Infiltration by Intratumor and Stromal CD8 and CD68 in Cervical Cancer
Abstract
1. Introduction
2. Materials and Methods
2.1. Patients
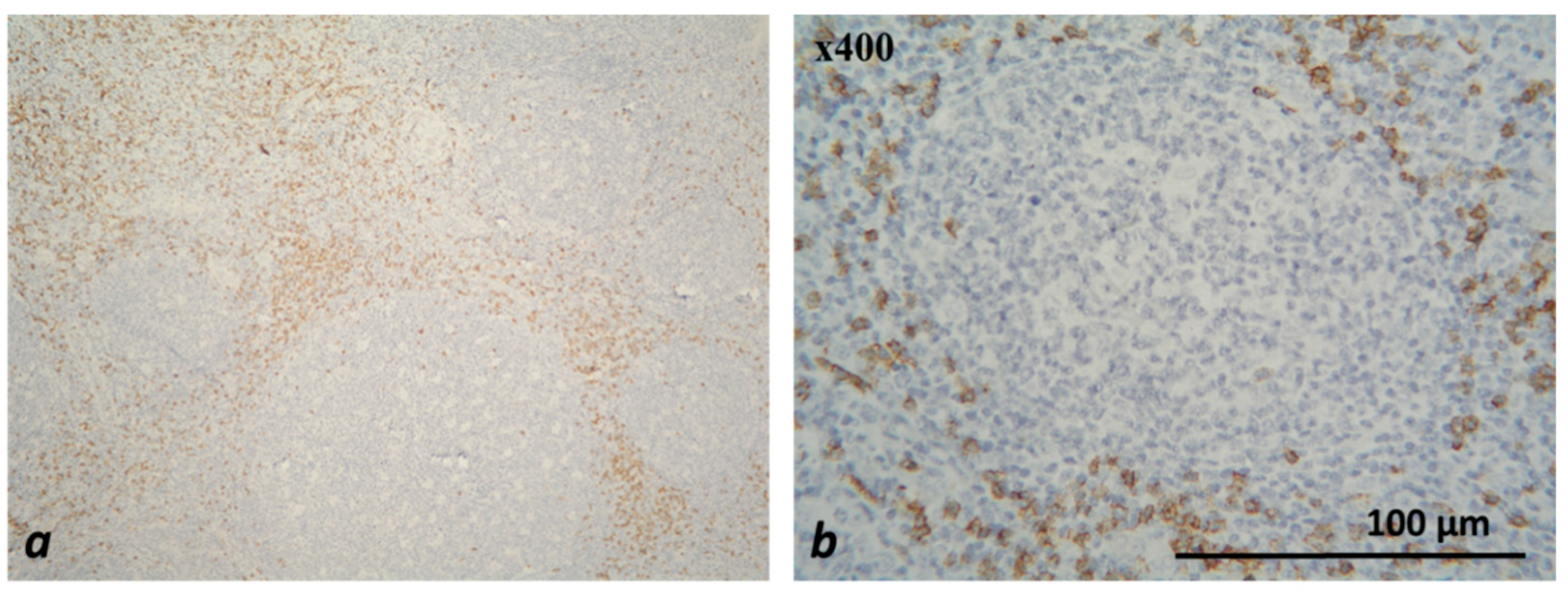
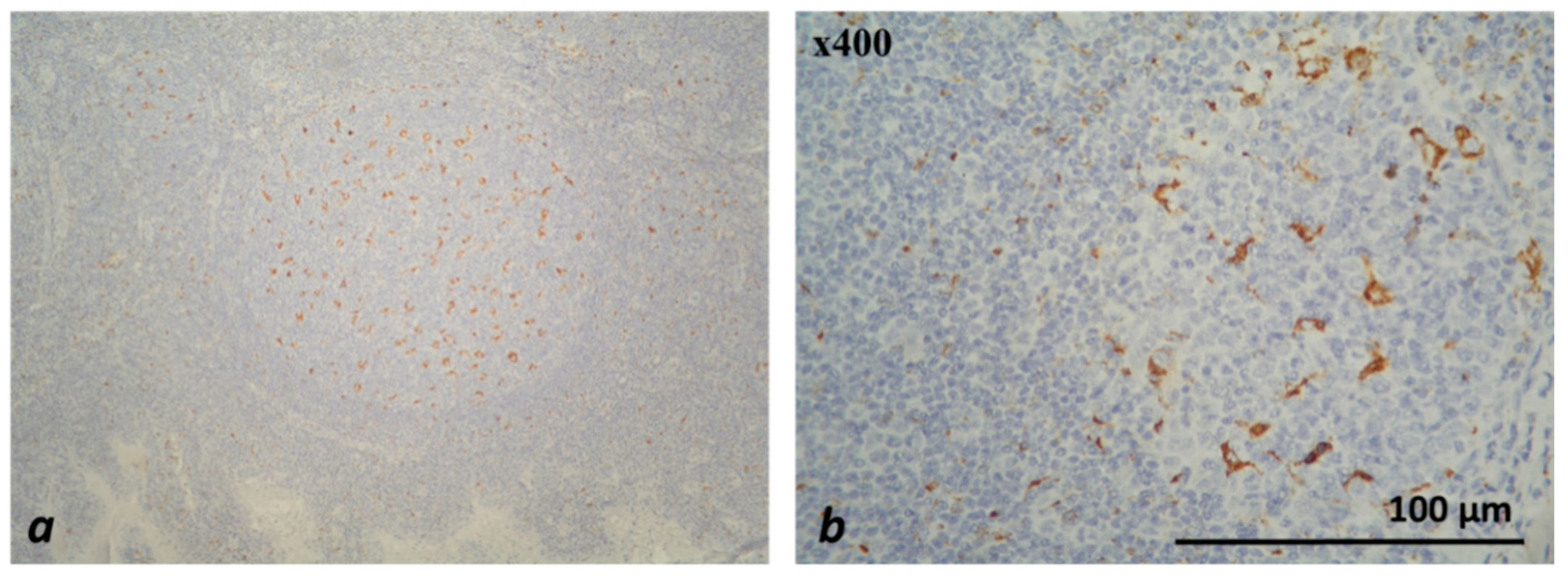
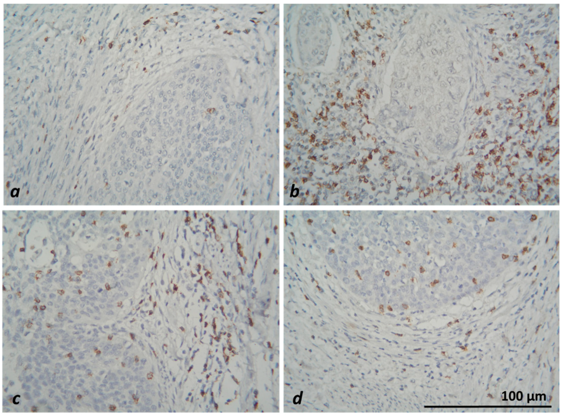
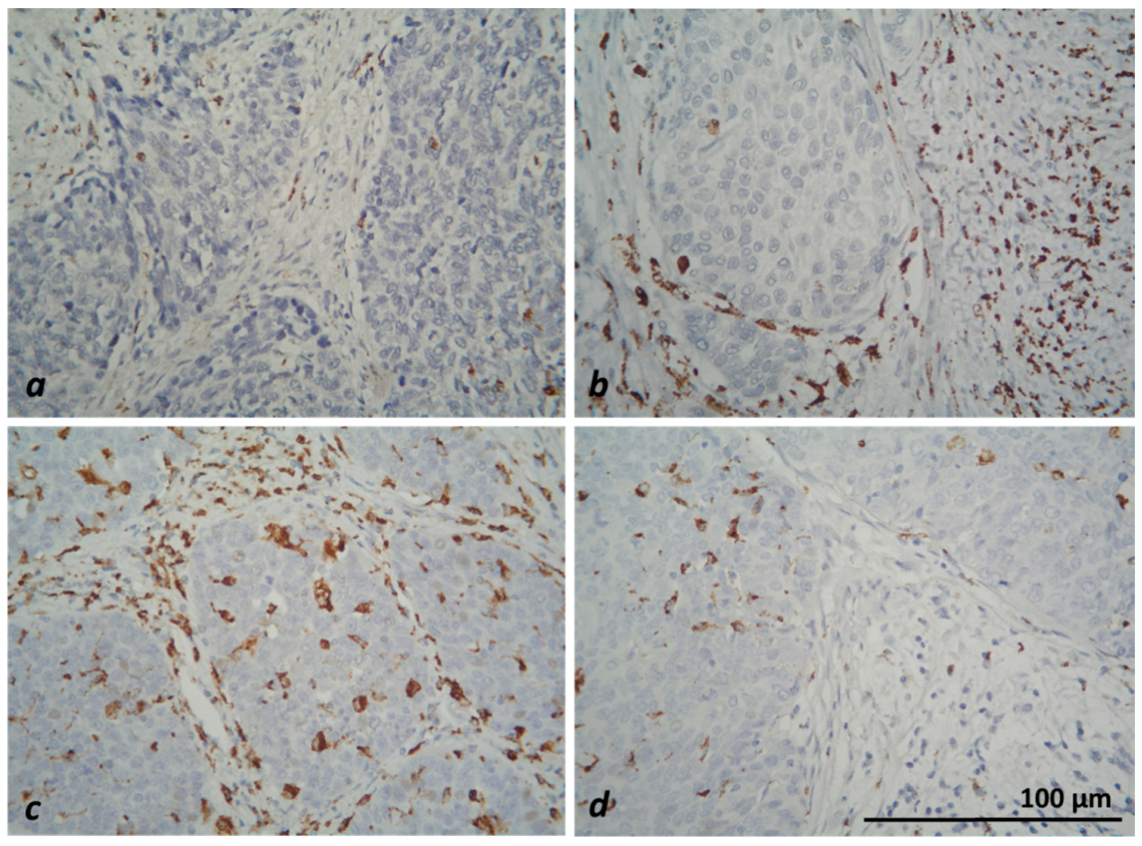
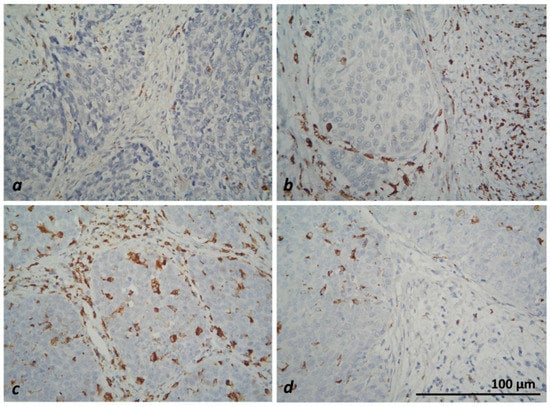
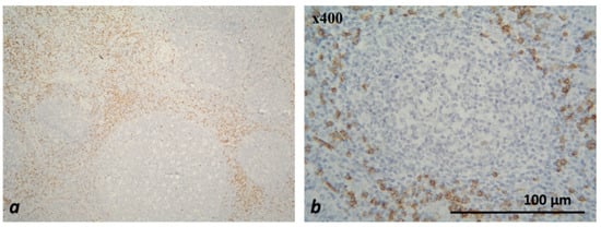
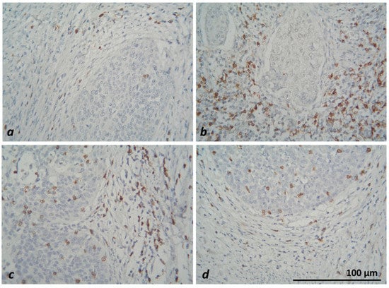
2.2. Immunohistochemical Examination
2.3. Statistical Analysis
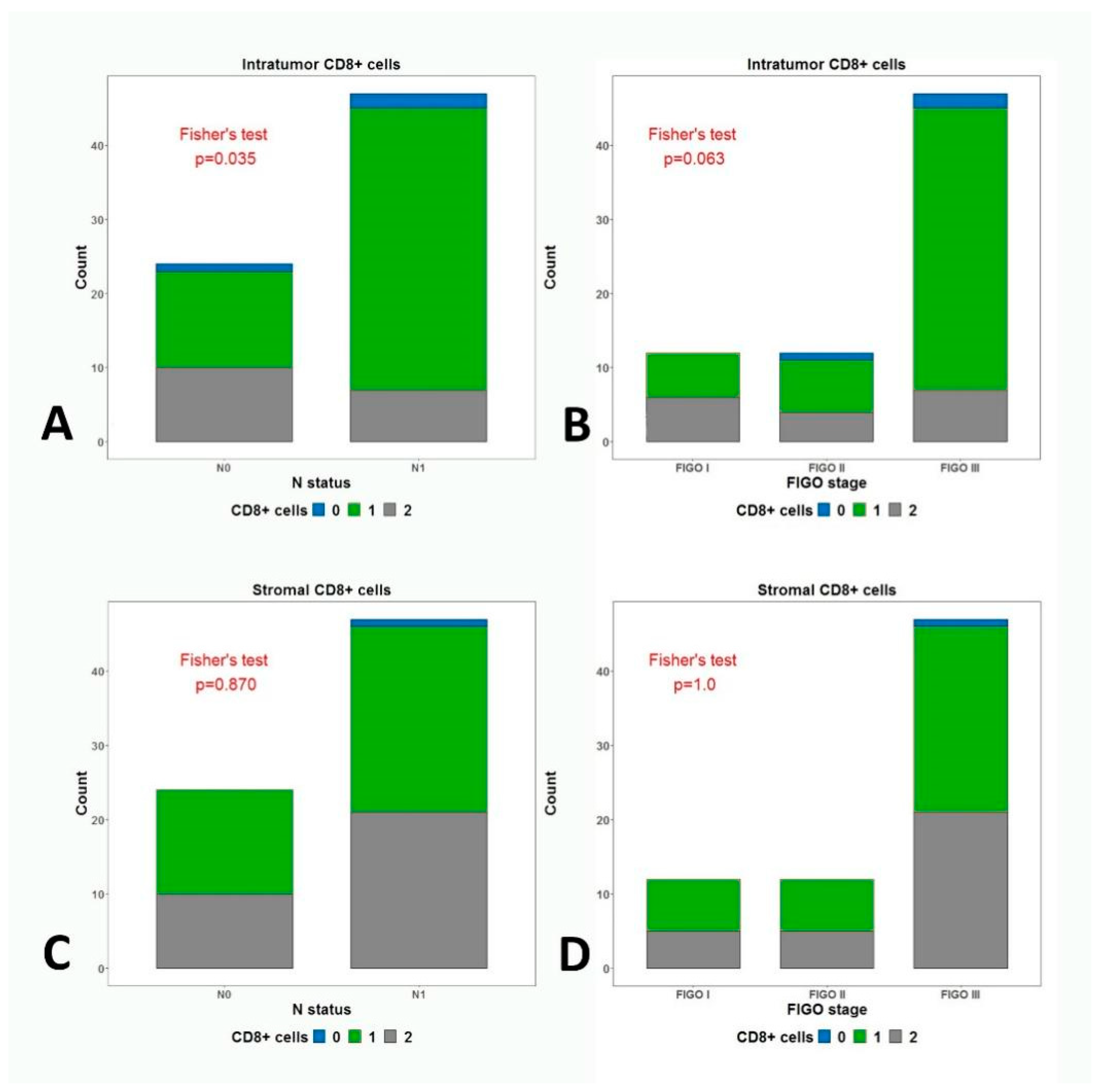
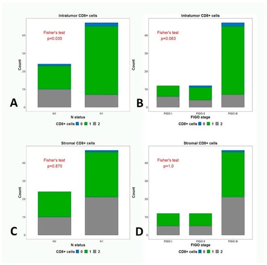
3. Results
4. Discussion
5. Conclusions
Author Contributions
Funding
Institutional Review Board Statement
Informed Consent Statement
Data Availability Statement
Conflicts of Interest
References
- Tang, Y.; Zhang, A.X.J.; Chen, G.; Wu, Y.; Gu, W. Prognostic and therapeutic TILs of cervical cancer-Current advances and future perspectives. Mol. Ther. Oncolytics 2021, 22, 410–430. [Google Scholar] [CrossRef] [PubMed]
- Kousar, K.; Ahmad, T.; Naseer, F.; Kakar, S.; Anjum, S. Review Article: Immune Landscape and Immunotherapy Options in Cervical Carcinoma. Cancers 2022, 14, 4458. [Google Scholar] [CrossRef] [PubMed]
- Zou, R.; Gu, R.; Yu, X.; Hu, Y.; Yu, J.; Xue, X.; Zhu, X. Characteristics of Infiltrating Immune Cells and a Predictive Immune Model for Cervical Cancer. J. Cancer 2021, 12, 3501–3514. [Google Scholar] [CrossRef] [PubMed]
- Rs, J. The Immune Microenvironment in Human Papilloma Virus-Induced Cervical Lesions-Evidence for Estrogen as an Immunomodulator. Front. Cell Infect. Microbiol. 2021, 11, 649815. [Google Scholar] [CrossRef]
- U.S. Food and Drug Administration. FDA Approves Pembrolizumab Combination for the First-Line Treatment of Cervical Cancer. Available online: www.fda.gov (accessed on 10 January 2023).
- Furgiuele, S.; Descamps, G.; Lechien, J.R.; Dequanter, D.; Journe, F.; Saussez, S. Immunoscore Combining CD8, FoxP3, and CD68-Positive Cells Density and Distribution Predicts the Prognosis of Head and Neck Cancer Patients. Cells 2022, 11, 2050. [Google Scholar] [CrossRef]
- Zhang, J.; Li, S.; Liu, F.; Yang, K. Role of CD68 in tumor immunity and prognosis prediction in pan-cancer. Sci. Rep. 2022, 12, 7844. [Google Scholar] [CrossRef]
- Raskov, H.; Orhan, A.; Christensen, J.P.; Gögenur, I. Cytotoxic CD8+ T cells in cancer and cancer immunotherapy. Br. J. Cancer 2021, 124, 359–367. [Google Scholar] [CrossRef]
- Ahmed, H.; Mahmud, A.R.; Faijanur-Rob–Siddiquee, M.; Shahriar, A.; Biswas, P.; Shimul, E.K.; Ahmed, S.Z.; Ema, T.I.; Rahman, N.; Khan, A.; et al. Role of T cells in cancer immunotherapy: Opportunities and challenges. Cancer Pathog. Ther. 2023, 1, E003. [Google Scholar] [CrossRef]
- Blessin, N.C.; Li, W.; Mandelkow, T.; Jansen, H.L.; Yang, C.; Raedler, J.B.; Simon, R.; Büscheck, F.; Dum, D.; Luebke, A.M.; et al. Prognostic role of proliferating CD8+ cytotoxic Tcells in human cancers. Cell Oncol. 2021, 44, 793–803. [Google Scholar] [CrossRef]
- Chen, R.; Gong, Y.; Zou, D.; Wang, L.; Yuan, L.; Zhou, Q. Correlation between subsets of tumor-infiltrating immune cells and risk stratification in patients with cervical cancer. PeerJ 2019, 7, e7804. [Google Scholar] [CrossRef]
- 2018 FIGO (International Federation of Gynaecology and Obstetrics). Available online: https://www.figo.org/FIGO-globaldeclaration-hip (accessed on 10 January 2023).
- Dimitrova, P.D.; Popovska, S.L.; Ivanov, I.N. A study on tumor-infiltrating lymphocytes in different subtypes breast cancer. J. Biomed. Clin. Res. 2021, 14, 70–81. [Google Scholar] [CrossRef]
- Hao, N.B.; Lü, M.H.; Fan, Y.H.; Cao, Y.L.; Zhang, Z.R.; Yang, S.M. Macrophages in tumor microenvironments and the progression of tumors. Clin. Dev. Immunol. 2012, 2012, 948098. [Google Scholar] [CrossRef] [PubMed]
- Ruffell, B.; Affara, N.I.; Coussens, L.M. Differential macrophage programming in the tumor microenvironment. Trends Immunol. 2012, 33, 119–126. [Google Scholar] [CrossRef] [PubMed]
- Raonic, J.; Lopicic, M.; Vuckovic, L.; Vucinic, J. Immunohistochemical analysis of CD68, CD4, CD8 and CD20 expression in cervical dysplasia and its relationship with HR-HPV infection. Eur. Rev. Med. Pharmacol. Sci. 2021, 25, 7598–7606. [Google Scholar] [CrossRef]
- Chen, X.J.; Han, L.F.; Wu, X.G.; Wei, W.F.; Wu, L.F.; Yi, H.Y.; Yan, R.M.; Bai, X.Y.; Zhong, M.; Yu, Y.H.; et al. Clinical Significance of CD163+ and CD68+ Tumor-associated Macrophages in High-risk HPV-related Cervical Cancer. J. Cancer 2017, 8, 3868–3875. [Google Scholar] [CrossRef]
- Horta, B.; Pereira, T.; Medeiros, R.; Cerqueira, F. Cervical Cancer Outcome and Tumor-Associated Macrophages: Research Evidence. Immuno 2022, 2, 460–468. [Google Scholar] [CrossRef]
- Davidson, B.; Goldberg, I.; Gotlieb, W.; Lerner-Geva, L.; Ben-Baruch, G.; Agulansky, L.; Novikov, I.; Kopolovic, J. Macrophage Infiltration and Angiogenesis in Cervical Squamous Cell Carcinomaclinicopathologic Correlation. Acta Obstet. Gynecol. Scand. 1999, 78, 240–244. [Google Scholar]
- Hammes, L.S.; Tekmal, R.R.; Naud, P.; Edelweiss, M.I.; Kirma, H.; Valente, P.T.; Syrjänen, K.J.; Cunha-Filho, J.S. Macrophages Inflammation and Risk of Cervical Intraepithelial Neoplasia (CIN) Progression—Clinicopathological Correlation. Gynecol. Oncol. 2007, 105, 157–165. [Google Scholar] [CrossRef]
- Davidson, B.; Goldberg, I.; Kopolovic, J. Inflammatory Response in Cervicallntraepithelial Neoplasia and Squamous Cell Carcinoma of the Uterine Cervix. Pathol. Res. Pract. 1997, 193, 491–495. [Google Scholar] [CrossRef]
- Li, Y.; Huang, G.; Zhang, S. Associations between Intratumoral and Peritumoral M2 Macrophage Counts and Cervical Squamous Cell Carcinoma Invasion Patterns. Int. J. Gynecol. Obstet. 2017, 139, 346–351. [Google Scholar] [CrossRef]
- Guo, F.; Kong, W.; Zhao, G.; Cheng, Z.; Ai, L.; Lv, J.; Feng, Y.; Ma, X. The Correlation between Tumor-Associated Macrophage Infiltration and Progression in Cervical Carcinoma. Biosci. Rep. 2021, 2016, 9720912. [Google Scholar] [CrossRef] [PubMed]
- Singh, S.; Mehta, N.; Lilan, J.; Budhthoki, M.B.; Chao, F.; Yong, L. Initiative Action of Tumor-Associated Macrophage during Tumor Metastasis. Biochim. Open 2017, 4, 8–18. [Google Scholar] [CrossRef] [PubMed]
- Peranzoni, E.; Lemoine, J.; Vimeux, L.; Donnadieu, E. Macrophages impede CD8 T cells from reaching tumor cells and limit the efficacy of anti-PD-1 treatment. Proc. Natl. Acad. Sci. USA 2018, 115, E4041–E4050. [Google Scholar] [CrossRef]
- Wang, Q.; Steger, A.; Mahner, S.; Jeschke, U.; Heidegger, H. The Formation and Therapeutic Update of Tumor-Associated Macrophages in Cervical Cancer. Int. J. Mol. Sci. 2019, 20, 3310. [Google Scholar] [CrossRef] [PubMed]
- Salgado, R.; Denkert, C.; Demaria, S.; Sirtaine, N.; Klausche, F.; Pruneri, G.; Wienert, S.; Van den Eynden, G.; Baehner, F.L.; Penault-Llorca, F.; et al. International TILs Working Group 2014. The evaluation of tumor-infiltrating lymphocytes (TILs) in breast cancer: Recommendations by an International TILs Working Group 2014. Ann. Oncol. 2015, 26, 259–271. [Google Scholar] [CrossRef] [PubMed]
- Bernsmeier, C.; van der Merwe, S.; Périanin, A. Innate immune cells in cirrhosis. J. Hepatol. 2020, 73, 186–201. [Google Scholar] [CrossRef]
- Bruns, H.; Büttner, M.; Fabri, M.; Mougiakakos, D.; Bittenbring, J.T.; Hoffmann, M.H.; Beier, F.; Pasemann, S.; Jitschi, R.; Hofmann, A.D.; et al. Vitamin D-dependent induction of cathelicidin in human macrophages results in cytotoxicity against high-grade B cell lymphoma. Sci. Transl. Med. 2015, 7, 282ra47. [Google Scholar] [CrossRef]
- Hao, S.; Meng, J.; Zhang, Y.; Liu, J.; Nie, X.; Wu, F.; Yang, Y.; Wang, C.; Gu, N.; Xu, H. Macrophage phenotypic mechanomodulation of enhancing bone regeneration by superparamagnetic scaffold upon magnetization. Biomaterials 2017, 140, 16–25. [Google Scholar] [CrossRef]
- Stone, S.C.; Rossetti, R.A.M.; Alvarez, K.L.F.; Carvalho, J.P.; Margarido, P.F.R.; Baracat, E.C.; Tacla, M.; Boccardo, E.; Yokochi, K.; Lorenzi, N.P.; et al. Lactate secreted by cervical cancer cells modulates macrophage phenotype. J. Leukoc. Biol. 2019, 105, 1041–1054. [Google Scholar] [CrossRef]
- Cheng, W.F.; Lee, C.N.; Chang, M.C.; Su, Y.N.; Chen, C.A.; Hsieh, C.Y. Antigen-specific CD8+ T lymphocytes generated from a DNA vaccine control tumors through the Fas-FasL pathway. Mol. Ther. 2005, 12, 960–968. [Google Scholar] [CrossRef]
- Ivanova, O.K.; Sharapova, T.N.; Romanova, E.A.; Soshnikova, N.V.; Sashchenko, L.P.; Yashin, D.V. CD3+ CD8+ NKG2D+ T lymphocytes induce apoptosis and necroptosis in HLA-negative cells via FasL-Fas interaction. J. Cell. Biochem. 2017, 118, 3359–3366. [Google Scholar] [CrossRef] [PubMed]
- Maskey, N.; Thapa, N.; Maharjan, M.; Shrestha, G.; Maharjan, N.; Cai, H.; Liu, S. Infiltrating CD4 and CD8 lymphocytes in HPV infected uterine cervical milieu. Cancer Manag. Res. 2019, 11, 7647–7655. [Google Scholar] [CrossRef] [PubMed]
- Brito, M.J.; Sequeira, P.; Silva, I.; Quintas, A.; Martins, C.; Félix, A. CD4+ and CD8+ cell populations in HIV-positive women with cervical squamous intra-epithelial lesions and squamous cell carcinoma. Int. J. Infect. Dis. 2021, 103, 370–377. [Google Scholar] [CrossRef] [PubMed]
- Origoni, M.; Parma, M.; Dell’Antonio, G.; Gelardi, C.; Stefani, C.; Salvatore, S.; Candiani, M. Prognostic significance of immunohistochemical phenotypes in patients treated for high-grade cervical intraepithelial neoplasia. Biomed. Res. Int. 2013, 2013, 831907. [Google Scholar] [CrossRef] [PubMed]
- Øvestad, I.T.; Gudlaugsson, E.; Skaland, I.; Malpica, A.; Kruse, A.J.; Janssen, E.A.M.; Baak, J.P.A. Local immune response in the microenvironment of CIN2-3 with and without spontaneous regression. Mod. Pathol. 2010, 23, 1231–1240. [Google Scholar] [CrossRef]
- Kang, Y.; Huang, J.; Liu, Y.; Zhang, N.; Cheng, Q.; Zhang, Y. Integrated Analysis of Immune Infiltration Features for Cervical Carcinoma and Their Associated Immunotherapeutic Responses. Front. Cell Dev. Biol. 2021, 9, 573497. [Google Scholar] [CrossRef]
- Das, D.; Sarkar, B.; Mukhopadhyay, S.; Banerjee, C.; Mondal, S.B. An Altered Ratio of CD4+ And CD8+ T Lymphocytes in Cervical Cancer Tissues and Peripheral Blood—A Prognostic Clue? Asian Pac. J. Cancer Prev. 2018, 19, 471–478. [Google Scholar] [CrossRef]
- Sheu, B.C.; Hsu, S.M.; Ho, H.N.; Lin, R.H.; Torng, P.L.; Huang, S.C. Reversed CD4/CD8 ratios of tumor-infiltrating lymphocytes are correlated with the progression of human cervical carcinoma. Cancer 1999, 86, 1537–1543. [Google Scholar] [CrossRef]
- Monnier-Benoit, S.; Mauny, F.; Riethmuller, D.; Guerrini, J.S.; Căpîlna, M.; Félix, S.; Seillès, E.; Mougin, C.; Prétet, J.L. Immunohistochemical analysis of CD4+ and CD8+ T-cell subsets in high risk human papillomavirus-associated pre-malignant and malignant lesions of the uterine cervix. Gynecol. Oncol. 2006, 102, 22–31. [Google Scholar] [CrossRef]
- Shah, W.; Yan, X.; Jing, L.; Zhou, Y.; Chen, H.; Wang, Y. A reversed CD4/CD8 ratio of tumor-infiltrating lymphocytes and a high percentage of CD4(+)FOXP3(+) regulatory T cells are significantly associated with clinical outcome in squamous cell carcinoma of the cervix. Cell Mol. Immunol. 2011, 8, 59–66. [Google Scholar] [CrossRef]
- Fan, J.T.; Liao, Y.; Si, X.H.; Geng, X.L.; Wei, W.; Xie, Q.L. Expression of HLA-I, CD8, and CD4 and Their Clinical Significance in Cervical Cancer. World J. Oncol. 2011, 2, 10–15. [Google Scholar] [CrossRef] [PubMed]
- Chen, Z.; Ding, J.; Pang, N.; Du, R.; Meng, W.; Zhu, Y.; Zhang, Y.; Ma, C.; Ding, Y. The Th17/Treg balance and the expression of related cytokines in Uygur cervical cancer patients. Diagn. Pathol. 2013, 8, 61. [Google Scholar] [CrossRef] [PubMed]
- Kurmyshkina, O.V.; Kovchur, P.I.; Schegoleva, L.V.; Volkova, T.O. T- and NK-cell populations with regulatory phenotype and markers of apoptosis in circulating lymphocytes of patients with CIN3 or microcarcinoma of the cervix: Evidence for potential mechanisms of immune suppression. Infect. Agents Cancer 2017, 12, 56. [Google Scholar] [CrossRef] [PubMed]
- Nedergaard, B.S.; Ladekarl, M.; Thomsen, H.F.; Nyengaard, J.R.; Nielsen, K. Low density of CD3+, CD4+ and CD8+ cells is associated with increased risk of relapse in squamous cell cervical cancer. Br. J. Cancer 2007, 97, 1135–1138. [Google Scholar] [CrossRef] [PubMed]
- Zhang, L.; Mao, Z.; Lai, Y.; Wan, T.; Zhang, K.; Zhou, B. A review of the research progress in T-lymphocyte immunity and cervical cancer. Transl. Cancer Res. 2020, 9, 2026–2036. [Google Scholar] [CrossRef]






| Patients Characteristics | N | % |
|---|---|---|
| FIGO 1 | 13 | 18.06 |
| FIGO 2 | 12 | 16.66 |
| FIGO 3 | 47 | 65.28 |
| N0 | 25 | 34.72 |
| N1 | 47 | 65.28 |
| Total | 72 | 100 |
| Primary Antibody | Clone | Company | Solutions | Visualization System | Platform | Cellular Specificity |
|---|---|---|---|---|---|---|
| CD8, Mo | C8/144B, Isotype: IgG1, kappa | Dako, Agilent, Glostrup, Denmark | Ready to use | EnVision™ FLEX, High pH, (Link), DAKO | AutostainerLink 48, DAKO | Cytotoxic T cells |
| CD68, Mo | PG-M1, Isotype: IgG3, kappa | Dako, Agilent, Glostrup, Denmark | Ready to use | EnVision™ FLEX, High pH, (Link), DAKO | AutostainerLink 48, DAKO | Macrophages |
| Primary Antibody | Control Tissue | Reaction Location in the Cells | Positive Quality Control |
|---|---|---|---|
| CD8 | Tonsil | Membrane and/or cytoplasm | Moderate to strong intensity of expression in T cells of the interfollicular areas; expression is absent in B cells and germinal centers |
| CD68 | Tonsil | Cytoplasm | Moderate to strong intensity of expression in germinal center’s macrophages |
| Stage Histologic Results | FIGO Stage I | FIGO Stage II | FIGO Stage III |
|---|---|---|---|
| Intratumoral CD8 | |||
| missing | 0 | 1 | 2 |
| low concentration | 6 | 7 | 38 |
| high concentration | 7 | 4 | 7 |
| Stromal CD8 | |||
| missing | 0 | 0 | 1 |
| low concentration | 7 | 7 | 25 |
| high concentration | 6 | 5 | 21 |
| Intratumoral CD68 | |||
| missing | 0 | 0 | 1 |
| low concentration | 7 | 9 | 37 |
| high concentration | 6 | 3 | 9 |
| Stromal CD68 | |||
| missing | 0 | 0 | 0 |
| low concentration | 11 | 6 | 25 |
| high concentration | 2 | 6 | 22 |
Disclaimer/Publisher’s Note: The statements, opinions and data contained in all publications are solely those of the individual author(s) and contributor(s) and not of MDPI and/or the editor(s). MDPI and/or the editor(s) disclaim responsibility for any injury to people or property resulting from any ideas, methods, instructions or products referred to in the content. |
© 2023 by the authors. Licensee MDPI, Basel, Switzerland. This article is an open access article distributed under the terms and conditions of the Creative Commons Attribution (CC BY) license (https://creativecommons.org/licenses/by/4.0/).
Share and Cite
Dimitrova, P.; Vasileva-Slaveva, M.; Shivarov, V.; Hasan, I.; Yordanov, A. Infiltration by Intratumor and Stromal CD8 and CD68 in Cervical Cancer. Medicina 2023, 59, 728. https://doi.org/10.3390/medicina59040728
Dimitrova P, Vasileva-Slaveva M, Shivarov V, Hasan I, Yordanov A. Infiltration by Intratumor and Stromal CD8 and CD68 in Cervical Cancer. Medicina. 2023; 59(4):728. https://doi.org/10.3390/medicina59040728
Chicago/Turabian StyleDimitrova, Polina, Mariela Vasileva-Slaveva, Velizar Shivarov, Ihsan Hasan, and Angel Yordanov. 2023. "Infiltration by Intratumor and Stromal CD8 and CD68 in Cervical Cancer" Medicina 59, no. 4: 728. https://doi.org/10.3390/medicina59040728
APA StyleDimitrova, P., Vasileva-Slaveva, M., Shivarov, V., Hasan, I., & Yordanov, A. (2023). Infiltration by Intratumor and Stromal CD8 and CD68 in Cervical Cancer. Medicina, 59(4), 728. https://doi.org/10.3390/medicina59040728

