Uric Acid Correlates with Serum Levels of Mineral Bone Metabolism and Inflammation Biomarkers in Patients with Stage 3a–5 Chronic Kidney Disease
Abstract
1. Introduction
2. Materials and Methods
2.1. Study Design and Subjects
2.2. Biochemical Parameters
2.3. Statistical Analysis
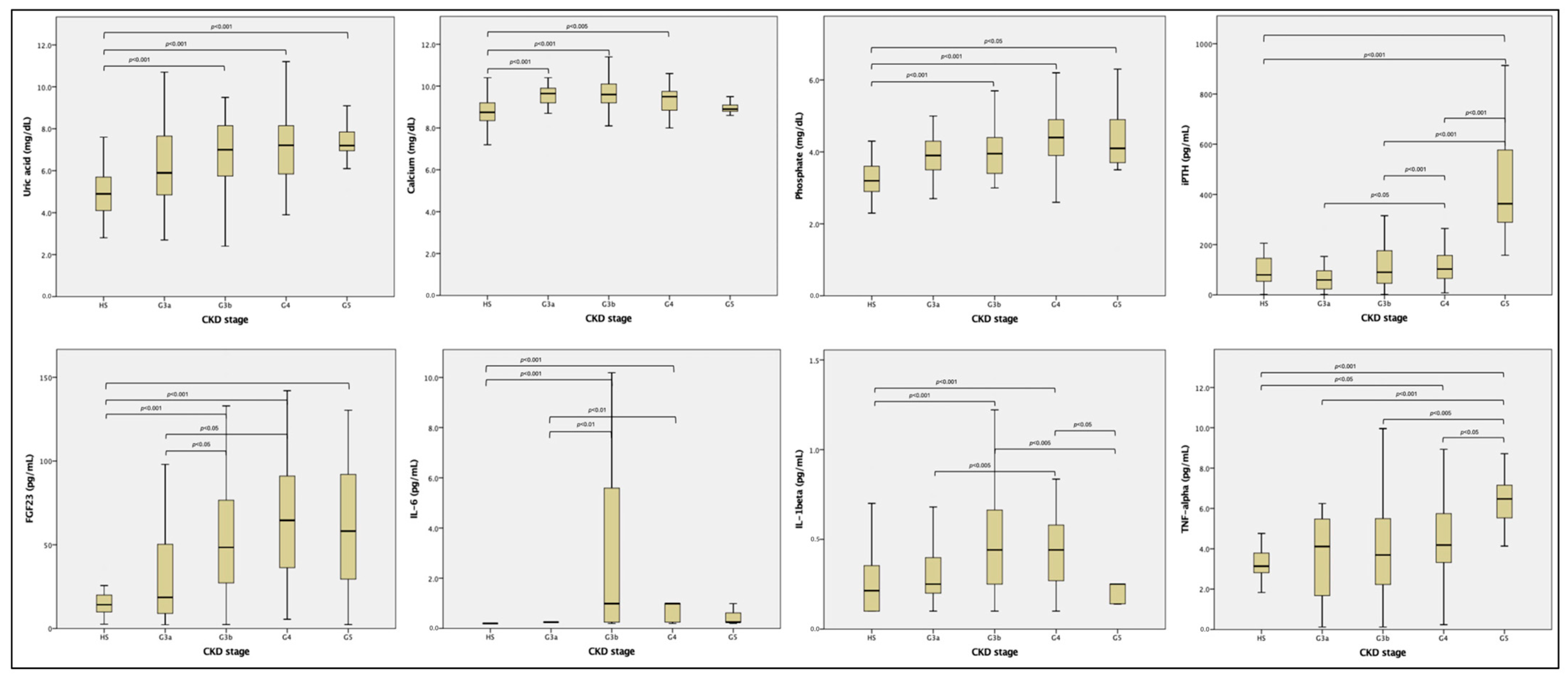
3. Results
4. Discussion
5. Conclusions
Author Contributions
Funding
Institutional Review Board Statement
Informed Consent Statement
Data Availability Statement
Acknowledgments
Conflicts of Interest
References
- Webster, A.C.; Nagler, E.V.; Morton, R.L.; Masson, P. Chronic Kidney Disease. Lancet 2017, 389, 1238–1252. [Google Scholar] [CrossRef] [PubMed]
- KDIGO 2013. Chapter 1: Definition and classification of CKD. Kidney Int. Suppl. 2013, 3, 19–62. [Google Scholar] [CrossRef] [PubMed]
- Yamada, S.; Tsuruya, K.; Kitazono, T.; Nakano, T. Emerging cross-talks between chronic kidney disease-mineral and bone disorder (CKD-MBD) and malnutrition-inflammation complex syndrome (MICS) in patients receiving dialysis. Clin. Exp. Nephrol. 2022, 26, 613–629. [Google Scholar] [CrossRef] [PubMed]
- Rios, P.; Silvarino, R.; Sola, L.; Ferreiro, A.; Lamadrid, V.; Fajardo, L.; Gadola, L. Mineral and bone disorder and longterm survival in a chronic kidney disease grade 3b-4cohort. Ren. Fail. 2022, 44, 1356–1367. [Google Scholar] [CrossRef]
- Kidney Disease: Improving Global Outcomes (KDIGO) CKD-MBD Update Work Group. KDIGO 2017 clinical practice guideline update for the diagnosis, evaluation, prevention, and treatment of chronic kidney disease–mineral and bone disorder (CKD-MBD). Kidney Int. Suppl. 2017, 7, 1–59. [Google Scholar] [CrossRef]
- Pavik, I.; Jaeger, P.; Ebner, L.; Wagner, C.A.; Petzold, K.; Spichtig, D.; Poster, D.; Wuthrich, R.P.; Russmann, S.; Serra, A.L. Secreted Klotho and FGF23 in chronic kidney disease Stage 1 to 5: A sequence suggested from a cross-sectional study. Nephrol. Dial. Transplant. 2013, 28, 352–359. [Google Scholar] [CrossRef]
- Mehta, R.C.; Cho, M.E.; Cai, X.; Lee, J.; Chen, J.; He, J.; Flack, J.; Shafi, T.; Saraf, S.L.; David, V. Iron status, fibroblast growth factor 23 and cardiovascular and kidney outcomes in chronic kidney disease. Kidney Int. 2021, 100, 1292–1302. [Google Scholar] [CrossRef]
- Simic, P.; Babitt, J.L. Regulation of FGF23: Beyond Bone. Curr. Osteoporos. Rep. 2021, 19, 563–573. [Google Scholar] [CrossRef]
- Czaya, B.; Heitman, K.; Campos, I.; Yanucil, C.; Kentrup, D.; Westbrook, D.; Gutierrez, O.; Babitt, J.L.; Jung, G.; Salusky, I.B.; et al. Hyperphosphatemia increases inflammation to exacerbate anemia and skeletal muscle wasting independently of FGF23-FGFR4 signaling. Elife 2022, 11, e74782. [Google Scholar] [CrossRef]
- Song, T.; Fu, Y.; Wang, Y.; Li, W.; Zhao, J.; Wang, X.; Wang, H.; Zhao, Y.; Fu, X. FGF-23 correlates with endocrine and metabolism dysregulation, worse cardiac and renal function, inflammation level, stenosis degree, and independently predicts in-stent restenosis risk in coronary heart disease patients underwent drug-eluting-stent PCI. BMC Cardiovasc. Disord. 2021, 21, 24. [Google Scholar] [CrossRef]
- Mihai, S.; Codrici, E.; Popescu, I.D.; Enciu, A.M.; Rusu, E.; Zilisteanu, D.; Necula, L.G.; Anton, G.; Tanase, C. Inflammation-related patterns in the clinical staging and severity assessment of chronic kidney disease. Dis. Markers 2019, 2019, 1814304. [Google Scholar] [CrossRef] [PubMed]
- Mace, M.L.; Egstrand, S.; Morevati, M.; Olgaard, K.; Lewin, E. New insights to the crosstalk between vascular and bone tissue in chronic kidney disease-mineral and bone disorder. Metabolites 2021, 11, 849. [Google Scholar] [CrossRef] [PubMed]
- Abinti, M.; Vettoretti, S.; Caldiroli, L.; Mattinzoli, D.; Ikehata, M.; Armelloni, S.; Molinari, P.; Alfieri, C.M.; Castellano, G.; Messa, P. Associations of intact and C-Terminal FGF23 with inflammatory markers in older patients affected by advanced chronic kidney disease. J. Clin. Med. 2024, 13, 3967. [Google Scholar] [CrossRef] [PubMed]
- Freundlich, M.; Gamba, G.; Rodriguez-Iturbe, B. Fibroblast growth factor 23-Klotho and hypertension: Experimental and clinical mechanisms. Pediatr. Nephrol. 2021, 36, 3007–3022. [Google Scholar] [CrossRef] [PubMed]
- McKnight, Q.; Jenkins, S.; Li, X.; Nelson, T.; Marlier, A.; Cantley, L.G.; Finberg, K.E.; Fretz, J.A. IL-1beta Drives Production of FGF-23 at the Onset of Chronic Kidney Disease in Mice. J. Bone Miner. Res. 2020, 35, 1352–1362. [Google Scholar] [CrossRef]
- Wang, H.; Chen, Y.; Gou, Y.; Yang, D.; Xiong, L. Chronic kidney diseases and inflammation research: A bibliometric analysis. Front. Med. 2024, 11, 1388665. [Google Scholar] [CrossRef]
- Kaysen, G.A. The microinflammatory state in uremia: Causes and potential consequences. J. Am. Soc. Nephrol. 2001, 12, 1549–1557. [Google Scholar] [CrossRef]
- Lee, T.H.; Chen, J.J.; Wu, C.Y.; Yang, C.W.; Yang, H.Y. Hyperuricemia and progression of chronic kidney disease: A review from physiology and pathogenesis to the role of urate-lowering therapy. Diagnostics 2021, 11, 1674. [Google Scholar] [CrossRef]
- Johnson, R.J.; Sanchez Lozada, L.G.; Lanaspa, M.A.; Piani, F.; Borghi, C. Uric acid and chronic kidney disease: Still more to do. Kidney Int. Rep. 2023, 8, 229–239. [Google Scholar] [CrossRef]
- Isaka, Y.; Takabatake, Y.; Takahashi, A.; Saitoh, T.; Yoshimori, T. Hyperuricemia-induced inflammasome and kidney diseases. Nephrol. Dial. Transplant. 2016, 31, 890–896. [Google Scholar] [CrossRef]
- Lin, K.M.; Lu, C.L.; Hung, K.C.; Wu, P.C.; Pan, C.F.; Wu, C.J.; Syu, R.S.; Chen, J.S.; Hsiao, P.J.; Lu, K.C. The paradoxical role of uric acid in osteoporosis. Nutrients 2019, 11, 2111. [Google Scholar] [CrossRef] [PubMed]
- Xu, R.; Lian, D.; Xie, Y.; Mu, L.; Wu, Y.; Chen, Z.; Zhang, B. Relationship between serum uric acid levels and osteoporosis. Endocr. Connect. 2023, 12, e230040. [Google Scholar] [CrossRef] [PubMed]
- Ponvilawan, B.; Charoenngam, N.; Ungprasert, P. Primary hyperparathyroidism is associated with a higher level of serum uric acid: A systematic review and meta-analysis. Int. J. Rheum. Dis. 2020, 23, 174–180. [Google Scholar] [CrossRef] [PubMed]
- Miller, P.D.; Schwartz, E.N.; Chen, P.; Misurski, D.A.; Krege, J.H. Teriparatide in postmenopausal women with osteoporosis and mild or moderate renal impairment. Osteoporos. Int. 2007, 18, 59–68. [Google Scholar] [CrossRef]
- Mohammed, A.; Marie, M.A.; Abdulazim, D.O.; Hassan, M.; Shaker, O.; Ayeldeen, G.; Salem, M.M.; Sharaf El Din, U.A.; Egyptian Vascular Calcification, G. Serum urate lowering therapy using Allopurinol improves serum 25 hydroxy vitamin D in stage 3-5 CKD patients: A pilot study. Nephron 2021, 145, 133–136. [Google Scholar] [CrossRef]
- Jarrar, K.; Amasheh, R.A.; Graef, V.; Weidner, W. Relationship between 1,25-dihydroxyvitamin-D, calcium and uric acid in urinary stone formers. Urol. Int. 1996, 56, 16–20. [Google Scholar] [CrossRef]
- Thakkinstian, A.; Anothaisintawee, T.; Chailurkit, L.; Ratanachaiwong, W.; Yamwong, S.; Sritara, P.; Ongphiphadhanakul, B. Potential causal associations between vitamin D and uric acid: Bidirectional mediation analysis. Sci. Rep. 2015, 5, 14528. [Google Scholar] [CrossRef]
- Karimi, F.; Dabbaghmanesh, M.H.; Omrani, G.R. Association between serum uric acid and bone health in adolescents. Osteoporos. Int. 2019, 30, 2057–2064. [Google Scholar] [CrossRef]
- Sritara, C.; Ongphiphadhanakul, B.; Chailurkit, L.; Yamwong, S.; Ratanachaiwong, W.; Sritara, P. Serum uric acid levels in relation to bone-related phenotypes in men and women. J. Clin. Densitom. 2013, 16, 336–340. [Google Scholar] [CrossRef]
- Chen, F.; Wang, Y.; Guo, Y.; Wang, J.; Yang, A.; Lv, Q.; Liu, Y.; Ma, G.; Liu, Y.; Wang, D. Specific higher levels of serum uric acid might have a protective effect on bone mineral density within a Chinese population over 60 years old: A cross-sectional study from northeast China. Clin. Interv. Aging 2019, 14, 1065–1073. [Google Scholar] [CrossRef]
- Jeon, H.J.; Oh, J.; Shin, D.H. Urate-lowering agents for asymptomatic hyperuricemia in stage 3–4 chronic kidney disease: Controversial role of kidney function. PLoS ONE 2019, 14, e0218510. [Google Scholar] [CrossRef] [PubMed]
- USRDS. Annual Data Report: Epidemiology of Kidney Disease in the United States; National Institutes of Health, National Institute of Diabetes and Digestive and Kidney Diseases: Bethesda, MD, USA, 2021. [Google Scholar]
- Paniagua, R.; Ventura, M.D.; Avila-Diaz, M.; Hinojosa-Heredia, H.; Mendez-Duran, A.; Cisneros, A.; Gomez, A.M.; Cueto-Manzano, A.; Trinidad, P.; Obrador, G.T.; et al. Reaching targets for mineral metabolism clinical practice guidelines and its impact on outcomes among Mexican chronic dialysis patients. Arch. Med. Res. 2013, 44, 229–234. [Google Scholar] [CrossRef] [PubMed]
- Robles-Rivera, K.; Argoty-Pantoja, A.D.; Hidalgo-Bravo, A.; Quezada-Sanchez, A.D.; Leon-Reyes, G.; Flores, Y.N.; Salmeron, J.; Velazquez-Cruz, R.; Rivera-Paredez, B. Uric acid levels are associated with bone mineral density in Mexican populations: A longitudinal study. Nutrients 2022, 14, 4245. [Google Scholar] [CrossRef]
- Levey, A.S.; Stevens, L.A. Estimating GFR using the CKD Epidemiology Collaboration (CKD-EPI) creatinine equation: More accurate GFR estimates, lower CKD prevalence estimates, and better risk predictions. Am. J. Kidney Dis. 2010, 55, 622–627. [Google Scholar] [CrossRef] [PubMed]
- American Diabetes Association. 2. Classification and Diagnosis of Diabetes: Standards of Medical Care in Diabetes-2019. Diabetes Care 2019, 42, S13–S28. [Google Scholar] [CrossRef]
- Whelton, P.K.; Carey, R.M.; Aronow, W.S.; Casey, D.E., Jr.; Collins, K.J.; Dennison Himmelfarb, C.; DePalma, S.M.; Gidding, S.; Jamerson, K.A.; Jones, D.W.; et al. 2017 ACC/AHA/AAPA/ABC/ACPM/AGS/APhA/ASH/ASPC/NMA/PCNA Guideline for the prevention, detection, evaluation, and management of high blood pressure in adults: Executive summary: A report of the American College of Cardiology/American Heart Association Task Force on Clinical Practice Guidelines. Circulation 2018, 138, e426–e483. [Google Scholar]
- Ejaz, A.A.; Nakagawa, T.; Kanbay, M.; Kuwabara, M.; Kumar, A.; Garcia Arroyo, F.E.; Roncal-Jimenez, C.; Sasai, F.; Kang, D.H.; Jensen, T.; et al. Hyperuricemia in Kidney Disease: A Major Risk Factor for Cardiovascular Events, Vascular Calcification, and Renal Damage. Sem. Nephrol. 2020, 40, 574–585. [Google Scholar] [CrossRef]
- Andrews, E.S.; Perrenoud, L.; Nowak, K.L.; You, Z.; Pasch, A.; Chonchol, M.; Kendrick, J.; Jalal, D. Examining the effects of uric acid-lowering on markers vascular of calcification and CKD-MBD; A post-hoc analysis of a randomized clinical trial. PLoS ONE 2018, 13, e0205831. [Google Scholar] [CrossRef]
- Chin, K.Y.; Nirwana, S.I.; Ngah, W.Z. Significant association between parathyroid hormone and uric acid level in men. Clin. Interv. Aging 2015, 10, 1377–1380. [Google Scholar] [CrossRef]
- Costa, T.E.M.; Lauar, J.C.; Innecchi, M.L.R.; Coelho, V.A.; Moyses, R.M.A.; Elias, R.M. Hyperuricemia is associated with secondary hyperparathyroidism in patients with chronic kidney disease. Int. Urol. Nephrol. 2022, 54, 2255–2261. [Google Scholar] [CrossRef]
- Paik, J.M.; Farwell, W.R.; Taylor, E.N. Demographic, dietary, and serum factors and parathyroid hormone in the National Health and Nutrition Examination Survey. Osteoporos. Int. 2012, 23, 1727–1736. [Google Scholar] [CrossRef] [PubMed]
- Yang, R.; Ding, N.; Qin, J.; Peng, H. The relationship between uric acid and bone mineral density in the intermediate stage of CKD 1-3. BMC Nephrol. 2024, 25, 219. [Google Scholar] [CrossRef] [PubMed]
- Toapanta Gaibor, N.G.; Nava Perez, N.C.; Martinez Echevers, Y.; Montes Delgado, R.; Guerrero Riscos, M.A. PTH levels and not serum phosphorus levels are a predictor of the progression of kidney disease in elderly patients with advanced chronic kidney disease. Nefrologia 2017, 37, 149–157. [Google Scholar] [CrossRef] [PubMed][Green Version]
- Peng, H.; Li, H.; Li, C.; Chao, X.; Zhang, Q.; Zhang, Y. Association between vitamin D insufficiency and elevated serum uric acid among middle-aged and elderly Chinese Han women. PLoS ONE 2013, 8, e61159. [Google Scholar] [CrossRef]
- Halperin Kuhns, V.L.; Woodward, O.M. Sex Differences in Urate Handling. Int. J. Mol. Sci. 2020, 21, 8455. [Google Scholar] [CrossRef]
- Jansson, K.P.; Yu, A.S.L.; Stubbs, J.R. Contribution of phosphate and FGF23 to CKD progression. Curr. Opin. Nephrol. Hypertens. 2022, 31, 306–311. [Google Scholar] [CrossRef]
- Isakova, T.; Wahl, P.; Vargas, G.S.; Gutierrez, O.M.; Scialla, J.; Xie, H.; Appleby, D.; Nessel, L.; Bellovich, K.; Chen, J.; et al. Fibroblast growth factor 23 is elevated before parathyroid hormone and phosphate in chronic kidney disease. Kidney Int. 2011, 79, 1370–1378. [Google Scholar] [CrossRef]
- Isakova, T.; Cai, X.; Lee, J.; Xie, D.; Wang, X.; Mehta, R.; Allen, N.B.; Scialla, J.J.; Pencina, M.J.; Anderson, A.H.; et al. Longitudinal FGF23 Trajectories and Mortality in Patients with CKD. J. Am. Soc. Nephrol. 2018, 29, 579–590. [Google Scholar] [CrossRef]
- Munoz Mendoza, J.; Isakova, T.; Cai, X.; Bayes, L.Y.; Faul, C.; Scialla, J.J.; Lash, J.P.; Chen, J.; He, J.; Navaneethan, S.; et al. Inflammation and elevated levels of fibroblast growth factor 23 are independent risk factors for death in chronic kidney disease. Kidney Int. 2017, 91, 711–719. [Google Scholar] [CrossRef]
- Wang, Y.; Wang, H.; Chen, P. Higher fibroblast growth factor 23 levels are causally associated with lower bone mineral density of heel and femoral Neck: Evidence from two-sample mendelian randomization Analysis. Front. Public. Health 2020, 8, 467. [Google Scholar] [CrossRef]
- Veronese, N.; Carraro, S.; Bano, G.; Trevisan, C.; Solmi, M.; Luchini, C.; Manzato, E.; Caccialanza, R.; Sergi, G.; Nicetto, D.; et al. Hyperuricemia protects against low bone mineral density, osteoporosis and fractures: A systematic review and meta-analysis. Eur. J. Clin. Investig. 2016, 46, 920–930. [Google Scholar] [CrossRef] [PubMed]
- Liu, H.; Xie, R.; Dai, Q.; Fang, J.; Xu, Y.; Li, B. Exploring the mechanism underlying hyperuricemia using comprehensive research on multi-omics. Sci. Rep. 2023, 13, 7161. [Google Scholar] [CrossRef] [PubMed]
- Keenan, R.T. The biology of urate. Semin. Arthritis Rheum. 2020, 50, S2–S10. [Google Scholar] [CrossRef] [PubMed]
- Zhou, Y.; Zhao, M.; Pu, Z.; Xu, G.; Li, X. Relationship between oxidative stress and inflammation in hyperuricemia: Analysis based on asymptomatic young patients with primary hyperuricemia. Medicine 2018, 97, e13108. [Google Scholar] [CrossRef]
- Wu, L.; Fan, Y.; Wang, Y.; Li, Z.; Mao, D.; Zhuang, W. The impact of an URAT1 polymorphism on the losartan treatment of hypertension and hyperuricemia. J. Clin. Lab. Anal. 2021, 35, e23949. [Google Scholar] [CrossRef]
- Sun, H.; Qu, Q.; Qu, J.; Lou, X.Y.; Peng, Y.; Zeng, Y.; Wang, G. URAT1 gene polymorphisms influence uricosuric action of losartan in hypertensive patients with hyperuricemia. Pharmacogenomics 2015, 16, 855–863. [Google Scholar] [CrossRef]
- Perdomo-Ramirez, A.; Cordoba-Lanus, E.; Trujillo-Frias, C.J.; Gonzalez-Navasa, C.; Ramos-Trujillo, E.; Luis-Yanes, M.I.; Garcia-Nieto, V.; Claverie-Martin, F. Pathogenic variants of SLC22A12 (URAT1) and SLC2A9 (GLUT9) in Spanish patients with renal hypouricemia: Founder effect of SLC2A9 variant c.374C>T; p.(T125M). Int. J. Mol. Sci. 2023, 24, 8455. [Google Scholar] [CrossRef]
- Suijk, D.L.S.; van Baar, M.J.B.; van Bommel, E.J.M.; Iqbal, Z.; Krebber, M.M.; Vallon, V.; Touw, D.; Hoorn, E.J.; Nieuwdorp, M.; Kramer, M.M.H.; et al. SGLT2 Inhibition and Uric Acid Excretion in Patients with Type 2 Diabetes and Normal Kidney Function. Clin. J. Am. Soc. Nephrol. 2022, 17, 663–671. [Google Scholar] [CrossRef]

| Variable | CKD Patients n = 146 | Healthy Subjects n = 25 | p-Value |
|---|---|---|---|
| Female/male, count (%) | 61/85 (42/58) | 16/9 (64/36) | 0.039 |
| Age (years) | 67 ± 18 | 52 ± 10 | <0.001 |
| BMI (kg/m2) | 27.2 ± 5.9 | 26.8 ± 2.9 | 0.300 |
| With obesity a, count (%) | 49 (33.5) | 2 (8) | 0.009 |
| SBP (mmHg) | 140 ± 42 | 125 ± 11 | <0.001 |
| DBP (mmHg) | 80 ± 15 | 70 ± 7 | <0.001 |
| With hypertension, count (%) | 117 (80.3) | 0 | - |
| With type 2 diabetes, count (%) | 134 (91.8) | 0 | - |
| Fasting glucose (mg/dL) | 119 ± 60 | 96 ± 12 | <0.001 |
| Uric acid (mg/dL) | 6.9 ± 1.6 | 5.0 ± 1.2 | <0.001 |
| With hyperuricemia b, count (%) | 86 (56) | 2 (8) | <0.001 |
| Total cholesterol (mg/dL) | 170 ± 72 | 186 ± 48 | 0.566 |
| HDL-C (mg/dL) | 41 ± 12 | 40 ± 6 | 0.736 |
| Triglycerides (mg/dL) | 178 ± 109 | 143 ± 65 | 0.003 |
| Creatinine (mg/dL) | 2.1 ± 1.0 | 0.9 ± 0.2 | <0.001 |
| eGFR (mL/min/1.73 m2) | 31 ± 19 | 94 ± 19 | <0.001 |
| With proteinuria c count (%) | 71 (60.7) d | 0 | - |
| Calcium (mg/dL) | 9.5 ± 0.9 | 8.8 ± 0.7 | <0.001 |
| Phosphate (mg/dL) | 4.1 ± 1.0 | 3.2 ± 0.5 | <0.001 |
| tALKP (U/L) | 94 ± 45 | 75 ± 25 | 0.027 |
| Intact PTH (pg/mL) | 94 ± 110 | 97 ± 60 | 0.451 |
| FGF23 (pg/mL) | 48 ± 57 | 16 ± 9 | <0.001 |
| IL-1β (pg/mL) | 0.4 ± 0.3 | 0.2 ± 0.3 | 0.001 |
| IL-6 (pg/mL) | 1.0 ± 0.7 | 0.2 ± 0.1 | 0.001 |
| TNF-α (pg/mL) | 4.3 ± 2.4 | 3.1 ± 1.0 | 0.002 |
| Variable | Hyperuricemia a n = 81 | Normouricemia n = 65 | p-Value |
|---|---|---|---|
| Female/male count (%) | 39/42 (48/52) | 22/43 (34/66) | 0.093 |
| Age (years) | 66 ± 17 | 70 ± 17 | 0.227 |
| BMI (kg/m2) | 27.3 ± 9.9 | 27.2 5.9 | 0.999 |
| With obesity, count (%) | 26 (32) | 23 (35) | 0.726 |
| SBP (mmHg) | 143 ± 25 | 142 ± 28 | 0.836 |
| DBP (mmHg) | 79 ± 13 | 79 ± 12 | 0.825 |
| With hypertension, count (%) | 69 (85) | 49 (75) | 0.270 |
| Fasting glucose (mg/dL) | 115 ± 60 | 124 ± 59 | 0.096 |
| HbA1C (%) | 6.9 ± 3.4 | 7.3 ± 2.8 | 0.653 |
| Total cholesterol (mg/dL) | 166 ± 72 | 174 ± 77 | 0.896 |
| HDL-C (mg/dL) | 40 ± 10 | 41 ± 13 | 0.665 |
| Triglycerides (mg/dL) | 178 ± 106 | 181 ± 123 | 0.834 |
| Creatinine (mg/dL) | 2.2 ± 0.9 | 1.9 ± 1.0 | 0.129 |
| eGFR (mL/min/1.73 m2) | 29 ± 17 | 33 ± 21 | 0.096 |
| Calcium (mg/dL) | 9.5 ± 0.7 | 9.4 ± 0.8 | 0.647 |
| Phosphate (mg/dL) | 4.3 ± 0.9 | 3.4 ± 0.9 | 0.090 |
| tALKP (U/L) | 100 ± 37 | 109 ± 76 | 0.622 |
| Intact PTH (pg/mL) | 131.2 ± 128.3 | 82.1 ± 75.0 | 0.096 |
| FGF23 (pg/mL) | 59.6 ± 50.3 | 40.4 ± 50.3 | 0.004 |
| IL-1β (pg/mL) | 0.4 ± 0.3 | 0.3 ± 0.4 | 0.183 |
| IL-6 (pg/mL) | 1.0 ± 0.8 | 0.7 ± 0.6 | 0.943 |
| TNF-α (pg/mL) | 4.7 ± 2.3 | 3.8 ± 2.3 | 0.022 |
| Variable | HSα n = 25 | G3a n = 30 | G3b n = 49 | G4 n = 57 | G5 n = 10 |
|---|---|---|---|---|---|
| Uric acid (mg/dL) | 5.0 ± 1.2 | 6.1 ± 1.7 | 7.0 ± 1.6 | 7.2 ± 1.6 | 7.2 ± 1.2 |
| Calcium (mg/dL) | 8.8 ± 0.7 | 9.6 ± 0.9 | 9.6 ± 0.7 | 9.4 ± 0.7 | 8.9 ± 0.6 |
| Phosphate (mg/dL) | 3.2 ± 0.5 | 3.8 ± 0.6 | 4.1 ± 0.8 | 4.4 ± 0.9 | 4.2 ± 1.4 |
| Intact PTH (pg/mL) | 97 ± 60 | 68 ± 57 | 117 ± 94 | 113 ± 71 | 436 ± 222 |
| FGF23 (pg/mL) | 16 ± 9 | 34 ± 32 | 62 ± 49 | 75 ± 64 | 68 ± 59 |
| IL-1β (pg/mL) | 0.2 ± 0.3 | 0.3 ± 0.3 | 0.5 ± 0.4 | 0.5 ± 0.4 | 0.2 ± 0.1 |
| IL-6 (pg/mL) | 0.2 ± 0.1 | 0.3 ± 0.1 | 1.0 ± 7.6 | 1.0 ± 0.7 | 0.3 ± 0.1 |
| TNF-α (pg/mL) | 3.1 ± 1.0 | 3.5 ± 2.1 | 4.0 ± 2.5 | 4.6 ± 2.5 | 6.8 ± 2.2 |
| eGFR | Uric Acid | Calcium | Phosphate | tALKP | iPTH | FGF23 | IL-1β | IL-6 | TNF-α | |
|---|---|---|---|---|---|---|---|---|---|---|
| eGFR | - | −0.439 | −0.271 | −0.446 | −0.298 | −0.269 | −0.353 | −0.092 | −0.060 | −0.290 |
| Uric acid | <0.001 | - | 0.266 | 0.319 | −0.142 | 0.199 | 0.284 | 0.129 | 0.099 | 0.169 |
| Calcium | 0.001 | 0.001 | - | 0.024 | 0.185 | −0.158 | 0.138 | −0.051 | −0.010 | 0.034 |
| Phosphate | <0.001 | <0.001 | 0.775 | - | 0.119 | 0.177 | 0.271 | 0.036 | 0.104 | 0.130 |
| tALKP | 0.021 | 0.280 | 0.157 | 0.367 | - | 0.180 | −0.085 | −0.172 | −0.112 | 0.258 |
| iPTH | <0.001 | 0.010 | 0.054 | 0.030 | 0.168 | - | 0.205 | −0.059 | 0.020 | 0.387 |
| FGF23 | <0.001 | <0.001 | 0.092 | 0.001 | 0.518 | 0.007 | - | 0.219 | 0.143 | 0.190 |
| IL-1β | 0.129 | 0.093 | 0.536 | 0.659 | 0.189 | 0.444 | 0.004 | - | 0.070 | 0.079 |
| IL-6 | 0.099 | 0.200 | 0.905 | 0.204 | 0.396 | 0.850 | 0.062 | 0.363 | - | 0.015 |
| TNF-α | <0.001 | 0.027 | 0.678 | 0.113 | 0.046 | <0.001 | 0.013 | 0.304 | 0.849 | - |
| Uric Acid a | ||
| B (95% confidence interval) | p | |
| eGFR (mL/min/1.73 m2) | −0.020 (−0.031, −0.008) | 0.001 |
| Phosphate b | ||
| B (95% confidence interval) | p | |
| eGFR (mL/min/1.73 m2) | −0.013 (−0.018, −0.007) | <0.000 |
| iPTH c | ||
| B (95% confidence interval) | p | |
| TNF-α (pg/mL) | 16.212 (−7.563, 24.861) | <0.000 |
| Calcium (mg/dL) | −37.417 (−61.335, −13.49) | 0.002 |
| eGFR (mL/min/1.73 m2) | −1.218 (−2.015, −0.420) | 0.003 |
| FGF23 d | ||
| B (95% confidence interval) | p | |
| eGFR (mL/min/1.73 m2) | −0.484 (−0.771, −0.196) | 0.001 |
| Uric acid (mg/dL) | 4.711 (0.327, 9.094) | 0.035 |
| TNF-αe | ||
| B (95% confidence interval) | p | |
| iPTH (pg/mL) | 0.006 (0.003, 0.009) | <0.000 |
| eGFR (mL/min/1.73 m2) | −0.018 (−0.030, −0.005) | 0.006 |
Disclaimer/Publisher’s Note: The statements, opinions and data contained in all publications are solely those of the individual author(s) and contributor(s) and not of MDPI and/or the editor(s). MDPI and/or the editor(s) disclaim responsibility for any injury to people or property resulting from any ideas, methods, instructions or products referred to in the content. |
© 2024 by the authors. Published by MDPI on behalf of the Lithuanian University of Health Sciences. Licensee MDPI, Basel, Switzerland. This article is an open access article distributed under the terms and conditions of the Creative Commons Attribution (CC BY) license (https://creativecommons.org/licenses/by/4.0/).
Share and Cite
Mendoza Carrera, F.; Vázquez Rivera, G.E.; Leal Cortés, C.A.; Rizo De la Torre, L.d.C.; Parra Michel, R.; Orozco Sandoval, R.; Pérez Coria, M. Uric Acid Correlates with Serum Levels of Mineral Bone Metabolism and Inflammation Biomarkers in Patients with Stage 3a–5 Chronic Kidney Disease. Medicina 2024, 60, 2081. https://doi.org/10.3390/medicina60122081
Mendoza Carrera F, Vázquez Rivera GE, Leal Cortés CA, Rizo De la Torre LdC, Parra Michel R, Orozco Sandoval R, Pérez Coria M. Uric Acid Correlates with Serum Levels of Mineral Bone Metabolism and Inflammation Biomarkers in Patients with Stage 3a–5 Chronic Kidney Disease. Medicina. 2024; 60(12):2081. https://doi.org/10.3390/medicina60122081
Chicago/Turabian StyleMendoza Carrera, Francisco, Gloria Elizabeth Vázquez Rivera, Caridad A. Leal Cortés, Lourdes del Carmen Rizo De la Torre, Renato Parra Michel, Rosalba Orozco Sandoval, and Mariana Pérez Coria. 2024. "Uric Acid Correlates with Serum Levels of Mineral Bone Metabolism and Inflammation Biomarkers in Patients with Stage 3a–5 Chronic Kidney Disease" Medicina 60, no. 12: 2081. https://doi.org/10.3390/medicina60122081
APA StyleMendoza Carrera, F., Vázquez Rivera, G. E., Leal Cortés, C. A., Rizo De la Torre, L. d. C., Parra Michel, R., Orozco Sandoval, R., & Pérez Coria, M. (2024). Uric Acid Correlates with Serum Levels of Mineral Bone Metabolism and Inflammation Biomarkers in Patients with Stage 3a–5 Chronic Kidney Disease. Medicina, 60(12), 2081. https://doi.org/10.3390/medicina60122081

