Current Status of Marine-Derived Compounds as Warheads in Anti-Tumor Drug Candidates
Abstract
:1. Introduction
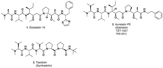
2. Dolastatin 10 and Related Structures
3. Dolastatin 15 and Variants as Warheads
4. Auristatins
4.1. Background
4.2. Antibody Drug Conjugates (General Patent Status)
4.3. Approved Monomethylauristatin-Linked ADCs (MMAE-ADC)
- Phase III: seven (six being directed against various lymphomas with multiple drug regimens, and one being a comparative trial).
- Phase II: 53 (52 against various lymphomas with 15 only studying brentuximab vedotin, 35 having a variety of other drug treatments in addition to the ADC, and one where the ADC alone is being tested against mesothelioma).
- Phase I: 28 (27 against lymphomas and leukemias, with one against mycosis fungoides/Sezary Syndrome. One trial has brentuximab vedotin as the sole agent studying Graft versus Host Disease following allogenic stem cell transplantation).
4.4. Monomethylauristatin E-Linked ADCs in Clinical Trials
4.4.1. Glembatumumab Vedotin (Phase II)
- NCT02713828: Glembatumumab Vedotin in gpNMB-Expressing, Advanced or Metastatic SCC of the Lung (PrE0504), Phases I/II.
- NCT02487979: Glembatumumab Vedotin in Treating Patients with Recurrent or Refractory Osteosarcoma, Phase II (pharmacokinetics as well).
- NCT02363283: Glembatumumab Vedotin in Treating Patients with Metastatic or Locally Recurrent Uveal Melanoma, Phase II.
- NCT02302339: A Study of Glembatumumab Vedotin as Monotherapy or in Combination with Immunotherapies in Patients with Advanced Melanoma, Phase II.
- NCT01997333: Study of Glembatumumab Vedotin (CDX-011) in Patients with Metastatic, gpNMB Over-Expressing, Triple Negative Breast Cancer (METRIC), Phase II.
4.4.2. Pinatuzumab Vedotin (RG-7593) (Phases I/II)
- NCT01691898: A Study of Pinatuzumab Vedotin (DCDT2980S) Combined with Rituximab or Polatuzumab Vedotin (DCDS4501A) Combined with Rituximab or Obinutuzumab in Participants with Relapsed or Refractory B-Cell Non-Hodgkin’s Lymphoma (ROMULUS), Phases I/II.
4.4.3. Polatuzumab Vedotin (RG-7596) (Phases I/II)
- NCT01992653: A Study of Polatuzumab Vedotin in Combination with Rituximab or Obinutuzumab, Cyclophosphamide, Doxorubicin, and Prednisone in Participants with B-Cell Non-Hodgkin’s Lymphoma, Phases I/II.
- NCT01691898: A Study of Pinatuzumab Vedotin (DCDT2980S) Combined with Rituximab or Polatuzumab Vedotin (DCDS4501A) Combined with Rituximab or Obinutuzumab in Participants with Relapsed or Refractory B-Cell Non-Hodgkin’s Lymphoma (ROMULUS), Phases I/II. (Note that this trial also includes pinatuzumab vedotin).
- NCT02729896: A Study of Obinutuzumab, Polatuzumab Vedotin, and Atezolizumab in Relapsed or Refractory Follicular Lymphoma (FL) or Diffuse Large B-Cell Lymphoma (DLBCL), Phase I (under Hofmann-LaRoche).
- NCT02611323: A Study of Obinutuzumab, Polatuzumab Vedotin, and Venetoclax in Relapsed or Refractory Follicular Lymphoma (FL) or Diffuse Large B-Cell Lymphoma (DLBCL). Phase I (under Hofmann-LaRoche).
- NCT02600897: A Study of Obinutuzumab, Polatuzumab Vedotin, and Lenalidomide in Relapsed or Refractory Follicular Lymphoma (FL) or Diffuse Large B-Cell Lymphoma (DLBCL). Phase I (under Hofmann-LaRoche).
- NCT02257567: A Study of Polatuzumab Vedotin (DCDS4501A) in Combination with Rituximab or Obinutuzumab Plus Bendamustine in Participants with Relapsed or Refractory Follicular or Diffuse Large B-Cell Lymphoma. Phase I/II (under Hofmann-LaRoche).
4.4.4. Lifastuzumab Vedotin (RG-7599; Also Known as DNIB-0600A) (Phases I/II)
- NCT01991210: A Study of DNIB0600A in Comparison with Pegylated Liposomal Doxorubicin (PLD) in Participants with Platinum-Resistant Ovarian Cancer (PROC). Phase II.
- NCT01995188: A Study to Evaluate the Safety and Pharmacology of DNIB0600A in Participants with Platinum-Sensitive Ovarian Cancer or Non-Squamous Non-Small Cell Lung Cancer. Phase I.
- NCT01363947: Safety and Pharmacokinetics of Escalating Doses of DNIB0600A in Patients with Non-Small Cell Lung Cancer and Platinum Resistant Ovarian Cancer. Phase I.
4.4.5. Tisotumab Vedotin (Phases I/II)
- NCT02552121: Tisotumab Vedotin (HuMax®-TF-ADC) Safety Study in Patients with Solid Tumors. This is a dose-escalating and cohort expansion study. Phase I/II.
- NCT02001623: Tisotumab Vedotin (HuMax®-TF-ADC) Safety Study in Patients with Solid Tumors. This is the first in human trial. Phase I/II.
4.4.6. PSMA-ADC (Phases I/II)
- NCT02020135: An Open-label Treatment Extension of PSMA ADC in Subjects with Metastatic Castration-resistant Prostate Cancer (mCRPC). Phase II: Study completed.
- NCT01856933: BrUOG 263: Prostate Specific Membrane Antigen (PSMA) Glioblastoma Multiforme (GBM). Phase II: Study completed.
- NCT01695044: A Study of PSMA ADC in Subjects with Metastatic Castration-resistant Prostate Cancer (mCRPC). Phase II: Study completed.
- NCT01414296: Prostate-specific Membrane Antigen Antibody-Drug Conjugate in Subjects with Prostate Cancer. Phase I: Study completed.
- NCT01414283: Prostate-specific Membrane Antigen Antibody-Drug Conjugate in Subjects with Prostate Cancer. Phase I: Study completed.
4.4.7. MLN-0264 (Industuzumab Vedotin) (Phases I/II)
- NCT02391038: MLN0264 in Previously Treated Asian Patients with Advanced Gastrointestinal Carcinoma or Metastatic or Recurrent Gastric or Gastroesophageal Junction Adenocarcinoma Expressing Guanylyl Cyclase C. Phase I/II: Completed.
- NCT02202785: A Study of MLN0264 in Patients with Pancreatic Cancer. Continuing but not recruiting. Phase II: Final date for data collection is May 2018.
- NCT02202759: A Study of MLN0264 in Patients with Cancer of the Stomach or Gastroesophageal Junction. Continuing but not recruiting. Phase II: Final date for data collection is September 2018.
- NCT01577758: Study of MLN0264 in Adult Patients with Advanced Gastrointestinal Malignancies Expressing Guanylyl Cyclase C. Phase I: The study was completed in February 2014.
4.4.8. DEDN-6256A (RG-7636) (Phase I)
- NCT01522664: A Study of DEDN6526A in Patients with Metastatic or Unresectable Melanoma. Phase I: The study is completed.
4.4.9. DMOT-4039A (Phase I)
- NCT01832116: 89Zr-MMOT PET Imaging in Pancreatic and Ovarian Cancer Patients (MMOT). Phase I: Completed with data published [33].
- NCT01469793: A Study of DMOT4039A in Participants with Unresectable Pancreatic or Platinum-Resistant Ovarian Cancer. Phase I: Completed with a paper covering the results published in 2016 [34].
4.4.10. Enfortumab Vedotin (Phase I)
- NCT02091999: A Study of Escalating Doses of ASG-22CE Given as Monotherapy in Subjects with Metastatic Urothelial Cancer and Other Malignant Solid Tumors That Express Nectin-4. Phase I.
- NCT01409135: A Study of the Safety and Pharmacokinetics of ASG-22M6E in Subjects with Malignant Solid Tumors That Express Nectin-4. Phase I.
4.4.11. Telisotuzumab Vedotin (Phase I)
- NCT02099058: A Phase I/Ib Study with ABBV-399, an Antibody Drug Conjugate, in Subjects with Advanced Solid Cancer Tumors. Phase I.
4.4.12. DLYE5953A (Phase I)
- NCT02092792: A Study Evaluating the Safety of Escalating Doses of DLYE5953A in Patients with Refractory Solid Tumors. Phase I: This trial is still continuing but not recruiting after November 2016.
4.4.13. SGN-LIV1A (Phase I)
- NCT01969643: A Safety Study of SGN-LIV1A in Breast Cancer Patients. Phase I.
4.4.14. ASG-15E/15ME (Phase I)
- NCT01963052: ASG-15ME is a Study of Escalating Doses of AGS15E Given as Monotherapy in Subjects with Metastatic Urothelial Cancer. Phase I.
4.4.15. AGS-67E (Phase I)
- NCT02610062: A Study to Evaluate Safety, Tolerability, and Pharmacokinetics of Escalating Doses of AGS67E Given as Monotherapy in Subjects with Acute Myeloid Leukemia (AML). Phase I: This trial is actively recruiting.
- NCT02175433: A Study to Evaluate Safety, Tolerability, and Pharmacokinetics of Escalating Doses of AGS67E Given as Monotherapy in Subjects with Refractory or Relapsed Lymphoid Malignancies. Phase I: This trial is actively recruiting.
4.4.16. ASG-5ME (Phase I)
- NCT01228760: A Study to Determine the Maximum Tolerated Dose of ASG-5ME in Subjects with Castration-Resistant Prostate Cancer. Phase I: Completed.
- NCT01166490: Dose Escalation Trial of ASG-5ME in Pancreatic or Gastric Adenocarcinoma. Phase I: Completed.
4.4.17. DMUC-5754A (Sofituzumab Vedotin) (Phase I)
- NCT01335958: Safety and Pharmacokinetics of DMUC5754A Administered Intravenously to Patients with Platinum-Resistant Ovarian Cancer or Unresectable Pancreatic Cancer. Phase I: Completed and details published [42].
4.4.18. RG7450 (Vandortuzumab Vedotin) (Phase I)
- NCT01283373: A Study of the Safety and Pharmacokinetics of Escalating Doses of DSTP3086S in Patients with Metastatic Castration-Resistant Prostate Cancer. Phase I: This trial was completed but no information on further work has been available since early 2016.
4.4.19. DFRF4539A (Phase I)
- NCT01432353: A Study of DFRF4539A in Patients with Relapsed or Refractory Multiple Myeloma. Phase I
4.5. Monomethylauristatin F-Linked ADCs in Clinical Trials
4.5.1. Denintuzumab Mafodotin (SGN-CD19A) (Phases I/II)
- NCT02855359: Denintuzumab Mafodotin (SGN-CD19A) Combined with RCHOP or RCHP versus RCHOP Alone in Diffuse Large B-Cell Lymphoma or Follicular Lymphoma. Phase II (recruiting).
- NCT02592876: Treatment Study of Denintuzumab Mafodotin (SGN-CD19A) Plus RICE Versus RICE Alone for Diffuse Large B-Cell Lymphoma. Phase II (recruiting).
- NCT01786135: A Safety Study of SGN-CD19A for B-Cell Lymphoma. Phase I: Study ongoing but not recruiting.
- NCT01786096: A Safety Study of SGN-CD19A for Leukemia and Lymphoma. Phase I: Study ongoing but not recruiting.
4.5.2. AGS-16C3F (Phases I/II)
- NCT02639182: A Study of AGS-16C3F vs. Axitinib in Metastatic Renal Cell Carcinoma. Phase II: Actively recruiting patients.
- NCT01672755: A Study of AGS-16C3F vs. Axitinib in Metastatic Renal Cell Carcinoma Phase I: Ongoing but no further recruitment.
4.5.3. Depatuxizumab Mafodotin (Phases I/II)
- NCT2573324: A Study of ABT-414 in Subjects with Newly Diagnosed Glioblastoma (GBM) with Epidermal Growth Factor Receptor (EGFR) Amplification (Intellance 1). Phase II: Study currently recruiting.
- NCI02343406: Adult Study: ABT-414 Alone or ABT-414 Plus Temozolomide vs. Lomustine or Temozolomide for Recurrent Glioblastoma Pediatric Study: Evaluation of ABT-414 in Children with High Grade Gliomas (INTELLANCE 2). Phase II: Currently recruiting patients.
- NCT02590263: Study Evaluating ABT-414 in Japanese Subjects with Malignant Glioma. Phase I: Currently recruiting.
- NCT01800695: Evaluating the Safety and Pharmacokinetics of ABT-414 for Subjects with Glioblastoma Multiforme. Phase I: Ongoing but not recruiting.
- NCT01741727: A Study of ABT-414 in Subjects with Solid Tumors. Phase I/II: Study completed.
4.5.4. PF-06263507 (Phase I)
- NCT01891669: A Study of PF-06263507 in Patients with Advanced Solid Tumors Phase I.
4.5.5. GSK-2857916 (Phase I)
- NCT02064387: Dose Escalation Study to Investigate the Safety, Pharmacokinetics, Pharmacodynamics, Immunogenicity and Clinical Activity of GSK2857916. Phase I.
4.5.6. MEDI-547 (1C1-mcMMAF)
- NCT00796055: Study of MEDI-547 to Evaluate the Safety, Tolerability, and Biologic Activity of IV Administration in Subjects with Relapsed or Refractory Solid Tumors (MEDI-54). Phase I: Discontinued (see above).
4.5.7. XMT-1522 (Phase I)
- NCT02952729: Study of Antibody Drug Conjugate in Patients with Advanced Breast Cancer Expressing HER2. Phase I: This trial is currently recruiting patients.
4.6. Clinical Trials with Auristatin Derivatives Other Than MMAE or MMAF
4.6.1. Amberstatin 269
ARX-788 (Phase I)
- NCT02512237: A Dose-escalation Study of ARX788, IV Administered in Subjects with Advanced Cancers with HER2 Expression. Phase I: This trial is currently recruiting patients.
4.6.2. Auristatin W
BAY-1129980 (Lupatumab Amadotin)
- NCT02134197: Dose-escalation Study of BAY1129980 Phase I: Currently recruiting patients.
BAY-1187982 (Phase I)
- NCT02368951: Dose-escalation Trial of BAY1187982 in Subjects with Advanced Solid Tumors Known to Express Fibroblast Growth Factor Receptor 2 (FGFR2). Phase I: As of August 2016 the trial was terminated, with no details yet available
4.6.3. Auristatin-0101
PF06647020 (Phase I)
- NCT02222922: A Study of PF-06647020 for Adult Patients with Advanced Solid Tumors. Phase I: This trial is actively recruiting patients.
5. Preclinical Candidates
5.1. Preclinical Auristatin Derivatives
5.1.1. SGN-CD48A (Preclinical)
5.1.2. HTI-1511 (Preclinical)
5.1.3. mAbs 7-1C-mc-MMAF/mAbs 67-7A-mc-MMAF (Preclinical)
5.1.4. ASN-004 (Preclinical)
5.1.5. ZV-0201 (Preclinical)
5.1.6. Duostatin 3 (Preclinical)
5.2. Preclinical Candidates Not Auristatin Based
5.2.1. NC-6201 (Preclinical)
5.2.2. MI130004 (Preclinical)
6. A Potential Warhead Compound
DZ-2384 (Preclinical)
7. Conclusions
Conflicts of Interest
References
- Newman, D.J.; Cragg, G.M. Marine-sourced anti-cancer and cancer pain control agents in clinical and late preclinical development. Mar. Drugs 2014, 12, 255–278. [Google Scholar] [PubMed]
- Newman, D.J.; Cragg, G.M. Drugs and drug candidates from marine sources: An assessment of the current “state of play”. Planta Med. 2016, 82, 775–789. [Google Scholar] [CrossRef] [PubMed]
- Pettit, G.R.; Kamano, Y.; Herald, C.L.; Tuinman, A.A.; Boettner, F.E.; Kizu, H.; Schmidt, J.M.; Baczynskyj, L.; Tomer, K.B.; Bontems, R.J. The isolation and structure of a remarkable marine animal antineoplastic constituent: Dolastatin 10. J. Am. Chem. Soc. 1987, 109, 6883–6885. [Google Scholar]
- Pettit, G.R. The dolastatins. In Fortschritte der Chemie Organischer Naturstoffe; Progress in the Chemistry of Organic Natural Products; Herz, W., Kirby, G.W., Moore, R.E., Steglich, W., Tamm, C., Eds.; Springer: Vienna, Austria, 1997; Volume 70, pp. 1–79. [Google Scholar]
- Flahive, E.; Srirangam, J. The dolastatins. In Anticancer Agents from Natural Products, 2nd ed.; Cragg, G.M., Kingston, D.G.I., Newman, D.J., Eds.; Taylor and Francis: Boca Raton, FL, USA, 2011; pp. 263–290. [Google Scholar]
- Pettit, G.R.; Srirangam, J.K.; Barkoczy, J.; Williams, M.D.; Durkin, K.P.; Boyd, M.R.; Bai, R.; Hamel, E.; Schmidt, J.M.; Chapuis, J.C. Antineoplastic agents 337. Synthesis of dolastatin 10 structural modifications. Anticancer Drug Des. 1995, 10, 529–544. [Google Scholar] [PubMed]
- Pettit, G.R.; Srirangam, J.K.; Barkoczy, J.; Williams, M.D.; Boyd, M.R.; Hamel, E.; Pettit, R.K.; Hogan, F.; Bai, R.; Chapuis, J.-C.; et al. Antineoplastic agents 365. Dolastatin 10 sar probes. AntiCancer Drug Des. 1998, 13, 243–277. [Google Scholar] [PubMed]
- Pettit, G.R.; Barkoczy, J.; Kantoci, D. Human Cancer Inhibitory Pentapeptide Amides. EP Patent 0611775 A2, 25 April 1995. [Google Scholar]
- Madden, T.; Tran, H.T.; Beck, D.; Huie, R.; Newman, R.A.; Pusztai, L.; Wright, J.J.; Abbruzzese, J.L. Novel marine-derived anticancer agents: A phase I clinical, pharmacological, and pharmacodynamic study of dolastatin 10 (NSC 376128) in patients with advanced solid tumors. Clin. Cancer Res. 2000, 6, 1293–1301. [Google Scholar] [PubMed]
- Vaishampayan, U.; Glode, M.; Du, W.; Kraft, A.; Hudes, G.; Wright, J.; Hussain, M. Phase II study of dolastatin-10 in patients with hormone-refractory metastatic prostate adenocarcinoma. Clin. Cancer Res. 2000, 6, 4205–4208. [Google Scholar] [PubMed]
- Perez, E.A.; Hillman, D.W.; Fishkin, P.A.; Krook, J.E.; Tan, W.W.; Kuriakose, P.A.; Alberts, S.R.; Dakhil, S.R. Phase II trial of dolastatin-10 in patients with advanced breast cancer. Investig. New Drugs 2005, 23, 257–261. [Google Scholar]
- Gianolio, D.A.; Rouleau, C.; Bauta, W.E.; Lovett, D.; Cantrell, W.R., Jr.; Recio, A., III; Wolstenholme-Hogg, P.; Busch, M.; Pan, P.; Stefano, J.E.; et al. Targeting her2-positive cancer with dolastatin 15 derivatives conjugated to trastuzumab, novel antibody-drug conjugates. Cancer Chemother. Pharmacol. 2012, 70, 439–449. [Google Scholar] [PubMed]
- Pettit, G.R.; Flahive, E.J.; Boyd, M.R.; Bai, R.; Hamel, E.; Pettit, R.K.; Schmidt, J.M. Antineoplastic agents 360. Synthesis and cancer cell growth inhibitory studies of dolastatin 15 structural modifications. Anticancer Drug Des. 1998, 13, 47–66. [Google Scholar] [PubMed]
- Pettit, G.R.; Hogan, F.; Toms, S. Antineoplastic agents. 592. Highly effective cancer cell growth inhibitory structural modifications of dolastatin 10. J. Nat. Prod. 2011, 74, 962–968. [Google Scholar] [CrossRef] [PubMed]
- Storz, U. Antibody-drug conjugates: Intellectual property considerations. mAbs 2015, 7, 989–1009. [Google Scholar] [CrossRef] [PubMed]
- Doronina, S.; Senter, P.D.; Toki, B.E. Pentapeptide Compounds and Uses Related Thereto. WO Patent 200288172, 7 November 2002. [Google Scholar]
- Doronina, S.O.; Toki, B.E.; Torgov, M.Y.; Mendelsohn, B.A.; Cerveny, C.G.; Chace, D.F.; DeBlanc, R.L.; Gearing, R.P.; Bovee, T.D.; Siegall, C.B.; et al. Development of potent monoclonal antibody auristatin conjugates for cancer therapy. Nat. Biotechnol. 2003, 21, 778–784. [Google Scholar] [CrossRef] [PubMed]
- Dorywalska, M.; Strop, P.; Melton-Witt, J.A.; Hasa-Moreno, A.; Farias, S.E.; Casas, M.G.; Delaria, K.; Lui, V.; Poulsen, K.; Sutton, J.; et al. Site-dependent degradation of a non-cleavable auristatin-based linker-payload in rodent plasma and its effect on adc efficacy. PLoS ONE 2015, 10, e0132282. [Google Scholar] [CrossRef] [PubMed]
- Dorywalska, M.; Strop, P.; Melton-Witt, J.A.; Hasa-Moreno, A.; Farias, S.E.; Casas, M.G.; Delaria, K.; Lui, V.; Poulsen, K.; Loo, C.; et al. Effect of attachment site on stability of cleavable antibody drug conjugates. Bioconj. Chem. 2015, 26, 650–659. [Google Scholar] [CrossRef] [PubMed]
- Strop, P.; Liu, S.-H.; Dorywalska, M.; Delaria, K.; Dushin, R.G.; Tran, T.-T.; Ho, W.-H.; Farias, S.; Casas, M.G.; Abdiche, Y.; et al. Location matters: Site of conjugation modulates stability and pharmacokinetics of antibody drug conjugates. Chem. Biol. 2013, 20, 161–167. [Google Scholar] [CrossRef] [PubMed]
- Senter, P.D.; Sievers, E.L. The discovery and development of brentuximab vedotin for use in relapsed hodgkin lymphoma and systemic anaplastic large cell lymphoma. Nat. Biotechnol. 2012, 30, 631–637. [Google Scholar] [CrossRef] [PubMed]
- Flerlage, J.E.; Metzger, M.L.; Wu, J.; Panetta, J.C. Pharmacokinetics, immunogenicity, and safety of weekly dosing of brentuximab vedotin in pediatric patients with Hodgkin lymphoma. Cancer Chemother. Pharmacol. 2016, 78, 1217–1223. [Google Scholar] [PubMed]
- Roth, M.; Barris, D.M.; Piperdi, S.; Kuo, V.; Everts, S.; Geller, D.; Houghton, P.; Kolb, E.A.; Hawthorne, T.; Gill, J.; et al. Targeting glycoprotein nmb with antibody-drug conjugate, glembatumumab vedotin, for the treatment of osteosarcoma. Pediatr. Blood Cancer 2016, 63, 32–38. [Google Scholar] [CrossRef] [PubMed]
- Breij, E.C.W.; Satijn, D.; Verploegen, S.; de Goeij, B.E.; Schuurhuis, D.H.; Bleeker, W.K.; Houtkamp, M.; Parren, P.W. Use of an antibody-drug conjugate targeting tissue factor to induce complete tumor regression in xenograft models with heterogeneous target expression. J. Clin. Oncol. 2013, 31, 3066. [Google Scholar]
- Breij, E.C.W.; de Goeij, B.E.C.G.; Verploegen, S.; Schuurhuis, D.H.; Amirkhosravi, A.; Francis, J.; Miller, V.B.; Houtkamp, M.; Bleeker, W.K.; Satijn, D.; et al. An antibody-drug conjugate that targets tissue factor exhibits potent therapeutic activity against a broad range of solid tumors. Cancer Res. 2014, 74, 1214–1226. [Google Scholar] [PubMed]
- Breij, E.C.W.; Verploegen, S.; Lingnau, A.; van den Brink, E.N.; Janmaat, M.; Houtkamp, M.; Bleeker, W.K.; Satijn, D.; Parren, P. Preclinical efficacy studies using Humax-AXL-ADC, a novel antibody-drug conjugate targeting AXL-expressing solid cancers. J. Clin. Oncol. 2015, 33. Abst. 3066. [Google Scholar]
- Wang, X.; Ma, D.; Olson, W.C.; Heston, W.D. In Vitro and In Vivo responses of advanced prostate tumors to PSMA ADC, an auristatin-conjugated antibody to prostate-specific membrane antigen. Mol. Cancer Ther. 2011, 10, 1728–1739. [Google Scholar] [CrossRef] [PubMed]
- Donaghy, H. Effects of antibody, drug and linker on the preclinical and clinical toxicities of antibody-drug conjugates. mAbs 2016, 8, 659–671. [Google Scholar] [CrossRef] [PubMed]
- Thomas, A.; Teicher, B.A.; Hassan, R. Antibody-drug conjugates for cancer therapy. Lancet Oncol. 2016, 17, e254–e262. [Google Scholar] [PubMed]
- Infante, J.R.; Sandhu, S.K.; McNeil, C.M.; Kabbarah, O.; Li, C.; Zhong, W.; Asundi, J.; Wood, K.; Chu, Y.; Hamid, O. A first-in-human phase I study of the safety and pharmacokinetic (PK) activity of DEDN6526A, an anti-endothelin b receptor (etbr) antibody-drug conjugate (adc), in patients with metastatic or unresectable melanoma. Cancer Res. 2014, 74. Abst. CT233. [Google Scholar] [CrossRef]
- Zhao, X.Y.; Subramanyam, B.; Sarapa, N.; Golfier, S.; Dinter, H. Novel antibody therapeutics targeting mesothelin in solid tumors. Clin. Cancer Drugs 2016, 3, 76–86. [Google Scholar] [CrossRef] [PubMed]
- Hassan, R.; Thomas, A.; Alewine, C.; Le, D.T.; Jaffee, E.M.; Pastan, I. Mesothelin immunotherapy for cancer: Ready for prime time? J. Clin. Oncol. 2016, 34, 4171–4179. [Google Scholar] [CrossRef] [PubMed]
- Lamberts, L.E.; Menke-van der Houven van Oordt, C.W.; ter Weele, E.J.; Bensch, F.; Smeenk, M.M.; Voortman, J.; Hoekstra, O.S.; Williams, S.P.; Fine, B.M.; Maslyar, D.; et al. Immunopet with anti-mesothelin antibody in patients with pancreatic and ovarian cancer before anti-mesothelin antibody-drug conjugate treatment. Clin. Cancer Res. 2016, 22, 1642–1652. [Google Scholar] [CrossRef] [PubMed]
- Weekes, C.D.; Lamberts, L.E.; Borad, M.J.; Voortman, J.; McWilliams, R.R.; Diamond, J.R.; de Vries, E.G.; Verheul, H.M.; Lieu, C.H.; Kim, G.P.; et al. Phase I study of DMOT4039A, an antibody-drug conjugate targeting mesothelin, in patients with unresectable pancreatic or platinum-resistant ovarian cancer. Mol. Cancer Ther. 2016, 15, 439–447. [Google Scholar] [PubMed]
- Challita-Eid, P.M.; Satpayev, D.; Yang, P.; An, Z.; Morrison, K.; Shostak, Y.; Raitano, A.; Nadell, R.; Liu, W.; Lortie, D.R.; et al. Enfortumab vedotin antibody-drug conjugate targeting nectin-4 is a highly potent therapeutic agent in multiple preclinical cancer models. Cancer Res. 2016, 76, 3003–3013. [Google Scholar] [CrossRef] [PubMed]
- Wang, J.; Anderson, M.G.; Oleksijew, A.; Vaidya, K.S.; Boghaert, E.R.; Tucker, L.; Zhang, Q.; Han, E.K.; Palma, J.P.; Naumovski, L.; et al. Abbv-399, a c-met antibody-drug conjugate that targets both met-amplified and c-met-overexpressing tumors, irrespective of met pathway dependence. Clin. Cancer Res 2017, 23, 992–1000. [Google Scholar] [CrossRef] [PubMed]
- Sussman, D.; Smith, L.M.; Anderson, M.E.; Duniho, S.; Hunter, J.H.; Kostner, H.; Miyamoto, J.B.; Nesterova, A.; Westendorf, L.; Van Epps, H.A.; et al. SGN-LIV IA: A novel antibody-drug conjugate targeting liv-1 for the treatment of metastatic breast cancer. Mol. Cancer Ther. 2014, 13, 2991–3000. [Google Scholar] [CrossRef] [PubMed]
- Morrison, K.; Challita-Eid, P.M.; Raitano, A.; An, Z.; Yang, P.; Abad, J.D.; Liu, W.; Lortie, D.R.; Snyder, J.T.; Capo, L.; et al. Development of ASG-15ME, a novel antibody-drug conjugate targeting SLITRK6, a new urothelial cancer biomarker. Mol. Cancer Ther. 2016, 15, 1301–1310. [Google Scholar] [PubMed]
- Pereira, D.S.; Guevara, C.I.; Jin, L.; Mbong, N.; Verlinsky, A.; Hsu, S.J.; Aviña, H.; Karki, S.; Abad, J.D.; Yang, P.; et al. AGS67E, an anti-CD37 monomethyl auristatin E antibody-drug conjugate as a potential therapeutic for B/T-cell malignancies and AML: A new role for CD37 in AML. Mol. Cancer Ther. 2015, 14, 1650–1660. [Google Scholar] [PubMed]
- Mattie, M.; Raitano, A.; Morrison, K.; An, Z.; Capo, L.; Verlinsky, A.; Leavitt, M.; Ou, J.; Nadell, R.; Aviña, H.; et al. The discovery and preclinical development of ASG-5ME, an antibody-drug conjugate targeting SLC44A4-positive epithelial tumors including pancreatic and prostate cancer. Mol. Cancer Ther. 2016, 15, 2679–2687. [Google Scholar] [CrossRef] [PubMed]
- Coveler, A.L.; Ko, A.H.; Catenacci, D.V.; Von Hoff, D.; Becerra, C.; Whiting, N.C.; Yang, J.; Wolpin, B. A phase 1 clinical trial of asg-5me, a novel drug-antibody conjugate targeting SLC44A4, in patients with advanced pancreatic and gastric cancers. Invest. New Drugs 2016, 34, 319–328. [Google Scholar] [CrossRef] [PubMed]
- Liu, J.F.; Moore, K.N.; Birrer, M.J.; Berlin, S.; Matulonis, U.A.; Infante, J.R.; Wolpin, B.; Poon, K.A.; Firestein, R.; Xu, J.; et al. Phase I study of safety and pharmacokinetics of the anti-muc16 antibody-drug conjugate DMUC5754A in patients with platinum-resistant ovarian cancer or unresectable pancreatic cancer. Ann. Oncol. 2016, 27, 2124–2130. [Google Scholar] [CrossRef] [PubMed]
- Boswell, C.A.; Mundo, E.E.; Zhang, C.; Bumbaca, D.; Valle, N.R.; Kozak, K.R.; Fourie, A.; Chuh, J.; Koppada, N.; Saad, O.; et al. Impact of drug conjugation on pharmacokinetics and tissue distribution of anti-STEAP1 antibody-drug conjugates in rats. Bioconjug. Chem. 2011, 22, 1994–2004. [Google Scholar] [CrossRef] [PubMed]
- Thomas, L.J.; Vitale, L.; O’Neill, T.; Dolnick, R.Y.; Wallace, P.K.; Minderman, H.; Gergel, L.E.; Forsberg, E.M.; Boyer, J.M.; Storey, J.R.; et al. Development of a novel antibody-drug conjugate for the potential treatment of ovarian, lung, and renal cell carcinoma expressing tim-1. Mol. Cancer Ther. 2016, 15, 2946–2954. [Google Scholar] [CrossRef] [PubMed]
- Gajdosik, Z. Depatuxizumab mafodotin. Anti-egfr antibody-drug conjugate, treatment of glioblastoma multiforme. Drugs Future 2016, 41, 217–220. [Google Scholar]
- Phillips, A.C.; Boghaert, E.R.; Vaidya, K.S.; Mitten, M.J.; Norvell, S.; Falls, H.D.; DeVries, P.J.; Cheng, D.; Meulbroek, J.A.; Buchanan, F.G.; et al. ABT-414, an antibody-drug conjugate targeting a tumor-selective EGFR epitope. Mol. Cancer Ther. 2016, 15, 661–669. [Google Scholar] [CrossRef] [PubMed]
- Shah, D.K.; King, L.E.; Han, X.; Wentland, J.A.; Zhang, Y.; Lucas, J.; Haddish-Berhane, N.; Betts, A.; Leal, M. A priori prediction of tumor payload concentrations: Preclinical case study with an auristatin-based anti-5T4 antibody-drug conjugate. AAPS J. 2014, 16, 452–463. [Google Scholar] [CrossRef] [PubMed]
- Shapiro, G.I.; Vaishampayan, U.N.; LoRusso, P.; Barton, J.; Hua, S.; Reich, S.D.; Shazer, R.; Taylor, C.T.; Xuan, D.; Borghaei, H. First-in-human trial of an anti-5T4 antibody-monomethylauristatin conjugate, PF-06263507, in patients with advanced solid tumors. Investig. New Drugs 2017, 35, 1–9. [Google Scholar] [CrossRef] [PubMed]
- Van Rhee, F. Engineering more efficacious antibody therapy for myeloma. Blood 2014, 123, 3062–3063. [Google Scholar] [CrossRef] [PubMed]
- Tai, Y.-T.; Mayes, P.A.; Acharya, C.; Zhong, M.Y.; Cea, M.; Cagnetta, A.; Craigen, J.; Yates, J.; Gliddon, L.; Fieles, W.; et al. Novel anti-B-cell maturation antigen antibody-drug conjugate (GSK2857916) selectively induces killing of multiple myeloma. Blood 2014, 123, 3128–3138. [Google Scholar] [CrossRef] [PubMed]
- De Goeij, B.E.C.G.; Lambert, J.M. New developments for antibody-drug conjugate-based therapeutic approaches. Curr. Opin. Immunol. 2016, 40, 14–23. [Google Scholar] [CrossRef] [PubMed]
- Sommer, A.; Kopitz, C.; Schatz, C.A.; Nising, C.F.; Mahlert, C.; Lerchen, H.G.; Stelte-Ludwig, B.; Hammer, S.; Greven, S.; Schuhmacher, J.; et al. Preclinical efficacy of the auristatin-based antibody-drug conjugate BAY 1187982 for the treatment of FGFR2-positive solid tumors. Cancer Res. 2016, 76, 6331–6339. [Google Scholar] [CrossRef] [PubMed]
- Maderna, A.; Doroski, M.; Subramanyam, C.; Porte, A.; Leverett, C.A.; Vetelino, B.C.; Chen, Z.; Risley, H.; Parris, K.; Pandit, J.; et al. Discovery of cytotoxic dolastatin 10 analogues with N-terminal modifications. J. Med. Chem. 2014, 57, 10527–10543. [Google Scholar] [CrossRef] [PubMed]
- Lewis, T.S.; Olson, D.; Gordon, K.; Sandall, S.; Quick, M.; Finn, M.; Westendorf, W.; Linares, G.; Leiske, C.; Nesterova, A.; et al. SGN-CD48A: A novel humanized anti-CD48 antibody-drug conjugate for the treatment of multiple myeloma. Blood 2016, 128. Abst. 4470. [Google Scholar]
- Huang, L.; Veneziale, B.; Frigerio, M.; Badescu, G.; Li, X.; Zhao, Q.; Bahn, J.; Souratha, J.; Osgood, R.; Zhao, C.; et al. Preclinical evaluation of a next-generation, EGFR targeting ADC that promotes regression in kras or braf mutant tumors. Cancer Res. 2016, 76. Abst. 1217. [Google Scholar]
- Kim, S.Y.; Theunissen, J.-W.; Balibalos, J.; Liao-Chan, S.; Babcock, M.C.; Wong, T.; Cairns, B.; Gonzalez, D.; van der Horst, E.H.; Perez, M.; et al. A novel antibody-drug conjugate targeting SAIL for the treatment of hematologic malignancies. Blood Cancer J. 2015, 5, e316. [Google Scholar] [CrossRef] [PubMed]
- Smith, R.A.; Damle, N.K.; Reddy, S.P.; Yurkovetskiy, A.; Bodyak, N.; Yin, M.; Gumerov, D.; Ter-Ovanesyan, E.; Qin, L.; Park, P.U.; et al. ASN004, a novel 5T-targeted dolaflexin™ antibody drug conjugate, causes complete regression in multiple solid tumor models. Cancer Res. 2015, 75. Abst. 1693. [Google Scholar] [CrossRef]
- Miao, Z.; Hong, Y.; Zhu, T.; Chucholoski, A.W. Drug-Conjugates, Conjugation Methods and Uses Thereof. U.S. Patent US2015/0105539 A1, 16 April 2015. [Google Scholar]
- De Goeij, B.E.C.G.; Satijn, D.; Freitag, C.M.; Wubbolts, R.; Bleeker, W.K.; Khasanov, A.; Zhu, T.; Chen, G.; Miao, D.; van Berkel, P.H.C.; et al. High turnover of tissue factor enables efficient intracellular delivery of antibody-drug conjugates. Mol. Cancer Ther. 2015, 14, 1130–1140. [Google Scholar] [CrossRef] [PubMed]
- Kuznetsov, G.; TenDyke, K.; Towle, M.J.; Cheng, H.; Liu, J.; Marsh, J.P.; Schiller, S.E.; Spyvee, M.R.; Yang, H.; Seletsky, B.M.; et al. Tubulin-based antimitotic mechanism of e7974, a novel analogue of the marine sponge natural product hemiasterlin. Mol. Cancer Ther. 2009, 8, 2852–2860. [Google Scholar] [CrossRef] [PubMed]
- Aviles, P.M.; Guillen, M.J.; Dominguez, J.M.; Muñoz-Alonso, M.J.; Garcia-Fernandez, L.F.; Garranzo, M.; Martinez, V.; Francesch, A.; Munt, S.; Galmarini, C.M.; et al. MI130004, an antibody–drug conjugate including a novel payload of marine origin: Evidences of in vivo activity. Eur. J. Cancer 2014, 50, 164, (Abst. 502). [Google Scholar] [CrossRef]
- Aviles, P.; Guillen, M.J.; Dominguez, J.M.; Galmarini, C.M.; Cuevas, C. MI130004, a new ADC with a payload of marine origin shows outstanding activity against her2-expressing tumors. Mol. Cancer Ther. 2015, 14. Abst. A147. [Google Scholar]
- Aviles, P.M.; Guillen, M.J.J.; Gallardo, A.; Cespedes, M.V.; Mangues, R.; Fiebig, H.; Hartman, N.; Dominguez, J.M.; Garcia, L.F.; Galmarini, C.; et al. MI130004, a new antibody-drug conjugate, induces strong, long-lasting antitumor effect in her2 expressing breast tumor models. Cancer Res. 2015, 75. Abst. 2480. [Google Scholar] [CrossRef]
- Ding, H.; DeRoy, P.L.; Perreault, C.; Larivee, A.; Siddiqui, A.; Caldwell, C.G.; Harran, S.; Harran, P.G. Electrolytic macrocyclizations: Scalable synthesis of a diazonamide-based drug development candidate. Angew. Chem. Int. Ed. 2015, 54, 4818–4822. [Google Scholar] [CrossRef] [PubMed]
- Wieczorek, M.; Tcherkezian, J.; Bernier, C.; Prota, A.E.; Chaaban, S.; Rolland, Y.; Godbout, C.; Hancock, M.A.; Arezzo, J.C.; Ocal, O.; et al. The synthetic diazonamide DZ-2384 has distinct effects on microtubule curvature and dynamics without neurotoxicity. Sci. Transl. Med. 2016, 8, 365ra159. [Google Scholar] [PubMed]





© 2017 by the authors. Licensee MDPI, Basel, Switzerland. This article is an open access article distributed under the terms and conditions of the Creative Commons Attribution (CC BY) license (http://creativecommons.org/licenses/by/4.0/).
Share and Cite
Newman, D.J.; Cragg, G.M. Current Status of Marine-Derived Compounds as Warheads in Anti-Tumor Drug Candidates. Mar. Drugs 2017, 15, 99. https://doi.org/10.3390/md15040099
Newman DJ, Cragg GM. Current Status of Marine-Derived Compounds as Warheads in Anti-Tumor Drug Candidates. Marine Drugs. 2017; 15(4):99. https://doi.org/10.3390/md15040099
Chicago/Turabian StyleNewman, David J., and Gordon M. Cragg. 2017. "Current Status of Marine-Derived Compounds as Warheads in Anti-Tumor Drug Candidates" Marine Drugs 15, no. 4: 99. https://doi.org/10.3390/md15040099
APA StyleNewman, D. J., & Cragg, G. M. (2017). Current Status of Marine-Derived Compounds as Warheads in Anti-Tumor Drug Candidates. Marine Drugs, 15(4), 99. https://doi.org/10.3390/md15040099
