Time Is Life: Golden Ten Minutes on Scene–EuReCa_Serbia 2014–2023
Abstract
1. Introduction
2. Materials and Methods
3. Results
- population size greater than 100,000 inhabitants (vs. less than 100,000),
- patient age of 65 years or less (vs. more than 65 years),
- female sex (vs. male),
- cardiac OHCA etiology (vs. non-cardiac),
- out-of-residence OHCA location (vs. residence),
- EMS-witnessed OHCA (vs. bystander-witnessed),
- EMS-initiated CPR (vs. bystander-initiated),
- dispatcher-assisted bystander-CPR (vs. dispatcher-non-assisted), and
- full bystander-CPR (vs. cardiac compressions only—CCO).
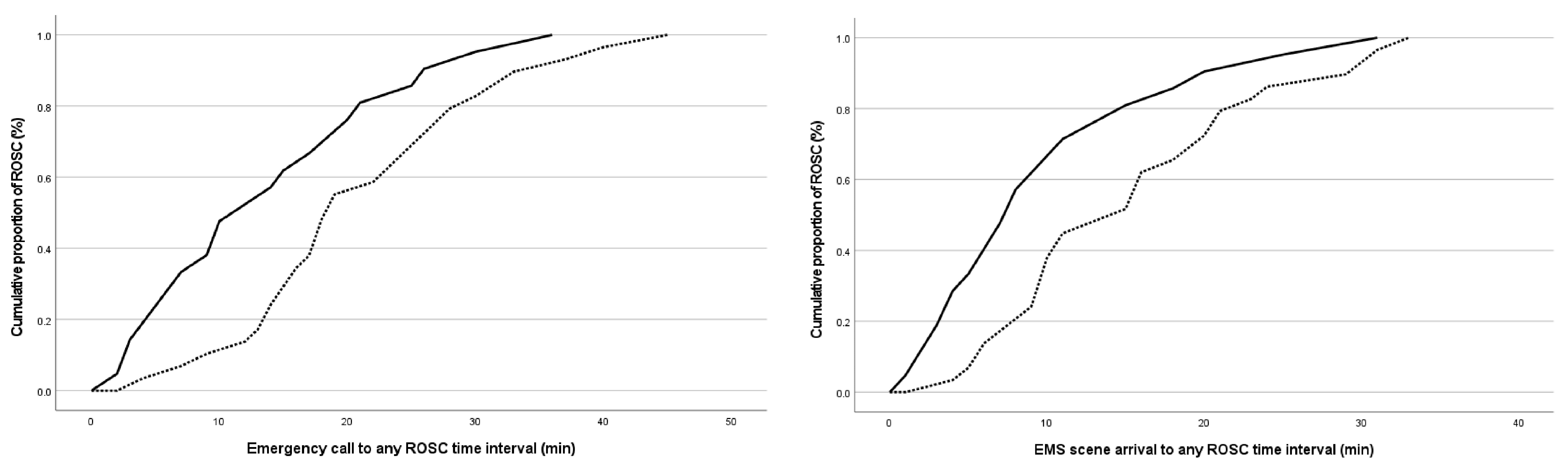
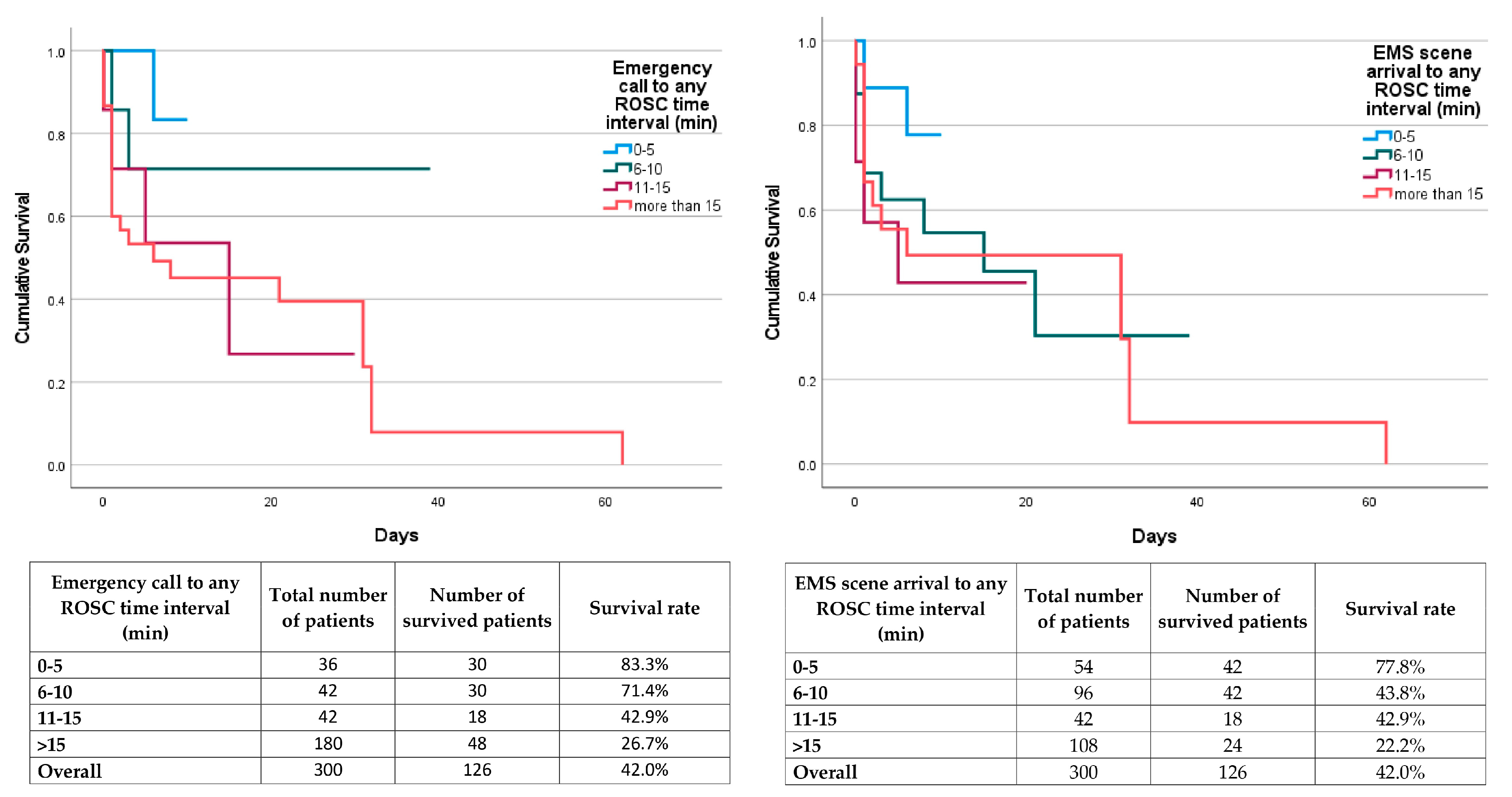
Influence of Time-Related Factors and Distance to Nearest Hospital on Pre-Hospital Outcomes and Survival to Hospital Discharge
4. Discussion
5. Conclusions
Author Contributions
Funding
Institutional Review Board Statement
Informed Consent Statement
Data Availability Statement
Acknowledgments
Conflicts of Interest
References
- Tsao, C.W.; Aday, A.W.; Almarzooq, Z.I.; Alonso, A.; Beaton, A.Z.; Bittencourt, M.S.; Boehme, A.K.; Buxton, A.E.; Carson, A.P.; Commodore-Mensah, Y.; et al. Heart Disease and Stroke Statistics—2022 Update: A Report from the American Heart Association. Circulation 2022, 145, e153–e639. [Google Scholar]
- Go, A.S.; Mozaffarian, D.; Roger, V.L.; Benjamin, E.J.; Berry, J.D.; Blaha, M.J.; Dai, S.; Ford, E.S.; Fox, C.S.; Franco, S.; et al. Heart disease and stroke statistics—2014 update: A report from the American Heart Association. Circulation 2014, 129, e28–e292. [Google Scholar] [CrossRef] [PubMed]
- Berdowski, J.; Berg, R.A.; Tijssen, J.G.; Koster, R.W. Global incidences of out-of-hospital cardiac arrest and survival rates: Systematic review of 67 prospective studies. Resuscitation 2010, 81, 1479–1487. [Google Scholar] [CrossRef] [PubMed]
- Nolan, J.P.; Soar, J.; Zideman, D.A.; Biarent, D.; Bossaert, L.L.; Deakin, C.; Koster, R.W.; Wyllie, J.; Böttiger, B. European Resuscitation Council Guidelines for Resuscitation 2010 Section 1. Executive summary. Resuscitation 2010, 81, 1219–1276. [Google Scholar] [CrossRef] [PubMed]
- Gräsner, J.T.; Herlitz, J.; Tjelmeland, I.B.M.; Wnent, J.; Masterson, S.; Lilja, G.; Bein, B.; Böttiger, B.W.; Rosell-Ortiz, F.; Nolan, J.P.; et al. European Resuscitation Council Guidelines 2021: Epidemiology of cardiac arrest in Europe. Resuscitation 2021, 161, 61–79. [Google Scholar] [CrossRef] [PubMed]
- Gräsner, J.T.; Böttiger, B.W.; Bossaert, L. EuReCa_One—ONE month—ONE Europe—ONE goal. Resuscitation 2014, 85, 1307–1308. [Google Scholar] [CrossRef]
- Wnent, J.; Masterson, S.; Grasner, J.T.; Böttiger, B.W.; Herlitz, J.; Koster, R.W.; Rosell Ortiz, F.; Tjelmeland, I.; Maurer, H.; Bossaert, L. EuReCa_One—27 Nations, ONE Europe, ONE Registry: A prospective observational analysis over one month in 27 resuscitation registries in Europe—The EuReCa_One study protocol. Scand. J. Trauma. Resusc. Emerg. Med. 2015, 23, 7. [Google Scholar] [CrossRef] [PubMed]
- Fiser, Z.; Raffay, V.; Vlajovic, S.; Klickovic, A.; Lazic, A.; Jaksic-Horvat, K. The program of monitoring the occurrence of cardiac arrest EuReCa_One—Serbia 2014. J. Resusc. Balc. 2015, 1, 5–8. [Google Scholar] [CrossRef]
- Grasner, J.T.; Lefering, R.; Koster, R.W.; Masterson, S.; Böttiger, B.W.; Herlitz, J.; Wnent, J.; Tjelmeland, I.B.; Ortiz, F.R.; Maurer, H.; et al. EuReCa_One-27 Nations, ONE Europe, ONE Registry: A prospective one month analysis of out-of-hospital cardiac arrest outcomes in 27 countries in Europe. Resuscitation 2016, 105, 188–195. [Google Scholar] [PubMed]
- Grasner, J.T.; Wnent, J.; Herlitz, J.; Perkins, G.D.; Lefering, R.; Tjelmeland, I.; Koster, R.W.; Masterson, S.; Rossell-Ortiz, F.; Maurer, H.; et al. Survival after out-of-hospital cardiac arrest in Europe—Results of the EuReCa_Two study. Resuscitation 2020, 148, 218–226. [Google Scholar] [CrossRef]
- Wnent, J.; Masterson, S.; Maurer, H.; Tjelmeland, I.; Herlitz, J.; Ortiz, F.R.; Kurbach, E.; Bossaert, L.; Perkins, G.; Gräsner, J.T. European Registry of Cardiac Arrest—Study-THREE (EuReCa_Three)—An international, prospective, multi-centre, three-month survey of epidemiology, treatment and outcome of patients with out-of-hospital cardiac arrest in Europe—The study protocol. Resusc. Plus 2022, 12, 100314. [Google Scholar] [CrossRef] [PubMed]
- Fiser, Z.; Jaksic Horvat, K.; Vlajovic, S.; Milic, S.; Lazic, A.; Raffay, V. EuReCa_One 2014 Serbia. Med. Danas 2015, 14, 95–102. [Google Scholar]
- Jaksic Horvat, K.; Budimski, M.; Momirovic Stojkovic, M.; Gavrilovic, N.; Fiser, Z. EuReCa_Serbia One 2014—Cardiopulmonal Resuscitation by Bystander. J. Resusc. Balc. 2016, 2, 5–8. [Google Scholar]
- Jaksic Horvat, K.; Budimski, M.; Momirovic Stojkovic, M.; Holcer Vukelic, S. EuReCa_One 2014—ROSC Analysis. J. Resusc. Balc. 2016, 2, 9–13. [Google Scholar]
- Fiser, Z.; Budimski, M.; Jaksic Horvat, K. EuReCa 2015—Serbia. J. Resusc. Balc. 2016, 2, 5–8. [Google Scholar] [CrossRef]
- Budimski, M.; Jakcic Horvat, K.; Momirovic-Stojkovic, M.; Fiser, Z. EuReCa_Serbia 2015–2016—Two-year analysis. J. Resusc. Balc. 2017, 3, 18–21. [Google Scholar] [CrossRef]
- Tijanic, J.; Raffay, V.; Budimski, M. EuReCa 2017 Follow up in Republic of Serbia—Six months report. J. Resusc. Balc. 2017, 3, 37–40. [Google Scholar] [CrossRef]
- Milic, S.; Raffay, V. EuReCa_Serbia: How far we have progressed? J. Resusc. Balc. 2018, 4, 103–107. [Google Scholar] [CrossRef]
- Nikolovski, S.S.; Bozic, N.B.; Fiser, Z.Z.; Lazic, A.D.; Tijanic, J.Z.; Raffay, V.I. Dispatcher-Assisted Cardiopulmonary Resuscitation—Influence on Return of Spontaneous Circulation and Short-Term Survival. Gen. Reanimatol. 2021, 17, 52–64. [Google Scholar] [CrossRef]
- Nikolovski, S.S.; Lazic, A.D.; Fiser, Z.Z.; Obradovic, I.; Randjelovic, S.S.; Tijanic, J.Z.; Raffay, V.I. Initial Outcomes and Survival of Out-of-Hospital Cardiac Arrest: EuReCa_Serbia Multicenter Cohort Study. Cureus 2021, 13, e18555. [Google Scholar] [CrossRef]
- Nikolovski, S.; Budimski Soldat, M.; Fiser, Z.; Obradovic, I.; Raffay, V. Predicting outcomes of cardiac-cause out-of-hospital cardiac arrest in patients receiving bystander cardiopulmonary resuscitation. In Proceedings of the American College of Physicians Internal Medicine Meeting 2022, Chicago, IL, USA, 28–30 April 2022. [Google Scholar]
- Gräsner, J.T.; Herlitz, J.; Koster, R.W.; Rosell-Ortiz, F.; Stamatakis, L.; Bossaert, L. Quality management in resuscitation–towards a European cardiac arrest registry (EuReCa). Resuscitation 2011, 82, 989–994. [Google Scholar] [CrossRef] [PubMed]
- Task force of representatives from the European Resuscitation Council; American Heart Association, Heart and Stroke Foundation of Canada; Australian Resuscitation Council. Recommended guidelines for uniform reporting of data from out-of-hospital cardiac arrest—The “Utstein” Style. Br. Heart J. 1992, 67, 325–333. [Google Scholar] [CrossRef] [PubMed][Green Version]
- Cummins, R.O.; Chamberlain, D.A.; Abramson, N.S.; Allen, M.; Baskett, P.J.; Becker, L.; Bossaert, L.; Delooz, H.H.; Dick, W.F.; Eisenberg, M.S. Recommended guidelines for uniform reporting of data from out-of-hospital cardiac arrest: The Utstein Style. A statement for health professionals from a task force of the American Heart Association, the European Resuscitation Council, the Heart and Stroke Foundation of Canada, and the Australian Resuscitation Council. Circulation 1991, 84, 960–975. [Google Scholar] [PubMed]
- Perkins, G.D.; Jacobs, I.G.; Nadkarni, V.M.; Berg, R.A.; Bhanji, F.; Biarent, D.; Bossaert, L.L.; Brett, S.J.; Chamberlain, D.; de Caen, A.R.; et al. Cardiac Arrest and Cardiopulmonary Resuscitation Outcome Reports: Update of the Utstein Resuscitation Registry Templates for Out-of-Hospital Cardiac Arrest: A Statement for Healthcare Professionals From a Task Force of the International Liaison Committee on Resuscitation (American Heart Association, European Resuscitation Council, Australian and New Zealand Council on Resuscitation, Heart and Stroke Foundation of Canada, InterAmerican Heart Foundation, Resuscitation Council of Southern Africa, Resuscitation Council of Asia); and the American Heart Association Emergency Cardiovascular Care Committee and the Council on Cardiopulmonary, Critical Care, Perioperative and Resuscitation. Resuscitation 2015, 96, 328–340. [Google Scholar]
- Requena-Morales, R.; Palazon-Bru, A.; Rizo-Baeza, M.M.; Adsuar-Quesada, J.M.; Gil-Guillén, V.F.; Cortés-Castell, E. Mortality after out-of-hospital cardiac arrest in a Spanish Region. PLoS ONE 2017, 12, e0175818. [Google Scholar] [CrossRef] [PubMed]
- Ruiz-Azpiazu, J.I.; Daponte-Codina, A.; Fernández Del Valle, P.; López-Cabeza, N.; Jiménez-Fàbrega, F.X.; Iglesias-Vázquez, J.A.; Guirao-Salinas, F.Á.; González-León, M.J.; Fernández-Martínez, B.; Echarri-Sucunza, A.; et al. Regional variation in the incidence, general characteristics, and outcomes of prehospital cardiac arrest in Spain: The Out-of-Hospital Spanish Cardiac Arrest Registry. Variabilidad regional en incidencia, características generales y resultados finales de la parada cardiaca extrahospitalaria en España: Registro OHSCAR. Emergencias 2021, 33, 15–22. [Google Scholar] [PubMed]
- Alm-Kruse, K.; Tjelmeland, I.; Kongsgård, H.; Kvåle, R.; Kramer-Johansen, J. Case completeness in the Norwegian Cardiac Arrest Registry. Resusc. Plus 2021, 8, 100182. [Google Scholar] [CrossRef] [PubMed]
- Skulec, R.; Sin, R.; Knor, J.; Svitak, R.; Franek, O.; Mokrejs, P.; Smrzova, E.; Dudakova, J.; Truhlar, A. Epidemiology of out-of-hospital cardiac arrest in the Czech Republic—National results of the EuReCa_One trial. Anesteziol. Intenziv. Med. 2017, 28, 176–182. [Google Scholar]
- Møller, S.G.; Wissenberg, M.; Møller-Hansen, S.; Folke, F.; Hansen, C.M.; Kragholm, K.; Ringgren, K.B.; Karlsson, L.; Lohse, N.; Lippert, F.; et al. Regional variation in out-of-hospital cardiac arrest: Incidence and survival—A nationwide study of regions in Denmark. Resuscitation 2020, 148, 191–199. [Google Scholar] [CrossRef]
- Jensen, T.W.; Blomberg, S.N.; Folke, F.; Mikkelsen, S.; Rostgaard-Knudsen, M.; Juelsgaard, P.; Christensen, E.F.; Torp-Pedersen, C.; Lippert, F.; Christensen, H.C. The National Danish Cardiac Arrest Registry for Out-of-Hospital Cardiac Arrest—A Registry in Transformation. Clin. Epidemiol. 2022, 14, 949–957. [Google Scholar] [CrossRef]
- Gach, D.; Nowak, J.U.; Krzych, L.J. Epidemiology of out-of-hospital cardiac arrest in the Bielsko-Biala district: A 12-month analysis. Kardiol. Pol. 2016, 74, 1180–1187. [Google Scholar] [CrossRef] [PubMed]
- Szczerbinski, S.; Ratajczak, J.; Lach, P.; Rzeszuto, J.; Paciorek, P.; Karlowska-Pik, J.; Ziemkiewicz, B.; Jasiewicz, M.; Kubica, A. Epidemiology and chronobiology of out-of-hospital cardiac arrest in a subpopulation of southern Poland: A two-year observation. Cardiol. J. 2020, 27, 16–24. [Google Scholar] [CrossRef] [PubMed]
- Nadolny, K.; Zyśko, D.; Obremska, M.; Wierzbik-Strońska, M.; Ładny, J.R.; Podgórski, M.; Gałązkowski, R. Analysis of out-of-hospital cardiac arrest in Poland in a 1-year period: Data from the POL-OHCA registry. Kardiol. Pol. 2020, 78, 404–411. [Google Scholar] [CrossRef] [PubMed]
- Zheng, J.; Lv, C.; Zheng, W.; Zhang, G.; Tan, H.; Ma, Y.; Zhu, Y.; Li, C.; Han, X.; Yan, S.; et al. Incidence, process of care, and outcomes of out-of-hospital cardiac arrest in China: A prospective study of the BASIC-OHCA registry. Lancet Public Health 2023, 8, e923–e932. [Google Scholar] [CrossRef] [PubMed]
- Mody, P.; Pandey, A.; Slutsky, A.S.; Segar, M.W.; Kiss, A.; Dorian, P.; Parsons, J.; Scales, D.C.; Rac, V.E.; Cheskes, S.; et al. Gender-Based Differences in Outcomes Among Resuscitated Patients with Out-of-Hospital Cardiac Arrest. Circulation 2021, 143, 641–649. [Google Scholar] [CrossRef]
- Awad, E.; Humphries, K.; Grunau, B.; Besserer, F.; Christenson, J. The effect of sex and age on return of spontaneous circulation and survival to hospital discharge in patients with out of hospital cardiac arrest: A retrospective analysis of a Canadian population. Resusc. Plus 2021, 5, 100084. [Google Scholar] [CrossRef] [PubMed]
- Luc, G.; Baert, V.; Escutnaire, J.; Genin, M.; Vilhelm, C.; Di Pompéo, C.; El Khoury, C.; Segal, N.; Wiel, E.; Adnet, F.; et al. Epidemiology of out-of-hospital cardiac arrest: A French national incidence and mid-term survival rate study. Anaesth. Crit. Care Pain. Med. 2019, 38, 131–135. [Google Scholar] [CrossRef] [PubMed]
- Hubar, I.; Fischer, M.; Monaco, T.; Gräsner, J.T.; Westenfeld, R.; Bernhard, M. Development of the epidemiology and outcomes of out-of-hospital cardiac arrest using data from the German Resuscitation Register over a 15-year period (EpiCPR study). Resuscitation 2023, 182, 109648. [Google Scholar] [CrossRef] [PubMed]
- Alabdali, A.; Alghamdi, A.; Binhotan, M.; Alshibani, A.; Alharbi, M.; Alghaith, A.; Altuwaijri, M.; Albaiz, S.; Aldibasi, O.; Alwarhi, M.; et al. Epidemiology and outcomes of out of hospital cardiac arrest in Saudi Arabia: Findings from the Saudi Out of Hospital cardiac Arrest Registry (SOHAR). Resusc. Plus 2023, 17, 100516. [Google Scholar] [CrossRef] [PubMed]
- Hawkes, C.; Booth, S.; Li, C.; Brace-McDonnell, S.J.; Whittington, A.; Mapstone, J.; Cooke, M.W.; Deakin, C.D.; Gale, C.P.; Fothergill, R.; et al. Epidemiology and outcomes from out-of-hospital cardiac arrests in England. Resuscitation 2017, 110, 133–140. [Google Scholar] [CrossRef]
- Mauri, R.; Burkart, R.; Benvenuti, C.; Caputo, M.L.; Moccetti, T.; Del Bufalo, A.; Gallino, A.; Casso, C.; Anselmi, L.; Cassina, T.; et al. Better management of out-of-hospital cardiac arrest increases survival rate and improves neurological outcome in the Swiss Canton Ticino. Europace 2016, 18, 398–404. [Google Scholar] [CrossRef] [PubMed]
- National Ambulance Service. Out-of-Hospital Cardiac Arrest Register Annual Report 2021. October 2022. Available online: https://www.nationalambulanceservice.ie/publications/ohcar-annual-report-2021.pdf (accessed on 22 January 2024).
- Rosell-Ortiz, F.; Escalada-Roig, X.; Fernández Del Valle, P.; Sánchez-Santos, L.; Navalpotro-Pascual, J.M.; Echarri-Sucunza, A.; Adsuar-Quesada, J.M.; Ceniceros-Rozalén, I.; Ruiz-Azpiazu, J.I.; Ibarguren-Olalde, K.; et al. Out-of-hospital cardiac arrest (OHCA) attended by mobile emergency teams with a physician on board. Results of the Spanish OHCA Registry (OSHCAR). Resuscitation 2017, 113, 90–95. [Google Scholar] [CrossRef] [PubMed]
- Lin, Y.N.; Chang, S.S.; Wang, L.M.; Chi, H.T.; Ueng, K.C.; Tsai, C.F.; Phan, C.S.; Lu, L.H.; Hii, C.H.; Chung, Y.T.; et al. Prehospital Predictors of Initial Shockable Rhythm in Out-of-Hospital Cardiac Arrest: Findings from the Taichung Sudden Unexpected Death Registry (THUNDER). Mayo Clin. Proc. 2017, 92, 347–359. [Google Scholar] [CrossRef] [PubMed]
- Granfeldt, A.; Wissenberg, M.; Hansen, S.M.; Lippert, F.K.; Lang-Jensen, T.; Hendriksen, O.M.; Torp-Pedersen, C.; Christensen, E.F.; Christiansen, C.F. Clinical predictors of shockable versus non-shockable rhythms in patients with out-of-hospital cardiac arrest. Resuscitation 2016, 108, 40–47. [Google Scholar] [CrossRef] [PubMed]
- Tang, P.W.; Chen, C.W.; Lai, W.T.; Lee, K.T. Predictors of return of spontaneous circulation in patients resuscitated from out-of-hospital cardiac arrest. Int. J. Cardiol. 2015, 190, 181–182. [Google Scholar] [CrossRef] [PubMed]
- Navab, E.; Esmaeili, M.; Poorkhorshidi, N.; Salimi, R.; Khazaei, A.; Moghimbeigi, A. Predictors of Out of Hospital Cardiac Arrest Outcomes in Pre-Hospital Settings; a Retrospective Cross-sectional Study. Arch. Acad. Emerg. Med. 2019, 7, 36. [Google Scholar]
- Baldi, E.; Caputo, M.L.; Savastano, S.; Burkart, R.; Klersy, C.; Benvenuti, C.; Sgromo, V.; Palo, A.; Cianella, R.; Cacciatore, E.; et al. An Utstein-based model score to predict survival to hospital admission: The UB-ROSC score. Int. J. Cardiol. 2020, 308, 84–89. [Google Scholar] [CrossRef] [PubMed]
- Kaziród-Wolski, K.; Sielski, J.; Jóźwiak, M.; Wolska, M.; Bernardi, M.; Spadafora, L.; Biondi-Zoccai, G.; Siudak, Z.; Versaci, F. Does PM 2.5 and PM 10-associated heavy metals affect short-term and long-term survival after out-of-hospital cardiac arrest? Four-year study based on regional registry. Minerva Med. 2024, 115, 14–22. [Google Scholar] [CrossRef] [PubMed]
- Wnent, J.; Tjelmeland, I.; Lefering, R.; Koster, R.W.; Maurer, H.; Masterson, S.; Herlitz, J.; Böttiger, B.W.; Ortiz, F.R.; Perkins, G.D.; et al. To ventilate or not to ventilate during bystander CPR—A EuReCa_Two analysis. Resuscitation 2021, 166, 101–109. [Google Scholar] [CrossRef]
- Grunau, B.; Reynolds, J.; Scheuermeyer, F.; Stenstom, R.; Stub, D.; Pennington, S.; Cheskes, S.; Ramanathan, K.; Christenson, J. Relationship between Time-to-ROSC and Survival in Out-of-hospital Cardiac Arrest ECPR Candidates: When is the Best Time to Consider Transport to Hospital? Prehosp Emerg. Care 2016, 20, 615–622. [Google Scholar] [CrossRef]
- de Graaf, C.; Donders, D.N.V.; Beesems, S.G.; Koster, R.W. Time to return of spontaneous circulation (ROSC) and survival in out-of-hospital cardiac arrest (OHCA) patients in the Netherlands. Resuscitation 2018, 130, E31–E32. [Google Scholar] [CrossRef]
- de Graaf, C.; Beesems, S.G.; Koster, R.W. Time of on-scene resuscitation in out of-hospital cardiac arrest patients transported without return of spontaneous circulation. Resuscitation 2019, 138, 235–242. [Google Scholar] [CrossRef] [PubMed]
- de Graaf, C.; Donders, D.N.V.; Beesems, S.G.; Henriques, J.P.S.; Koster, R.W. Time to Return of Spontaneous Circulation and Survival: When to Transport in out-of-Hospital Cardiac Arrest? Prehosp Emerg. Care 2021, 25, 171–181. [Google Scholar] [CrossRef] [PubMed]
- Banerjee, P.; Ganti, L.; Stead, T.G.; Vera, A.E.; Vittone, R.; Pepe, P.E. Every one-minute delay in EMS on-scene resuscitation after out-of-hospital pediatric cardiac arrest lowers ROSC by 5. Resusc. Plus 2020, 5, 100062. [Google Scholar] [CrossRef] [PubMed]
- Park, H.A.; Ahn, K.O.; Lee, E.J.; Park, J.O.; On Behalf of The Korean Cardiac Arrest Research Consortium KoCARC Investigators. Association between Survival and Time of On-Scene Resuscitation in Refractory Out-of-Hospital Cardiac Arrest: A Cross-Sectional Retrospective Study. Int. J. Environ. Res. Public Health 2021, 18, 496. [Google Scholar] [CrossRef] [PubMed]
- Nikolovski, S.S.; Lazic, A.D.; Fiser, Z.Z.; Obradovic, I.A.; Tijanic, J.Z.; Raffay, V.; Lazic, A.; Fiser, Z.; Obradovic, I.; Tijanic, J. Recovery and Survival of Patients After Out-of-Hospital Cardiac Arrest: A Literature Review Showcasing the Big Picture of Intensive Care Unit-Related Factors. Cureus 2024, 16, e54827. [Google Scholar] [CrossRef] [PubMed]
- Hallstrom, A.P.; Ornato, J.P.; Weisfeldt, M.; Travers, A.; Christenson, J.; McBurnie, M.A.; Zalenski, R.; Becker, L.B.; Schron, E.B.; Proschan, M.; et al. Public-access defibrillation and survival after out-of-hospital cardiac arrest. N. Engl. J. Med. 2004, 351, 637–646. [Google Scholar]
- Perkins, G.D.; Ji, C.; Deakin, C.D.; Quinn, T.; Nolan, J.P.; Scomparin, C.; Regan, S.; Long, J.; Slowther, A.; Pocock, H.; et al. A Randomized Trial of Epinephrine in Out-of-Hospital Cardiac Arrest. N. Engl. J. Med. 2018, 379, 711–721. [Google Scholar] [CrossRef]
- Coute, R.A.; Nathanson, B.H.; Kurz, M.C.; McNally, B.; Mader, T.J.; CARES Surveillance Group. The association between scene time interval and neurologic outcome following adult bystander witnessed out-of-hospital cardiac arrest. Am. J. Emerg. Med. 2021, 46, 628–633. [Google Scholar] [CrossRef]
- Majewski, D.; Ball, S.; Bailey, P.; Mckenzie, N.; Bray, J.; Morgan, A.; Finn, J. Survival to hospital discharge is equivalent to 30-day survival as a primary survival outcome for out-of-hospital cardiac arrest studies. Resuscitation 2021, 166, 43–48. [Google Scholar] [CrossRef]




| Cause | N (%) |
|---|---|
| Not recorded | 276 (3.0) |
| Cardiac | 3962 (42.6) |
| Unknown (presumed cardiac) | 2400 (25.8) |
| Total cardiac | 6362 (68.4) |
| Trauma | 407 (4.4) |
| Submersion | 40 (0.4) |
| Respiratory | 379 (4.1) |
| Other non-cardiac | 1424 (15.3) |
| Missing data | 411 (4.4) |
| Location | N (%) |
| Residence | 7259 (78.0) |
| Long term care | 504 (5.4) |
| Workplace/office | 90 (1.0) |
| Street | 727 (7.8) |
| Public building | 268 (2.9) |
| Sports facility | 17 (0.2) |
| Outpatient hospital | 23 (0.3) |
| Ambulance car | 11 (0.1) |
| Other | 402 (4.3) |
| Unknown | 1 (0.0) |
| Variable | N | Per 100,000/Annum (Mean ± SD) |
|---|---|---|
| OHCA | 9303 | 85.60 ± 20.73 |
| Residence as OHCA location | 7259 | 66.73 ± 13.12 |
| Public place | 1012 | 10.19 ± 7.89 |
| Other location | 628 | 5.00 ± 6.66 |
| All witnessed | 5304 | 53.87 ± 21.31 |
| Witnessed by bystander | 4162 | 41.49 ± 17.63 |
| Witnessed by EMS | 795 | 8.12 ± 4.59 |
| CPR Attempted | 4053 | 44.77 ± 22.34 |
| Bystander-initiated CPR | 638 | 6.60 ± 3.98 |
| EMS-initiated CPR | 2979 | 26.77 ± 10.50 |
| Any ROSC | 1037 | 10.81 ± 7.73 |
| Admission ROSC | 792 | 8.18 ± 5.05 |
| Hospital discharge survival | 201 | 1.81 ± 2.39 |
| Variables | Shockable Rhythm N (%) | p Value | Any ROSC N (%) | p Value | Hospital Admission ROSC N (%) | p Value | |
|---|---|---|---|---|---|---|---|
| Population | ≤100,000 | 377 (31.3) | <0.001 | 378 (30.5) | <0.001 | 291 (58.7) | <0.001 |
| >100,000 | 525 (18.9) | 656 (22.2) | 499 (28.9) | ||||
| Patient age | ≤65 years | 521 (29.9) | <0.001 | 502 (27.4) | <0.001 | 377 (36.9) | 0.242 |
| >65 years | 383 (17.1) | 535 (22.7) | 415 (34.5) | ||||
| Patient sex | Male | 649 (25.1) | <0.001 | 672 (24.6) | 0.807 | 519 (35.5) | 0.983 |
| Female | 255 (18.4) | 365 (24.9) | 273 (35.6) | ||||
| Etiology of OHCA | Cardiac | 881 (26.3) | <0.001 | 792 (23.6) | <0.001 | 628 (33.4) | <0.001 |
| Non-cardiac | 17 (2.9) | 199 (33.7) | 158 (48.9) | ||||
| OHCA location | Residence | 547 (19.1) | <0.001 | 560 (18.6) | <0.001 | 415 (27.4) | <0.001 |
| Out of residence | 357 (32.1) | 477 (40.4) | 377 (52.7) | ||||
| Bystander-witnessed or EMS-witnessed | Bystander | 597 (21.6) | <0.001 | 637 (21.8) | <0.001 | 472 (31.0) | <0.001 |
| EMS | 248 (34.5) | 338 (44.9) | 275 (56.4) | ||||
| Bystander CPR (within bystander witnessed group) | Yes | 216 (35.4) | <0.001 | 224 (35.1) | <0.001 | 172 (53.9) | <0.001 |
| No | 662 (20.6) | 796 (23.4) | 606 (33.8) | ||||
| Dispatcher-assisted CPR (within bystander CPR group) | Yes | 89 (32.5) | <0.001 | 96 (32.9) | 0.003 | 88 (50.6) | <0.001 |
| No | 796 (22.7) | 921 (25.0) | 687 (36.7) | ||||
| CCO or full CPR (within bystander CPR group) | CCO | 69 (28.9) | <0.001 | 80 (32.4) | 0.019 | 68 (50.7) | 0.741 |
| Full | 97 (45.5) | 98 (42.8) | 66 (52.8) | ||||
| Outcome | Predictor | p | OR | 95% CI |
|---|---|---|---|---|
| Shockable Initial Rhythm | Population > 100,000 | 0.013 | 0.543 | 0.335–0.880 |
| Female Sex | 0.02 | 0.567 | 0.352–0.914 | |
| Cardiac Cause | 0.002 | 3.767 | 1.618–8.770 | |
| Out-of-Residence Location | <0.001 | 2.891 | 1.801–4.641 | |
| Bystander Full CPR (vs. CCO) | <0.001 | 2.272 | 1.449–3.564 | |
| Any ROSC | Patient Age ≤ 65 years | 0.006 | 1.803 | 1.187–2.737 |
| Cardiac Cause | <0.001 | 0.340 | 0.192–0.601 | |
| Out-of-Residence Location | <0.001 | 2.554 | 1.617–4.032 | |
| DA (vs. non-DA) Bystander CPR | 0.046 | 0.648 | 0.423–0.992 | |
| Bystander Full CPR (vs. CCO) | 0.025 | 1.607 | 1.061–2.432 | |
| Shockable Initial Rhythm | <0.001 | 5.461 | 4.647–6.418 | |
| Admission ROSC | Population > 100,000 | <0.001 | 0.468 | 0.301–0.729 |
| Cardiac Cause | 0.004 | 0.486 | 0.299–0.791 | |
| Out-of-Residence Location | 0.044 | 1.585 | 1.013–2.480 | |
| Shockable Initial Rhythm | <0.001 | 4.434 | 3.639–5.404 |
| Emergency Call to Any ROSC Time Interval (min) | Maximum Duration of Hospitalization (days) | Med (IQR) Days in Survived Patients | Med (IQR) Days in All Patients |
|---|---|---|---|
| 0–5 | 10 | 9 (9–9) | 9 (7–9) |
| 6–10 | 39 | 16 (10–16) | 10 (3–16) |
| 11–15 | 30 | 9 (4–30) | 5 (1–15) |
| >15 | 62 | 10 (5–23) | 4 (1–21) |
| EMS scene arrival to any ROSC time interval (min) | Maximum duration of hospitalization (days) | Med (IQR) days in survived patients | Med (IQR) days in all patients |
| 0–5 | 10 | 9 (9–10) | 4 (1–6) |
| 6–10 | 39 | 16 (7–30) | 1 (1–8) |
| 11–15 | 20 | 5 (5–20) | 1 (0–4) |
| >15 | 62 | 18 (5–25) | 3 (1–31) |
Disclaimer/Publisher’s Note: The statements, opinions and data contained in all publications are solely those of the individual author(s) and contributor(s) and not of MDPI and/or the editor(s). MDPI and/or the editor(s) disclaim responsibility for any injury to people or property resulting from any ideas, methods, instructions or products referred to in the content. |
© 2024 by the authors. Licensee MDPI, Basel, Switzerland. This article is an open access article distributed under the terms and conditions of the Creative Commons Attribution (CC BY) license (https://creativecommons.org/licenses/by/4.0/).
Share and Cite
Randjelovic, S.; Nikolovski, S.; Selakovic, D.; Sreckovic, M.; Rosic, S.; Rosic, G.; Raffay, V. Time Is Life: Golden Ten Minutes on Scene–EuReCa_Serbia 2014–2023. Medicina 2024, 60, 624. https://doi.org/10.3390/medicina60040624
Randjelovic S, Nikolovski S, Selakovic D, Sreckovic M, Rosic S, Rosic G, Raffay V. Time Is Life: Golden Ten Minutes on Scene–EuReCa_Serbia 2014–2023. Medicina. 2024; 60(4):624. https://doi.org/10.3390/medicina60040624
Chicago/Turabian StyleRandjelovic, Suzana, Srdjan Nikolovski, Dragica Selakovic, Miodrag Sreckovic, Sara Rosic, Gvozden Rosic, and Violetta Raffay. 2024. "Time Is Life: Golden Ten Minutes on Scene–EuReCa_Serbia 2014–2023" Medicina 60, no. 4: 624. https://doi.org/10.3390/medicina60040624
APA StyleRandjelovic, S., Nikolovski, S., Selakovic, D., Sreckovic, M., Rosic, S., Rosic, G., & Raffay, V. (2024). Time Is Life: Golden Ten Minutes on Scene–EuReCa_Serbia 2014–2023. Medicina, 60(4), 624. https://doi.org/10.3390/medicina60040624

