Surgery for Active Infective Endocarditis on Mitral Valve: Anatomical, Surgical, and Disease Factors as Long-Term Outcome Modifiers
Abstract
1. Introduction
2. Materials and Methods
2.1. Study Design and Ethical Approval
2.2. Population and Data Collection
2.3. IE Characterization and Management
2.4. Statistical Analysis
3. Definitions
4. Results
4.1. Baseline Characteristics
4.2. Endocarditis Characteristics
4.3. Operative Data
4.4. Postoperative Early Outcomes
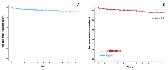
4.5. Long-Term Outcomes
5. Discussion
6. Limitations
7. Conclusions
Author Contributions
Funding
Institutional Review Board Statement
Informed Consent Statement
Data Availability Statement
Conflicts of Interest
References
- Lee, H.A.; Cheng, Y.T.; Wu, V.C.C.; Chou, A.H.; Chu, P.H.; Tsai, F.C.; Chen, S.W. Nationwide cohort study of mitral valve repair versus replacement for infective endocarditis. J. Thorac. Cardiovasc. Surg. 2018, 156, 1473–1483. [Google Scholar] [CrossRef] [PubMed]
- Toyoda, N.; Itagaki, S.; Egorova, N.N.; Tannous, H.; Anyanwu, A.C.; El-Eshmawi, A.; Adams, D.H.; Chikwe, J. Real-world outcomes of surgery for native mitral valve endocarditis. J. Thorac. Cardiovasc. Surg. 2017, 154, 1906–1912. [Google Scholar] [CrossRef]
- Moore, R.A.; Witten, J.C.; Lowry, A.M.; Shrestha, N.K.; Blackstone, E.H.; Unai, S.; Pettersson, G.B.; Wierup, P.; Chemtob, R.A.; Gillinov, A.M.; et al. Isolated mitral valve endocarditis: Patient, disease, and surgical factors that influence outcomes. J. Thorac. Cardiovasc. Surg. 2024, 167, 127–140.e15. [Google Scholar] [CrossRef] [PubMed]
- Van Vlasselaer, A.; Rasmussen, M.; Nilsson, J.; Olaison, L.; Ragnarsson, S. Native aortic versus mitral valve infective endocarditis: A nationwide registry study. Open Heart 2019, 6, e000926. [Google Scholar] [CrossRef] [PubMed]
- Tepsuwan, T.; Rimsukcharoenchai, C.; Tantraworasin, A.; Taksaudom, N.; Woragidpoonpol, S.; Chuaratanaphong, S.; Nawarawong, W. Comparison between mitral valve repair and replacement in active infective endocarditis. Gen. Thorac. Cardiovasc. Surg. 2019, 67, 1030–1037. [Google Scholar] [CrossRef] [PubMed]
- Di Bacco, L.; D‘Alonzo, M.; Di Mauro, M.; Petruccelli, R.D.; Baudo, M.; Palacios, C.M.; Benussi, S.; Muneretto, C.; Rosati, F. Mitral valve surgery in acute infective endocarditis: Long-term outcomes of mitral valve repair versus replacement. J. Cardiovasc. Med. (Hagerstown) 2024, 25, 30–37. [Google Scholar] [CrossRef] [PubMed]
- Helmers, M.R.; Fowler, C.; Kim, S.T.; Shin, M.; Han, J.J.; Arguelles, G.; Bryski, M.; Hargrove, W.C.; Atluri, P. Repair of Isolated Native Mitral Valve Endocarditis: A Propensity Matched Study. Semin. Thorac. Cardiovasc. Surg. 2022, 34, 490–499. [Google Scholar] [CrossRef] [PubMed]
- Shang, E.; Forrest, G.N.; Chizmar, T.; Chim, J.; Brown, J.M.; Zhan, M.; Zoarski, G.H.; Griffith, B.P.; Gammie, J.S. Mitral valve infective endocarditis: Benefit of early operation and aggressive use of repair. Ann. Thorac. Surg. 2009, 87, 1728–1733. [Google Scholar] [CrossRef] [PubMed]
- Said, S.M.; Abdelsattar, Z.M.; Schaff, H.V.; Greason, K.L.; Daly, R.C.; Pochettino, A.; Joyce, L.D.; Dearani, J.A. Outcomes of surgery for infective endocarditis: A single-centre experience of 801 patients. Eur. J. Cardiothorac. Surg. 2018, 53, 435–439. [Google Scholar] [CrossRef]
- Brescia, A.A.; Watt, T.M.F.; Rosenbloom, L.M.; Williams, A.M.; Bolling, S.F.; Romano, M.A. Patient and Surgeon Predictors of Mitral and Tricuspid Valve Repair for Infective Endocarditis. Semin. Thorac. Cardiovasc. Surg. 2022, 34, 67–77. [Google Scholar] [CrossRef]
- Feringa, H.H.; Shaw, L.J.; Poldermans, D.; Hoeks, S.; van der Wall, E.E.; Dion, R.A.; Bax, J.J. Mitral valve repair and replacement in endocarditis: A systematic review of literature. Ann. Thorac. Surg. 2007, 83, 564–570. [Google Scholar] [CrossRef] [PubMed]
- Pang, P.Y.; Sin, Y.K.; Lim, C.H.; Tan, T.E.; Lim, S.L.; Chao, V.T.; Chua, Y.L. Surgical management of infective endocarditis: An analysis of early and late outcomes. Eur. J. Cardiothorac. Surg. 2015, 47, 826–832. [Google Scholar] [CrossRef] [PubMed]
- Scheggi, V.; Merilli, I.; Marcucci, R.; Del Pace, S.; Olivotto, I.; Zoppetti, N.; Ceschia, N.; Andrei, V.; Alterini, B.; Stefàno, P.L.; et al. Predictors of mortality and adverse events in patients with infective endocarditis: A retrospective real-world study in a surgical centre. BMC Cardiovasc. Disord. 2021, 21, 28. [Google Scholar] [CrossRef]
- Habib, G.; Lancellotti, P.; Antunes, M.J.; Bongiorni, M.G.; Casalta, J.P.; Del Zotti, F.; Dulgheru, R.; El Khoury, G.; Erba, P.A.; ESC Scientific Document Group; et al. 2015 ESC Guidelines for the management of infective endocarditis: The Task Force for the Management of Infective Endocarditis of the European Society of Cardiology (ESC). Endorsed by: European Association for Cardio-Thoracic Surgery (EACTS), the European Association of Nuclear Medicine (EANM). Eur. Heart J. 2015, 36, 3075–3128. [Google Scholar]
- Defauw, R.J.; Tomšič, A.; van Brakel, T.J.; Marsan, N.A.; Klautz, R.J.M.; Palmen, M. A structured approach to native mitral valve infective endocarditis: Is repair better than replacement? Eur. J. Cardiothorac. Surg. 2020, 58, 544–550. [Google Scholar] [CrossRef] [PubMed]
- Sheikh, A.M.; Elhenawy, A.M.; Maganti, M.; Armstrong, S.; David, T.E.; Feindel, C.M. Outcomes of surgical intervention for isolated active mitral valve endocarditis. J. Thorac. Cardiovasc. Surg. 2009, 137, 110–116. [Google Scholar] [CrossRef] [PubMed]
- Perrotta, S.; Fröjd, V.; Lepore, V.; Schersten, H.; Jeppsson, A.; Svensson, G. Surgical treatment for isolated mitral valve endocarditis: A 16-year single-centre experience. Eur. J. Cardiothorac. Surg. 2018, 53, 576–581. [Google Scholar] [CrossRef] [PubMed]
- El Gabry, M.; Haidari, Z.; Mourad, F.; Nowak, J.; Tsagakis, K.; Thielmann, M.; Wendt, D.; Jakob, H.; Shehada, S.E. Outcomes of mitral valve repair in acute native mitral valve infective endocarditis. Interact. Cardiovasc. Thorac. Surg. 2019, 29, 823–829. [Google Scholar] [CrossRef] [PubMed]
- Wang, S.; Zhou, T.; Bian, J.; Li, G.; Zhang, W.; Chen, S.; Jiang, Y. Clinical outcomes following surgical mitral valve plasty or replacement in patients with infectious endocarditis: A meta-analysis. Front. Surg. 2023, 9, 1048036. [Google Scholar] [CrossRef]
- He, K.; Song, J.; Luo, H.; Su, H.; Liang, W.; Bian, L.; Yue, H.; Wu, Z. Valve replacement or repair in native mitral valve infective endocarditis-Which is better? A meta-analysis and systematic review. J. Card. Surg. 2022, 37, 1004–1015. [Google Scholar] [CrossRef]
- Harky, A.; Hof, A.; Garner, M.; Froghi, S.; Bashir, M. Mitral valve repair or replacement in native valve endocarditis? Systematic review and meta-analysis. J. Card. Surg. 2018, 33, 364–371. [Google Scholar] [CrossRef] [PubMed]
- Hussain, S.T.; Shrestha, N.K.; Gordon, S.M.; Houghtaling, P.L.; Blackstone, E.H.; Pettersson, G.B. Residual patient, anatomic, and surgical obstacles in treating active left-sided infective endocarditis. J. Thorac. Cardiovasc. Surg. 2014, 148, 981–988. [Google Scholar] [CrossRef] [PubMed]
- Tomšic, A.; Versteegh, M.I.M.; Ajmone Marsan, N.; van Brakel, T.J.; Klautz, R.J.M.; Palmen, M. Early and late results of surgical treatment for isolated active native mitral valve infective endocarditis. Interact. Cardiovasc. Thorac. Surg. 2018, 26, 610–616. [Google Scholar] [CrossRef] [PubMed]
- Solari, S.; De Kerchove, L.; Tamer, S.; Aphram, G.; Baert, J.; Borsellino, S.; Mastrobuoni, S.; Navarra, E.; Noirhomme, P.; Astarci, P.; et al. Active infective mitral valve endocarditis: Is a repair-oriented surgery safe and durable? Eur. J. Cardiothorac. Surg. 2019, 55, 256–262. [Google Scholar] [CrossRef] [PubMed]
- Ng Yin Ling, C.; Bleetman, D.; Pal, S.; Leung, H.C.K.; Khan, H.; Whitaker, D.; Wendler, O.; Deshpande, R.; Baghai, M. Should more patients be offered repair for mitral valve endocarditis? a single-centre 15-year experience. J. Cardiothorac. Surg. 2022, 17, 243. [Google Scholar] [CrossRef]
- Malvindi, P.G.; Luthra, S.; Zingale, A.; Bifulco, O.; Berretta, P.; Pierri, M.D.; Ohri, S.K.; Di Eusanio, M. Surgical repair and replacement for native mitral valve infective endocarditis. J. Cardiovasc. Med. (Hagerstown) 2024, 19, 10–2459. [Google Scholar] [CrossRef] [PubMed]
- Miura, T.; Obase, K.; Ariyoshi, T.; Matsumaru, I.; Yokose, S.; Nakaji, S.; Tasaki, Y.; Shimada, T.; Miyamoto, J.; Eishi, K. Impact of Lesion Localization on Durability of Mitral Valve Repair in Infective Endocarditis. Ann. Thorac. Surg. 2020, 109, 1335–1342. [Google Scholar] [CrossRef] [PubMed]
- de Kerchove, L.; Price, J.; Tamer, S.; Glineur, D.; Momeni, M.; Noirhomme, P.; El Khoury, G. Extending the scope of mitral valve repair in active endocarditis. J. Thorac. Cardiovasc. Surg. 2012, 143, S91–S95. [Google Scholar] [CrossRef]
- Kehara, H.; Minakata, K.; McCarthy, J.; Sunagawa, G.; Mangukia, C.; Brann, S.; Zhao, H.; Boova, R.; Toyoda, Y. Early and late results of mitral valve repair with anterior leaflet patch augmentation. Interact. Cardiovasc. Thorac. Surg. 2022, 35, ivac144. [Google Scholar] [CrossRef]
- Murdoch, D.R.; Corey, G.R.; Hoen, B.; Miró, J.M.; Fowler, V.G., Jr.; Bayer, A.S.; Karchmer, A.W.; Olaison, L.; Pappas, P.A.; Moreillon, P.; et al. Clinical presentation, etiology, and outcome of infective endocarditis in the 21st century: The International Collaboration on Endocarditis-Prospective Cohort Study. Arch. Intern. Med. 2009, 169, 463–473. [Google Scholar] [CrossRef]
- Miro, J.M.; Hoen, B.; Cabell, C.H.; Abrutyn, E.; Rubinstein, E.; Corey, G.R.; Spelman, D.; Bradley, S.F.; Barsic, B.; Pappas, P.A.; et al. Staphylococcus aureus endocarditis: A consequence of medical progress. JAMA 2005, 293, 3012–3021. [Google Scholar]
- Remadi, J.P.; Habib, G.; Nadji, G.; Brahim, A.; Thuny, F.; Casalta, J.P.; Peltier, M.; Tribouilloy, C. Predictors of death and impact of surgery in Staphylococcus aureus infective endocarditis. Ann. Thorac. Surg. 2007, 83, 1295–1302. [Google Scholar] [CrossRef] [PubMed]
- Liesenborghs, L.; Meyers, S.; Lox, M.; Criel, M.; Claes, J.; Peetermans, M.; Trenson, S.; Vande Velde, G.; Vanden Berghe, P.; Baatsen, P.; et al. Staphylococcus aureus endocarditis: Distinct mechanisms of bacterial adhesion to damaged and inflamed heart valves. Eur. Heart J. 2019, 40, 3248–3259. [Google Scholar] [CrossRef] [PubMed]



| n = 335 N (%) | |
|---|---|
| Male | 239 (71.3) |
| Age, years (median IQR) | 64 (53–71) |
| BMI, kg/m2 (median IQR) | 24.1 (21.3–27) |
| NYHA III–IV | 84 (25.7) |
| Hypertension | 115 (34.7) |
| Diabetes | 54 (16.3) |
| Smoking | 128 (38.2) |
| CKD (creatinine > 2 mg) | 32 (9.6) |
| COPD | 43 (13) |
| Previous stroke | 52 (15.8) |
| Peripheral arteriopathy | 11 (4.1) |
| Previous cardiac surgery | 18 (5.5) |
| Preoperative mechanical ventilation | 17 (6.3) |
| Preoperative IABP | 1 (1.3) |
| LVEF < 50% | 59 (18.3) |
| Urgent/emergent status | 69 (20.6) |
| n = 335 N (%) | |
|---|---|
| Pathology | |
| Site | |
| Annulus | 33 (10.7) |
| Posterior leaflet | 100 (32.4) |
| Anterior leaflet | 70 (22.7) |
| Bileaflet | 81 (26.2) |
| Commissures | 66 (21.4) |
| Lesions | |
| Vegetations | 260 (84.1) |
| Cusp tear | 134 (45.6) |
| Extended disease | 89 (25.6) |
| Microorganism | |
| Staphylococcus aureus | 75 (22.7) |
| Coagulase-negative Staphylococcus | 23 (6.9) |
| Enterococcus | 23 (6.9) |
| Streptococcus species | 127 (38.4) |
| Gram-positive coccus | 15 (4.5) |
| Fungi | - |
| Polymicrobial | 10 (3) |
| Culture-negative endocarditis | 45 (13.4) |
| Other | 13 (3.9) |
| n = 335 N (%) | |
|---|---|
| Procedure | |
| Mitral valve repair | 108 (32.2) |
| Anterior leaflet lesion | 25 (23.1) |
| Posterior leaflet lesion | 55 (50.9) |
| Bileaflet lesion | 17 (15.7) |
| Extended disease | 17 (15.7) |
| Mitral valve replacement | 227 (67.8) |
| Anterior leaflet lesion | 45 (19.8) |
| Posterior leaflet lesion | 45 (19.8) |
| Bileaflet lesion | 64 (28.2) |
| Extended disease | 72 (31.7) |
| Type of mitral valve repair | |
| Ring implantation | 80 (23.9) |
| Primary leaflet(s) resection/repair | 50 (14.9) |
| Shaving leaflet | 16 (4.8) |
| Implantation of artificial chords | 15 (4.5) |
| Leaflet(s) repair with patch | 13 (3.8) |
| Type of prosthesis | |
| Biological | 152/227 (67) |
| Mechanical | 75/227 (33) |
| Concomitant procedure | |
| Aortic valve replacement | 102 (30.4) |
| Tricuspid valve repair | 26 (7.8) |
| CABG | 36 (10.7) |
| CPB time (minutes), median (IQR) | 120 (88–157) |
| X-Clamp time (minutes), median (IQR) | 92 (66.8–123) |
| Postoperative data | |
| In-hospital mortality | 27 (8.1) |
| Stroke | 13 (4) |
| Dialysis | 14 (4.3) |
| Bleeding | 15 (4.6) |
| Deep wound complication | 4 (2.3) |
| Hospital stay (days) | 19 (8–22) |
| HR | 95% CI | p-Value | |
|---|---|---|---|
| Age | 1.04 | 1.03; 1.07 | <0.001 |
| Previous cardiac surgery | 3.41 | 1.21; 9.61 | 0.02 |
| COPD | 2.99 | 1.60; 5.60 | 0.001 |
| Vegetations | 2.17 | 0.87; 5.18 | 0.07 |
| Arteriopathy | 3.46 | 1.01; 12.7 | 0.05 |
| Pathogens | |||
| Streptococcus species (ref.) | — | — | — |
| Coagulase-negative Staphylococcus | 0.81 | 0.30; 2.21 | 0.8 |
| Enterococcus | 0.85 | 0.24; 3.04 | 0.8 |
| Gram-positive coccus | 1.89 | 0.41; 8.67 | 0.4 |
| Polymicrobial | 2.76 | 0.62; 12.18 | 0.2 |
| Other | 1.03 | 0.51; 2.08 | 0.9 |
| Staphylococcus aureus | 2.66 | 1.43; 4.91 | 0.002 |
| Type of surgery (repair vs. replacement) | 1.27 | 0.75; 2.14 | 0.37 |
Disclaimer/Publisher’s Note: The statements, opinions and data contained in all publications are solely those of the individual author(s) and contributor(s) and not of MDPI and/or the editor(s). MDPI and/or the editor(s) disclaim responsibility for any injury to people or property resulting from any ideas, methods, instructions or products referred to in the content. |
© 2024 by the authors. Licensee MDPI, Basel, Switzerland. This article is an open access article distributed under the terms and conditions of the Creative Commons Attribution (CC BY) license (https://creativecommons.org/licenses/by/4.0/).
Share and Cite
Berretta, P.; Bifulco, O.; Luthra, S.; Tessari, C.; Zingale, A.; Bergonzoni, E.; Galeazzi, M.; Lombardi, V.; Malvindi, P.G.; Gerosa, G.; et al. Surgery for Active Infective Endocarditis on Mitral Valve: Anatomical, Surgical, and Disease Factors as Long-Term Outcome Modifiers. Medicina 2024, 60, 879. https://doi.org/10.3390/medicina60060879
Berretta P, Bifulco O, Luthra S, Tessari C, Zingale A, Bergonzoni E, Galeazzi M, Lombardi V, Malvindi PG, Gerosa G, et al. Surgery for Active Infective Endocarditis on Mitral Valve: Anatomical, Surgical, and Disease Factors as Long-Term Outcome Modifiers. Medicina. 2024; 60(6):879. https://doi.org/10.3390/medicina60060879
Chicago/Turabian StyleBerretta, Paolo, Olimpia Bifulco, Suvitesh Luthra, Chiara Tessari, Anna Zingale, Emma Bergonzoni, Michele Galeazzi, Valentina Lombardi, Pietro Giorgio Malvindi, Gino Gerosa, and et al. 2024. "Surgery for Active Infective Endocarditis on Mitral Valve: Anatomical, Surgical, and Disease Factors as Long-Term Outcome Modifiers" Medicina 60, no. 6: 879. https://doi.org/10.3390/medicina60060879
APA StyleBerretta, P., Bifulco, O., Luthra, S., Tessari, C., Zingale, A., Bergonzoni, E., Galeazzi, M., Lombardi, V., Malvindi, P. G., Gerosa, G., Ohri, S., & Di Eusanio, M. (2024). Surgery for Active Infective Endocarditis on Mitral Valve: Anatomical, Surgical, and Disease Factors as Long-Term Outcome Modifiers. Medicina, 60(6), 879. https://doi.org/10.3390/medicina60060879

