Next Article in Journal
A Sulfated-Polysaccharide Fraction from Seaweed Gracilaria birdiae Prevents Naproxen-Induced Gastrointestinal Damage in Rats
Previous Article in Journal
Induction of Apoptosis, G0/G1 Phase Arrest and Microtubule Disassembly in K562 Leukemia Cells by Mere15, a Novel Polypeptide from Meretrix meretrix Linnaeus
 
 
Font Type:
Arial Georgia Verdana
Font Size:
Aa Aa Aa
Line Spacing:
Column Width:
Background:
Article

seco-Briarellinone and Briarellin S, Two New Eunicellin-Based Diterpenoids from the Panamanian Octocoral Briareum asbestinum

by
José Félix Gómez-Reyes
1,2,
Ana Salazar
1,
Héctor M. Guzmán
3,
Yisett González
4,
Patricia L. Fernández
4,
Armando Ariza-Castolo
2 and
Marcelino Gutiérrez
1,*
1
Center for Drug Discovery and Biodiversity, Institute for Scientific Research and Technology Services (INDICASAT), Clayton, City of Knowledge, P.O. Box 0843-01103, Panama
2
Department of Chemistry, Center for Research and Advanced Studies of the National Polytechnic Institute (CINVESTAV-IPN), P.O. Box 14-740, 07000, F.D., Mexico
3
Smithsonian Tropical Research Institute, Balboa, Ancon, P.O. Box 0843-03092, Panama
4
Center for Molecular and Cellular Biology of Diseases, Institute for Scientific Research and Technology Services (INDICASAT), Clayton, City of Knowledge, P.O. Box 0843-01103, Panama
*
Author to whom correspondence should be addressed.
Mar. Drugs 2012, 10(11), 2608-2617; https://doi.org/10.3390/md10112608
Submission received: 20 August 2012 / Revised: 26 September 2012 / Accepted: 22 October 2012 / Published: 21 November 2012

Abstract

:
Two new eunicellin-based diterpenes, seco-briarellinone (1) and briarellin S (2), and a known seco-asbestinin (3) have been isolated from the methanolic extract of the common octocoral Briareum asbestinum collected in Bocas del Toro, Caribbean of Panama. The structures and relative stereochemistry of the compounds were defined using extensive spectroscopic analysis including 1D, 2D-nuclear magnetic resonance (NMR) and high-resolution mass spectrometry (HRMS). compounds 1 and 2 displayed anti-inflammatory properties inhibiting nitric oxide (NO) production induced by lipopolisacharide (LPS) in macrophages with an Inhibitory concentration 50% (IC50) of 4.7 μM and 20.3 μM, respectively. This is the first report of briarellin diterpenes containing a ketone group at C-12.

1. Introduction

The briarellins are a family of tetracyclic diterpenes structurally derived from the eunicellin skeleton [1,2,3,4,5,6,7]. To date about 27 briarellins have been isolated and described from octocorals of the genus Briareum and Pachyclavularia. A smaller group of eunicellin-related diterpenoids, composed by only three members, is known as seco-briarellins [1,4,7]. seco-Briarellins have a nine atom heterocycle across C-2/C-9 open at the C-6/C-7 bond as a main difference to the briarellin skeleton. The biological potential of briarellins and seco-briarellins has not been explored extensively, however some members of these groups displayed moderate antimalarial activity and cytotoxicity [8].
As a part of a drug discovery program at the Institute for Scientific Research and Technology Services (INDICASAT), we are exploring the marine invertebrates’ diversity of Panama as source of novel anti-inflammatory compounds. Herein we report the isolation and structural determination of the new diterpenes seco-briarellinone (1) and briarellin S (2) and the known seco-asbestinin (3) isolated from the gorgonian octocoral Briareum asbestinum (Pallas) collected in Bocas del Toro, Panama. The coral is abundant and widely distributed in shallow reef environments along the Caribbean coast. compounds 1 and 2 showed anti-inflammatory activity and are the first briarellin-type diterpenoids containing a keto group at position 12.

2. Results and Discussion

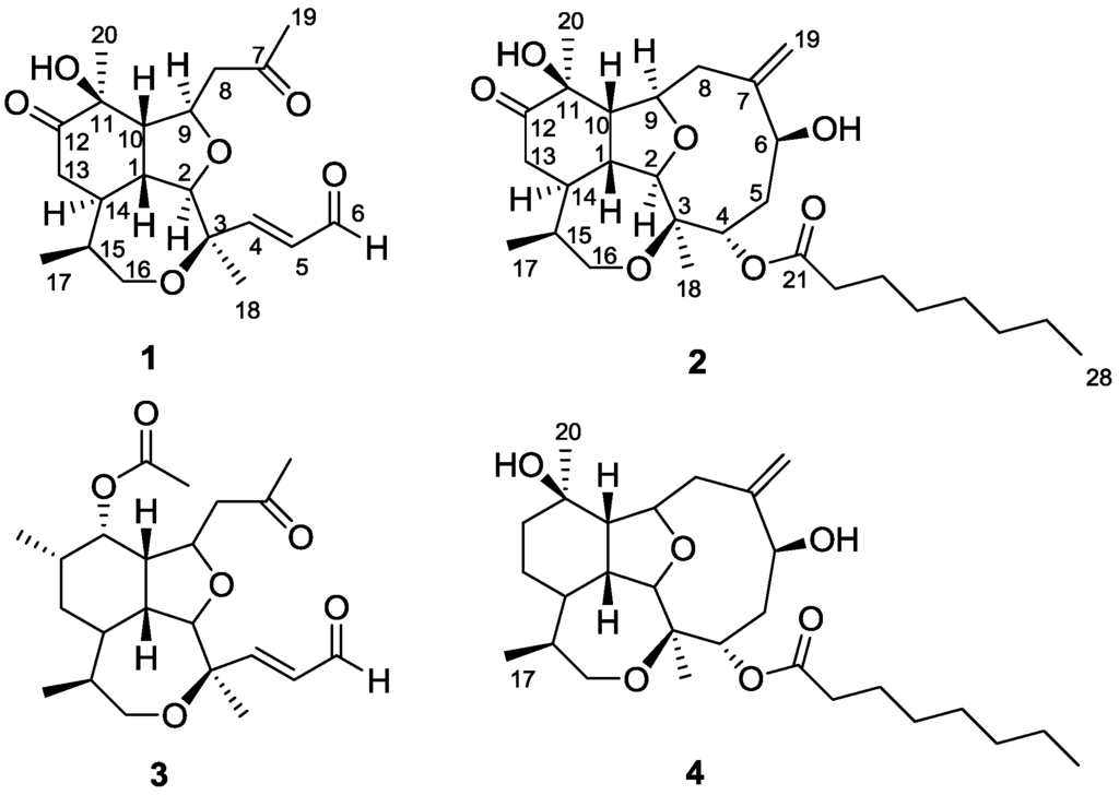
The octocoral Briareum asbestinum was collected by hand, using scuba in the Bastimentos National Park on the Caribbean side of Panama at a depth of 10 m. The sample was extracted with methanol-dichloromethane and the crude extract was fractionated using two subsequent silica gel columns followed by high performance liquid chromatography (HPLC) purification to yield compounds 13 (Figure 1).
Figure 1. Structures of compounds 14.
Figure 1. Structures of compounds 14.
Marinedrugs 10 02608 g001
High-resolution electrospray ionization-time-of-flight-mass spectrometry (HRESI-TOF-MS) spectrum of compound 1 showed a pseudo-molecular ion peak [M + Na]+ at m/z 387.1775 corresponding with the molecular formula C20H28O6Na. 13C-NMR and heteronuclear multiple bond correlation (HMBC) spectra (Table 1) showed resonances for 20 carbon atoms, while distortion-less enhancement by polarization transfer (DEPT) and multiplicity edited heteronuclear single quantum coherence (HSQC) experiments revealed four quaternary carbons, nine methines, three methylenes and four methyl groups (Table 1). 13C-NMR chemical shifts revealed the presence of two ketones (δC 213.4, 205.8); one aldehyde (δC 193.9) and one double bond (δC 158.6, 131.0). Additionally, resonances for five carbons bearing oxygen were assigned as two methines (δC 76.5, 90.7), one methylene (δC 67.6) and two quaternary carbons (δC 75.4, 77.6). Seven degrees of unsaturation were inferred from the molecular formula: four accounted for three carbonyl groups and one double bond, therefore compound 1 has three rings. The fact that compound 1 possessed 20 carbon atoms and that the source organism was a coral strongly suggested that compound 1 was a diterpene.
Table 1. Nuclear magnetic resonance (NMR) Spectroscopic Data (CDCl3) for seco-briarellinone (1).
Table 1. Nuclear magnetic resonance (NMR) Spectroscopic Data (CDCl3) for seco-briarellinone (1).
PositionδC, mult. aδH, mult. J in Hz bHMBC cCOSY
139.3 (CH)2.26, dt, 2.0, 9.3 2, 10, 14
290.7 (CH)3.87, d, 9.31, 41
377.6 (C)-
4158.6 (CH)6.85, d, 15.63, 65
5131.0 (CH)6.42, dd, 8.3, 15.63, 64, 6
6193.9 (CH)9.60, d, 8.355
7205.8 (C) c-
849.4 (CH2)2.79, dd, 16.3, 3.57, 99
8 2.69, dd, 16.3, 6.1
976.5 (CH)4.68, dt, 3.5, 6.1 8, 10
1051.0 (CH)2.08, m111, 9
1175.4 (C)-
12213.4 (C) c-
13α38.4 (CH2)2.48, dd, 14.2, 4.51, 1214
13β 2.37, m
1437.9 (CH)2.36, m 1, 13α, 15
1535.7 (CH)1.78, m 14, 16, 17
16α67.6 (CH2)3.66, dd, 3.4, 13.23, 1715
16β 3.81, d, 13.2
1710.9 (CH3)1.00, d, 6.814, 15, 1615
1824.3 (CH3)1.47, s2, 3, 4
1930.6 (CH3)2.20, s7, 8
2023.7 (CH3)1.45, s10, 11, 12
a Chemical shift values are in ppm relative CDCl3 residual signals; b δ values were obtained by the assistance of the HSQC-edited spectrum; c The δC values were obtained by means of the HMBC correlations.
Inspection of the 1H-NMR spectrum of compound 1 showed resonances for an aldehyde proton (δH 9.60, d, J = 8.3 Hz, H-6) coupled with an olefinic proton (δH 6.42, dd, J = 8.3, 15.6 Hz, H-5). Proton H-5 was also coupled with H-4 whose resonance appeared at δH 6.85 ppm (d, J = 15.6 Hz) forming a α,β-unsaturated aldehyde. The spin system comprised by H-4, H-5, H-6 was confirmed by crossed correlations observed in correlation spectroscopy (COSY) experiments (Figure 2). The geometry of the C-4/C-5 double bond was assigned as trans on the basis of the coupling constant observed for protons H-4 and H-5 (JH4,H5 = 15.6 Hz) [1].
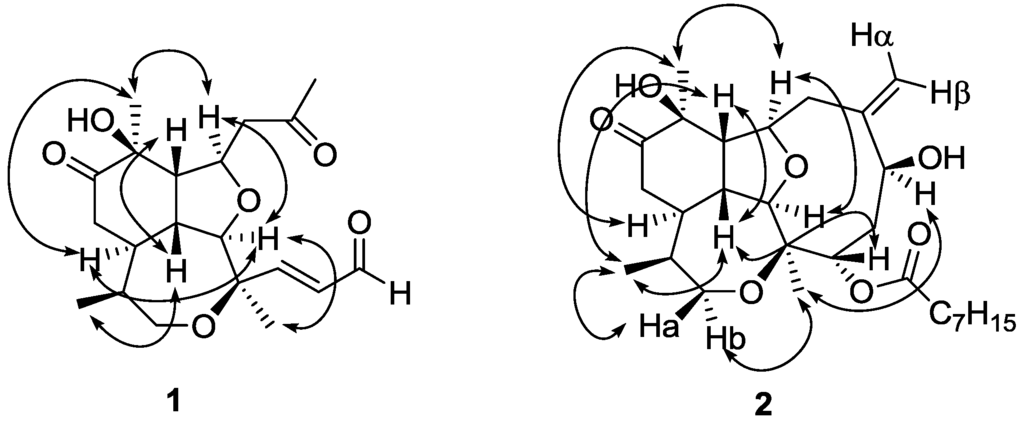
Figure 2. Correlation spectroscopy (COSY) or total correlation spectroscopy (TOCSY) and heteronuclear multiple bond correlation (HMBC) correlations of compounds 1 and 2.
Figure 2. Correlation spectroscopy (COSY) or total correlation spectroscopy (TOCSY) and heteronuclear multiple bond correlation (HMBC) correlations of compounds 1 and 2.
Marinedrugs 10 02608 g002
Additionally, signals for four methyl groups were observed: one secondary at δH 1.00 (d, J = 6.8 Hz), and three tertiary attached to quaternary carbons bearing oxygen (δH 1.45, δC 75.4; δH 1.47, δC 77.6; δH 2.20, δC 205.8). Remaining protons including, two α-ketone diastereotopic methylenes (δH 2.37, 2.47; 2.79, 2.69), one diastereotopic oxymethylene (δH 3.81, 3.66), and six methines (δH 4.68, 2.08, 2.26, 3.87, 2.36, 1.78), were all connected forming a long and branched spin system using COSY and total correlation spectroscopy (TOCSY) experiments (Figure 2). Positioning and connectivity of all functional groups and spin systems described above were carried out using 2,3J HMBC experiments (Figure 2). Thus, the α,β-unsaturated aldehyde was attached to C-3 based on a correlation observed for H3-18 to C-4. Also 2J HMBC correlations observed for methylene (H2-8) and methyl (H3-19) protons to C-7 allowed the assignment of an acetonyl moiety. This acetonyl group was connected to C-9 using COSY (H2-8 to H-9) and 2J HMBC (H2-8 to C-9) correlations. Methyl protons H3-17, H3-18 and H3-20 gave strong HMBC correlations with their adjacent carbons (Figure 2) supporting the assignment of the tricyclic scaffold of compound 1. Finally, positioning of the keto group on C-12 was based on HMBC correlations observed for H3-20 and H2-13 to C-12 (Figure 2). Therefore the assignment of the planar structure of compound 1 was established as a novel seco-briarellin diterpene depicted in Figure 1. Comparison of the NMR data of compound 1 with previously reported seco-briarellins [1,4,7] evidenced the presence of the keto group at C-12 as a unique structural feature for compound 1.
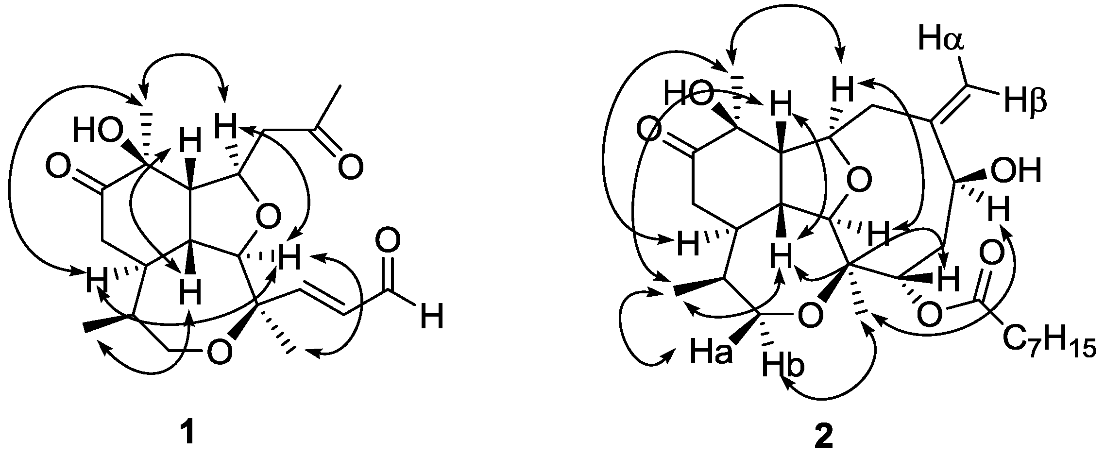
The relative stereochemistry of compound 1 was assigned by double pulsed field gradient spin echo-nuclear Overhauser effect (DPFGSE-NOE) experiments (Figure 3). A strong enhancement of protons H-2 and H3-20 was observed when methine H-9 was irradiated, whereas irradiation of H-2 strongly enhanced the signals of H-9, H-14 and H3-18. Also proton H-14 was enhanced when H-15 was irradiated, while irradiation of H3-20 enhanced protons H-9 and H-14. All these protons (H3-20, H-9, H-2 and H-14) were assigned arbitrarily as having α-configuration. On the other hand, irradiation of proton H-1 produced the enhancement of both, H-10 and H3-17, and these protons were assigned as having β-configuration.
Figure 3. NOE correlations of compounds 1 and 2.
Figure 3. NOE correlations of compounds 1 and 2.
Marinedrugs 10 02608 g003
HRESI-TOF-MS spectrum of compound 2 showed a pseudo-molecular ion peak [M + Na]+ at m/z 515.2975 corresponding with the molecular formula C28H44O7Na. 13C-NMR and HMBC data (Table 2) showed resonances for 28 carbon atoms. DEPT and multiplicity edited HSQC experiments evidenced the presence of five quaternary carbons, eight methines, eleven methylenes and four methyl groups (Table 2). Seven degrees of unsaturation were inferred from the molecular formula: two carbonyl groups assigned as a ketone and ester (δC 214.6 and 175.6) and an exocyclic double bond (δC 152.8 and 115.8) accounted for three unsaturations, therefore compound 2 has four rings.
Table 2. NMR spectroscopic data (CDCl3) for briarellin S (2).
Table 2. NMR spectroscopic data (CDCl3) for briarellin S (2).
PositionδC, mult. aδH, mult. (J in Hz) bHMBC cCOSY
138.5 (CH)2.80, m 2, 10, 14
292.9 (CH)3.97, d, 8.83, 4, 9, 14, 181
376.6 (C)-
471.4 (CH)5.08, br s 5
536.4 (CH2) b1.71, br d b 4
673.8 (CH)4.18, br s
7152.8 (C) c-
839.5 (CH2)2.33, m199
981.5 (CH)4.68, br s 8, 10
1049.1 (CH)2.54, m141, 9
1175.7 (C)-
12214.6 (C)-
13α39.4 (CH2)2.38, m b1, 12, 1414
13β 2.38, m b
1439.3 (CH)2.23, m b 1, 13α, 15
1535.5 (CH)1.66, m b 14, 16α, 17
16α66.9 (CH2)3.44, dd, 13.2, 2.93, 1715
16β 3.68, d, 13.2
1710.4 (CH3)0.88, d, 6.814, 15, 1615
1817.6 (CH3)1.36, s2, 3, 4
19α115.8 (CH2)5.18, br s6, 7, 8
19β 5.56, br s
2022.8 (CH3)1.39, s10, 11, 12
21175.6 (C) c-
2234.7 (CH2)2.33, m b2123
2325.1 (CH2)1.62, m b21, 22, 2522
2429.0 (CH2) d1.25, m b
2528.8 (CH2) d1.30, m b
2631.7 (CH2)1.26, m b24
2722.6 (CH2)1.27, m b 28
2814.1 (CH3)0.86, t, 7.326, 2727
a Chemical shift values are in ppm relative CDCl3 residual signals; b δ values were obtained by the assistance of the HSQC-edited spectrum; c The δC values were obtained by means of the HMBC correlations; d Values can be exchanged.
Comparison of NMR data (1H-NMR, 13C-NMR) of compounds 1 and 2 revealed several structural similarities and differences. For instance, in compound 2 the nine-membered ring across C-2/C-9 was intact and the spin system formed by protons H-4/H-6 was composed of two oxygen-bearing methines and a methylene, in compound 1 the α,β-unsaturated aldehyde moiety was present instead. The exocyclic methylene (C-19) was attached to C-7 based on the 2,3J HMBC correlations of H2-19 with C-6, C-7 and C-8. This part of the molecule showed very weak or broadened 13C and 1H-NMR signals, likely due to the existence of a slow equilibrium between different conformations across C-2/C-9, as reported previously for other briarelline analogues [5,6]. On the other hand, the tricyclic structure comprising the tetrahydrofurane ring, the cyclohexanone ring and the seven-membered ether ring across C-3/C-16 was found to be identical in compounds 1 and 2. The presence of four rings and the structural features shared with compound 1 suggested that compound 2 was a member of the briarellin group. Comparison of NMR data of compound 2 with other briarellins indicated a close structural similarity with briarellin E (4) [2], with the presence of a ketone at C-12 being the only difference between compound 2 and briarellin E (4). As it was expected, the carbonyl group at C-12 in compound 2 produced a deshielding effect on its adjacent carbons C-11 and C-13, which appeared downfield (δC 75.7, 39.4) in comparison with the same carbons in briarellin E (4) (δC 71.6, 24.8). Overall 1D-NMR (1H-NMR, 13C-NMR, DEPT) and 2D-NMR data (HSQC, COSY, TOCSY and HMBC) (Table 2) confirmed the assignment of the planar structure of compound 2 as briarellin S.
The three-dimensional structure of compound 2 was established by DPFGSE-NOE experiments (Figure 3), which indicated that compounds 1 and 2 have the same relative stereochemistry in all the common chiral centers. Irradiation on H-6 and H-1 produced enhancements on protons H3-18 and H-4, respectively. Thus, H-6 was assigned as having α-configuration and H-4 was assigned as having β-configuration. The absolute stereochemistry of natural briarellin E (4) was not determined, however Corminboeuf and colleagues carried out the enantioselective total synthesis of 4 [9]. Given that briarellins E (4) and S (2) have the same chiral centers, they likely have the same absolute configuration.
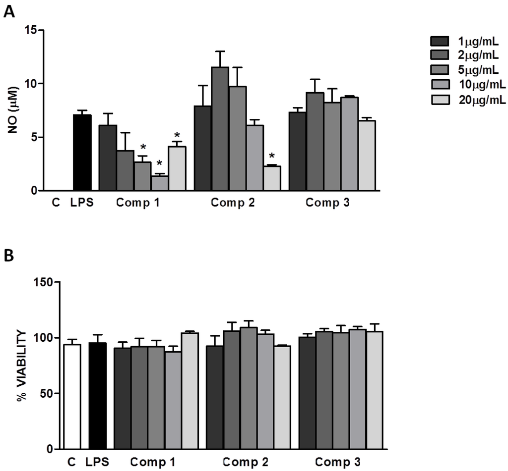
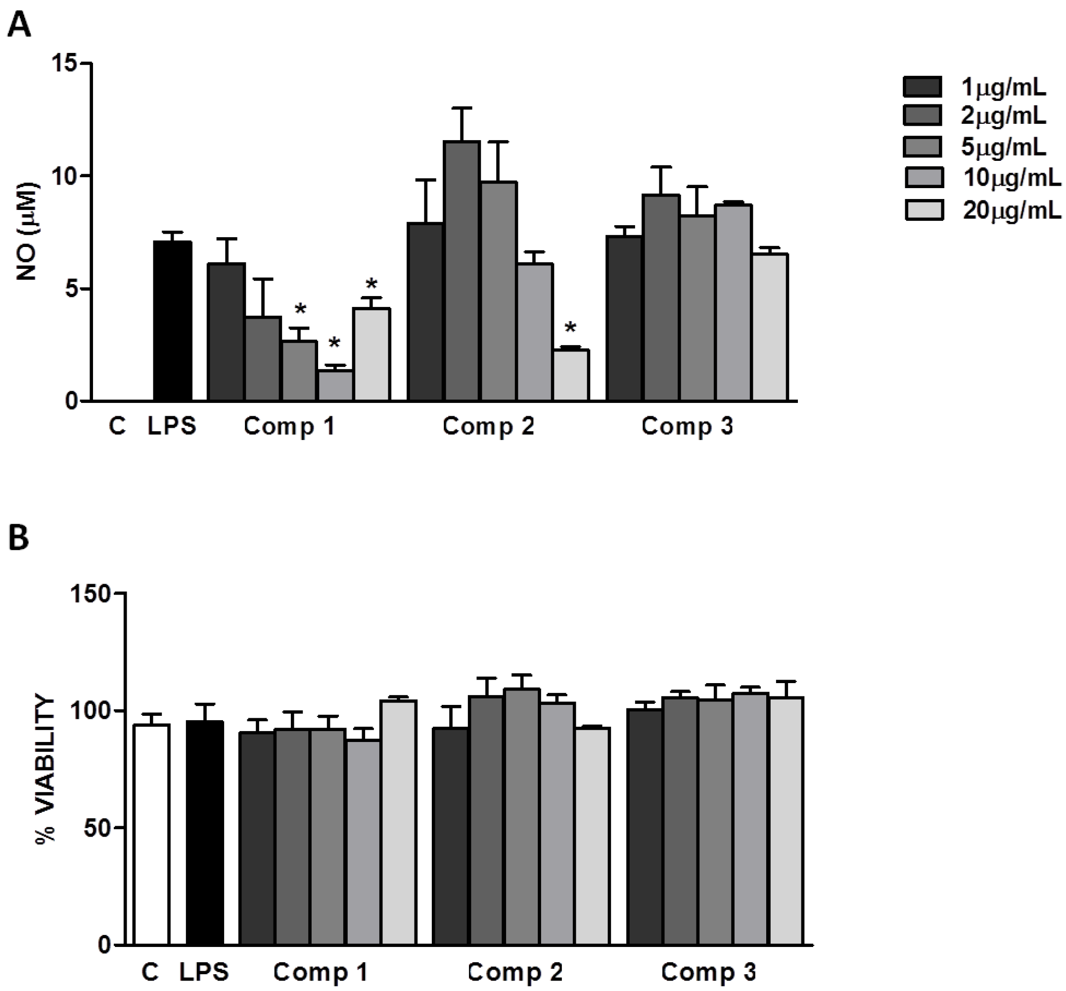
The anti-inflammatory properties of diterpenes from natural sources have been described previously [10]. However, anti-inflammatory activity of the briarellins family has not been evaluated before. The inhibition of NO production is frequently used as an indicator of anti-inflammatory activity. NO is produced by a family of enzymes called NO synthases (NOS) and it mediates many physiological processes [11]. Inflammatory conditions lead to production of high levels of NO regulated by the inducible NOS (iNOS) enzyme. NO is produced by many cell types in vitro in response to several stimuli such as microbial products (e.g., bacterial lipopolisacharide (LPS)), cytokines, viral proteins, among others [11]. We evaluated the production of NO by primary murine macrophages stimulated with LPS (1 μg/mL) in the presence or absence of different concentrations of compounds 13. As it is shown in Figure 4A, compounds 1 and 2 inhibited the production of NO with IC50’s of 1.71 μg/mL (4.7 μM) and 10.04 μg/mL (20.4 μM), respectively. The levels of NO found at higher concentrations (20 μg/mL) of compound 1 might be attributed to the non pyrogen-free conditions of the isolation and purification process of compounds. Possible contaminations with potential microbial products in the compounds preparations disguise the inhibitory effect expected at these concentrations. Compound 3 did not show any significant effect on the production of NO induced by LPS in macrophages (Figure 4A). Further studies are necessary to find out if compound 3 is able to inhibit other signaling pathways leading to the production of inflammatory mediators different than NO. The inhibition of NO production induced by compounds 1 and 2 is not due to their cytotoxicity, since the inhibitory concentrations (5–20 μg/mL) do not interfere with the cell viability, as it was determined by the 3-(4,5-dimethylthiazol-2-yl)-2,5-diphenyltetrazolium bromide (MTT) method (Figure 4B). Our results indicate that compounds 1 and 2 can control NO production and could be promising anti-inflammatory agents. Other studies should be performed to elucidate the mechanism by which these compounds inhibit the production of NO and if there are other pathways being regulated by them.
Figure 4. Inhibition of nitric oxide (NO) production induced by lipopolisacharides (LPS) in macrophages. (A) Peritoneal macrophages from C57Bl/6 mice were treated with different concentrations of compounds 13 (1, 2, 5, 10, or 20 μg/mL) 1 h before the stimulus with LPS (1 μg/mL). After 24 h of stimulus with LPS, supernatants were collected for NO determination. (B) Cell viabilities were assessed using 3-(4,5-dimethylthiazol-2-yl)-2,5-diphenyltetrazolium bromide (MTT) assay after collection of the supernatant. Results represent mean ± S.E.M. and are representative of two different experiments. * P < 0.005 compared with LPS stimulus alone. C, control; Comp, compound.
Figure 4. Inhibition of nitric oxide (NO) production induced by lipopolisacharides (LPS) in macrophages. (A) Peritoneal macrophages from C57Bl/6 mice were treated with different concentrations of compounds 13 (1, 2, 5, 10, or 20 μg/mL) 1 h before the stimulus with LPS (1 μg/mL). After 24 h of stimulus with LPS, supernatants were collected for NO determination. (B) Cell viabilities were assessed using 3-(4,5-dimethylthiazol-2-yl)-2,5-diphenyltetrazolium bromide (MTT) assay after collection of the supernatant. Results represent mean ± S.E.M. and are representative of two different experiments. * P < 0.005 compared with LPS stimulus alone. C, control; Comp, compound.
Marinedrugs 10 02608 g004

3. Experimental Section

3.1. General Experimental Procedures

Optical rotations were measured on a JASCO P-2000 polarimeter, whereas IR data was obtained using a Shimadzu IRAffinity-1 Fourier transform infrared spectrophotometer. 1H, 13C, and 2D NMR spectra were collected at a 1H resonance frequency on either a Jeol Eclipse+ 400 MHz or Bruker Avance III DRX600 (equipped with a 1.7 mm TCI cryoprobe). Chemical shifts were calibrated internally to the residual signal of the solvent in which the sample was dissolved (CDCl3, δH 7.26, δC 77.0). High-resolution mass spectra were obtained on a ThermoFinnigan MAT900XL mass spectrometer. HPLC was carried out using an Agilent 1200 HPLC system equipped with a quaternary pump, a diode array detector and a normal phase silica gel column (Phenomenex Sphereclone, 4.6 mm × 100 mm, 5 μm) at a flow rate of 1 mL/min. Flash chromatographic separations were performed using silica gel type H (10–40 μm, Aldrich) and silica gel 60 (40–63 μm, EMD), respectively. Merck TLC sheets (silica gel 60 F254) were used for analytical TLC (aluminum-supported, layer-thickness 200 µm).

3.2. Animal Material

The octocoral Briareum asbestinum (Order Alcyonacea, Family Briaridae) was collected by hand using SCUBA at 10 m in Bastimentos National Park, located in the Caribbean off the coast of Bocas del Toro, Panama in November 2009. The coral specimen was identified as Briareum asbestinum (Pallas) based on its morphology and SEM-micrographs of the coral sclerites in the Smithsonian Tropical Research Institute. A reference specimen is deposited at INDICASAT’s CDDB under the number GLBO-231109-01.

3.3. Extraction and Isolation

The organism (1265 g) was minced and exhaustively extracted with CH2Cl2 and MeOH. The organic extract was evaporated in vacuo to give a dark oily residue (49.6 g). The CH2Cl2-MeOH extract (21.7 g) was chromatographed by column chromatography on silica gel eluted with a stepwise gradient of 0%–100% EtOAc in hexanes followed by 0%–100% MeOH in EtOAc to yield 10 fractions (A–J). Fraction E (82.7 mg) was purified by HPLC (reverse phase Synergy-Fusion column eluted with a gradient of 60%–100% MeCN in water in 60 min at 1 mL/min) to yield 15 fractions. Fraction 10 yielded 10 mg of pure seco-asbestinin (3) [12]. Fraction F was concentrated (266.2 mg) and further chromatographed on silica gel eluted with a stepwise gradient of CHCl3-iPrOH (150:1, 100:1, 50:1) followed by CHCl3-EtOH (25:1, 10:1, 1:1) to yield 22 fractions (1–22). Fraction 13 (33 mg) was purified by HPLC (5 μm Silica gel Sphereclone column eluted with a gradient of 40%–100% EtOAc in hexanes in 130 min at 1.0 mL/min) to yield 20 subfractions, denoted I–XX. Subfraction VIII contained 6.8 mg of pure briarellin S (2), and subfraction XVIII contained 0.7 mg of pure seco-briarellinone (1).
seco-Briarellinone(1): Colorless oil; [α]20D +38.1 (c 0.4, CHCl3); IR (film) νmax 3406, 2916, 2848, 1722, 1581, 1462, 1377, 1242, 1111, 1076 cm−1; 1H and 13C NMR see Table 1; HRESI-TOF-MS m/z [M + Na]+ 387.1775 (calcd for C20H28O6Na, 387.1778).
Briarellin S (2): Colorless oil; [α]20D +36.1 (c 4.1, CHCl3); IR (film) νmax 3452, 2929, 2873, 1720, 1456, 1377, 1247, 1166, 1112, 1080, 1006 cm−1; 1H and 13C NMR see Table 2; HRESI-TOF-MS m/z [M + Na]+ 515.2975 (calcd for C28H44O7Na, 515.2979).

3.4. Cell Culture and NO Determination

To determine the anti-inflammatory capacity of compounds 1–3, thioglycolate elicited macrophages from C57Bl/6 mice were used. Five days after i.p. instillation of 2 mL of thioglycolate 3%, peritoneal macrophages were obtained by washing the cavity with chilled RPMI. Cells were seeded in RPMI with 10% FCS at 2 × 105/well in 96-well plates. Cells were stimulated with LPS (1 μg/mL) in the presence or absence of different concentrations of compounds 1–3 as described in the legend of Figure 4. Supernatants were collected 24 h after stimuli and were stored at −20 °C until its use. Negative (without stimulus) and positive (LPS stimulus alone) controls were performed in the presence of dimethyl sulfoxide (DMSO) since the compounds were solubilized in DMSO. The concentration of NO was measured using the Griess Reagent System from Promega. All the measurements were performed in triplicate following the manufacturer’s instructions.

3.5. Cytotoxicity Testing

To evaluate the cytotoxicity of compounds 1–3, we used the MTT (Methylthiazolyldiphenyl-tetrazolium bromide) assay. Cell supernatants were removed for NO determination and were added to each well, 100 μL of MTT at a concentration of 0.5 mg/mL dissolved in RPMI. The assay plate was incubated overnight at 37 °C in 5% of CO2 atmosphere. In this assay the MTT is reduced to formazan by the activity of NAD-dependent dehydrogenase of living cell mitochondria to form a purple product. The supernatants were removed and formazan crystals were dissolved in 100 µL of 0.04 M HCl in iPrOH. The color was analyzed at 570 nm using a micro-ELISA plate reader. The percent of viable cells was calculated using the formula: % viability = (ODsample × 100%)/(ODcontrol). Cells non stimulated and cultured in medium plus FCS represented 100% of viability.

3.6. Statistical Analysis

Data are presented as mean ± S.E.M. Results were analyzed using a statistical software package (GraphPad Prism 5). Statistical analyses were performed by unpaired t test. A significant difference between groups was considered if p < 0.05. Inhibitory concentration 50% (IC50) values were calculated adjusting a sigmoidal dose-response curve following GraphPad Prism 5 procedure.

4. Conclusions

This is the first report on natural products from the octocoral Briareum asbestinum collected in Panama. As it is shown here, B. asbestinum continues to be a good producer of novel diterpenes with complex chemical structures. The compounds reported here are the first members of briarellins and seco-briarellins families with a ketone group at position C-12. Additionally, this work describes anti-inflammatory activity not reported before for the briarellins and seco-briarellins groups.

Acknowledgments

We gratefully acknowledge the Government of Panama (ANAM) for granting permission to make these collections; we thank C. Guevara for assistance with the collections. We thank W. Gerwick for the 600 MHz NMR and HRMS measurements and V. Duke for IR spectra. This work was partially supported by the National Secretariat for Science and Technology of Panama (SENACYT, grant numbers COL08-061 and COL09-047) and the Fogarty International Center’s International Cooperative Biodiversity Groups program (grant number TW006634). J.F.G. thanks SENACYT-IFARHU, Panama for financial support.

Supplementary Files

  • Supplementary File 1::

    Supplementary Information (PDF, 2942 KB)

  • References

    1. Rodríguez, A.D.; Cóbar, O.M. The briarellins, new eunicellin-based diterpenoids from a Caribbean gorgonian, Briareum asbestinum. Tetrahedron 1995, 51, 6869–6880. [Google Scholar]
    2. Rodríguez, A.D.; Cóbar, O.M. Studies on the minor constituents of the Caribbean gorgonian octocoral Briareum asbestinum Oallas. Isolation and structure determination of eunicellin-based diterpenoids briarellins E–I. Chem. Pharm. Bull. 1995, 43, 1853–1858. [Google Scholar] [CrossRef]
    3. Ospina, C.A.; Rodríguez, A.D.; Ortega-Barria, E.; Capson, T.L. Briarellins J–P and polyantellin A: New eunicellin-based diterpenes from the gorgonian coral Briareum polyanthes and their antimalarial activity. J. Nat. Prod. 2003, 66, 357–363. [Google Scholar] [CrossRef]
    4. Ospina, C.A.; Rodríguez, A.D. Bioactive compounds from the gorgonian Briareum polyanthes. Correction of four asbestinane-type diterpenes. J. Nat. Prod. 2006, 69, 1721–1727. [Google Scholar] [CrossRef]
    5. Wang, G.H.; Sheu, J.H.; Chiang, M.Y.; Lee, T.J. Pachiclavularienones A–C, three novel diterpenenoids from the soft coral Pachiclavularia violacea. Tetrahedron Lett. 2001, 42, 2333–2336. [Google Scholar] [CrossRef]
    6. Wang, G.H.; Sheu, J.H.; Duh, C.Y.; Chiang, M.Y. Pachiclavularienones D–G, new diterpenenoids from the soft coral Pachiclavularia violacea. J. Nat. Prod. 2002, 65, 1475–1478. [Google Scholar] [CrossRef]
    7. Sheu, J.H.; Wang, G.H.; Sung, P.J.; Duh, C.Y.; Chiang, M.Y. Pachiclavulariolides G–L, and secopachyclavulariaenone A, seven novel diterpenenoids from the soft coral Pachiclavularia violacea. Tetrahedron 2001, 57, 7639–7648. [Google Scholar] [CrossRef]
    8. Cóbar, O.M. Survey of 2,11-cyclized cembranoids from Caribbean sources. Nat. Prod. Res. 2009, 23, 26–43. [Google Scholar] [CrossRef]
    9. Corminboeuf, O.; Overman, L.E.; Pennington, L.D. Enantioselective total synthesis of briarellins E and F: The first total synthesis of briarellin diterpenes. J. Am. Chem. Soc. 2003, 125, 6650–6652. [Google Scholar] [CrossRef]
    10. De las Heras, B.; Hortelano, S. Molecular basis of the anti-inflammatory effects of terpenoids. Inflamm. Allergy Drug Targets 2009, 8, 28–39. [Google Scholar] [CrossRef]
    11. Aktan, F. iNOS-mediated nitric oxide production and its regulation. Life Sci. 2004, 75, 639–653. [Google Scholar] [CrossRef]
    12. Rodríguez, A.D.; Cóbar, O.M.; Martínez, M. The first seco-asbestinin: A novel class of diterpene from the Caribbean gorgonian Briareum asbestinum (Pallas). Tetrahedron Lett. 1994, 35, 5793–5796. [Google Scholar] [CrossRef]
    • Samples Availability: Available from the authors.

    Share and Cite

    MDPI and ACS Style

    Gómez-Reyes, J.F.; Salazar, A.; Guzmán, H.M.; González, Y.; Fernández, P.L.; Ariza-Castolo, A.; Gutiérrez, M. seco-Briarellinone and Briarellin S, Two New Eunicellin-Based Diterpenoids from the Panamanian Octocoral Briareum asbestinum. Mar. Drugs 2012, 10, 2608-2617. https://doi.org/10.3390/md10112608

    AMA Style

    Gómez-Reyes JF, Salazar A, Guzmán HM, González Y, Fernández PL, Ariza-Castolo A, Gutiérrez M. seco-Briarellinone and Briarellin S, Two New Eunicellin-Based Diterpenoids from the Panamanian Octocoral Briareum asbestinum. Marine Drugs. 2012; 10(11):2608-2617. https://doi.org/10.3390/md10112608

    Chicago/Turabian Style

    Gómez-Reyes, José Félix, Ana Salazar, Héctor M. Guzmán, Yisett González, Patricia L. Fernández, Armando Ariza-Castolo, and Marcelino Gutiérrez. 2012. "seco-Briarellinone and Briarellin S, Two New Eunicellin-Based Diterpenoids from the Panamanian Octocoral Briareum asbestinum" Marine Drugs 10, no. 11: 2608-2617. https://doi.org/10.3390/md10112608

    APA Style

    Gómez-Reyes, J. F., Salazar, A., Guzmán, H. M., González, Y., Fernández, P. L., Ariza-Castolo, A., & Gutiérrez, M. (2012). seco-Briarellinone and Briarellin S, Two New Eunicellin-Based Diterpenoids from the Panamanian Octocoral Briareum asbestinum. Marine Drugs, 10(11), 2608-2617. https://doi.org/10.3390/md10112608

    Article Metrics

    Back to TopTop