Xeniaphyllane-Derived Terpenoids from Soft Coral Sinularia nanolobata
Abstract
:1. Introduction
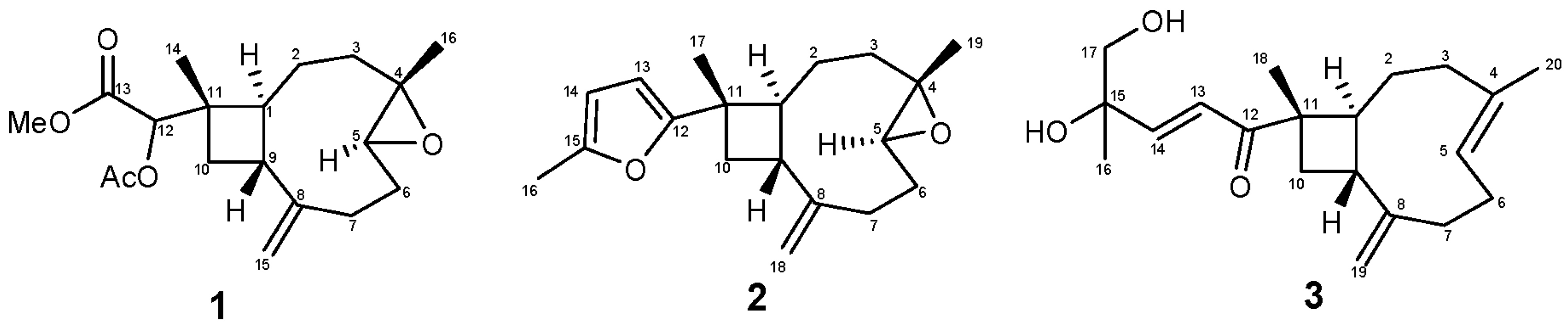
2. Results and Discussion
3. Experimental Section
3.1. General Experimental Procedures
3.2. Animal Material
3.3. Extraction and Separation
3.4. Biological Assay
4. Conclusions
Acknowledgments
Author Contributions
Conflicts of Interest
References
- Blunt, J.W.; Copp, B.R.; Keyzers, R.A.; Munro, M.H.G.; Prinsep, M.R. Marine natural products. Nat. Prod. Rep. 2017, 34, 235–294. [Google Scholar] [CrossRef] [PubMed]
 - Yamada, K.; Ujiie, T.; Yoshida, K.; Miyamoto, T.; Higuchi, R. Sinulobatins A–D, new amphilectane-type diterpenoids from the Japanese soft coral Sinularia nanolobata. Tetrahedron 1997, 53, 4569–4578. [Google Scholar] [CrossRef]
 - Ahmed, A.F.; Su, J.H.; Shiue, R.T.; Pan, X.J.; Dai, C.F.; Kuo, Y.H.; Sheu, J.H. New β-caryophyllene-derived terpenoids from the Soft Coral Sinularia nanolobata. J. Nat. Prod. 2004, 67, 592–597. [Google Scholar] [CrossRef] [PubMed]
 - Tseng, Y.J.; Wen, Z.H.; Dai, C.F.; Chiang, M.Y.; Sheu, J.H. Nanolobatolide, a New C18 metabolite from the Formosan soft coral Sinularia nanolobata. Org. Lett. 2009, 11, 5030–5032. [Google Scholar] [CrossRef] [PubMed]
 - Tseng, Y.J.; Wang, S.K.; Duh, C.-Y. Secosteroids and norcembranoids from the soft coral Sinularia nanolobata. Mar. Drugs 2013, 11, 3288–3296. [Google Scholar] [CrossRef] [PubMed]
 - Ngoc, N.T.; Huong, P.T.M.; Thanh, N.V.; Cuong, N.X.; Nam, N.H.; Thung, D.C.; Kiem, P.V.; Minh, C.V. Steroid constituents from the soft coral Sinularia nanolobata. Chem. Pharm. Bull. 2016, 64, 1417–1419. [Google Scholar] [CrossRef] [PubMed]
 - Chen, S.P.; Su, J.H.; Ahmed, A.F.; Dai, C.F.; Wu, Y.C.; Sheu, J.H. Xeniaphyllane-derived terpenoids from the Formosan soft coral Sinularia gibberosa. Chem. Pharm. Bull. 2007, 55, 1471–1475. [Google Scholar] [CrossRef] [PubMed]
 - Kel’in, A.V.; Gevorgyan, V. Efficient synthesis of 2-mono- and 2,5-disubstituted furans via the CuI-catalyzed cycloisomerization of alkynyl ketones. J. Org. Chem. 2002, 67, 95–98. [Google Scholar] [CrossRef] [PubMed]
 - Lee, Y.-S.; Duh, T.-H.; Siao, S.-S.; Chang, R.-C.; Wang, S.-K.; Duh, C.-Y. New cytotoxic terpenoids from soft corals Nephthea chabroli and Paralemnalia thyrsoides. Mar. Drugs 2017, 15, 392. [Google Scholar] [CrossRef] [PubMed]
 



| Position | δH a | (J in Hz) | δC b | Type | COSY | HMBC | NOESY | 
|---|---|---|---|---|---|---|---|
| 1 | 2.34 | m | 45.3, | CH | 2, 9 | 11, 12 | 5 | 
| 2α | 1.45 | m | 27.7, | CH2 | 1 | - | - | 
| 2β | 1.57 | m | 1, 3β | - | 9 | ||
| 3α | 1.00 | td (12.8, 4.8) | 38.4, | CH2 | 2β | 1, 4, 16 | 3β, 5 | 
| 3β | 2.09 | m | 2β | - | 3α | ||
| 4 | - | - | 59.6, | C | - | - | |
| 5 | 2.92 | dd (10.8, 4.0) | 63.8, | CH | 6β, 16 | - | 1, 3α | 
| 6α | 2.30 | m | 30.2, | CH2 | - | - | - | 
| 6β | 1.31 | m | 5 | - | 6α | ||
| 7α | 2.16 | m | 29.2, | CH2 | 6α | 6, 9 | 6β | 
| 7β | 2.32 | m | 6α | 8, 15 | - | ||
| 8 | - | - | 150.7, | C | - | - | |
| 9 | 2.71 | td (9.6, 9.2) | 48.7, | CH | 1, 10α, 10β | - | 2β, 10β, 14, 15a | 
| 10α | 1.85 | dd (10.4, 9.6) | 36.2, | CH2 | 9 | 9, 11, 12, 14 | - | 
| 10β | 1.74 | dd (10.4, 9.2) | 9 | 8 | 9, 14 | ||
| 11 | - | - | 38.3, | C | - | - | - | 
| 12 | 4.74 | s | 79.4, | CH | - | 10, 11, 13, 14, carbonyl (OAc-12) | 1, 10α | 
| 13 | - | - | 169.2, | qC | - | - | - | 
| 14 | 1.14 | s | 15.2, | CH3 | - | 1, 10, 11, 12 | 2α, 2β, 9, 10β | 
| 15a | 5.01 | s | 114.0, | CH2 | - | 7, 8, 9 | 9, 10α, 15b | 
| 15b | 4.90 | s | - | 7, 9 | 7α | ||
| 16 | 1.19 | s | 17.1, | CH3 | 5 | 3, 4, 5 | 3β, 6β, 9 | 
| OAc-12 | 2.15 | s | 20.6, | CH3 | OMe-13 | carbonyl (OAc-12) | - | 
| - | - | 170.8, | C | - | - | - | |
| OMe-13 | 3.71 | s | 51.9, | CH3 | OAc-12 | 13 | - | 
| Position | δH a | (J in Hz) | δC b | Type | COSY | HMBC | NOESY | 
|---|---|---|---|---|---|---|---|
| 1 | 2.47 | td (10.0,8.4) | 49.3, | CH | 2β, 9 | 3, 8, 9, 11, 17 | 2α, 3α, 5 | 
| 2α | 1.72 | m | 27.2, | CH2 | 3α, 3β | 1, 3, 11 | 1, 3α, 3β | 
| 2β | 1.54 | m | 1, 3α, 3β | 1 | 3β, 9 | ||
| 3α | 0.98 | td (13.2, 5.2) | 38.8, | CH2 | 2α, 2β, 19 | 2, 4, 5, 19 | 1, 2α, 5 | 
| 3β | 2.07 | dt (13.2,3.6) | 2α, 2β | - | 2α, 2β, 19 | ||
| 4 | - | - | 59.7, | C | - | - | - | 
| 5 | 2.92 | dd (10.4, 4.0) | 63.7, | CH | 6α, 6β | 3, 6 | 1, 3α, 6α | 
| 6α | 2.28 | m | 30.1, | CH2 | 5 | 4, 5, 7 | 5 | 
| 6β | 1.37 | m | 5, 7α, 7β | - | 7β | ||
| 7α | 2.44 | ddd (12.8, 8.0, 4.0) | 29.8, | CH2 | 6β | 5, 6, 8, 9 | 18b | 
| 7β | 2.17 | ddd (12.8, 8.0, 4.4) | 6α, 6β | 5, 6, 8, 9 | 9 | ||
| 8 | - | - | 151.4, | C | - | - | - | 
| 9 | 2.74 | td (9.6, 8.4) | 47.9, | CH | 1, 10α, 10β | 1, 7, 8, 10 | 2β, 7β, 10β, 18a, 19 | 
| 10α | 2.33 | dd (10.8, 9.6) | 37.8, | CH2 | 9, 10β | 9, 11, 12, 17 | 18a | 
| 10β | 1.87 | dd (10.8, 8.4) | 9, 10α | 1, 16 | 9, 10α, 17 | ||
| 11 | - | - | 36.9, | C | - | - | - | 
| 12 | - | - | 160.2, | C | - | - | - | 
| 13 | 5.83 | d (4.0) | 103.7, | CH | - | - | 17 | 
| 14 | 5.84 | dd (4.0, 0.8) | 105.8, | CH | - | - | 16 | 
| 15 | - | - | 150.6, | C | - | - | - | 
| 16 | 2.28 | d (0.8) | 13.6, | CH3 | - | 14, 15 | 14 | 
| 17 | 1.35 | s | 17.9, | CH3 | - | 1, 10, 11, 12 | 2α, 2β, 9, 13 | 
| 18a | 5.09 | s | 113.5, | CH2 | 7β | 7, 8, 9 | 9, 10α | 
| 18b | 4.93 | s | 7β | 7, 8, 9 | 7β | ||
| 19 | 1.23 | s | 17.0, | CH3 | 3 | 3, 4, 5 | 3β, 9 | 
© 2018 by the authors. Licensee MDPI, Basel, Switzerland. This article is an open access article distributed under the terms and conditions of the Creative Commons Attribution (CC BY) license (http://creativecommons.org/licenses/by/4.0/).
Share and Cite
Hsu, F.-Y.; Wang, S.-K.; Duh, C.-Y. Xeniaphyllane-Derived Terpenoids from Soft Coral Sinularia nanolobata. Mar. Drugs 2018, 16, 40. https://doi.org/10.3390/md16020040
Hsu F-Y, Wang S-K, Duh C-Y. Xeniaphyllane-Derived Terpenoids from Soft Coral Sinularia nanolobata. Marine Drugs. 2018; 16(2):40. https://doi.org/10.3390/md16020040
Chicago/Turabian StyleHsu, Fu-Yun, Shang-Kwei Wang, and Chang-Yih Duh. 2018. "Xeniaphyllane-Derived Terpenoids from Soft Coral Sinularia nanolobata" Marine Drugs 16, no. 2: 40. https://doi.org/10.3390/md16020040
APA StyleHsu, F.-Y., Wang, S.-K., & Duh, C.-Y. (2018). Xeniaphyllane-Derived Terpenoids from Soft Coral Sinularia nanolobata. Marine Drugs, 16(2), 40. https://doi.org/10.3390/md16020040
        