge, 1 is the first phomaligol with a five-membered ring and is named deketo-phomaligol A.
Compound 2 was purified as a pale yellow oil with a molecular formula of C9H14O4 by HRESIMS (209.0791, [M + Na]+). 1H and 13C NMR data of 2 were similar to those of phomaligol D (8) except for the presence of a multiplet methine at δH 3.19 (H-4), a doublet methine at δH 3.74 (H-5) and a doublet methyl proton at δH 1.23 (H-7). The COSY correlations of H-4/H-5/H-7 and HMBC correlations from H-2 to C-1, C-3, C-4 and C-6, H3-7 to C-3 and H-5 to C-1, C-3 and C-6 suggested the presence of a cyclohexanone as shown in Figure 2A. Subsequently, the HMBC correlations from H3-8 to C-1, C-5 and C-6 and H3-9 to C-3 confirmed the structure of 2 to be a phomaligol derivative, differing only in a hydroxyl group at C-4 compared to 8.
The relative configurations of two hydroxyl groups and two singlet methyls were elucidated by comparison of chemical shifts with the known phomaligol and ROESY correlations. Almost identical chemical shift of H3-8 between 2H 1.35) and 8H 1.36) suggested that two hydroxyl groups near H3-8 in 2 could be in the same chemical environment as in 8. In addition, the presence of H-5 and H3-7 on the same face was confirmed by the ROESY correlations between H-5 and H3-7. These results suggested the relative configurations of 2 and 8 are identical. Finally, the same absolute configuration of 2 as that of 8 was determined by the comparison of the specific rotation values of 2 ( [ α ] D 25 −60.0 (c 0.4, MeOH)) and 8 ( [ α ] D 25 −55.6 (c 0.4, MeOH)). Therefore, the structure of 2 was elucidated and named phomaligol E (2).
Planar structures of 3 and 4 were determined by detailed NMR analyses as sydowione A and 2,6-dimethyl-3-O-methyl-4-(2-methylbutyryl) phloroglucinol, respectively. However, the known compounds were published without deciphering full absolute configurations. Here, we report the elucidation of the absolute configurations of compounds 3 and 4.
The absolute configuration of 3 was confirmed by modified Mosher’s method, oxidation and comparison of specific rotation values. To determine the absolute configuration of C-8, 3 was subjected to the modified Mosher’s method. The observed chemical shift differences ΔδSR was calculated to assign the 8R configuration in 3 (Figure 4A). Afterward, the stereochemistry of C-9 was elucidated by comparison of specific rotation values with a similar compound, phomapyrone B, which has been reported for its total synthesis and enantiomer so far [19]. The only difference between 3 and phomapyrone B is the presence of a ketone or a hydroxyl group at C-9. Consequently, chemical oxidation of secondary alcohol at C-8 to ketone in 3 led to the production of phomapyrone B (3c) and determination of absolute configuration at C-9 by comparing the measured optical rotation value [ α ] D 20 −16.6 (c 0.1, CHCl3) with the literature (phomapyrone B, [α]D −18.6 (c 0.14, CHCl3)(Figure 4B and Supplemetary Materials Figure S20). Thus, the absolute stereochemistry of 3 was determined as 9-(R)-sydowione A.
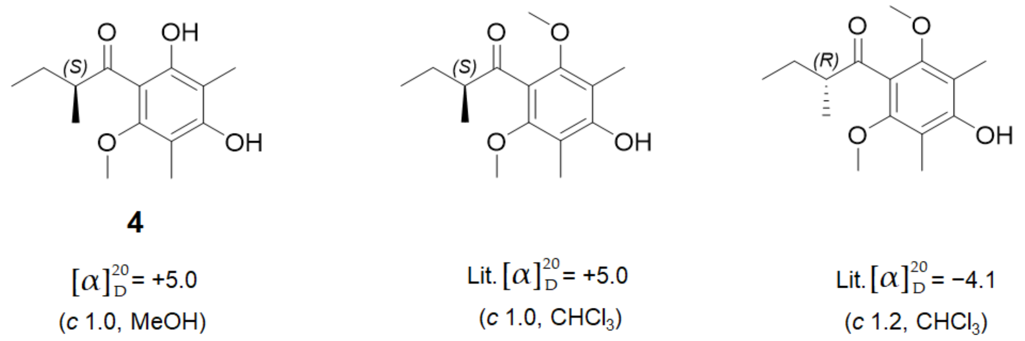
The absolute configuration of 4 was elucidated by comparison of optical rotation values with those of reported similar compounds, which have the same backbone with 4, differing by only an additional methoxy group. Based on a literature search, the optical rotation values of the congeners represent a negative or positive value depending on the stereochemistry of the sec-butyl moiety (Figure 5) [20,21]. According to the optical rotation value [ α ] D 20 +5.0 (c 1.0, MeOH), the absolute configuration of C-8 in 4 was confirmed as (S).
Compounds 1 and 3~7 were tested for their anti-neuroinflammatory effects in LPS-induced BV-2 microglia cells and cytotoxicity. Each compound was treated with 100 μM to evaluate the levels of the LPS-induced (200 ng/mL) NO production in BV-2 microglial cells. Interestingly, compound 4 inhibited NO production in BV-2 microglial cells without cytotoxicity as shown in Figure 6A,B. To investigate the regulation of LPS-induced NO production and expression levels of iNOS and COX-2 proteins, compound 4 at the concentrations of 20, 40 and 80 μM was evaluated, and the results showed that 4 reduced the NO production and significantly downregulated the expression of iNOS and COX-2 proteins in a dose-dependent manner (Figure 6C–E).

3. Materials and Methods

3.1. General Experimental Procedures

Optical rotations were acquired on a Rudolph Research Analytical Autopol III polarimeter (Rudolph Research Analytical, Hackettstown, NJ, USA). NMR spectra were collected on a Varian Unity 500 MHz (Varian Inc., Palo Alto, CA, USA) and a Bruker 600 MHz spectrometer (Bruker BioSpin GmbH, Rheinstetten, Germany). HRESIMS were recorded on Waters Synapt HDMS LC/MS mass spectrometer (Waters Corporation, Milford, MA, USA). IR spectra were measured on a JASCO FT/IR-4100 spectrophotometer (JASCO Corporation, Tokyo, Japan). CD spectra were obtained on a JASCO J-1500 spectrometer (JASCO Corporation, Tokyo Japan). HPLC was performed with PrimeLine Binary pump (Analytical Scientific Instruments, Inc., El Sobrante, CA, USA) and RI-101 (Shoko Scientific Co. Ltd., Yokohama, Japan). Column chromatography was performed using ODS gel (12 nm, S-75 μM, YMC CO., Kyoto, Japan). Semi-preparative HPLC was carried out with an ODS column (YMC-Pack-ODS-A, 250 × 10 mm i.d, 5 μM). Analytical HPLC was performed using an ODS column (YMC-Pack-ODS-A, 250 × 4.6 mm i.d, 5 μM).

3.2. Fungal Material and Fermentation

The fungus Aspergillus flocculosus 168ST-16.1 was isolated from the algae Padina sp., collected using SCUBA at a depth of 10 m in Son Tra peninsular, Da Nang, Vietnam and cultured on rice media at 28 °C for three weeks in Erlenmeyer flasks, each containing rice, yeast extract, KH2PO4, and natural sea water as previously described [22].

3.3. Isolation of Compounds 18

The mycelia and medium were homogenized and extracted with EtOAc and then concentrated in vacuo to yield a crude extract (22 g). The crude extract was fractionated by flash column chromatography on C18-reversed phase silica gel (ODS) using a gradient of MeOH/ H2O (v/v 1:4 to 100% MeOH, each fraction 300 mL) to yield 15 fractions (Fr.A-Fr.O). The Fr. E (1.3 g) was further chromatographed into ten subfractions (Fr. E.1–10) by ODS eluting with a step gradient of MeOH/H2O (30:70 to 40:60, v/v). Fr. E2 (210 mg) was purified by a semi-preparative reversed-phase HPLC (4.0 mL/min, RI detector) using isocratic elution with 38% MeOH in H2O to yield 1 (3.5 mg, tR = 34 min) and 6 (2.7 mg, tR = 36 min). Compounds 3 (8.2 mg, tR = 46 min) and 5 (4.1 mg, tR = 50 min) were isolated from the Fr. F (894 mg) by a semi-preparative reversed-phase HPLC (38% MeOH/H2O, RI detector, 4.0 mL/min). The Fr. A (1.3 g) was purified with an analytical reversed-phase HPLC (10% MeOH/H2O, RI detector, 1.0 mL/min) to afford 8 (1.6 mg, tR = 15 min). Compound 2 (1.5 mg, tR = 25 min) was obtained from the Fr. B (350 mg) by an analytical reversed-phase HPLC (12% MeOH/H2O, RI detector, 1.0 mL/min). The Fr. H (3.7 g) was further purified through a semi-preparative reversed-phase HPLC (4.0 mL/min, RI detector, 50% MeOH/H2O) to give 7 (2.6 mg, tR = 14 min). Compound 4 (4.3 mg, tR = 24 min) was separated from the Fr. L (897 mg) by a semi-preparative reversed-phase HPLC (65% MeOH/H2O, RI detector, 4.0 mL/min). All the procedures for the fractionation and isolation of the compounds were performed according to previously reported techniques [23].

3.4. Spectral Data

Deketo-phomaligol A (1): pale yellow oil; [ α ] D 25 +33.0(c 0.05, MeOH); IR νmax 3328, 1626, 1658, 1384, 1328, 1056 cm−1; UV(MeOH) λmax (log ε) 253 (3.54), 208 (3.22) nm; HRESIMS m/z 279.1209 [M + Na]+ (calcd for 279.1208, C13H20O5Na); 1H NMR (CD3OD, 500 MHz) and 13C NMR (CD3OD, 125 MHz) see Table 1.
Phomaligol E (2): pale yellow oil; [ α ] D 25 −60.0(c 0.4, MeOH); IR νmax 3388, 1643, 1593, 1455, 1374, 1225, 1056 cm−1; UV(MeOH) λmax (log ε) 255 (3.25), 203 (3.10) nm; HRESIMS m/z 209.0791 [M + Na]+ (calcd for 209.0790, C9H14O4Na); 1H NMR (CD3OD, 500 MHz) and 13C NMR (CD3OD, 125 MHz) see Table 1.

3.5. Calculation of ECD Spectra

Conformational searches and theoretical calculation for ECD spectra were performed by conflex version 8.0 (CONFLEX Corporation, Tokyo, Japan) and Gaussian 16 software (Gaussian Inc., Wallingford, CT, USA). Optimization of conformers and theoretical calculations of ECD data were performed using the time-dependent density functional theory (TD-DFT) method at the B3LYP/6-311G+(d,p) according to previously reported procedures [24].

3.6. Preparation of MTPA and Esters of 3 Using the Mosher’s Method

(R)- or (S)-MTPA-Cl and anhydrous pyridine were added to compound 3, and the reaction mixture was stirred overnight at room temperature. The procedures for the absolute configuration determination using the Mosher’s method were performed as previously reported [25].
Compound 3a: 1H NMR (CD3OD, 500 MHz) δH 6.34 (1H, s, H-5), δH 5.49 (1H, m, H-8), δH 2.92 (2H, d, H-7), δH 1.76 (3H, s, H-13), δH 0.93 (3H, d, H-12), δH 0.87 (3H, t, H-11); ESIMS m/z 481.3 [M + Na]+
Compound 3b: 1H NMR (CD3OD, 500 MHz) δH 6.29 (1H, s, H-5), δH 5.51 (1H, m, H-8), δH 2.87 (2H, d, H-7), δH 1.76 (3H, s, H-13), δH 1.01 (3H, d, H-12), δH 0.94 (3H, t, H-11); ESIMS m/z 481.3 [M + Na]+

3.7. Hydrolysis of 1, and Oxidation of 3 for Determination of Absolute Configuration

Compound 1 was dissolved in 6N HCl (0.5 mL) and heated to 100 ℃ for 1 h. The solution was cooled and extracted with EtOAc twice. The EtOAc layer was concentrated under reduced pressure. The extract was chromatographed by ODS using a stepwise elution with combinations of MeOH/H2O (v/v 1:4, 2:3, 3:2, 4:1 and 100% MeOH). The MeOH/H2O (2:3) and MeOH/H2O (1:4) fractions gave a 2-methylbutanoic acid (Supporting information).
To determine the absolute configuration, the secondary alcohol of 3 (1.5 mg) in dichloromethane (0.5 mL) was oxidized with pyridinium dichromate (3 eqiv.) at room temperature overnight. After work-up, the extract was purified by analytical HPLC (UV detector, flow rate 1.0 mL/min,) using a gradient elution from 10% to 100% MeOH in 60 min to yield 3c (tR = 19 min).
Compound 3c: 1H NMR (CD3OD, 600 MHz) δH 5.85 (1H, s, H-5), δH 3.28 (2H, overlap, H-7), δH 2.66 (1H, m, H-9), δH 1.80 (3H, s, H-13), δH 1.69, 1.40 (2H, m, H-10), δH 1.07 (3H, d, H-12), δH 1.88 (3H, t, H-11); ESIMS m/z 247.2 [M + Na]+

3.8. BV-2 Microglial Cell Culture, Cell Viability, Nitrite Assay and Western Blot Analysis

Murine microglial (BV-2) cells were cultured as previously reported [24]. The BV-2 microglial cells were pretreated with isolated compounds for 1 h, followed by LPS (200 ng/mL) for 24 h. After addition of 20 μM MTT solution to 24 wells, the supernatant dissolved the formazan crystals in viable cells from DMSO was evaluated using a microplate reader at 550 nm and values were estimated in comparison to control cells. To conduct the nitrite assay, BV-2 microglial cells were pretreated with isolated compounds for 1 h, followed by LPS (200 ng/mL) for 24 h. The supernatant transferred to new microplates was mixed with Griess reagent for 10 min at room temperature in the dark. The measurement of nitrite was performed using a range of sodium nitrite dilutions as standard solutions. The absorbance was analyzed using a microplate reader at 540 nm. Western blot analysis was conducted to detect the expression of iNOS and COX-2 as described in the previous study [24].

4. Conclusions

Two new phomaligol derivatives (1 and 2), along with seven known compounds (38), were isolated from the rice medium culture of the marine-derived fungus Aspergillus flocculosus. To the best of our knowledge, compound 1 is the first phomaligol with a five-membered ring. Additionally, full absolute configurations of the known compounds 3 and 4 were first elucidated by acid hydrolysis, chemical oxidation and comparison of specific rotation values with reported data. Compounds 1 and 37 were tested for inhibitory activity on NO production in LPS-stimulated BV-2 microglial cells. Interestingly, 4 suppressed the production of NO and expression levels of iNOS and COX-2 proteins in a concentration-dependent manner. Consequently, these results indicated that compound 4 obtained from the marine-derived fungus A. flocculosus possesses effective properties against neuroinflammation in activated microglial cells without cytotoxicity.

Supplementary Materials

The followings are available online at https://www.mdpi.com/1660-3397/19/2/65/s1, Figures S1–S8: the analyzed data of 1H and 13C NMR, 2D NMR (COSY, HSQC, HMBC, ROESY), HRESI-MS and chemical reaction of 1, Figures S9–S15: 1H and 13C NMR, 2D NMR (COSY, HSQC, HMBC, ROESY) spectra and HRESI-MS data of 2, Figures S16–S23: 1H and 13C NMR, HRESI-MS and chemical reaction data of 3 and 4, Figures S24–S35: 1H and 13C NMR spectra and LRMS data of 58, Figure S36, Tables S1–S6: ECDs of 1.

Author Contributions

Conceptualization, H.J.S.; investigation, B.-K.C., D.-Y.C. and D.-K.C.; resources, P.T.H.T.; writing—original draft preparation, B.-K.C.; writing—review and editing, H.J.S.; visualization, B.-K.C. and D.-Y.C.; project administration, H.J.S.; funding acquisition, H.J.S. All authors have read and agreed to the published version of the manuscript.

Funding

This research was supported in part by the Korea Institute of Ocean Science and Technology (Grant PE99852) and the Ministry of Oceans and Fisheries, Republic of Korea (Grant PM59122).

Institutional Review Board Statement

Not applicable.

Data Availability Statement

The Data presented in the article are available in the supplementary materials.

Acknowledgments

The authors express gratitude to Young Hye Kim, Korea Basic Science Institute, Ochang, Korea, for providing mass data. Authors would like to thank the Vietnam Government for allowing us to do marine microbial research.

Conflicts of Interest

The authors declare no conflict of interest.

References

  1. Bernan, V.S.; Greenstein, M.; Maiese, W.M. Marine microorganisms as a source of new natural products. Adv. Appl. Microbiol. 1997, 43, 57–90. [Google Scholar] [PubMed]
  2. Faulkner, D.J. Marine natural products. Nat. Prod. Rep. 1995, 12, 223–269. [Google Scholar] [CrossRef]
  3. Haefner, B. Drugs from the deep: Marine natural products as drug candidates. Drug Discov. Today 2003, 8, 536–544. [Google Scholar] [CrossRef]
  4. Fenical, W.; Jensen, P.R. Marine microorganisms: A new biomedical resource. Mar. Biotechnol. 1993, 1, 419–459. [Google Scholar]
  5. Javed, F.; Qadir, M.I.; Janbaz, K.H.; Ali, M. Novel drugs from marine microorganisms. Crit. Rev. Microbiol. 2011, 37, 245–249. [Google Scholar] [CrossRef] [PubMed]
  6. Hasan, S.; Ansari, M.I.; Ahmad, A.; Mishra, M. Major bioactive metabolites from marine fungi: A review. Bioinformation 2015, 11, 176–181. [Google Scholar] [CrossRef] [PubMed]
  7. Pietra, F. Secondary metabolites from marine microorganisms: Bacteria, protozoa, algae and fungi. Achievements and prospects. Nat. Prod. Rep. 1997, 14, 453–464. [Google Scholar] [CrossRef]
  8. Boje, K.M.; Arora, P.K. Microglial-produced nitric oxide and reactive nitrogen oxides mediate neuronal cell death. Brain Res. 1992, 587, 250–256. [Google Scholar] [CrossRef]
  9. Chao, C.C.; Hu, S.; Ehrlich, L.; Peterson, P.K. Interleukin-1 and tumor necrosis factor-alpha synergistically mediate neurotoxicity: Involvement of nitric oxide and of N-methyl-D-aspartate receptors. Brain Behav. Immun. 1995, 9, 355–365. [Google Scholar] [CrossRef]
  10. Glass, C.K.; Saijo, K.; Winner, B.; Marchetto, M.C.; Gage, F.H. Mechanisms underlying inflammation in neurodegeneration. Cell 2010, 140, 918–934. [Google Scholar] [CrossRef]
  11. Kreutzberg, G.W. Microglia: A sensor for pathological events in the CNS. Trends Neurosci. 1996, 19, 312–318. [Google Scholar] [CrossRef]
  12. Gonzalez-Scarano, F.; Baltuch, G. Microglia as mediators of inflammatory and degenerative diseases. Annu. Rev. Neurosci. 1999, 22, 219–240. [Google Scholar] [CrossRef] [PubMed]
  13. Kim, H.S.; Whang, S.Y.; Woo, M.S.; Park, J.S.; Kim, W.K.; Han, I.O. Sodium butyrate suppresses interferon-gamma-, but not lipopolysaccharide-mediated induction of nitric oxide and tumor necrosis factor-alpha in microglia. J. Neuroimmunol. 2004, 151, 85–93. [Google Scholar] [CrossRef] [PubMed]
  14. Amin, M.; Liang, X.; Ma, X.; Dong, J.-D.; Qi, S.-H. New pyrone and cyclopentenone derivatives from marine-derived fungus Aspergillus sydowii SCSIO 00305. Nat. Prod. Res. 2019, 33, 1–9. [Google Scholar] [CrossRef] [PubMed]
  15. Schiemenz Günter, P.; Schröder, J.-M. Isolation of kosins and structure elucidation of phloracylophenones containing one phloroglucinol unit. Z. Naturforsch. B 1985, 40, 669. [Google Scholar]
  16. Pedras, M.S.C.; Morales, V.M.; Taylor, J.L. Phomaligols and phomaligadiones: New metabolites from the blackleg fungus. Tetrahedron 1993, 49, 8317–8322. [Google Scholar] [CrossRef]
  17. Singh, B.; Parshad, R.; Khajuria, R.K.; Guru, S.K.; Pathania, A.S.; Sharma, R.; Chib, R.; Aravinda, S.; Gupta, V.K.; Khan, I.A.; et al. Saccharonol B, a new cytotoxic methylated isocoumarin from Saccharomonospora azurea. Tetrahedron Lett. 2013, 54, 6695–6699. [Google Scholar] [CrossRef]
  18. Chunyu, W.-X.; Zhao, J.-Y.; Ding, Z.-G.; Han, X.-L.; Wang, Y.-X.; Ding, J.-H.; Wang, F.; Li, M.-G.; Wen, M.-L. A new cyclohexenone from the tin mine tailings-derived fungus Aspergillus flavus YIM DT 10012. Nat. Prod. Res. 2019, 33, 113–116. [Google Scholar] [CrossRef]
  19. Ohmukai, H.; Sugiyama, Y.; Hirota, A.; Kirihata, M.; Tanimori, S. Total synthesis of (S)-(+)-ent-phomapyrones B and surugapyrone B. J. Heterocycl. Chem. 2020, 57, 1090–1100. [Google Scholar] [CrossRef]
  20. Barra, L.; Barac, P.; König, G.M.; Crüsemann, M.; Dickschat, J.S. Volatiles from the fungal microbiome of the marine sponge Callyspongia cf. flammea. Org. Biomol. Chem. 2017, 15, 7411–7421. [Google Scholar] [CrossRef]
  21. Pouységu, L.; Marguerit, M.; Gagnepain, J.; Lyvinec, G.; Eatherton, A.J.; Quideau, S. Total synthesis of wasabidienones B1 and B0 via SIBX-mediated hydroxylative phenol dearomatization. Org. Lett. 2008, 10, 5211–5214. [Google Scholar] [CrossRef] [PubMed]
  22. Choi, B.-K.; Trinh, P.T.H.; Lee, H.-S.; Choi, B.-W.; Kang, J.S.; Ngoc, N.T.D.; Van, T.T.T.; Shin, H.J. New ophiobolin derivatives from the marine fungus Aspergillus flocculosus and their cytotoxicities against cancer cells. Mar. Drugs 2019, 17, 346. [Google Scholar] [CrossRef] [PubMed]
  23. Shin, H.J.; Pil, G.B.; Heo, S.-J.; Lee, H.-S.; Lee, J.S.; Lee, Y.-J.; Lee, J.; Won, H.S. Anti-inflammatory activity of tanzawaic acid derivatives from a marine-derived fungus Penicillium steckii 108YD142. Mar. Drugs 2016, 14, 14. [Google Scholar] [CrossRef] [PubMed]
  24. Choi, B.-K.; Jo, S.-H.; Choi, D.-K.; Trinh, P.T.H.; Lee, H.-S.; Cao, V.A.; Van, T.T.T.; Shin, H.J. Anti-neuroinflammatory agent, restricticin B, from the marine-derived fungus Penicillium janthinellum and its inhibitory activity on the NO production in BV-2 microglia cells. Mar. Drugs 2020, 18, 465. [Google Scholar] [CrossRef] [PubMed]
  25. Choi, B.-K.; Lee, H.-S.; Kang, J.S.; Shin, H.J. Dokdolipids, A–C, hydroxylated rhamnolipids from the marine-derived actinomycete Actinoalloteichus hymeniacidonis. Mar. Drugs 2019, 17, 237. [Google Scholar] [CrossRef] [PubMed]
Figure 1. Structures of 18 isolated from Aspergillus flocculosus.
Figure 1. Structures of 18 isolated from Aspergillus flocculosus.
Marinedrugs 19 00065 g001
Figure 2. (A) Key COSY and HMBC correlations of 1 and 2. (B) Key ROESY correlations of 1.
Figure 2. (A) Key COSY and HMBC correlations of 1 and 2. (B) Key ROESY correlations of 1.
Marinedrugs 19 00065 g002
Figure 3. Comparison of the circular dichroism (CD) curves between the experimental and calculated data of 1.
Figure 3. Comparison of the circular dichroism (CD) curves between the experimental and calculated data of 1.
Marinedrugs 19 00065 g003
Figure 4. (A) ΔS-R values in ppm of the MTPA esters of 3. (B) Assignment of absolute configuration of C-9 in 3.
Figure 4. (A) ΔS-R values in ppm of the MTPA esters of 3. (B) Assignment of absolute configuration of C-9 in 3.
Marinedrugs 19 00065 g004
Figure 5. Comparison of the optical rotation value of 4 with reference compounds.
Figure 5. Comparison of the optical rotation value of 4 with reference compounds.
Marinedrugs 19 00065 g005
Figure 6. (A) The measurements of nitrite levels in the culture media were conducted on the Griess reaction. (B) Cell viability was tested using the MTT assay. (C) The measurements of nitrite levels and (D) Cell viability of 4 were tested at a concentration of 20, 40 and 80 μM. (E) Inhibitory effects of iNOS and COX-2 protein expression by compound 4 in LPS-stimulated BV-2 cells. Values are mean ± standard error. ### p < 0.001, vs. control group and *** p < 0.001 vs. LPS-treated group.
Figure 6. (A) The measurements of nitrite levels in the culture media were conducted on the Griess reaction. (B) Cell viability was tested using the MTT assay. (C) The measurements of nitrite levels and (D) Cell viability of 4 were tested at a concentration of 20, 40 and 80 μM. (E) Inhibitory effects of iNOS and COX-2 protein expression by compound 4 in LPS-stimulated BV-2 cells. Values are mean ± standard error. ### p < 0.001, vs. control group and *** p < 0.001 vs. LPS-treated group.
Marinedrugs 19 00065 g006
Table 1. 1H and 13C NMR data for 1, 2, 3 and 4 in CD3OD (500 MHz for 1H and 125 MHz for 13C).
Table 1. 1H and 13C NMR data for 1, 2, 3 and 4 in CD3OD (500 MHz for 1H and 125 MHz for 13C).
Position1234
δH (J in Hz)δCδH (J in Hz)δCδH (J in Hz)δCδH (J in Hz)δC
1 200.2 199.7 160.4
2 84.95.31, s97.9 167.7 109.5
34.99, s 72.1 178.5 97.7 158.5
4 178.43.19, m35.8 166.4 107.5
5 114.13.74 (d, 3.5)76.76.06, s101.4 160.5
6 175.9 73.8 161.3 107.0
72.37, m40.71.23 (d, 7.0)11.22.51 (dd, 14.5, 9.5)
2.62 (dd, 14.5, 4.0)
38.5 210.7
81.46, 1.63, m26.41.35, s19.63.89, m71.23.74, m45.0
90.93 (t, 7.0)10.43.75, s55.31.42, m40.21.39, 1.76, m27.1
101.11 (d, 7.0)15.4 1.23, 1.55, m 25.50.87 (t, 7.5)10.8
114.16, s57.7 0.95 (t, 8.0)10.71.13 (d, 6.5)16.2
121.66, s4.6 0.94 (d, 7.0)12.43.67, s61.3
131.29, s18.1 1.86, s6.82.09, s7.8
14 2.02, s6.7
The assignments were aided by 1H–1H COSY, ROESY, HSQC, and HMBC NMR spectra.
Publisher’s Note: MDPI stays neutral with regard to jurisdictional claims in published maps and institutional affiliations.

Share and Cite

MDPI and ACS Style

Choi, B.-K.; Cho, D.-Y.; Choi, D.-K.; Trinh, P.T.H.; Shin, H.J. Two New Phomaligols from the Marine-Derived Fungus Aspergillus flocculosus and Their Anti-Neuroinflammatory Activity in BV-2 Microglial Cells. Mar. Drugs 2021, 19, 65. https://doi.org/10.3390/md19020065

AMA Style

Choi B-K, Cho D-Y, Choi D-K, Trinh PTH, Shin HJ. Two New Phomaligols from the Marine-Derived Fungus Aspergillus flocculosus and Their Anti-Neuroinflammatory Activity in BV-2 Microglial Cells. Marine Drugs. 2021; 19(2):65. https://doi.org/10.3390/md19020065

Chicago/Turabian Style

Choi, Byeoung-Kyu, Duk-Yeon Cho, Dong-Kug Choi, Phan Thi Hoai Trinh, and Hee Jae Shin. 2021. "Two New Phomaligols from the Marine-Derived Fungus Aspergillus flocculosus and Their Anti-Neuroinflammatory Activity in BV-2 Microglial Cells" Marine Drugs 19, no. 2: 65. https://doi.org/10.3390/md19020065

APA Style

Choi, B.-K., Cho, D.-Y., Choi, D.-K., Trinh, P. T. H., & Shin, H. J. (2021). Two New Phomaligols from the Marine-Derived Fungus Aspergillus flocculosus and Their Anti-Neuroinflammatory Activity in BV-2 Microglial Cells. Marine Drugs, 19(2), 65. https://doi.org/10.3390/md19020065

Note that from the first issue of 2016, this journal uses article numbers instead of page numbers. See further details here.

Article Metrics

Back to TopTop