Application of Closed Incision Negative Pressure Wound Therapy in Ventral Hernia Repair Surgery Using a Polypropylene Mesh: A Randomized Clinical Trial
Abstract
1. Introduction
2. Materials and Methods
2.1. Data Source
2.2. Statistical Analysis
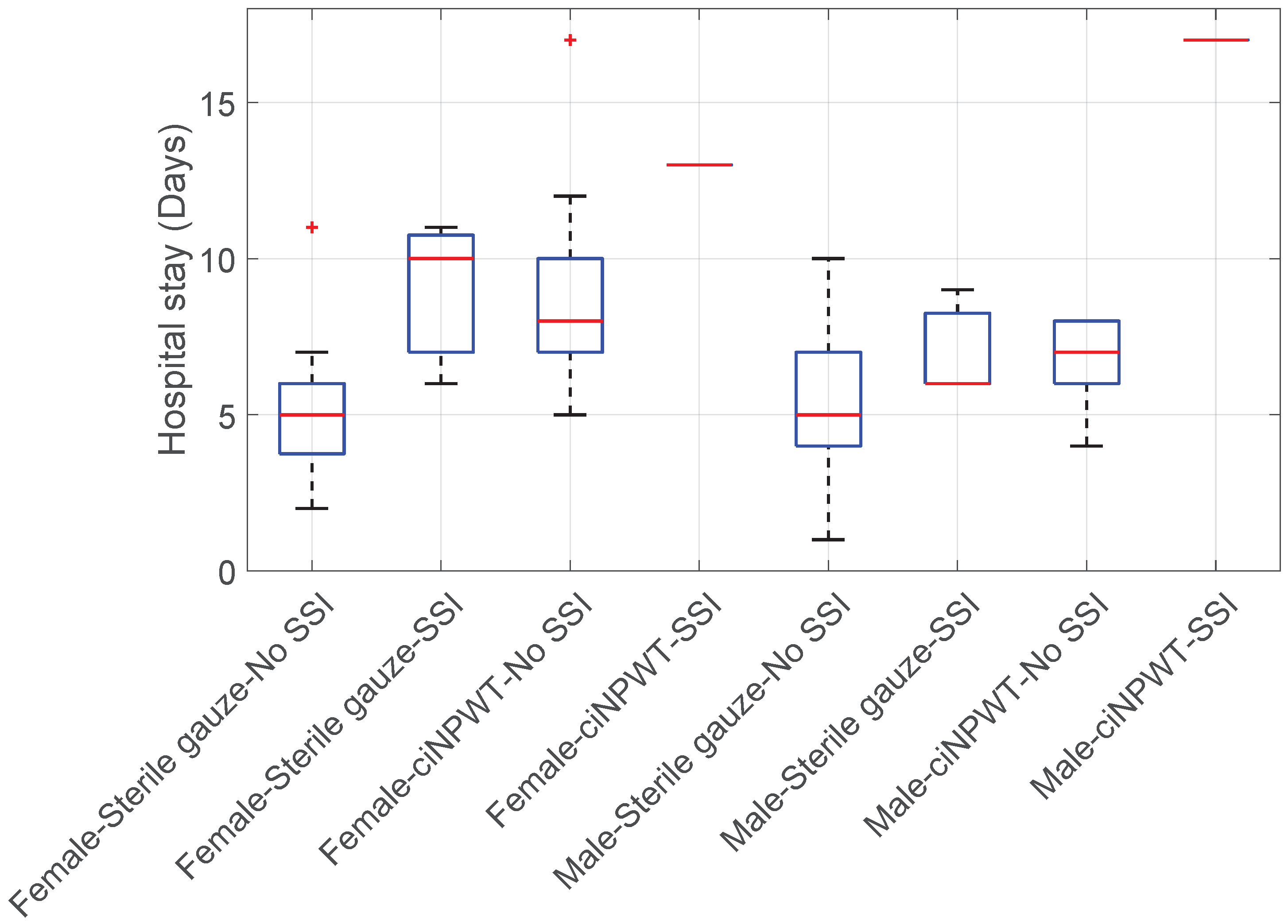
3. Results
4. Discussion
5. Conclusions
Author Contributions
Funding
Institutional Review Board Statement
Informed Consent Statement
Data Availability Statement
Conflicts of Interest
Abbreviations
| ANOVA | Analysis of variance |
| ASA | assessment of the general condition of the patient before surgery according to the American Society of Anesthesiology |
| BMI | body mass index |
| ciNPWT | Closed-incision negative-pressure wound therapy |
| CHOPN | chronic obstructive pulmonary disease |
| FET | Fisher’s exact test |
| HSD | honest significant difference |
| KWT | Kruskal–Wallis test |
| NPWT | negative pressure therapy |
| ORIF | open reduction, internal fixation |
| SSI | surgical site infection |
| V.A.C. | vacuum wound closure |
| VEGF | vascular endothelial growth factor |
References
- Popivanov, G.; Cirocchi, R.; Penchev, D.; Kjossev, K.; Konaktchieva, M.; Mutafchiyski, V. Successful Negative Pressure Therapy of Enteroatmospheric Fistula after Right Colectomy for Complicated Crohn’s Disease—A Proposal for a Three-Drain Wound-Separation Technique. Medicina 2022, 58, 199. [Google Scholar] [CrossRef] [PubMed]
- Berner-Hansen, V.; Oma, E.; Willaume, M.; Jensen, K.K. Prophylactic negative pressure wound therapy after open ventral hernia repair: A systematic review and meta-analysis. Hernia 2021, 25, 1481–1490. [Google Scholar] [CrossRef] [PubMed]
- Gombert, A.; Dillavou, E.; D’Agostino, R.; Griffin, L.; Robertson, J.M.; Eells, M. A systematic review and meta-analysis of randomized controlled trials for the reduction of surgical site infection in closed incision management versus standard of care dressings over closed vascular groin incisions. Vascular 2020, 28, 274–284. [Google Scholar] [CrossRef] [PubMed]
- Scalise, A.; Calamita, R.; Tartaglione, C.; Pierangeli, M.; Bolletta, E.; Gioacchini, M.; Gesuita, R.; Di Benedetto, G. Improving wound healing and preventing surgical site complications of closed surgical incisions: A possible role of Incisional Negative Pressure Wound Therapy. A systematic review of the literature. Int. Wound J. 2015, 13, 1260–1281. [Google Scholar] [CrossRef] [PubMed]
- Hrubovčák, J.; Jelínek, P.; Žídek, R.; Martínek, L. Prophylactic use of negative pressure wound therapy (Ci-NPWT) in aseptic surgery—A literature review. Cas. Lek. Ceskych 2023, 162, 207–211. [Google Scholar]
- Brennfleck, F.W.; Linsenmeier, L.; Junger, H.H.; Schmidt, K.M.; Werner, J.M.; Woehl, D.; Zeman, F.; Mutzbauer, I.; Hutchinson, J.A.; Geissler, E.K.; et al. Negative pressure wound therapy (NPWT) on closed incisions to prevent surgical site infection in high-risk patients in hepatopancreatobiliary surgery: Study protocol for a randomized controlled trial—The NP-SSI trial. Trials 2020, 21, 918. [Google Scholar] [CrossRef] [PubMed]
- Wilson, R.B.; Farooque, Y. Risks and Prevention of Surgical Site Infection After Hernia Mesh Repair and the Predictive Utility of ACS-NSQIP. J. Gastrointest. Surg. 2022, 26, 950–964. [Google Scholar] [CrossRef] [PubMed]
- Pieš, M.; Hájovský, R.; Velička, J. Design, Implementation and Data Analysis of an Embedded System for Measuring Environmental Quantities. Sensors 2020, 20, 2304. [Google Scholar] [CrossRef] [PubMed]
- Lindmark, M.; Löwenmark, T.; Strigård, K.; Gunnarsson, U. Major complications and mortality after ventral hernia repair: An eleven-year Swedish nationwide cohort study. BMC Surg. 2022, 22, 426. [Google Scholar] [CrossRef] [PubMed]
- Hamilton, J.; Kushner, B.; Holden, S.; Holden, T. Age-Related Risk Factors in Ventral Hernia Repairs: A Review and Call to Action. J. Surg. Res. 2021, 266, 180–191. [Google Scholar] [CrossRef] [PubMed]
- Park, H.; de Virgilio, C.; Kim, D.Y.; Shover, A.L.; Moazzez, A. Effects of smoking and different BMI cutoff points on surgical site infection after elective open ventral hernia repair. Hernia 2020, 25, 337–343. [Google Scholar] [CrossRef] [PubMed]
- Sørensen, L.T.; Toft, B.G.; Rygaard, J.; Ladelund, S.; Paddon, M.; James, T.; Taylor, R.; Gottrup, F. Effect of smoking, smoking cessation, and nicotine patch on wound dimension, vitamin C, and systemic markers of collagen metabolism. Surgery 2010, 148, 982–990. [Google Scholar] [CrossRef] [PubMed]
- Guo, C.; Cheng, T.; Li, J. Prophylactic negative pressure wound therapy for closed laparotomy incisions after ventral hernia repair: A systematic review and meta-analysis. Int. J. Surg. 2022, 97, 106216. [Google Scholar] [CrossRef] [PubMed]














| Column of Table | Description |
|---|---|
| Patient ID | Generated unique anonymous number |
| Age | Years |
| Sex | Female/Male |
| ASA Classification | 1–6 (in this case: 2–3) |
| Duration of Surgery | Minutes |
| Hernia Area | cm2 |
| Body Mass Index (BMI) | kg/m2 |
| Diabetes Mellitus (DM) | No/Yes |
| Smoker | No/Yes |
| Hospital stay | Days |
| Chronic Obstructive Pulmonary Disease (CHOPN) | No/Yes |
| Method | Sterile gauze/ciNPWT |
| Surgical site infections (SSIs) | No/Yes; Yes, if there is an infection at some checkup |
| Number of Days with NPWT at 90 mmHg | Days (in this case, always 5 days of treatment.) |
Disclaimer/Publisher’s Note: The statements, opinions and data contained in all publications are solely those of the individual author(s) and contributor(s) and not of MDPI and/or the editor(s). MDPI and/or the editor(s) disclaim responsibility for any injury to people or property resulting from any ideas, methods, instructions or products referred to in the content. |
© 2024 by the authors. Published by MDPI on behalf of the Lithuanian University of Health Sciences. Licensee MDPI, Basel, Switzerland. This article is an open access article distributed under the terms and conditions of the Creative Commons Attribution (CC BY) license (https://creativecommons.org/licenses/by/4.0/).
Share and Cite
Jelinek, P.; Hrubovcak, J.; Hajovsky, R.; Velicka, J.; Pies, M. Application of Closed Incision Negative Pressure Wound Therapy in Ventral Hernia Repair Surgery Using a Polypropylene Mesh: A Randomized Clinical Trial. Medicina 2024, 60, 1548. https://doi.org/10.3390/medicina60091548
Jelinek P, Hrubovcak J, Hajovsky R, Velicka J, Pies M. Application of Closed Incision Negative Pressure Wound Therapy in Ventral Hernia Repair Surgery Using a Polypropylene Mesh: A Randomized Clinical Trial. Medicina. 2024; 60(9):1548. https://doi.org/10.3390/medicina60091548
Chicago/Turabian StyleJelinek, Petr, Jan Hrubovcak, Radovan Hajovsky, Jan Velicka, and Martin Pies. 2024. "Application of Closed Incision Negative Pressure Wound Therapy in Ventral Hernia Repair Surgery Using a Polypropylene Mesh: A Randomized Clinical Trial" Medicina 60, no. 9: 1548. https://doi.org/10.3390/medicina60091548
APA StyleJelinek, P., Hrubovcak, J., Hajovsky, R., Velicka, J., & Pies, M. (2024). Application of Closed Incision Negative Pressure Wound Therapy in Ventral Hernia Repair Surgery Using a Polypropylene Mesh: A Randomized Clinical Trial. Medicina, 60(9), 1548. https://doi.org/10.3390/medicina60091548

