Mitochondrial Ribosomal Proteins and Cancer
Abstract
1. Introduction
2. MRPs and Mitoribosome Structure
3. MRPs and Apoptosis
4. MRPs Associated with Cancers
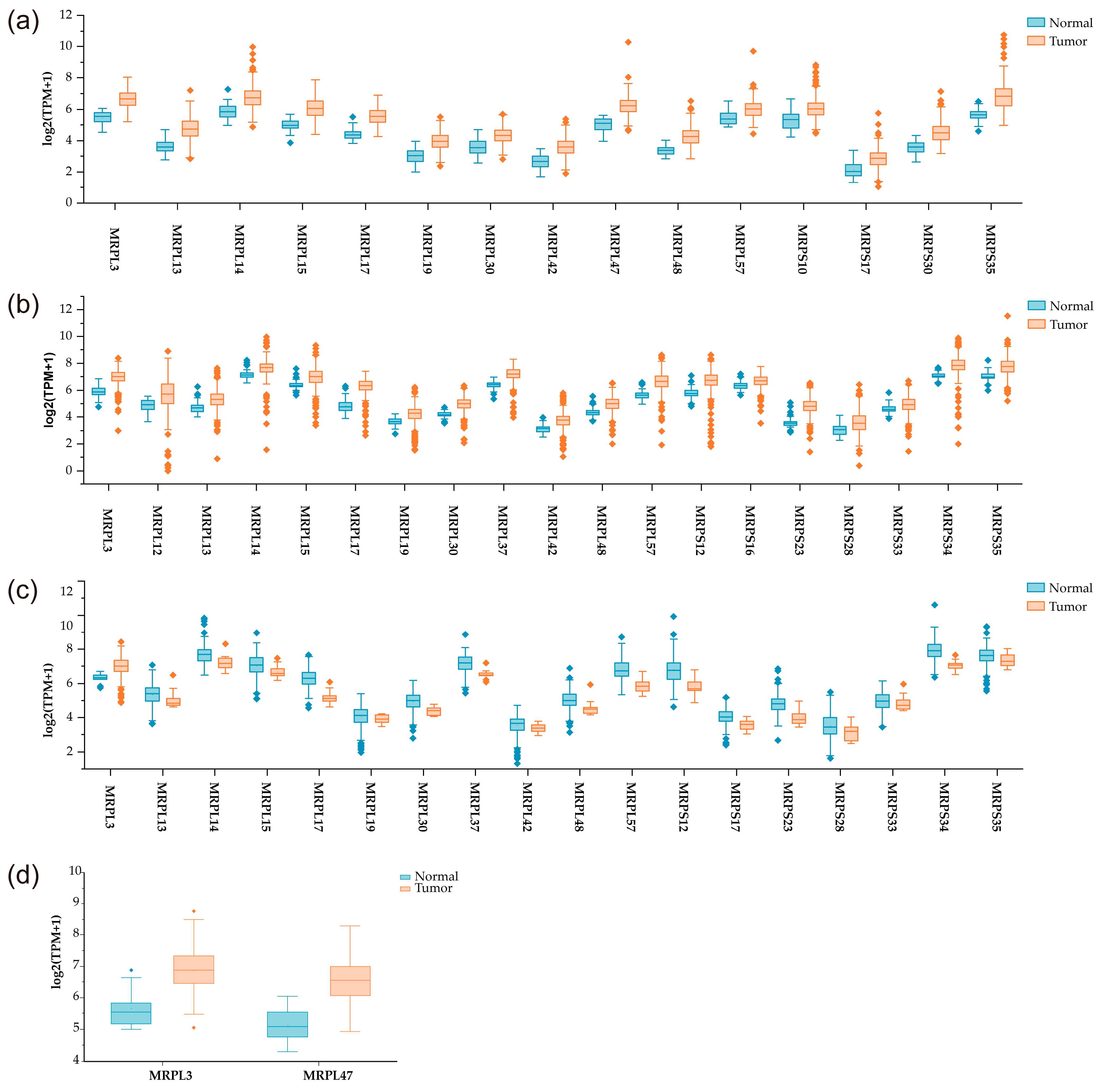
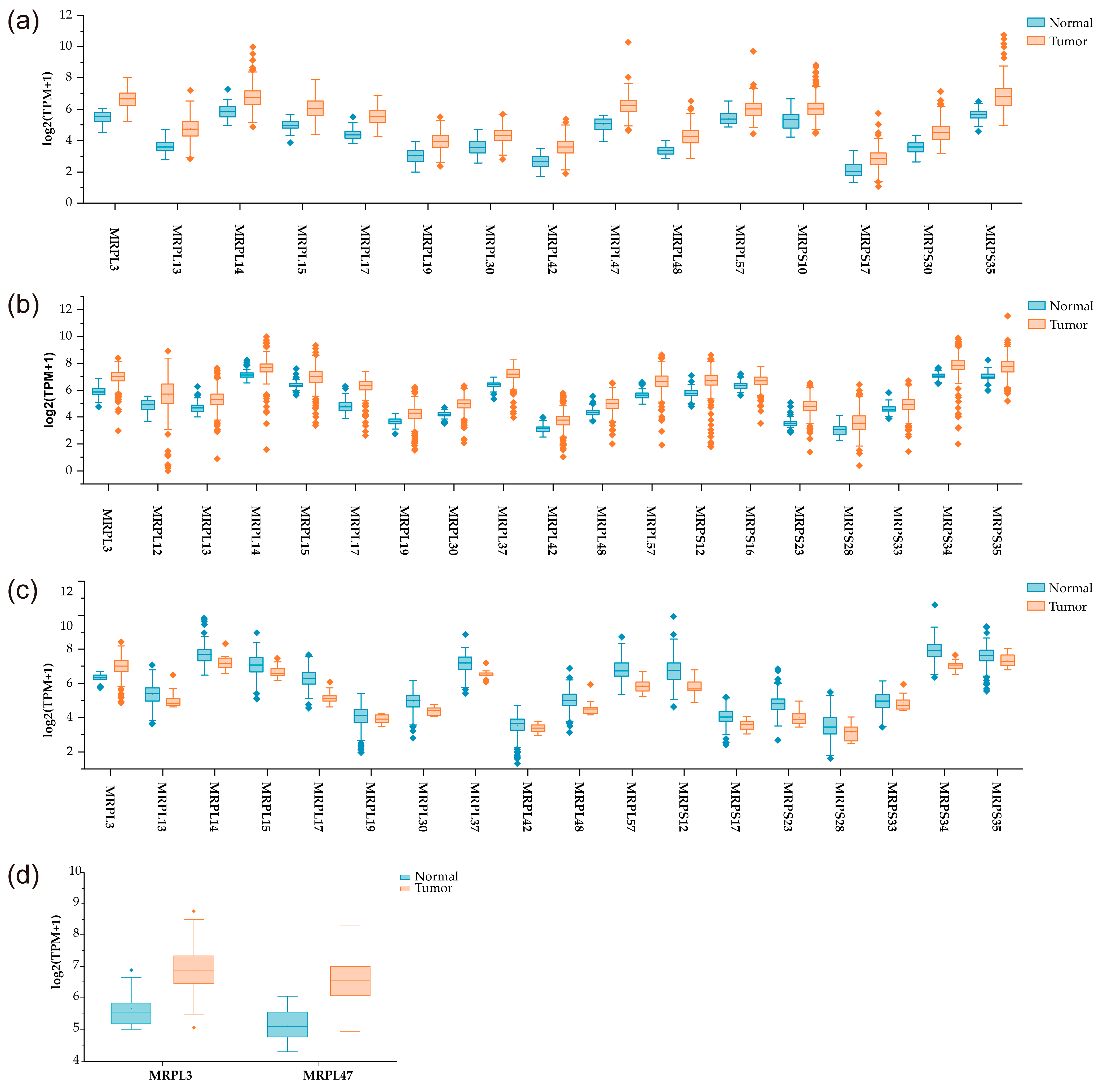
4.1. MRPs and Lung Cancer
4.2. MRPs and Breast Cancer
4.3. MRPs and Digestive System Cancers
4.4. MRPs and Other Cancers
5. MRPs in Cancer Therapy
6. Conclusions
Author Contributions
Funding
Conflicts of Interest
References
- Gustafsson, C.M.; Falkenberg, M.; Larsson, N.G. Maintenance and Expression of Mammalian Mitochondrial DNA. Annu. Rev. Biochem. 2016, 85, 133–160. [Google Scholar] [CrossRef] [PubMed]
- Gopisetty, G.; Thangarajan, R. Mammalian mitochondrial ribosomal small subunit (MRPS) genes: A putative role in human disease. Gene 2016, 589, 27–35. [Google Scholar] [CrossRef] [PubMed]
- Serrano, I.M.; Hirose, M.; Valentine, C.C.; Roesner, S.; Schmidt, E.; Pratt, G.; Williams, L.; Salk, J.; Ibrahim, S.; Sudmant, P.H. Mitochondrial haplotype and mito-nuclear matching drive somatic mutation and selection throughout ageing. Nat. Ecol. Evol. 2024, 8, 1021–1034. [Google Scholar] [CrossRef] [PubMed]
- Weaver, R.J.; Rabinowitz, S.; Thueson, K.; Havird, J.C. Genomic Signatures of Mitonuclear Coevolution in Mammals. Mol. Biol. Evol. 2022, 39, msac233. [Google Scholar] [CrossRef]
- Osada, N.; Akashi, H. Mitochondrial-nuclear interactions and accelerated compensatory evolution: Evidence from the primate cytochrome C oxidase complex. Mol. Biol. Evol. 2012, 29, 337–346. [Google Scholar] [CrossRef]
- Lin, Y.H.; Lim, S.N.; Chen, C.Y.; Chi, H.C.; Yeh, C.T.; Lin, W.R. Functional Role of Mitochondrial DNA in Cancer Progression. Int. J. Mol. Sci. 2022, 23, 1659. [Google Scholar] [CrossRef]
- Sherratt, H.S. Mitochondria: Structure and function. Rev. Neurol. 1991, 147, 417–430. [Google Scholar] [PubMed]
- Li, X.; Wang, M.; Li, S.; Chen, Y.; Wang, M.; Wu, Z.; Sun, X.; Yao, L.; Dong, H.; Song, Y.; et al. HIF-1-induced mitochondrial ribosome protein L52: A mechanism for breast cancer cellular adaptation and metastatic initiation in response to hypoxia. Theranostics 2021, 11, 7337–7359. [Google Scholar] [CrossRef]
- Greber, B.J.; Ban, N. Structure and Function of the Mitochondrial Ribosome. Annu. Rev. Biochem. 2016, 85, 103–132. [Google Scholar] [CrossRef] [PubMed]
- Huang, G.; Li, H.; Zhang, H. Abnormal Expression of Mitochondrial Ribosomal Proteins and Their Encoding Genes with Cell Apoptosis and Diseases. Int. J. Mol. Sci. 2020, 21, 8879. [Google Scholar] [CrossRef]
- Greber, B.J.; Bieri, P.; Leibundgut, M.; Leitner, A.; Aebersold, R.; Boehringer, D.; Ban, N. Ribosome. The complete structure of the 55S mammalian mitochondrial ribosome. Science 2015, 348, 303–308. [Google Scholar] [CrossRef] [PubMed]
- Greber, B.J.; Boehringer, D.; Leitner, A.; Bieri, P.; Voigts-Hoffmann, F.; Erzberger, J.P.; Leibundgut, M.; Aebersold, R.; Ban, N. Architecture of the large subunit of the mammalian mitochondrial ribosome. Nature 2014, 505, 515–519. [Google Scholar] [CrossRef]
- Antonicka, H.; Shoubridge, E.A. Mitochondrial RNA Granules Are Centers for Posttranscriptional RNA Processing and Ribosome Biogenesis. Cell Rep. 2015, 10, 920–932. [Google Scholar] [CrossRef] [PubMed]
- Horten, P.; Colina-Tenorio, L.; Rampelt, H. Biogenesis of Mitochondrial Metabolite Carriers. Biomolecules 2020, 10, 1008. [Google Scholar] [CrossRef] [PubMed]
- De Silva, D.; Tu, Y.T.; Amunts, A.; Fontanesi, F.; Barrientos, A. Mitochondrial ribosome assembly in health and disease. Cell Cycle 2015, 14, 2226–2250. [Google Scholar] [CrossRef] [PubMed]
- O’Brien, T.W. Properties of human mitochondrial ribosomes. IUBMB Life 2003, 55, 505–513. [Google Scholar] [CrossRef]
- Bao, S.; Wang, X.; Li, M.; Gao, Z.; Zheng, D.; Shen, D.; Liu, L. Potential of Mitochondrial Ribosomal Genes as Cancer Biomarkers Demonstrated by Bioinformatics Results. Front. Oncol. 2022, 12, 835549. [Google Scholar] [CrossRef]
- Pierson, J.A.; Yang, J.E.; Wright, E.R. Recent advances in correlative cryo-light and electron microscopy. Curr. Opin. Struct. Biol. 2024, 89, 102934. [Google Scholar] [CrossRef]
- Khawaja, A.; Cipullo, M.; Krüger, A.; Rorbach, J. Insights into mitoribosomal biogenesis from recent structural studies. Trends Biochem. Sci. 2023, 48, 629–641. [Google Scholar] [CrossRef] [PubMed]
- Saurer, M.; Ramrath, D.J.F.; Niemann, M.; Calderaro, S.; Prange, C.; Mattei, S.; Scaiola, A.; Leitner, A.; Bieri, P.; Horn, E.K.; et al. Mitoribosomal small subunit biogenesis in trypanosomes involves an extensive assembly machinery. Science 2019, 365, 1144–1149. [Google Scholar] [CrossRef]
- Amunts, A.; Brown, A.; Toots, J.; Scheres, S.H.W.; Ramakrishnan, V. Ribosome. The structure of the human mitochondrial ribosome. Science 2015, 348, 95–98. [Google Scholar] [CrossRef] [PubMed]
- Aibara, S.; Singh, V.; Modelska, A.; Amunts, A. Structural basis of mitochondrial translation. Elife 2020, 9, e58362. [Google Scholar] [CrossRef]
- Itoh, Y.; Khawaja, A.; Laptev, I.; Cipullo, M.; Atanassov, I.; Sergiev, P.; Rorbach, J.; Amunts, A. Mechanism of mitoribosomal small subunit biogenesis and preinitiation. Nature 2022, 606, 603–608. [Google Scholar] [CrossRef] [PubMed]
- Harper, N.J.; Burnside, C.; Klinge, S. Principles of mitoribosomal small subunit assembly in eukaryotes. Nature 2023, 614, 175–181. [Google Scholar] [CrossRef] [PubMed]
- Hanahan, D.; Weinberg, R.A. Hallmarks of cancer: The next generation. Cell 2011, 144, 646–674. [Google Scholar] [CrossRef] [PubMed]
- Pecoraro, A.; Pagano, M.; Russo, G.; Russo, A. Ribosome Biogenesis and Cancer: Overview on Ribosomal Proteins. Int. J. Mol. Sci. 2021, 22, 5496. [Google Scholar] [CrossRef]
- Song, H.; Liu, H.; Wang, X.; Yang, Y.; Zhao, X.; Jiang, W.G.; Sui, L.; Song, X. Death-associated protein 3 in cancer-discrepant roles of DAP3 in tumours and molecular mechanisms. Front. Oncol. 2024, 13, 1323751. [Google Scholar] [CrossRef] [PubMed]
- Kissil, J.L.; Cohen, O.; Raveh, T.; Kimchi, A. Structure-function analysis of an evolutionary conserved protein, DAP3, which mediates TNF-alpha- and Fas-induced cell death. EMBO J. 1999, 18, 353–362. [Google Scholar] [CrossRef]
- Miyazaki, T.; Reed, J.C. A GTP-binding adapter protein couples TRAIL receptors to apoptosis-inducing proteins. Nat. Immunol. 2001, 2, 493–500. [Google Scholar] [CrossRef]
- Harada, T.; Iwai, A.; Miyazaki, T. Identification of DELE, a novel DAP3-binding protein which is crucial for death receptor-mediated apoptosis induction. Apoptosis 2010, 15, 1247–1255. [Google Scholar] [CrossRef] [PubMed]
- Takeda, S.; Iwai, A.; Nakashima, M.; Fujikura, D.; Chiba, S.; Li, H.M.; Uehara, J.; Kawaguchi, S.; Kaya, M.; Nagoya, S.; et al. LKB1 is crucial for TRAIL-mediated apoptosis induction in osteosarcoma. Anticancer. Res. 2007, 27, 761–768. [Google Scholar] [PubMed]
- Wazir, U.; Orakzai, M.M.; Khanzada, Z.S.; Jiang, W.G.; Sharma, A.K.; Kasem, A.; Mokbel, K. The role of death-associated protein 3 in apoptosis, anoikis and human cancer. Cancer Cell Int. 2015, 15, 39. [Google Scholar] [CrossRef] [PubMed]
- Liu, X.; Xi, R.; Du, X.; Wang, Y.; Cheng, L.; Yan, G.; Zhu, J.; Liu, T.; Li, F. DNA methylation of microRNA-365-1 induces apoptosis of hair follicle stem cells by targeting DAP3. Noncoding RNA Res. 2024, 9, 901–912. [Google Scholar] [CrossRef]
- Broecker, F.; Horton, R.; Heinrich, J.; Franz, A.; Schweiger, M.R.; Lehrach, H.; Moelling, K. The intron-enriched HERV-K(HML-10) family suppresses apoptosis, an indicator of malignant transformation. Mob. DNA 2016, 7, 25. [Google Scholar] [CrossRef] [PubMed]
- Miyazaki, T.; Shen, M.; Fujikura, D.; Tosa, N.; Kim, H.R.; Kon, S.; Uede, T.; Reed, J.C. Functional role of death-associated protein 3 (DAP3) in anoikis. J. Biol. Chem. 2004, 279, 44667–44672. [Google Scholar] [CrossRef] [PubMed]
- Yoo, Y.A.; Kim, M.J.; Park, J.K.; Chung, Y.M.; Lee, J.H.; Chi, S.G.; Kim, J.S.; Yoo, Y.D. Mitochondrial ribosomal protein L41 suppresses cell growth in association with p53 and p27Kip1. Mol. Cell Biol. 2005, 25, 6603–6616. [Google Scholar] [CrossRef] [PubMed]
- Guo, H.; Dong, Y.; Luo, D.; Gong, M.; Sun, J.; Wu, Z.; Liu, Z.; Zhong, L.; Jin, S. MRPL41, as a target for acupuncture, promotes neuron apoptosis in models of ischemic stroke via activating p53 pathway. Neurochem. Int. 2024, 180, 105881. [Google Scholar] [CrossRef] [PubMed]
- Sun, L.; Liu, Y.; Frémont, M.; Schwarz, S.; Siegmann, M.; Matthies, R.; Jost, J.P. A novel 52 kDa protein induces apoptosis and concurrently activates c-Jun N-terminal kinase 1 (JNK1) in mouse C3H10T1/2 fibroblasts. Gene 1998, 208, 157–166. [Google Scholar] [CrossRef] [PubMed]
- Gogvadze, V.; Zhivotovsky, B.; Orrenius, S. The Warburg effect and mitochondrial stability in cancer cells. Mol. Aspects Med. 2010, 31, 60–74. [Google Scholar] [CrossRef]
- Sung, H.; Ferlay, J.; Siegel, R.L.; Laversanne, M.; Soerjomataram, I.; Jemal, A.; Bray, F. Global Cancer Statistics 2020: GLOBOCAN Estimates of Incidence and Mortality Worldwide for 36 Cancers in 185 Countries. CA Cancer J. Clin. 2021, 71, 209–249. [Google Scholar] [CrossRef] [PubMed]
- Karim, L.; Kosmider, B.; Bahmed, K. Mitochondrial ribosomal stress in lung diseases. Am. J. Physiol. Lung Cell Mol. Physiol. 2022, 322, L507–L517. [Google Scholar] [CrossRef] [PubMed]
- Bennett, N.K.; Nakaoka, H.J.; Laurent, D.; Okimoto, R.A.; Sei, Y.; Horvai, A.E.; Bivona, T.G.; Ten Hoeve, J.; Graeber, T.G.; Nakamura, K.; et al. Primary and metastatic tumors exhibit systems-level differences in dependence on mitochondrial respiratory function. PLoS Biol. 2022, 20, e3001753. [Google Scholar] [CrossRef]
- Bajinka, O.; Ouedraogo, S.Y.; Golubnitschaja, O.; Li, N.; Zhan, X. Energy metabolism as the hub of advanced non-small cell lung cancer management: A comprehensive view in the framework of predictive, preventive, and personalized medicine. EPMA J. 2024, 15, 289–319. [Google Scholar] [CrossRef] [PubMed]
- Tang, Z.; Kang, B.; Li, C.; Chen, T.; Zhang, Z. GEPIA2: An enhanced web server for large-scale expression profiling and interactive analysis. Nucleic Acids Res. 2019, 47, W556–W560. [Google Scholar] [CrossRef] [PubMed]
- Ji, X.; Yang, Z.; Li, C.; Zhu, S.; Zhang, Y.; Xue, F.; Sun, S.; Fu, T.; Ding, C.; Liu, Y.; et al. Mitochondrial ribosomal protein L12 potentiates hepatocellular carcinoma by regulating mitochondrial biogenesis and metabolic reprogramming. Metabolism 2024, 152, 155761. [Google Scholar] [CrossRef] [PubMed]
- Ji, X.; Zhang, T.; Sun, J.; Song, X.; Ma, G.; Xu, L.; Cao, X.; Jing, Y.; Xue, F.; Zhang, W.; et al. UBASH3B-mediated MRPL12 Y60 dephosphorylation inhibits LUAD development by driving mitochondrial metabolism reprogramming. J. Exp. Clin. Cancer Res. 2024, 43, 268. [Google Scholar] [CrossRef] [PubMed]
- Hu, Y.; Liu, Y.; Ma, C.; Ai, K. MRPL12 Acts as A Novel Prognostic Biomarker Involved in Immune Cell Infiltration and Tumor Progression of Lung Adenocarcinoma. Int. J. Mol. Sci. 2023, 24, 2762. [Google Scholar] [CrossRef] [PubMed]
- Liu, Y.; Sun, H.; Li, X.; Liu, Q.; Zhao, Y.; Li, L.; Xu, B.; Hou, Y.; Jin, W. Identification of a Three-RNA Binding Proteins (RBPs) Signature Predicting Prognosis for Breast Cancer. Front. Oncol. 2021, 11, 663556. [Google Scholar] [CrossRef]
- Ke, H.; Dass, S.; Morrisey, J.M.; Mather, M.W.; Vaidya, A.B. The mitochondrial ribosomal protein L13 is critical for the structural and functional integrity of the mitochondrion in Plasmodium falciparum. J. Biol. Chem. 2018, 293, 8128–8137. [Google Scholar] [CrossRef]
- Grohmann, L.; Kitakawa, M.; Isono, K.; Goldschmidt-Reisin, S.; Graack, H.R. The yeast nuclear gene MRP-L13 codes for a protein of the large subunit of the mitochondrial ribosome. Curr. Genet. 1994, 26, 8–14. [Google Scholar] [CrossRef]
- Zhong, X.; He, Z.; Fan, Y.; Yin, L.; Hong, Z.; Tong, Y.; Bi, Q.; Zhu, S. Multi-omics analysis of MRPL-13 as a tumor-promoting marker from pan-cancer to lung adenocarcinoma. Aging 2023, 15, 10640–10680. [Google Scholar] [CrossRef] [PubMed]
- Wang, L.; Xia, Y.; Zhang, Z.; Liu, X.; Shi, J.; Wang, Y.; Li, J.; Zhnag, X.; Geng, Z.; Song, X.; et al. [High expression of MRPL13 promotes cell cycle progression and proliferation of gastric cancer cells by inhibiting p53 signaling to affect long-term prognosis]. Nan Fang Yi Ke Da Xue Xue Bao 2023, 43, 1558–1566. [Google Scholar] [CrossRef] [PubMed]
- Cai, M.; Li, H.; Chen, R.; Zhou, X. MRPL13 Promotes Tumor Cell Proliferation, Migration and EMT Process in Breast Cancer Through the PI3K-AKT-mTOR Pathway. Cancer Manag. Res. 2021, 13, 2009–2024. [Google Scholar] [CrossRef] [PubMed]
- Dai, P.; Chen, Y.; Zhang, X.; Liu, L.; Cheng, Z. MRPL13 is a metastatic and prognostic marker of breast cancer: A silico analysis accompanied with experimental validation. Gene 2025, 932, 148908. [Google Scholar] [CrossRef] [PubMed]
- Lee, Y.K.; Lim, J.J.; Jeoun, U.W.; Min, S.; Lee, E.B.; Kwon, S.M.; Lee, C.; Yoon, G. Lactate-mediated mitoribosomal defects impair mitochondrial oxidative phosphorylation and promote hepatoma cell invasiveness. J. Biol. Chem. 2017, 292, 20208–20217. [Google Scholar] [CrossRef] [PubMed]
- Xie, C.; Hu, J.; Hu, Q.; Jiang, L.; Chen, W. Classification of the mitochondrial ribosomal protein-associated molecular subtypes and identified a serological diagnostic biomarker in hepatocellular carcinoma. Front. Surg. 2023, 9, 1062659. [Google Scholar] [CrossRef] [PubMed]
- Li, X.Y.; He, X.Y.; Zhao, H.; Qi, L.; Lu, J.J. Identification of a novel therapeutic target for lung cancer: Mitochondrial ribosome protein L9. Pathol. Res. Pract. 2023, 248, 154625. [Google Scholar] [CrossRef]
- Zeng, Y.; Shi, Y.; Xu, L.; Zeng, Y.; Cui, X.; Wang, Y.; Yang, N.; Zhou, F.; Zhou, Y. Prognostic Value and Related Regulatory Networks of MRPL15 in Non-Small-Cell Lung Cancer. Front. Oncol. 2021, 11, 656172. [Google Scholar] [CrossRef] [PubMed]
- Wei, D.; Sun, D.; Sirera, R.; Afzal, M.Z.; Leong, T.L.; Li, X.; Wang, Y. Overexpression of MRPL19 in predicting poor prognosis and promoting the development of lung adenocarcinoma. Transl. Lung Cancer Res. 2023, 12, 1517–1538. [Google Scholar] [CrossRef]
- Sahu, P.K.; Salim, S.; Pp, M.; Chauhan, S.; Tomar, R.S. Reverse genetic analysis of yeast YPR099C/MRPL51 reveals a critical role of both overlapping ORFs in respiratory growth and MRPL51 in mitochondrial DNA maintenance. FEMS Yeast Res. 2019, 19, foz056. [Google Scholar] [CrossRef]
- Zhang, W.; Yu, L.; Xu, C.; Tang, T.; Cao, J.; Chen, L.; Pang, X.; Ren, W. MRPL51 is a downstream target of FOXM1 in promoting the malignant behaviors of lung adenocarcinoma. Oncol. Lett. 2023, 26, 298. [Google Scholar] [CrossRef] [PubMed]
- Gu, X.; Huang, X.; Zhang, X.; Wang, C. Development and Validation of a DNA Methylation-related Classifier of Circulating Tumour Cells to Predict Prognosis and to provide a therapeutic strategy in Lung Adenocarcinoma. Int. J. Biol. Sci. 2022, 18, 4984–5000. [Google Scholar] [CrossRef]
- Guttapadu, R.; Katte, T.; Sayeeram, D.; Bhatia, S.; Abraham, A.R.; Rajeev, K.; Amara, A.R.R.; Siri, S.; Bommana, K.; Rasalkar, A.A.; et al. Identification of novel biomarkers for lung squamous cell carcinoma. 3 Biotech 2023, 13, 72. [Google Scholar] [CrossRef]
- Han, B.; Zheng, R.; Zeng, H.; Wang, S.; Sun, K.; Chen, R.; Li, L.; Wei, W.; He, J. Cancer incidence and mortality in China, 2022. J. Natl. Cancer Cent. 2024, 4, 47–53. [Google Scholar] [CrossRef]
- Lin, X.; Guo, L.; Lin, X.; Wang, Y.; Zhang, G. Expression and prognosis analysis of mitochondrial ribosomal protein family in breast cancer. Sci. Rep. 2022, 12, 10658. [Google Scholar] [CrossRef]
- Wang, Q.; Chen, G.; Liu, L.; Peng, X.; Yang, X.; Yang, L.; Li, C. MRPS23 is a novel prognostic biomarker and promotes glioma progression. Aging 2024, 16, 2457–2474. [Google Scholar] [CrossRef] [PubMed]
- Liu, L.; Zhang, X.; Ding, H.; Liu, X.; Cao, D.; Liu, Y.; Liu, J.; Lin, C.; Zhang, N.; Wang, G.; et al. Arginine and lysine methylation of MRPS23 promotes breast cancer metastasis through regulating OXPHOS. Oncogene 2021, 40, 3548–3563. [Google Scholar] [CrossRef]
- Gatza, M.L.; Silva, G.O.; Parker, J.S.; Fan, C.; Perou, C.M. An integrated genomics approach identifies drivers of proliferation in luminal-subtype human breast cancer. Nat. Genet. 2014, 46, 1051–1059. [Google Scholar] [CrossRef] [PubMed]
- Klæstad, E.; Opdahl, S.; Engstrøm, M.J.; Ytterhus, B.; Wik, E.; Bofin, A.M.; Valla, M. MRPS23 amplification and gene expression in breast cancer; association with proliferation and the non-basal subtypes. Breast Cancer Res. Treat. 2020, 180, 73–86. [Google Scholar] [CrossRef]
- Gao, Y.; Li, F.; Zhou, H.; Yang, Y.; Wu, R.; Chen, Y.; Li, W.; Li, Y.; Xu, X.; Ke, C.; et al. Down-regulation of MRPS23 inhibits rat breast cancer proliferation and metastasis. Oncotarget 2017, 8, 71772–71781. [Google Scholar] [CrossRef]
- Min, L.; Chen, L.; Huang, D.; Zhang, Y.; You, A.; Yan, X.; Li, Z.H. LncRNA HIF1A-AS2 promotes triple-negative breast cancer progression and paclitaxel resistance via MRPS23 protein. Heliyon 2024, 10, e36469. [Google Scholar] [CrossRef]
- Oviya, R.P.; Thangaretnam, K.P.; Ramachandran, B.; Ramanathan, P.; Jayavelu, S.; Gopal, G.; Rajkumar, T. Mitochondrial ribosomal small subunit (MRPS) MRPS23 protein-protein interaction reveals phosphorylation by CDK11-p58 affecting cell proliferation and knockdown of MRPS23 sensitizes breast cancer cells to CDK1 inhibitors. Mol. Biol. Rep. 2022, 49, 9521–9534. [Google Scholar] [CrossRef]
- Pu, M.; Wang, J.; Huang, Q.; Zhao, G.; Xia, C.; Shang, R.; Zhang, Z.; Bian, Z.; Yang, X.; Tao, K. High MRPS23 expression contributes to hepatocellular carcinoma proliferation and indicates poor survival outcomes. Tumour Biol. 2017, 39, 1010428317709127. [Google Scholar] [CrossRef]
- Lyng, H.; Brøvig, R.S.; Svendsrud, D.H.; Holm, R.; Kaalhus, O.; Knutstad, K.; Oksefjell, H.; Sundfør, K.; Kristensen, G.B.; Stokke, T. Gene expressions and copy numbers associated with metastatic phenotypes of uterine cervical cancer. BMC Genom. 2006, 7, 268. [Google Scholar] [CrossRef]
- Davies, S.M.; Lopez Sanchez, M.I.; Narsai, R.; Shearwood, A.M.; Razif, M.F.; Small, I.D.; Whelan, J.; Rackham, O.; Filipovska, A. MRPS27 is a pentatricopeptide repeat domain protein required for the translation of mitochondrially encoded proteins. FEBS Lett. 2012, 586, 3555–3561. [Google Scholar] [CrossRef]
- Zheng, C.; Yao, H.; Lu, L.; Li, H.; Zhou, L.; He, X.; Xu, X.; Xia, H.; Ding, S.; Yang, Y.; et al. Dysregulated Ribosome Biogenesis Is a Targetable Vulnerability in Triple-Negative Breast Cancer: MRPS27 as a Key Mediator of the Stemness-inhibitory Effect of Lovastatin. Int. J. Biol. Sci. 2024, 20, 2130–2148. [Google Scholar] [CrossRef] [PubMed]
- Vishnubalaji, R.; Alajez, N.M. Transcriptional landscape associated with TNBC resistance to neoadjuvant chemotherapy revealed by single-cell RNA-seq. Mol. Ther. Oncolyt. 2021, 23, 151–162. [Google Scholar] [CrossRef]
- Wang, X.; Zhang, L.; Chen, Z.; Ma, Y.; Zhao, Y.; Rewuti, A.; Zhang, F.; Fu, D.; Han, Y. Association between 5p12 genomic markers and breast cancer susceptibility: Evidence from 19 case-control studies. PLoS ONE 2013, 8, e73611. [Google Scholar] [CrossRef] [PubMed][Green Version]
- Ghoussaini, M.; French, J.D.; Michailidou, K.; Nord, S.; Beesley, J.; Canisus, S.; Hillman, K.M.; Kaufmann, S.; Sivakumaran, H.; Moradi Marjaneh, M.; et al. Evidence that the 5p12 Variant rs10941679 Confers Susceptibility to Estrogen-Receptor-Positive Breast Cancer through FGF10 and MRPS30 Regulation. Am. J. Hum. Genet. 2016, 99, 903–911. [Google Scholar] [CrossRef]
- Quigley, D.A.; Fiorito, E.; Nord, S.; Van Loo, P.; Alnæs, G.G.; Fleischer, T.; Tost, J.; Moen Vollan, H.K.; Tramm, T.; Overgaard, J.; et al. The 5p12 breast cancer susceptibility locus affects MRPS30 expression in estrogen-receptor positive tumors. Mol. Oncol. 2014, 8, 273–284. [Google Scholar] [CrossRef] [PubMed]
- Shirani, N.; Mahdi-Esferizi, R.; Eshraghi Samani, R.; Tahmasebian, S.; Yaghoobi, H. In silico identification and in vitro evaluation of MRPS30-DT lncRNA and MRPS30 gene expression in breast cancer. Cancer Rep. 2024, 7, e2114. [Google Scholar] [CrossRef] [PubMed]
- Grigoriadis, A.; Mackay, A.; Reis-Filho, J.S.; Steele, D.; Iseli, C.; Stevenson, B.J.; Jongeneel, C.V.; Valgeirsson, H.; Fenwick, K.; Iravani, M.; et al. Establishment of the epithelial-specific transcriptome of normal and malignant human breast cells based on MPSS and array expression data. Breast Cancer Res. 2006, 8, R56. [Google Scholar] [CrossRef]
- Zhou, W.; Ouyang, J.; Li, J.; Liu, F.; An, T.; Cheng, L.; Kuo, Z.C.; Zhang, C.; He, Y. MRPS17 promotes invasion and metastasis through PI3K/AKT signal pathway and could be potential prognostic marker for gastric cancer. J. Cancer 2021, 12, 4849–4861. [Google Scholar] [CrossRef]
- Buffa, F.M.; Harris, A.L.; West, C.M.; Miller, C.J. Large meta-analysis of multiple cancers reveals a common, compact and highly prognostic hypoxia metagene. Br. J. Cancer 2010, 102, 428–435. [Google Scholar] [CrossRef] [PubMed]
- Gong, P.J.; Shao, Y.C.; Huang, S.R.; Zeng, Y.F.; Yuan, X.N.; Xu, J.J.; Yin, W.N.; Wei, L.; Zhang, J.W. Hypoxia-Associated Prognostic Markers and Competing Endogenous RNA Co-Expression Networks in Breast Cancer. Front. Oncol. 2020, 10, 579868. [Google Scholar] [CrossRef] [PubMed]
- Sotgia, F.; Whitaker-Menezes, D.; Martinez-Outschoorn, U.E.; Salem, A.F.; Tsirigos, A.; Lamb, R.; Sneddon, S.; Hulit, J.; Howell, A.; Lisanti, M.P. Mitochondria “fuel” breast cancer metabolism: Fifteen markers of mitochondrial biogenesis label epithelial cancer cells, but are excluded from adjacent stromal cells. Cell Cycle 2012, 11, 4390–4401. [Google Scholar] [CrossRef]
- Li, J.; Zhou, W.; Wei, J.; Xiao, X.; An, T.; Wu, W.; He, Y. Prognostic Value and Biological Functions of RNA Binding Proteins in Stomach Adenocarcinoma. Onco Targets Ther. 2021, 14, 1689–1705. [Google Scholar] [CrossRef] [PubMed]
- Hu, J.L.; Huang, M.J.; Halina, H.; Qiao, K.; Wang, Z.Y.; Lu, J.J.; Yin, C.L.; Gao, F. Identification of a novel inflammatory-related gene signature to evaluate the prognosis of gastric cancer patients. World J. Gastrointest. Oncol. 2024, 16, 945–967. [Google Scholar] [CrossRef]
- Box, J.M.; Anderson, J.M.; Stuart, R.A. Mutation of the PEBP-like domain of the mitoribosomal MrpL35/mL38 protein results in production of nascent chains with impaired capacity to assemble into OXPHOS complexes. Mol. Biol. Cell 2023, 34, ar131. [Google Scholar] [CrossRef] [PubMed]
- Box, J.M.; Kaur, J.; Stuart, R.A. MrpL35, a mitospecific component of mitoribosomes, plays a key role in cytochrome c oxidase assembly. Mol. Biol. Cell 2017, 28, 3489–3499. [Google Scholar] [CrossRef] [PubMed]
- Zhang, L.; Lu, P.; Yan, L.; Yang, L.; Wang, Y.; Chen, J.; Dai, J.; Li, Y.; Kang, Z.; Bai, T.; et al. MRPL35 Is Up-Regulated in Colorectal Cancer and Regulates Colorectal Cancer Cell Growth and Apoptosis. Am. J. Pathol. 2019, 189, 1105–1120. [Google Scholar] [CrossRef]
- Yuan, L.; Li, J.X.; Yang, Y.; Chen, Y.; Ma, T.T.; Liang, S.; Bu, Y.; Yu, L.; Nan, Y. Depletion of MRPL35 inhibits gastric carcinoma cell proliferation by regulating downstream signaling proteins. World J. Gastroenterol. 2021, 27, 1785–1804. [Google Scholar] [CrossRef]
- Hou, W.; Chen, J.; Wang, Y. MRPL35 Induces Proliferation, Invasion, and Glutamine Metabolism in NSCLC Cells by Upregulating SLC7A5 Expression. Clin. Respir. J. 2024, 18, e13799. [Google Scholar] [CrossRef]
- Zhao, C.; Chen, L.; Jin, Z.; Liu, H.; Ma, C.; Zhou, H.; Xu, L.; Zhou, S.; Shi, Y.; Li, W.; et al. Knockdown of MRPL35 promotes cell apoptosis and inhibits cell proliferation in non-small-cell lung cancer. BMC Pulm. Med. 2023, 23, 507. [Google Scholar] [CrossRef] [PubMed]
- Zhang, Z.; Sun, J.; Jin, C.; Zhang, L.; Wu, L.; Tian, G. Identification and validation of a fatty acid metabolism gene signature for the promotion of metastasis in liver cancer. Oncol. Lett. 2023, 26, 457. [Google Scholar] [CrossRef] [PubMed]
- Yuan, L.; Yang, Y.; Li, X.; Zhou, X.; Du, Y.H.; Liu, W.J.; Zhang, L.; Yu, L.; Ma, T.T.; Li, J.X.; et al. 18β-glycyrrhetinic acid regulates mitochondrial ribosomal protein L35-associated apoptosis signaling pathways to inhibit proliferation of gastric carcinoma cells. World J. Gastroenterol. 2022, 28, 2437–2456. [Google Scholar] [CrossRef] [PubMed]
- Wang, A.; Zhang, Q.; Zhang, D.; Xiu, Y.; Ding, Y.; Liu, L. Effect of silencing mitochondrial ribosomal protein L35 gene on growth of human esophageal cancer TE-1 cells. J. Jilin Univ. 2019, 45, 28–32. [Google Scholar]
- Sotgia, F.; Lisanti, M.P. Mitochondrial biomarkers predict tumor progression and poor overall survival in gastric cancers: Companion diagnostics for personalized medicine. Oncotarget 2017, 8, 67117–67128. [Google Scholar] [CrossRef] [PubMed]
- Wang, C.; Chen, Y.; Zhou, R.; Yang, Y.; Fang, Y. Systematic Analysis of Tumor Stem Cell-related Gene Characteristics to Predict the PD-L1 Immunotherapy and Prognosis of Gastric Cancer. Curr. Med. Chem. 2024, 31, 2467–2482. [Google Scholar] [CrossRef]
- Zhao, J.W.; Zhao, W.Y.; Cui, X.H.; Xing, L.; Shi, J.C.; Yu, L. The role of the mitochondrial ribosomal protein family in detecting hepatocellular carcinoma and predicting prognosis, immune features, and drug sensitivity. Clin. Transl. Oncol. 2024, 26, 496–514. [Google Scholar] [CrossRef] [PubMed]
- Ma, T.; Huang, Y.B.; Chen, J.; Zhang, L.; Liu, Y.H.; Lu, C.H. MRPL21 promotes HCC proliferation through TP53 mutation-induced apoptotic resistance. Tissue Cell 2024, 86, 102298. [Google Scholar] [CrossRef]
- Shi, Z.Z.; Shang, L.; Jiang, Y.Y.; Shi, F.; Xu, X.; Wang, M.R.; Hao, J.J. Identification of genomic biomarkers associated with the clinicopathological parameters and prognosis of esophageal squamous cell carcinoma. Cancer Biomark. 2015, 15, 755–761. [Google Scholar] [CrossRef]
- Aasebø, E.; Berven, F.S.; Hovland, R.; Døskeland, S.O.; Bruserud, Ø.; Selheim, F.; Hernandez-Valladares, M. The Progression of Acute Myeloid Leukemia from First Diagnosis to Chemoresistant Relapse: A Comparison of Proteomic and Phosphoproteomic Profiles. Cancers 2020, 12, 1466. [Google Scholar] [CrossRef]
- Khashei Varnamkhasti, K.; Moghanibashi, M.; Naeimi, S. Genes whose expressions in the primary lung squamous cell carcinoma are able to accurately predict the progression of metastasis through lymphatic system, inferred from a bioinformatics analyses. Sci. Rep. 2023, 13, 6733. [Google Scholar] [CrossRef] [PubMed]
- Lin, Y.X.; Pan, J.Y.; Feng, W.D.; Huang, T.C.; Li, C.Z. MRPL48 is a novel prognostic and predictive biomarker of hepatocellular carcinoma. Eur. J. Med. Res. 2023, 28, 589. [Google Scholar] [CrossRef]
- Hu, T.T.; Yang, J.W.; Yan, Y.; Chen, Y.Y.; Xue, H.B.; Xiang, Y.Q.; Ye, L.C. Detection of genes responsible for cetuximab sensitization in colorectal cancer cells using CRISPR-Cas9. Biosci. Rep. 2020, 40, BSR20201125. [Google Scholar] [CrossRef] [PubMed]
- Liu, L.; Luo, C.; Luo, Y.; Chen, L.; Liu, Y.; Wang, Y.; Han, J.; Zhang, Y.; Wei, N.; Xie, Z.; et al. MRPL33 and its splicing regulator hnRNPK are required for mitochondria function and implicated in tumor progression. Oncogene 2018, 37, 86–94. [Google Scholar] [CrossRef]
- Li, J.; Feng, D.; Gao, C.; Zhang, Y.; Xu, J.; Wu, M.; Zhan, X. Isoforms S and L of MRPL33 from alternative splicing have isoform-specific roles in the chemoresponse to epirubicin in gastric cancer cells via the PI3K/AKT signaling pathway. Int. J. Oncol. 2019, 54, 1591–1600. [Google Scholar] [CrossRef]
- Zhu, X.; Liu, Y.; Xu, J.; Cheng, Z.; Yu, Y.; Chu, M.; Lu, X.; Yuan, W. miR-608 rs4919510 Polymorphism May Affect Susceptibility to Colorectal Cancer by Upregulating MRPL43 Expression. DNA Cell Biol. 2020, 39, 2017–2027. [Google Scholar] [CrossRef] [PubMed]
- Abdul Aziz, N.A.; Mokhtar, N.M.; Harun, R.; Mollah, M.M.; Mohamed Rose, I.; Sagap, I.; Mohd Tamil, A.; Wan Ngah, W.Z.; Jamal, R. A 19-Gene expression signature as a predictor of survival in colorectal cancer. BMC Med. Genom. 2016, 9, 58. [Google Scholar] [CrossRef]
- Xin, C.; Lai, Y.; Ji, L.; Wang, Y.; Li, S.; Hao, L.; Zhang, W.; Meng, R.; Xu, J.; Hong, Y.; et al. A novel 9-gene signature for the prediction of postoperative recurrence in stage II/III colorectal cancer. Front. Genet. 2023, 13, 1097234. [Google Scholar] [CrossRef]
- Chen, K.; He, Y.; Liu, Y.; Yang, X. Gene signature associated with neuro-endocrine activity predicting prognosis of pancreatic carcinoma. Mol. Genet. Genomic Med. 2019, 7, e00729. [Google Scholar] [CrossRef] [PubMed]
- Liu, Z.; Zeinalzadeh, Z.; Huang, T.; Han, Y.; Peng, L.; Wang, D.; Zhou, Z.; Ousmane, D.; Wang, J. Mitochondria-related chemoradiotherapy resistance genes-based machine learning model associated with immune cell infiltration on the prognosis of esophageal cancer and its value in pan-cancer. Transl. Oncol. 2024, 42, 101896. [Google Scholar] [CrossRef] [PubMed]
- Tian, A.; Pu, K.; Li, B.; Li, M.; Liu, X.; Gao, L.; Mao, X. Weighted gene coexpression network analysis reveals hub genes involved in cholangiocarcinoma progression and prognosis. Hepatol. Res. 2019, 49, 1195–1206. [Google Scholar] [CrossRef] [PubMed]
- Kim, D.W.; Kim, Y.C.; Kovari, B.P.; Martinez, M.; Miao, R.; Yu, J.; Mehta, R.; Strosberg, J.; Imanirad, I.; Kim, R.D. Biomarker Analysis from a Phase I/Ib Study of Regorafenib and Nivolumab in Mismatch Repair-Proficient Advanced Refractory Colorectal Cancer. Cancers 2024, 16, 556. [Google Scholar] [CrossRef] [PubMed]
- Zhou, C.; Chen, Z.; Peng, C.; Chen, C.; Li, H. Long Noncoding RNA TRIM52-AS1 Sponges miR-514a-5p to Facilitate Hepatocellular Carcinoma Progression Through Increasing MRPS18A. Cancer Biother. Radiopharm. 2021, 36, 211–219. [Google Scholar] [CrossRef]
- Sørensen, K.M.; Meldgaard, T.; Melchjorsen, C.J.; Fridriksdottir, A.J.; Pedersen, H.; Petersen, O.W.; Kristensen, P. Upregulation of Mrps18a in breast cancer identified by selecting phage antibody libraries on breast tissue sections. BMC Cancer 2017, 17, 19. [Google Scholar] [CrossRef] [PubMed]
- Zhuang, L.; Meng, Z.; Yang, Z. MRPL27 contributes to unfavorable overall survival and disease-free survival from cholangiocarcinoma patients. Int. J. Med. Sci. 2021, 18, 936–943. [Google Scholar] [CrossRef] [PubMed]
- Huang, L.; Xu, D.; Qian, Y.; Zhang, X.; Guo, H.; Sha, M.; Hu, R.; Kong, X.; Xia, Q.; Zhang, Y. A gene signature is critical for intrahepatic cholangiocarcinoma stem cell self-renewal and chemotherapeutic response. Stem Cell Res. Ther. 2022, 13, 292. [Google Scholar] [CrossRef]
- Zhang, H.M.; Li, Z.Y.; Dai, Z.T.; Wang, J.; Li, L.W.; Zong, Q.B.; Li, J.P.; Zhang, T.C.; Liao, X.H. Interaction of MRPL9 and GGCT Promotes Cell Proliferation and Migration by Activating the MAPK/ERK Pathway in Papillary Thyroid Cancer. Int. J. Mol. Sci. 2022, 23, 11989. [Google Scholar] [CrossRef]
- Xu, H.; Zou, R.; Li, F.; Liu, J.; Luan, N.; Wang, S.; Zhu, L. MRPL15 is a novel prognostic biomarker and therapeutic target for epithelial ovarian cancer. Cancer Med. 2021, 10, 3655–3673. [Google Scholar] [CrossRef] [PubMed]
- Zhao, L.; Tang, Y.; Yang, J.; Lin, F.; Liu, X.; Zhang, Y.; Chen, J. Integrative analysis of circadian clock with prognostic and immunological biomarker identification in ovarian cancer. Front. Mol. Biosci. 2023, 10, 1208132. [Google Scholar] [CrossRef]
- Zou, X.; Hu, X.; He, F.; Zhang, M.; Kong, X.; Rui, S.; Liu, Y.; Wang, L.; Zheng, X.; Liu, J.; et al. LncRNA LINC00152 promotes oral squamous cell carcinoma growth via enhancing Upstream Transcription Factor 1 mediated Mitochondrial Ribosomal Protein L52 transcription. J. Oral. Pathol. Med. 2022, 51, 454–463. [Google Scholar] [CrossRef]
- Guo, T.; Zambo, K.D.A.; Zamuner, F.T.; Ou, T.; Hopkins, C.; Kelley, D.Z.; Wulf, H.A.; Winkler, E.; Erbe, R.; Danilova, L.; et al. Chromatin structure regulates cancer-specific alternative splicing events in primary HPV-related oropharyngeal squamous cell carcinoma. Epigenetics 2020, 15, 959–971. [Google Scholar] [CrossRef]
- Wei, Z.; Liu, C.; Liang, J.; Zhou, X.; Xue, K.; Wang, K.; Zhang, X. Characterization of Mitoribosomal Small Subunit unit genes related immune and pharmacogenomic landscapes in renal cell carcinoma. IUBMB Life 2024, 76, 647–665. [Google Scholar] [CrossRef] [PubMed]
- Yang, X.; Han, B.; Xie, Q.; Li, Y.; Li, Q.; Hu, X.; Zhao, H.; Xu, X. Low Expression of Mitochondrial Ribosomal Protein S5 is Associated With Poor Prognosis in Patients With Clear Cell Renal Cell Carcinoma. Appl. Immunohistochem. Mol. Morphol. 2025, 33, 22–28. [Google Scholar] [CrossRef] [PubMed]
- Hu, G.; Jiang, Q.; Liu, L.; Peng, H.; Wang, Y.; Li, S.; Tang, Y.; Yu, J.; Yang, J.; Liu, Z. Integrated Analysis of RNA-Binding Proteins Associated With the Prognosis and Immunosuppression in Squamous Cell Carcinoma of Head and Neck. Front. Genet. 2020, 11, 571403. [Google Scholar] [CrossRef]
- Abaji, R.; Ceppi, F.; Patel, S.; Gagné, V.; Xu, C.J.; Spinella, J.F.; Colombini, A.; Parasole, R.; Buldini, B.; Basso, G.; et al. Genetic risk factors for VIPN in childhood acute lymphoblastic leukemia patients identified using whole-exome sequencing. Pharmacogenomics 2018, 19, 1181–1193. [Google Scholar] [CrossRef]
- Liu, X.; Zhuang, H.; Li, F.; Lu, Y.; Pei, R. Prognostic Significance of Dual-Specificity Phosphatase 23 Expression in Acute Myeloid Leukemia. J. Blood Med. 2024, 15, 35–50. [Google Scholar] [CrossRef] [PubMed]
- Fu, Q.; Hong, R.; Zhou, H.; Li, Y.; Liu, X.; Gong, J.; Wang, X.; Chen, J.; Ran, H.; Wang, L.; et al. Proteomics reveals MRPL4 as a high-risk factor and a potential diagnostic biomarker for prostate cancer. Proteomics 2022, 22, e2200081. [Google Scholar] [CrossRef] [PubMed]
- Menyhárt, O.; Fekete, J.T.; Győrffy, B. Gene expression-based biomarkers designating glioblastomas resistant to multiple treatment strategies. Carcinogenesis 2021, 42, 804–813. [Google Scholar] [CrossRef] [PubMed]
- Liu, J.; Wu, S.; Xie, X.; Wang, Z.; Lei, Q. Identification of potential crucial genes and key pathways in osteosarcoma. Hereditas 2020, 157, 29. [Google Scholar] [CrossRef]
- Bell, J.L.; Hagemann, S.; Holien, J.K.; Liu, T.; Nagy, Z.; Schulte, J.H.; Misiak, D.; Hüttelmaier, S. Identification of RNA-Binding Proteins as Targetable Putative Oncogenes in Neuroblastoma. Int. J. Mol. Sci. 2020, 21, 5098. [Google Scholar] [CrossRef]
- Bae, J.S.; Lee, J.W.; Yoo, J.E.; Joung, J.G.; Yoo, K.H.; Koo, H.H.; Song, Y.M.; Sung, K.W. Genome-Wide Association Study for the Identification of Novel Genetic Variants Associated with the Risk of Neuroblastoma in Korean Children. Cancer Res. Treat. 2020, 52, 1251–1261. [Google Scholar] [CrossRef] [PubMed]
- Revathi Paramasivam, O.; Gopisetty, G.; Subramani, J.; Thangarajan, R. Expression and affinity purification of recombinant mammalian mitochondrial ribosomal small subunit (MRPS) proteins and protein-protein interaction analysis indicate putative role in tumourigenic cellular processes. J. Biochem. 2021, 169, 675–692. [Google Scholar] [CrossRef]
- Song, Y.; Li, G.; Zhang, Z.; Liu, Y.; Jia, H.; Zhang, C.; Wang, J.; Hu, Y.; Hao, F.; Liu, X.; et al. Integrated Transcriptomic Landscape and Deep Learning Based Survival Prediction in Uterine Sarcomas. Cancer Res. Treat. 2024. [Google Scholar] [CrossRef] [PubMed]
- Kim, H.J.; Maiti, P.; Barrientos, A. Mitochondrial ribosomes in cancer. Semin. Cancer Biol. 2017, 47, 67–81. [Google Scholar] [CrossRef] [PubMed]
- Zong, Y.; Li, H.; Liao, P.; Chen, L.; Pan, Y.; Zheng, Y.; Zhang, C.; Liu, D.; Zheng, M.; Gao, J. Mitochondrial dysfunction: Mechanisms and advances in therapy. Signal Transduct. Target. Ther. 2024, 9, 124. [Google Scholar] [CrossRef]
- Berner, M.J.; Wall, S.W.; Echeverria, G.V. Deregulation of mitochondrial gene expression in cancer: Mechanisms and therapeutic opportunities. Br. J. Cancer 2024, 131, 1415–1424. [Google Scholar] [CrossRef]
- Echtenkamp, F.J.; Ishida, R.; Rivera-Marquez, G.M.; Maisiak, M.; Johnson, O.T.; Shrimp, J.H.; Sinha, A.; Ralph, S.J.; Nisbet, I.; Cherukuri, M.K.; et al. Mitoribosome sensitivity to HSP70 inhibition uncovers metabolic liabilities of castration-resistant prostate cancer. PNAS Nexus 2023, 2, pgad115. [Google Scholar] [CrossRef]
- Vendramin, R.; Verheyden, Y.; Ishikawa, H.; Goedert, L.; Nicolas, E.; Saraf, K.; Armaos, A.; Delli Ponti, R.; Izumikawa, K.; Mestdagh, P.; et al. SAMMSON fosters cancer cell fitness by concertedly enhancing mitochondrial and cytosolic translation. Nat. Struct. Mol. Biol. 2018, 25, 1035–1046. [Google Scholar] [CrossRef]
- Dewaele, S.; Delhaye, L.; De Paepe, B.; de Bony, E.J.; De Wilde, J.; Vanderheyden, K.; Anckaert, J.; Yigit, N.; Nuytens, J.; Vanden Eynde, E.; et al. The long non-coding RNA SAMMSON is essential for uveal melanoma cell survival. Oncogene 2022, 41, 15–25. [Google Scholar] [CrossRef]
- Dijk, S.N.; Protasoni, M.; Elpidorou, M.; Kroon, A.M.; Taanman, J.W. Mitochondria as target to inhibit proliferation and induce apoptosis of cancer cells: The effects of doxycycline and gemcitabine. Sci. Rep. 2020, 10, 4363. [Google Scholar] [CrossRef] [PubMed]
- Protasoni, M.; Kroon, A.M.; Taanman, J.W. Mitochondria as oncotarget: A comparison between the tetracycline analogs doxycycline and COL-3. Oncotarget 2018, 9, 33818–33831. [Google Scholar] [CrossRef]
- Lamb, R.; Ozsvari, B.; Lisanti, C.L.; Tanowitz, H.B.; Howell, A.; Martinez-Outschoorn, U.E.; Sotgia, F.; Lisanti, M.P. Antibiotics that target mitochondria effectively eradicate cancer stem cells, across multiple tumor types: Treating cancer like an infectious disease. Oncotarget 2015, 6, 4569–4584. [Google Scholar] [CrossRef]
- Koch, D.T.; Yu, H.; Beirith, I.; Schirren, M.; Drefs, M.; Liu, Y.; Knoblauch, M.; Koliogiannis, D.; Sheng, W.; De Toni, E.N.; et al. Tigecycline causes loss of cell viability mediated by mitochondrial OXPHOS and RAC1 in hepatocellular carcinoma cells. J. Transl. Med. 2023, 21, 876. [Google Scholar] [CrossRef] [PubMed]
- Huang, S.W.; Sun, M.T.; Lee, W.S.; Su, Y.S.; Lee, Y.T.; Chiang, M.H.; Wang, Y.C.; Yang, Y.S.; Tzeng, S.C.; Wu, T.Y.; et al. Cancer as an infectious disease: A different treatment alternative using a combination of tigecycline and pyrvinium pamoate—An example of breast cancer. J. Microbiol. Immunol. Infect. 2022, 55, 51–59. [Google Scholar] [CrossRef] [PubMed]
- Hu, B.; Guo, Y. Inhibition of mitochondrial translation as a therapeutic strategy for human ovarian cancer to overcome chemoresistance. Biochem. Biophys. Res. Commun. 2019, 509, 373–378. [Google Scholar] [CrossRef]
- Delaunay, S.; Pascual, G.; Feng, B.; Klann, K.; Behm, M.; Hotz-Wagenblatt, A.; Richter, K.; Zaoui, K.; Herpel, E.; Münch, C.; et al. Mitochondrial RNA modifications shape metabolic plasticity in metastasis. Nature 2022, 607, 593–603. [Google Scholar] [CrossRef]
- Reed, G.A.; Schiller, G.J.; Kambhampati, S.; Tallman, M.S.; Douer, D.; Minden, M.D.; Yee, K.W.; Gupta, V.; Brandwein, J.; Jitkova, Y.; et al. A Phase 1 study of intravenous infusions of tigecycline in patients with acute myeloid leukemia. Cancer Med. 2016, 5, 3031–3040. [Google Scholar] [CrossRef]
- Scatena, C.; Roncella, M.; Di Paolo, A.; Aretini, P.; Menicagli, M.; Fanelli, G.; Marini, C.; Mazzanti, C.M.; Ghilli, M.; Sotgia, F.; et al. Doxycycline, an Inhibitor of Mitochondrial Biogenesis, Effectively Reduces Cancer Stem Cells (CSCs) in Early Breast Cancer Patients: A Clinical Pilot Study. Front. Oncol. 2018, 8, 452. [Google Scholar] [CrossRef] [PubMed]




| Subtypes | Samples | Expression Pattern | Differentially Expressed MRPs * |
|---|---|---|---|
| Luminal A | 563 | Upregulation | MRPL12, MRPL14, MRPL24, MRPL41, MRPL55, MRPS12, MRPS30, MRPS34 |
| Luminal B | 210 | Upregulation | MRPL12, MRPL13, MRPL14, MRPL15, MRPL17, MRPL21, MRPL24, MRPL27, MRPL47, MRPL55, MRPL58, CHCHD1, DAP3, MRPS12, MRPS23, MRPS28, MRPS30, MRPS34 |
| Basal-like | 190 | Upregulation | GADD45GIP1, MRPL2, MRPL4, MRPL9, MRPL12, MRPL13, MRPL14, MRPL15, MRPL36, MRPL37, MRPL47, MRPL51, MRPL55, DAP3, MRPS12, MRPS21, MRPS34 |
| HER2-enriched | 79 | Upregulation | MRPL12, MRPL13, MRPL14, MRPL27, MRPL41, MRPL47, MRPL58, CHCHD1, MRPS12, MRPS34 |
| Normal-like | 70 | Upregulation | MRPL13 |
| Cancer | Expression Pattern | Differentially Expressed MRPs * |
|---|---|---|
| AML | Downregulation | MRPL2, MRPL4, MRPL10, MRPL11, MRPL12, MRPL13, MRPL14, MRPL16, MRPL17, MRPL18, MRPL19, MRPL20, MRPL21, MRPL22, MRPL27, MRPL28, MRPL30, MRPL32, MRPL35, MRPL36, MRPL37, MRPL39, MRPL40, MRPL41, MRPL42, MRPL46, MRPL47, MRPL48, MRPL49, MRPL50, MRPL51, MRPL52, MRPL55, GADD45GIP1, MRPS18A, MRPS18B, MRPS18C, MRPS2, MRPS6, MRPS7, MRPS9, MRPS10, MRPS12, MRPS14, MRPS15, MRPS16, MRPS17, MRPS21, MRPS22, MRPS23, MRPS24, MRPS28, DAP3, MRPS33, MRPS34, MRPS35, CHCHD1, AURKAIP1 |
| Breast invasive carcinoma | Upregulation | MRPL3, MRPL13, MRPL14, MRPL17, MRPL24, MRPL42, MRPL47, MRPS30, MRPS23, DAP3, MRPS34, MRPS35 |
| Glioblastoma multiforme | Upregulation | MRPL3, MRPL11, MRPL13, MRPL14, MRPL19, MRPL22, MRPL24, MRPL36, MRPL39, MRPL40, MRPL42, MRPL44, MRPL47, MRPL49, MRPL52, MRPL53, MRPL54, MRPS6, MRPS10, MRPS12, MRPS14, MRPS16, MRPS23, MRPS28, DAP3, MRPS33, MRPS35 |
| Downregulation | MRPL41 | |
| Head and neck squamous cell carcinoma | Upregulation | MRPL47 |
| HCC | Upregulation | MRPL9, MRPL13, MRPL14, MRPL15, MRPL17, MRPL21, MRPL24, MRPL47, MRPL55, MRPS16, MRPS17, MRPS21, MRPS23, DAP3 |
| Kidney renal clear cell carcinoma | Downregulation | MRPS25 |
| Lower grade glioma | Upregulation | MRPL3, MRPL11, MRPL14, MRPL19, MRPL24, MRPL42, MRPS18B, MRPS14, MRPS16, MRPS23, MRPS28 |
| Downregulation | MRPL41 | |
| Ovarian serous cystadenocarcinoma | Upregulation | MRPL3, MRPL12, MRPL13, MRPL14, MRPL15, MRPL34, MRPL35, MRPL37, MRPL47, MRPL48, MRPS18A, MRPS11, MRPS12, MRPS15, MRPS16, MRPS35, AURKAIP1 |
| Pancreatic adenocarcinoma | Upregulation | MRPL1, MRPL3, MRPL4, MRPL9, MRPL11, MRPL12, MRPL13, MRPL14, MRPL15, MRPL16, MRPL17, MRPL18, MRPL19, MRPL20, MRPL21, MRPL22, MRPL24, MRPL27, MRPL28, MRPL30, MRPL33, MRPL34, MRPL35, MRPL36, MRPL41, MRPL42, MRPL43, MRPL44, MRPL46, MRPL47, MRPL48, MRPL49, MRPL50, MRPL51, MRPL52, MRPL53, MRPL54, MRPL55, MRPL57, GADD45GIP1, MRPS30, MRPS18A, MRPS18C, MRPS5, MRPS6, MRPS7, MRPS10, MRPS11, MRPS12, MRPS14, MRPS15, MRPS16, MRPS17, MRPS21, MRPS23, MRPS27, MRPS28, DAP3, MRPS31, MRPS34, MRPS35, CHCHD1, AURKAIP1 |
| Prostate adenocarcinoma | Upregulation | MRPL17 |
| Thyroid cancer | Upregulation | MRPL14, MRPL17 |
| Downregulation | PTCD3 | |
| Uterine corpus endometrial carcinoma | Upregulation | MRPL3, MRPL12, MRPL13, MRPL14, MRPL15, MRPL17, MRPL19, MRPL47, MRPL51, MRPL52, GADD45GIP1, MRPS12, MRPS15, MRPS16, MRPS17, MRPS26, MRPS33, MRPS34, CHCHD1, AURKAIP1 |
| Downregulation | PTCD3 | |
| Uterine carcinosarcoma | Upregulation | MRPL3, MRPL11, MRPL12, MRPL13, MRPL14, MRPL15, MRPL17, MRPL47, MRPL51, MRPL53, MRPS6, MRPS12, MRPS15, MRPS16, MRPS34, CHCHD1, AURKAIP1 |
| Downregulation | PTCD3 |
Disclaimer/Publisher’s Note: The statements, opinions and data contained in all publications are solely those of the individual author(s) and contributor(s) and not of MDPI and/or the editor(s). MDPI and/or the editor(s) disclaim responsibility for any injury to people or property resulting from any ideas, methods, instructions or products referred to in the content. |
© 2025 by the authors. Published by MDPI on behalf of the Lithuanian University of Health Sciences. Licensee MDPI, Basel, Switzerland. This article is an open access article distributed under the terms and conditions of the Creative Commons Attribution (CC BY) license (https://creativecommons.org/licenses/by/4.0/).
Share and Cite
Wu, H.; Zhu, X.; Zhou, H.; Sha, M.; Ye, J.; Yu, H. Mitochondrial Ribosomal Proteins and Cancer. Medicina 2025, 61, 96. https://doi.org/10.3390/medicina61010096
Wu H, Zhu X, Zhou H, Sha M, Ye J, Yu H. Mitochondrial Ribosomal Proteins and Cancer. Medicina. 2025; 61(1):96. https://doi.org/10.3390/medicina61010096
Chicago/Turabian StyleWu, Huiyi, Xiaowei Zhu, Huilin Zhou, Min Sha, Jun Ye, and Hong Yu. 2025. "Mitochondrial Ribosomal Proteins and Cancer" Medicina 61, no. 1: 96. https://doi.org/10.3390/medicina61010096
APA StyleWu, H., Zhu, X., Zhou, H., Sha, M., Ye, J., & Yu, H. (2025). Mitochondrial Ribosomal Proteins and Cancer. Medicina, 61(1), 96. https://doi.org/10.3390/medicina61010096

